Патент на изобретение №2223271
|
||||||||||||||||||||||||||
(54) БЕНЗОИЛПРОИЗВОДНЫЕ СОЕДИНЕНИЯ И ГЕРБИЦИДНОЕ СРЕДСТВО НА ИХ ОСНОВЕ
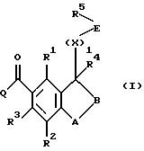
(57) Реферат: Описываются бензоилпроизводные соединения формулы (I): ![]() в которой Q является радикалом формулы (II), (III) или (IV) ![]() где R1, R2, R3 независимо друг от друга являются водородом, алкилом с 1-6 атомами углерода; R4 является водородом; R5 является фенилом, 5 или 6-членным гетероарилом, содержащим до 3 гетероатомов из группы азот и сера, и, в случае необходимости, замещенные галогеном, нитро, циано, алкокси, или является радикалом из группы -О-N=CR1Rm, -P(=O)(OR1)(ORk); А представляет собой SO2 группу; В является насыщенной цепью, состоящей из от 1 до 2 атомов углерода; Е является связью, насыщенной 1-6-членной цепью; Х представляет собой О или S. Описывается также гербицидное средство, содержащее соединение общей формулы (I). Технический результат заключается в получении новых соединений, обладающих гербицидным действием в посевах сельскохозяйственных культур. 2 с. и 8 з.п.ф-лы, 18 табл. Текст описания в факсимильном виде (см. графический материал)г Формула изобретения 1. Бензоилпроизводные соединения общей формулы (I)
в которой Q является радикалом формулы (II), (III) или (IV)
где R1, R2, R3 независимо друг от друга являются водородом, алкилом с 1-6 атомами углерода;
R4 является водородом;
R5 является фенилом, 5- или 6-членным гетероарилом, который может содержать до 3 гетероатомов из группы азот и сера и, в случае необходимости, однократно или многократно замещенные галогеном нитро, циано, алкокси с 1-6 атомами углерода; или является радикалом из группы -O-N=RlRm -Р(=O)(ОRi)(ОRk); или в том случае, если Е является связью, R5 также может являться гидрокси;
А является дивалентным элементом SO2;
В является насыщенной цепью, состоящей из от одного до двух атомов углерода;
Е является связью, насыщенной 1-6-членной цепью;
Х является дивалентным элементом из группы О, S;
R6 является Orf
Y является CHR7;
R7 является водородом;
Z является CHR7;
G1-G2 являются OCR9 и NR10COR11, причем атом углерода дивалентного элемента связан двойной связью с атомом углерода кольцевой системы;
R8 является водородом, алкилом с 1-6 атомами углерода;
R9 является циклоалкилом с 3-6 атомами углерода;
R10 является алкилом с 1-6 атомами углерода;
R11 является водородом или группой L-R12, где L является SO2, а R12 является алкилом с 1-6 атомами углерода;
Ra и Rb независимо друг от друга являются водородом, алкилом с 1-6 атомами углерода;
Rc и Rd являются водородом;
Rf является водородом;
Ri и Rk являются Rj;
Rj является алкилом с 1-6 атомами углерода;
Rl и Rm независимо друг от друга являются водородом, алкилом с 1 – 6 атомами углерода или Rl и Rm вместе с атомом углерода, с которым они связаны, образуют 5-, 6-членное насыщенное кольцо;
I равно 0 или 1;
v равно 1;
w равно 0, 1.
2. Бензоилпроизводные общей формулы (I) по п.1, в которой
R1, R2, R3 независимо друг от друга являются водородом, алкилом с 1-6 атомами углерода;
R5 является фенилом, 5- или 6-членным гетероарилом, который может содержать до 3 гетероатомов из группы азот и сера и, в случае необходимости, однократно или многократно замещенные галогеном нитро, циано, алкокси с 1 – 6 атомами углерода; или является радикалом из группы -O-N=CRlRm, -P(=O(ORi)(ORk); или в том случае, если Е является связью, R5 также может являться гидрокси.
3. Бензоилпроизводные общей формулы (I) по п.1 или 2, в которой
R1, R2, R3 независимо друг от друга являются водородом, алкилом с 1-6 атомами углерода;
R4 является водородом;
R5 является фенилом, 5- или 6-членным гетероарилом, который может содержать до 3 гетероатомов из группы азот и сера и, в случае необходимости, однократно или многократно замещенные галогеном нитро, циано, алкокси с 1-6 атомами углерода; или является радикалом из группы -O-N=CRlRm, -P(=O)(ORi)(ORk); или в том случае, если Е является связью, R5 также может являться гидрокси;
А является дивалентным элементом SO2;
В является насыщенной цепью, состоящей из от одного до двух атомов углерода;
Е является связью, насыщенной 1-6-членной цепью;
R6 является ORf
Y является CHR7;
R7 является водородом;
Z является CHR7;
R8 является водородом, алкилом с 1-6 атомами углерода;
R9 является циклоалкилом с 3-6 атомами углерода;
R10 является алкилом с 1-6 атомами углерода;
R11 является водородом или группой L-R12, где L является SO2, а R12 является алкилом с 1-6 атомами углерода;
Ra и Rb независимо друг от друга являются водородом, алкилом с 1 – 6 атомами углерода;
Rc и Rd являются водородом;
Rf является водородом;
w равно 0, 1.
