Патент на изобретение №2223272
|
||||||||||||||||||||||||||
(54) ПРОИЗВОДНОЕ 2-АРИЛ-8-ОКСОДИГИДРОПУРИНА, СПОСОБ ЕГО ПОЛУЧЕНИЯ, ФАРМАЦЕВТИЧЕСКАЯ КОМПОЗИЦИЯ И СРЕДСТВО, СОДЕРЖАЩИЕ ЕГО, ПРОМЕЖУТОЧНОЕ СОЕДИНЕНИЕ
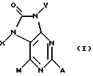
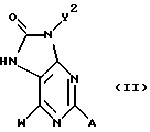
(57) Реферат: Изобретение относится к новым производным 2-арил-8-оксодигидропурина формулы (I), обладающим селективным сродством по отношению к BZw3 рецептору, способу его получения, фармацевтической композиции и средствам, содержащим его, а также к промежуточному соединению формулы (II) для получения производных 2-арил-8-оксодигидропурина. В соединениях формулы (I) W представляет собой атом водорода, низшую алкильную группу, атом галогена, низшую алкоксигруппу, аминогруппу, моно- или ди-низшую алкиламиногруппу или либо незамещенную, либо замещенную трифторметилом фенильную группу; Х представляет собой атом водорода, низшую алкильную группу, циклоалкил-низшую алкильную группу, фенил-низшую алкильную группу, низшую алкенильную группу, карбамоильную группу, ди-низшую алкилкарбамоильную группу или группу формулы (Q) -CH(R3)СОN(R1)(R2), где R1 представляет собой низшую алкильную группу, низшую алкенильную группу, циклоалкильную группу, циклоалкил-низшую алкильную группу или гидрокси-низшую алкильную группу, R2 представляет собой низшую алкильную группу, циклоалкильную группу, фенильную группу, незамещенную или замещенную галогеном, низшим алкокси или гидрокси, фенил-низшую алкильную группу, незамещенную или замещенную галогеном, низшим алкокси или гидрокси или R1 и R2 могут быть объединены с соседним атомом азота с образованием пиперидинового кольца, пирролидинового кольца, морфолинового кольца или пиперазинового кольца, и эти кольца могут быть необязательно замещены одной или двумя низшими алкильными группами, и R3 представляет собой атом водорода, низшую алкильную группу или гидрокси-низшую алкильную группу), Y представляет собой атом водорода, низшую алкильную группу, фенил-низшую алкильную группу или группу формулы (Q), указанную выше, и А представляет собой фенильную группу, незамещенную или замещенную галогеном, низшим алкилом, нитро, низшим алкокси, трифторметилом или гидрокси, или незамещенную гетероарильную группу, выбранную из пиридила, тиенила или фурила. В соединениях формулы (II) W представляет собой атом водорода, низшую алкильную группу, атом галогена, низшую алкоксигруппу, фенильную группу, незамещенную или замещенную трифторметилом, Y2 представляет собой атом водорода, низшую алкильную группу, или фенил-низшую алкильную группу и А представляет собой фенильную группу, незамещенную или замещенную галогеном, низшим алкилом, нитро, низшим алкокси, трифторметилом или гидрокси, или незамещенную гетероарильную группу, выбранную из пиридила, тиенила или фурила. Соединения формулы (I) могут быть использованы в анксиолитических средствах для лечения заболеваний, связанных с тревожным состоянием. 9 с. и 6 з.п. ф-лы, 25 табл. ![]()
Текст описания в факсимильном виде (см. графический материал)г
Формула изобретения 1. Производное 2-арил-8-оксодигидропурина следующей формулы (I):
где W представляет собой атом водорода, низшую алкильную группу, атом галогена, низшую алкоксигруппу, аминогруппу, моно- или ди-низшую алкиламиногруппу или либо незамещенную, либо замещенную трифторметилом фенильную группу;
Х представляет собой атом водорода, низшую алкильную группу, циклоалкил-низшую алкильную группу, фенил-низшую алкильную группу, низшую алкенильную группу, карбамоильную группу, ди-низшую алкилкарбамоильную группу или группу формулы (Q)
-CH(R3)CON(R1)(R2), (Q)
где R1 представляет собой низшую алкильную группу, низшую алкенильную группу, циклоалкильную группу, циклоалкил-низшую алкильную группу или гидрокси-низшую алкильную группу;
