Патент на изобретение №2223274
|
||||||||||||||||||||||||||
(54) ГИДРАЗИДЫ В РЯДУ БАКТЕРИОХЛОРОФИЛЛА a, ОБЛАДАЮЩИЕ ФОТОДИНАМИЧЕСКОЙ АКТИВНОСТЬЮ, И СПОСОБ ИХ ПОЛУЧЕНИЯ
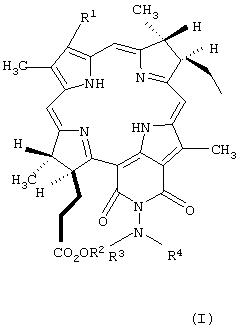
(57) Реферат: Изобретение относится к гидразидам в ряду бактериохлорофилла а общей формулы I, где R1=COCH3, CH(OH)CH3, CH=CH2; R2=H,CH3, C2H5; R3 и R4=H, CH3, Tos, и способу получения гидразидов I путем взаимодействия производных бактериохлорофилла а с дополнительным ангидридным циклом с гидразингидратом и последующей циклизации образующегося промежуточного гидразида за счет добавления в реакционную массу соляной кислоты; предлагаемые гидразиды обладают высокой фотоиндуцированной активностью; в отсутствие светового облучения гидразиды I в концентрациях, в 6-15 раз превышающих фототоксические, не влияют на рост клеточной культуры. 2 с.п. ф-лы. Текст описания в факсимильном виде (см. графическую часть)а Формула изобретения 1. Гидразиды в ряду бактериохлорофилла общей формулы
R1=COCH3, CH(OH)CH3, CH=CH2;
R2=H,CH3, C2H5;
R3 и R4=H, CH3, Tos.
2. Способ получения гидразидов общей формулы (1), заключающийся в том, что производные бактериохлорофилла с дополнительным ангидридным циклом подвергают взаимодействию с гидразингидратом и образующийся промежуточный гидразид циклизуют в процессе выделения целевого продукта за счет добавления соляной кислоты, при этом гидразиды (1) обладают высокой индуцированной светом цитотоксичностью.
РИСУНКИ
MM4A Досрочное прекращение действия патента Российской Федерации на изобретение из-за неуплаты в установленный срок пошлины за поддержание патента в силе
Дата прекращения действия патента: 05.09.2004
Извещение опубликовано: 20.05.2006 БИ: 14/2006
|
||||||||||||||||||||||||||

общей формулы
R1=COCH3, CH(OH)CH3, CH=CH2;
R2=H,CH3, C2H5;
R3 и R4=H, CH3, Tos.
2. Способ получения гидразидов общей формулы (1), заключающийся в том, что производные бактериохлорофилла