Патент на изобретение №2223267
|
||||||||||||||||||||||||||
(54) СПОСОБ ПОЛУЧЕНИЯ ПРОИЗВОДНЫХ 1,4-ДИГИДРОПИРИДИНА
(57) Реферат: Изобретение относится к способу получения производных 1,4-дигидропиридина ф-лы (I), где R1 – водород; R2, R3 и R5 обозначают (С1-С5)алкокси-С(= O)-; R4 – фенил или замещенный галогеном фенил, R6 – гетероциклическое кольцо, содержащее до 2-х гетероатомов, выбранных из серы и азота; Y – метилен. Способ заключается в том, что соединение ф-лы (II) подвергают взаимодействию с соединением ф-лы (III), где R1 – R6 и Y имеют вышеуказанные значения, в присутствии основания в среде инертного растворителя при температуре от 0oС до комнатной температуры с последующей циклизацией полученного продукта в присутствии кислотного катализатора, выбранного из протонной кислоты. Описываемый способ является универсальным и позволяет получать 1,4-дигидропиридины с различными заместителями в мягких условиях. 3 з.п. ф-лы. ![]() ![]()
Текст описания в факсимильном виде (см. графическую часть)а
Формула изобретения 1. Способ получения производных 1,4-дигидропиридина, формулы (1)
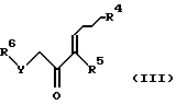
где R1 обозначает водород;
R2, R3 и R5 обозначают (C1-C5) алкокси С(=0);
R4 обозначает незамещенный или моно- или дизамещенный галогеном фенил;
R6 обозначает гетероциклическое кольцо, содержащее до 2-х гетероатомов, выбранных из серы и азота;
Y обозначает метилен, отличающийся тем, что включает стадии:
(а) присоединения енаминового соединения формулы (II)
к соединению формулы (III)
где R1-R6 и Y имеют вышеуказанные значения,
в присутствии основания в среде инертного растворителя при температуре от 0°С до комнатной температуры;
(в) циклизации полученного на стадии (а) соединения в присутствии кислотного катализатора, выбранного из протонной кислоты.
2. Способ по п.1, в котором основание на стадии (а) является основанием магния II, а кислотный катализатор на стадии (в) является протонной кислотой.
3. Способ по п.1, в котором основание на стадии (а) выбирают из (C1-C4) алкиллития, галогеномагний (C1-С4)алкоголята, (C1-C6)алкилмагнийгалогенидов, гидридов металлов, (C1-С3)алкоголятов металлов, н-бутилата металла, втор-бутилата металла, трет-бутилата металла, карбоната металла и фторида металла.
4. Способ по п.1, в котором катализатор на стадии (в) выбирают из хлористоводородной кислоты, п-толуолсульфокислоты, фосфорной кислоты, серной кислоты, азотной кислоты и (C1-C6) алкановой кислоты.
РИСУНКИ
TK4A – Поправки к публикациям сведений об изобретениях в бюллетенях “Изобретения (заявки и патенты)” и “Изобретения. Полезные модели”
Страница: 526
Напечатано: (57) 1. …R2,R3 и R5 обозначают (С1-С5) алкокси С(=0);
Следует читать: (57) 1. …R2,R3 и R5 обозначают (С1-С5) алкокси С(=О)-;
Номер и год публикации бюллетеня: 4-2004
Код раздела: FG4A
Извещение опубликовано: 20.11.2004 БИ: 32/2004
TK4A – Поправки к публикациям сведений об изобретениях в бюллетенях “Изобретения (заявки и патенты)” и “Изобретения. Полезные модели”
Страница: 527
Напечатано: 3. …, (С1 –
Следует читать: 3. …, (С1 – С3) алкоголятов металлов,…
Номер и год публикации бюллетеня: 4-2004
Код раздела: FG4A
Извещение опубликовано: 20.11.2004 БИ: 32/2004
MM4A – Досрочное прекращение действия патента СССР или патента Российской Федерации на изобретение из-за неуплаты в установленный срок пошлины за поддержание патента в силе
Дата прекращения действия патента: 09.12.2005
Извещение опубликовано: 20.12.2007 БИ: 35/2007
|
||||||||||||||||||||||||||



Текст описания в факсимильном виде (см. графическую часть)а
где R1 обозначает водород;
R2, R3 и R5 обозначают (C1-C5) алкокси С(=0);
R4 обозначает незамещенный или моно- или дизамещенный галогеном фенил;
R6 обозначает гетероциклическое кольцо, содержащее до 2-х гетероатомов, выбранных из серы и азота;
Y обозначает метилен, отличающийся тем, что включает стадии:
(а) присоединения енаминового соединения формулы (II)
к соединению формулы (III)
где R1-R6 и Y имеют вышеуказанные значения,
в присутствии основания в среде инертного растворителя при температуре от 0°С до комнатной температуры;
(в) циклизации полученного на стадии (а) соединения в присутствии кислотного катализатора, выбранного из протонной кислоты.
2. Способ по п.1, в котором основание на стадии (а) является основанием магния II, а кислотный катализатор на стадии (в) является протонной кислотой.
3. Способ по п.1, в котором основание на стадии (а) выбирают из (C1-C4) алкиллития, галогеномагний (C1-С4)алкоголята, (C1-C6)алкилмагнийгалогенидов, гидридов металлов, (C1-С3)алкоголятов металлов, н-бутилата металла, втор-бутилата металла, трет-бутилата металла, карбоната металла и фторида металла.
4. Способ по п.1, в котором катализатор на стадии (в) выбирают из хлористоводородной кислоты, п-толуолсульфокислоты, фосфорной кислоты, серной кислоты, азотной кислоты и (C1-C6) алкановой кислоты.
3) алкоголятов металлов,…