R2 представляет собой низшую алкильную группу, циклоалкильную группу, фенильную группу, незамещенную или замещенную галогеном, низшим алкокси или гидрокси, фенил-низшую алкильную группу, незамещенную или замещенную галогеном, низшим алкокси или гидрокси, или R1 и R2 могут быть объединены с соседним атомом азота с образованием пиперидинового кольца, пирролидинового кольца, морфолинового кольца или пиперазинового кольца, и эти кольца могут быть необязательно замещены одной или двумя низшими алкильными группами;
R3 представляет собой атом водорода, низшую алкильную группу или гидрокси-низшую алкильную группу),
Y представляет собой атом водорода, низшую алкильную группу, фенил-низшую алкильную группу или группу формулы (Q)
-CH(R3)CON(R1)(R2), (Q)
(где R1, R2 и R3 являются такими, как определено выше);
А представляет собой фенильную группу, незамещенную или замещенную галогеном, низшим алкилом, нитро, низшим алкокси, трифторметилом или гидрокси, или незамещенную гетероарильную группу, выбранную из пиридила, тиенила или фурила,
при условии, что когда один из Х и Y в вышеуказанной формуле (I) представляет собой группу формулы (Q), тогда другой представляет собой те же группы для Х или Y, как описано выше, за исключением группы формулы (Q), или его фармацевтически приемлемая соль добавления кислоты.
2. Соединение по п.1, где А представляет собой группу формулы (А’):
(где R4 представляет собой атом водорода, атом галогена, низшую алкильную группу, низшую алкоксигруппу, трифторметильную группу, гидроксигруппу, или нитрогруппу и R5 представляет собой атом водорода,
пиридильную группу, тиенильную группу или фурильную группу.
3. Соединение по любому из пп.1 и 2, где
(а) Х представляет собой группу формулы (Qx):
-СH(R31)СОN(R11)(R21), (Qx)
где R11 представляет собой низшую алкильную группу и R21 представляет собой низшую алкильную группу или группу формулы (А’’)
(где R4 представляет собой атом водорода, атом галогена, низшую алкоксигруппу или гидроксигруппу;
R5 представляет собой атом водорода;
m равно 0, 1 или 2),
или R11 и R21 могут быть объединены с соседним атомом азота с образованием пиперидинового кольца, пирролидинового кольца, морфолинового кольца или пиперазинового кольца, и эти кольца могут быть необязательно замещены одной или двумя низшими алкильными группами;
R31 представляет собой атом водорода, низшую алкильную группу или гидрокси-низшую алкильную группу;
Y представляет собой атом водорода или низшую алкильную группу,
или (b) X представляет собой атом водорода, низшую алкильную группу или карбамоильную группу;
Y представляет собой группу формулы (Qy)
-CH(R31)CON(R11)(R21), (Qy)
где R11, R21 и R31 являются такими, как определено выше.
4. Соединение по п.3, где
(а) Х представляет собой группу вышеуказанной формулы (Qx) (где R11 представляет собой метильную группу, этильную группу, пропильную группу, изопропильную группу или бутильную группу, R21 представляет собой этильную группу, пропильную группу, изопропильную группу, бутильную группу, фенильную группу или фенильную группу, замещенную галогеном, метокси или гидрокси, бензильную группу или бензильную группу, замещеннную галогеном, метокси или гидрокси, и R31 является таким, как определено в п.3), и Y представляет собой атом водорода, метильную группу или этильную группу,
или (b) Х представляет собой атом водорода, метильную группу, этильную группу, пропильную группу, изопропильную группу или бутильную группу;
Y представляет собой группу вышеуказанной формулы (Qy) (где 11 представляет собой метильную группу, этильную группу, пропильную группу, изопропильную группу или бутильную группу, R21 представляет собой этильную группу, пропильную группу, изопропильную группу, бутильную группу, фенильную группу, фенильную группу, замещеннную галогеном, метокси или гидрокси, бензильную группу или бензильную группу, замещенную галогеном, метокси или гидрокси, и R31 является таким, как определено в п.3).