4. Бензоилпроизводные общей формулы (I) по одному из пп.1-3, в которой R1, R2, R3 независимо друг от друга являются водородом, алкилом с 1 – 6 атомами углерода;
R4 является водородом;
R5 является фенилом, 5- или 6-членным гетероарилом, который может содержать до 3 гетероатомов из группы азот и сера и, в случае необходимости, однократно или многократно замещенные галогеном нитро, циано, алкокси с 1-6 атомами углерода; или является радикалом из группы -O-N=CRlRm, -P(=O(ORi)(ORk); или в том случае, если Е является связью, R5 также может являться гидрокси;
А является дивалентным элементом SO2;
В является насыщенной цепью, состоящей из от одного до двух атомов углерода;
Е является связью, насыщенной 1-6-членной цепью;
R6 является ORf
Y является CHR7;
R7 является водородом;
R9 является циклоалкилом с 3-6 атомами углерода;
R10 является алкилом с 1-6 атомами углерода;
R11 является водородом или группой L-R12, где L является SO2, a R12 является алкилом с 1-6 атомами углерода;
Rc и Rd являются водородом;
Rf является водородом;
w равно 0, 1.
5. Бензоилпроизводные общей формулы (I) по одному из пп.1-4, в которой Q является радикалом формулы (II) или (III).
6. Бензоилпроизводные общей формулы (I) по одному из пп.1-5, в которой R1 и R2 независимо друг от друга являются водородом, алкилом с 1-4 атомами углерода;
R3 и R4 являются водородом;
А является SO2;
В является СН2-СН2;
Е является связью, насыщенной 1-6-членной цепью;
R6 является ORf;
Y является CHR7;
Z является CHR7;
G1-G2 являются дивалентным элементом из группы OCR9 и NR10COR11;
R7 является водородом;
R8 является водородом;
R9 является циклоалкилом с 3–6 атомами углерода;
R10 является алкилом с 1-6 атомами углерода;
R11 является водородом или группой L-R2, где L является SO2, a R12 является алкилом с 1-6 атомами углерода;
Rf является водородом;
v равно 1.
7. Бензоилпроизводные общей формулы (I) по одному из пп.1-6, в которой Q является радикалом формулы (II).
8. Бензоилпроизводные общей формулы (I) по одному из пп.1-7, в которой R5 является фенилом, 5- или 6-членным гетероарилом, который может содержать до 3 гетероатомов из группы азот и сера и, в случае необходимости, однократно или многократно замещенные галогеном нитро, циано, алкокси с 1-6 атомами углерода.
9. Гербицидное средство, отличающееся тем, что оно содержит соединение общей формулы (I) по одному из пп.1-8.
10. Гербицидное средство по п.9 в смеси со вспомогательными добавками.
РИСУНКИ
MM4A Досрочное прекращение действия патента Российской Федерации на изобретение из-за неуплаты в установленный срок пошлины за поддержание патента в силе
Дата прекращения действия патента: 27.08.2005
Извещение опубликовано: 27.12.2006 БИ: 36/2006
|
||||||||||||||||||||||||||



в которой Q является радикалом формулы (II), (III) или (IV)
где R1, R2, R3 независимо друг от друга являются водородом, алкилом с 1-6 атомами углерода;
R4 является водородом;
R5 является фенилом, 5- или 6-членным гетероарилом, который может содержать до 3 гетероатомов из группы азот и сера и, в случае необходимости, однократно или многократно замещенные галогеном нитро, циано, алкокси с 1-6 атомами углерода; или является радикалом из группы -O-N=RlRm -Р(=O)(ОRi)(ОRk); или в том случае, если Е является связью, R5 также может являться гидрокси;
А является дивалентным элементом SO2;
В является насыщенной цепью, состоящей из от одного до двух атомов углерода;
Е является связью, насыщенной 1-6-членной цепью;
Х является дивалентным элементом из группы О, S;
R6 является Orf
Y является CHR7;
R7 является водородом;
Z является CHR7;
G1-G2 являются OCR9 и NR10COR11, причем атом углерода дивалентного элемента связан двойной связью с атомом углерода кольцевой системы;
R8 является водородом, алкилом с 1-6 атомами углерода;
R9 является циклоалкилом с 3-6 атомами углерода;
R10 является алкилом с 1-6 атомами углерода;
R11 является водородом или группой L-R12, где L является SO2, а R12 является алкилом с 1-6 атомами углерода;
Ra и Rb независимо друг от друга являются водородом, алкилом с 1-6 атомами углерода;
Rc и Rd являются водородом;
Rf является водородом;
Ri и Rk являются Rj;
Rj является алкилом с 1-6 атомами углерода;
Rl и Rm независимо друг от друга являются водородом, алкилом с 1 – 6 атомами углерода или Rl и Rm вместе с атомом углерода, с которым они связаны, образуют 5-, 6-членное насыщенное кольцо;
I равно 0 или 1;
v равно 1;
w равно 0, 1.