5. Производное 2-арил-8-оксодигидропурина формулы (Iа)
где R12 и R22 являются одинаковыми или различными и каждый представляет собой этильную группу, пропильную группу или бутильную группу или R12 представляет собой метильную группу, этильную группу или пропильную группу, R22 представляет собой фенильную группу, галогенфенильную группу, метоксифенильную группу, бензильную группу, галогенбензильную группу или метоксибензильную группу, R32 представляет собой атом водорода, метильную группу или этильную группу, Y1 представляет собой атом водорода, метильную группу или этильную группу и R41 представляет собой атом водорода, атом галогена, метильную группу, метоксигруппу, нитрогруппу или трифторметильную группу,
или его фармацевтически приемлемая соль добавления кислоты.
6. Соединение по п.5, где R32 представляет собой атом водорода.
7. Производное 2-арил-8-оксодигидропурина формулы (Ib)
где X1 представляет собой атом водорода, метильную группу, этильную группу или пропильную группу;
R12 и R22 являются одинаковыми или различными и каждый представляет собой этильную группу, пропильную группу или бутильную группу или R12 представляет собой метильную группу, этильную группу или пропильную группу и R22 представляет собой фенильную группу, галогенфенильную группу, метоксифенильную группу, бензильную группу, галогенбензильную группу или метоксибензильную группу, R32 представляет собой атом водорода, метильную группу или этильную группу и R41 представляет собой атом водорода, атом галогена, метальную группу, метоксигруппу, нитрогруппу или трифторметильную группу,
или его фармацевтически приемлемая соль добавления кислоты.
8. Соединение по п.7, где R32 представляет собой атом водорода.
9. Соединение по п.1, выбранное из следующих соединений:
8,9-дигидро-9-метил-N-метил-8-оксо-2-фенил-N-фенил-7Н-пурин-7-ацетамид,
8,9-дигидро-2-(4-фторфенил)-9-метил-N-метил-8-оксо-N-фенил-7Н-пурин-7-ацетамид,
N-этил-6,9-дигидро-2-(4-фторфенил)-9-метил-8-оксо-N-фенил-7Н-пурин-7-ацетамид,
7,8-дигидро-7-метил-8-оксо-2-фенил-N,N-дипропил-9Н-пурин-9-ацетамид,
7-этил-7,8-дигидро-8-оксо-2-фенил-N,N-дипропил-9Н-пурин-9-ацетамид,
N-этил-8,9-дигидpo-9-мeтил-8-oкco-2-фeнил-N-фeнил-7H-пypин-7-ацетамид,
N-бензил-7,8-дигидро-N-метил-7-метил-8-оксо-2-фенил-9Н-пурин-9-ацетамид,
N-бензил-N-этил-7,8-дигидро-7-метил-8-оксо-2-(4-хлорфенил)-9Н-пурин-9-ацетамид и
N-бензил-7,8-дигидро-N-метил-7-метил-8-оксо-2-(4-хлорфенил)-9Н-пурин-9-ацетамид,
или его фармацевтически приемлемая соль добавления кислоты.
10. N-Бензил-N-этил-7,8-дигидро-7-метил-8-оксо-2-фенил-9Н-пурин-9-ацетамид или его фармацевтически приемлемая соль добавления кислоты.
11. Способ получения производного 2-арил-8-оксодигидропурина формулы (I) по п.1, где Х представляет собой атом водорода и Y представляет собой группу формулы (Q), путем взаимодействия соединения формулы (IV):
где Y3 представляет собой вышеуказанную группу формулы (Q) и А и W являются такими, как определено в п.1,
с азидным соединением и, если необходимо, последующее удаление защитных групп у продукта; и, если необходимо, преобразованием полученного таким образом продукта в его фармацевтически приемлемую соль добавления кислоты.
12. Фармацевтическая композиция, обладающая селективным сродством по отношению к ВZw3 рецептору, которая содержит в качестве активного ингредиента производное 2-арил-8-оксодигидропурина, указанное в любом из пп.1-10, или его фармацевтически приемлемую соль добавления кислот.
13. Средство, обладающее противотревожной (анксиолитической) активностью для лечения заболеваний, связанных с тревожными состояниями, которое содержит в качестве активного ингредиента производное 2-арил-8-оксодигидропурина, указанное в любом из пп.1-10, или его фармацевтически приемлемую соль добавления кислот.
14. Анксиолитическое средство, которое содержит в качестве активного ингредиента производное 2-арил-8-оксодигидропурина, указанное в любом из пп.1-10, или его фармацевтически приемлемую соль добавлениякислоты.
15. Производное 2-арил-8-оксодигидропурина формулы (II)
где W представляет собой атом водорода, низшую алкильную группу, атом галогена, низшую алкоксигруппу, фенильную группу, незамещенную или замещенную трифторметилом, Y2 представляет собой атом водорода, низшую алкильную группу или фенил-низшую алкильную группу и А представляет собой фенильную группу, незамещенную или замещенную галогеном, низшим алкилом, нитро, низшим алкокси, трифторметилом или гидрокси, или незамещенную гетероарильную группу, выбранную из пиридила, тиенила или фурила, в качестве промежуточного продукта для получения производных 2-арил-8-оксодигидропурина.
РИСУНКИ
PD4A – Изменение наименования обладателя патента Российской Федерации на изобретение
(73) Новое наименование патентообладателя:
Извещение опубликовано: 20.05.2006 БИ: 14/2006
MM4A – Досрочное прекращение действия патента СССР или патента Российской Федерации на изобретение из-за неуплаты в установленный срок пошлины за поддержание патента в силе
Дата прекращения действия патента: 27.11.2008
Извещение опубликовано: 20.07.2010 БИ: 20/2010
|
||||||||||||||||||||||||||


Текст описания в факсимильном виде (см. графический материал)г
где W представляет собой атом водорода, низшую алкильную группу, атом галогена, низшую алкоксигруппу, аминогруппу, моно- или ди-низшую алкиламиногруппу или либо незамещенную, либо замещенную трифторметилом фенильную группу;
Х представляет собой атом водорода, низшую алкильную группу, циклоалкил-низшую алкильную группу, фенил-низшую алкильную группу, низшую алкенильную группу, карбамоильную группу, ди-низшую алкилкарбамоильную группу или группу формулы (Q)
-CH(R3)CON(R1)(R2), (Q)
где R1 представляет собой низшую алкильную группу, низшую алкенильную группу, циклоалкильную группу, циклоалкил-низшую алкильную группу или гидрокси-низшую алкильную группу;
R2 представляет собой низшую алкильную группу, циклоалкильную группу, фенильную группу, незамещенную или замещенную галогеном, низшим алкокси или гидрокси, фенил-низшую алкильную группу, незамещенную или замещенную галогеном, низшим алкокси или гидрокси, или R1 и R2 могут быть объединены с соседним атомом азота с образованием пиперидинового кольца, пирролидинового кольца, морфолинового кольца или пиперазинового кольца, и эти кольца могут быть необязательно замещены одной или двумя низшими алкильными группами;
R3 представляет собой атом водорода, низшую алкильную группу или гидрокси-низшую алкильную группу),
Y представляет собой атом водорода, низшую алкильную группу, фенил-низшую алкильную группу или группу формулы (Q)
-CH(R3)CON(R1)(R2), (Q)
(где R1, R2 и R3 являются такими, как определено выше);
А представляет собой фенильную группу, незамещенную или замещенную галогеном, низшим алкилом, нитро, низшим алкокси, трифторметилом или гидрокси, или незамещенную гетероарильную группу, выбранную из пиридила, тиенила или фурила,
при условии, что когда один из Х и Y в вышеуказанной формуле (I) представляет собой группу формулы (Q), тогда другой представляет собой те же группы для Х или Y, как описано выше, за исключением группы формулы (Q), или его фармацевтически приемлемая соль добавления кислоты.