2. Бензоилпроизводные общей формулы (I) по п.1, в которой
R1, R2, R3 независимо друг от друга являются водородом, алкилом с 1-6 атомами углерода;
R5 является фенилом, 5- или 6-членным гетероарилом, который может содержать до 3 гетероатомов из группы азот и сера и, в случае необходимости, однократно или многократно замещенные галогеном нитро, циано, алкокси с 1 – 6 атомами углерода; или является радикалом из группы -O-N=CRlRm, -P(=O(ORi)(ORk); или в том случае, если Е является связью, R5 также может являться гидрокси.
3. Бензоилпроизводные общей формулы (I) по п.1 или 2, в которой
R1, R2, R3 независимо друг от друга являются водородом, алкилом с 1-6 атомами углерода;
R4 является водородом;
R5 является фенилом, 5- или 6-членным гетероарилом, который может содержать до 3 гетероатомов из группы азот и сера и, в случае необходимости, однократно или многократно замещенные галогеном нитро, циано, алкокси с 1-6 атомами углерода; или является радикалом из группы -O-N=CRlRm, -P(=O)(ORi)(ORk); или в том случае, если Е является связью, R5 также может являться гидрокси;
А является дивалентным элементом SO2;
В является насыщенной цепью, состоящей из от одного до двух атомов углерода;
Е является связью, насыщенной 1-6-членной цепью;
R6 является ORf
Y является CHR7;
R7 является водородом;
Z является CHR7;
R8 является водородом, алкилом с 1-6 атомами углерода;
R9 является циклоалкилом с 3-6 атомами углерода;
R10 является алкилом с 1-6 атомами углерода;
R11 является водородом или группой L-R12, где L является SO2, а R12 является алкилом с 1-6 атомами углерода;
Ra и Rb независимо друг от друга являются водородом, алкилом с 1 – 6 атомами углерода;
Rc и Rd являются водородом;
Rf является водородом;
w равно 0, 1.
4. Бензоилпроизводные общей формулы (I) по одному из пп.1-3, в которой R1, R2, R3 независимо друг от друга являются водородом, алкилом с 1 – 6 атомами углерода;
R4 является водородом;
R5 является фенилом, 5- или 6-членным гетероарилом, который может содержать до 3 гетероатомов из группы азот и сера и, в случае необходимости, однократно или многократно замещенные галогеном нитро, циано, алкокси с 1-6 атомами углерода; или является радикалом из группы -O-N=CRlRm, -P(=O(ORi)(ORk); или в том случае, если Е является связью, R5 также может являться гидрокси;
А является дивалентным элементом SO2;
В является насыщенной цепью, состоящей из от одного до двух атомов углерода;
Е является связью, насыщенной 1-6-членной цепью;
R6 является ORf
Y является CHR7;
R7 является водородом;
R9 является циклоалкилом с 3-6 атомами углерода;
R10 является алкилом с 1-6 атомами углерода;
R11 является водородом или группой L-R12, где L является SO2, a R12 является алкилом с 1-6 атомами углерода;
Rc и Rd являются водородом;
Rf является водородом;
w равно 0, 1.
5. Бензоилпроизводные общей формулы (I) по одному из пп.1-4, в которой Q является радикалом формулы (II) или (III).
6. Бензоилпроизводные общей формулы (I) по одному из пп.1-5, в которой R1 и R2 независимо друг от друга являются водородом, алкилом с 1-4 атомами углерода;
R3 и R4 являются водородом;
А является SO2;
В является СН2-СН2;
Е является связью, насыщенной 1-6-членной цепью;
R6 является ORf;
Y является CHR7;
Z является CHR7;
G1-G2 являются дивалентным элементом из группы OCR9 и NR10COR11;
R7 является водородом;
R8 является водородом;
R9 является циклоалкилом с 3–6 атомами углерода;
R10 является алкилом с 1-6 атомами углерода;
R11 является водородом или группой L-R2, где L является SO2, a R12 является алкилом с 1-6 атомами углерода;
Rf является водородом;
v равно 1.
7. Бензоилпроизводные общей формулы (I) по одному из пп.1-6, в которой Q является радикалом формулы (II).
8. Бензоилпроизводные общей формулы (I) по одному из пп.1-7, в которой R5 является фенилом, 5- или 6-членным гетероарилом, который может содержать до 3 гетероатомов из группы азот и сера и, в случае необходимости, однократно или многократно замещенные галогеном нитро, циано, алкокси с 1-6 атомами углерода.
9. Гербицидное средство, отличающееся тем, что оно содержит соединение общей формулы (I) по одному из пп.1-8.
10. Гербицидное средство по п.9 в смеси со вспомогательными добавками.