2. Соединение по п.1, где А представляет собой группу формулы (А’):
(где R4 представляет собой атом водорода, атом галогена, низшую алкильную группу, низшую алкоксигруппу, трифторметильную группу, гидроксигруппу, или нитрогруппу и R5 представляет собой атом водорода,
пиридильную группу, тиенильную группу или фурильную группу.
3. Соединение по любому из пп.1 и 2, где
(а) Х представляет собой группу формулы (Qx):
-СH(R31)СОN(R11)(R21), (Qx)
где R11 представляет собой низшую алкильную группу и R21 представляет собой низшую алкильную группу или группу формулы (А’’)
(где R4 представляет собой атом водорода, атом галогена, низшую алкоксигруппу или гидроксигруппу;
R5 представляет собой атом водорода;
m равно 0, 1 или 2),
или R11 и R21 могут быть объединены с соседним атомом азота с образованием пиперидинового кольца, пирролидинового кольца, морфолинового кольца или пиперазинового кольца, и эти кольца могут быть необязательно замещены одной или двумя низшими алкильными группами;
R31 представляет собой атом водорода, низшую алкильную группу или гидрокси-низшую алкильную группу;
Y представляет собой атом водорода или низшую алкильную группу,
или (b) X представляет собой атом водорода, низшую алкильную группу или карбамоильную группу;
Y представляет собой группу формулы (Qy)
-CH(R31)CON(R11)(R21), (Qy)
где R11, R21 и R31 являются такими, как определено выше.
4. Соединение по п.3, где
(а) Х представляет собой группу вышеуказанной формулы (Qx) (где R11 представляет собой метильную группу, этильную группу, пропильную группу, изопропильную группу или бутильную группу, R21 представляет собой этильную группу, пропильную группу, изопропильную группу, бутильную группу, фенильную группу или фенильную группу, замещенную галогеном, метокси или гидрокси, бензильную группу или бензильную группу, замещеннную галогеном, метокси или гидрокси, и R31 является таким, как определено в п.3), и Y представляет собой атом водорода, метильную группу или этильную группу,
или (b) Х представляет собой атом водорода, метильную группу, этильную группу, пропильную группу, изопропильную группу или бутильную группу;
Y представляет собой группу вышеуказанной формулы (Qy) (где 11 представляет собой метильную группу, этильную группу, пропильную группу, изопропильную группу или бутильную группу, R21 представляет собой этильную группу, пропильную группу, изопропильную группу, бутильную группу, фенильную группу, фенильную группу, замещеннную галогеном, метокси или гидрокси, бензильную группу или бензильную группу, замещенную галогеном, метокси или гидрокси, и R31 является таким, как определено в п.3).
5. Производное 2-арил-8-оксодигидропурина формулы (Iа)
где R12 и R22 являются одинаковыми или различными и каждый представляет собой этильную группу, пропильную группу или бутильную группу или R12 представляет собой метильную группу, этильную группу или пропильную группу, R22 представляет собой фенильную группу, галогенфенильную группу, метоксифенильную группу, бензильную группу, галогенбензильную группу или метоксибензильную группу, R32 представляет собой атом водорода, метильную группу или этильную группу, Y1 представляет собой атом водорода, метильную группу или этильную группу и R41 представляет собой атом водорода, атом галогена, метильную группу, метоксигруппу, нитрогруппу или трифторметильную группу,
или его фармацевтически приемлемая соль добавления кислоты.
6. Соединение по п.5, где R32 представляет собой атом водорода.
7. Производное 2-арил-8-оксодигидропурина формулы (Ib)
где X1 представляет собой атом водорода, метильную группу, этильную группу или пропильную группу;
R12 и R22 являются одинаковыми или различными и каждый представляет собой этильную группу, пропильную группу или бутильную группу или R12 представляет собой метильную группу, этильную группу или пропильную группу и R22 представляет собой фенильную группу, галогенфенильную группу, метоксифенильную группу, бензильную группу, галогенбензильную группу или метоксибензильную группу, R32 представляет собой атом водорода, метильную группу или этильную группу и R41 представляет собой атом водорода, атом галогена, метальную группу, метоксигруппу, нитрогруппу или трифторметильную группу,
или его фармацевтически приемлемая соль добавления кислоты.
8. Соединение по п.7, где R32 представляет собой атом водорода.
9. Соединение по п.1, выбранное из следующих соединений:
8,9-дигидро-9-метил-N-метил-8-оксо-2-фенил-N-фенил-7Н-пурин-7-ацетамид,
8,9-дигидро-2-(4-фторфенил)-9-метил-N-метил-8-оксо-N-фенил-7Н-пурин-7-ацетамид,
N-этил-6,9-дигидро-2-(4-фторфенил)-9-метил-8-оксо-N-фенил-7Н-пурин-7-ацетамид,
7,8-дигидро-7-метил-8-оксо-2-фенил-N,N-дипропил-9Н-пурин-9-ацетамид,
7-этил-7,8-дигидро-8-оксо-2-фенил-N,N-дипропил-9Н-пурин-9-ацетамид,
N-этил-8,9-дигидpo-9-мeтил-8-oкco-2-фeнил-N-фeнил-7H-пypин-7-ацетамид,
N-бензил-7,8-дигидро-N-метил-7-метил-8-оксо-2-фенил-9Н-пурин-9-ацетамид,
N-бензил-N-этил-7,8-дигидро-7-метил-8-оксо-2-(4-хлорфенил)-9Н-пурин-9-ацетамид и
N-бензил-7,8-дигидро-N-метил-7-метил-8-оксо-2-(4-хлорфенил)-9Н-пурин-9-ацетамид,
или его фармацевтически приемлемая соль добавления кислоты.
10. N-Бензил-N-этил-7,8-дигидро-7-метил-8-оксо-2-фенил-9Н-пурин-9-ацетамид или его фармацевтически приемлемая соль добавления кислоты.
11. Способ получения производного 2-арил-8-оксодигидропурина формулы (I) по п.1, где Х представляет собой атом водорода и Y представляет собой группу формулы (Q), путем взаимодействия соединения формулы (IV):
где Y3 представляет собой вышеуказанную группу формулы (Q) и А и W являются такими, как определено в п.1,
с азидным соединением и, если необходимо, последующее удаление защитных групп у продукта; и, если необходимо, преобразованием полученного таким образом продукта в его фармацевтически приемлемую соль добавления кислоты.
12. Фармацевтическая композиция, обладающая селективным сродством по отношению к ВZw3 рецептору, которая содержит в качестве активного ингредиента производное 2-арил-8-оксодигидропурина, указанное в любом из пп.1-10, или его фармацевтически приемлемую соль добавления кислот.
13. Средство, обладающее противотревожной (анксиолитической) активностью для лечения заболеваний, связанных с тревожными состояниями, которое содержит в качестве активного ингредиента производное 2-арил-8-оксодигидропурина, указанное в любом из пп.1-10, или его фармацевтически приемлемую соль добавления кислот.
14. Анксиолитическое средство, которое содержит в качестве активного ингредиента производное 2-арил-8-оксодигидропурина, указанное в любом из пп.1-10, или его фармацевтически приемлемую соль добавлениякислоты.
15. Производное 2-арил-8-оксодигидропурина формулы (II)
где W представляет собой атом водорода, низшую алкильную группу, атом галогена, низшую алкоксигруппу, фенильную группу, незамещенную или замещенную трифторметилом, Y2 представляет собой атом водорода, низшую алкильную группу или фенил-низшую алкильную группу и А представляет собой фенильную группу, незамещенную или замещенную галогеном, низшим алкилом, нитро, низшим алкокси, трифторметилом или гидрокси, или незамещенную гетероарильную группу, выбранную из пиридила, тиенила или фурила, в качестве промежуточного продукта для получения производных 2-арил-8-оксодигидропурина.