Патент на изобретение №2223260
|
||||||||||||||||||||||||||
(54) ПЕНТА{[ПОЛИ(ЭТИЛЕНОКСИ)КАРБОНИЛМЕТИЛ]АММОНИЕВЫЕ}ПРОИЗВОДНЫЕ ТРЕХЪЯДЕРНЫХ ТРИФЕНОЛОВ, ОБЛАДАЮЩИЕ ФУНГИСТАТИЧЕСКОЙ АКТИВНОСТЬЮ, И СПОСОБ ИХ ПОЛУЧЕНИЯ
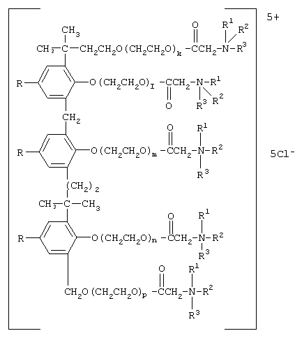
(57) Реферат: Изобретение относится к органической химии, а именно к синтезу не известных ранее четвертичных аммониевых соединений типа пента{ [поли(этиленокси)карбонилметил]аммониевые} производные трехъядерных трифенолов, обладающих фунгистатической активностью, которые могут быть использованы для борьбы с грибковыми поражениями в медицине, ветеринарии и сельском хозяйстве. Описываются пента{[поли(этиленокси)карбонилметил]аммониевые} производные трехъядерных трифенолов, обладающие фунгистатической активностью. Способ получения предлагаемых соединений заключается во взаимодействии монохлоруксусной кислоты со спиртовой компонентой в присутствии кислотных катализаторов в среде кипящего растворителя с азеотропным удалением образовавшейся воды и последующей обработкой полученного продукта аминами при нагревании, причем в качестве спиртовой компоненты используют оксиэтилированный продукт конденсации алкилфенолов с 4,4-диметил-диоксаном-1,3(оксалем), в качестве катализатора – Н+-форму катионобменной смолы КУ-2, а в качестве аминов – соединения R1R2R3N, где R1 – алкил С12-С14; R2 = CH2CH2O(CH2CH2O)aH; R3 = CH2CH2O(CH2CH2O)вH; a + в = 4 – общая степень оксиэтилирования; при молярном соотношении оксиэтилированный продукт : монохлоруксусная кислота : амины = 1 : 5,0-5,5 : 0-5,1 соответственно. 2 с. и 2 з.п.ф-лы, 1 табл. Текст описания в факсимильном виде (см. графическую часть)т Формула изобретения 1. Пента{[поли(этиленокси)карбонилметил]аммониевые}производные трехъядерных трифенолов общей формулы ,
где R – алифатический углеводородный радикал, содержащий 8-10 атомов углерода;
R1 – алифатический углеводородный радикал, содержащий 12-14 атомов углерода;
R2 = СН2СН2O(СН2СН2O)аН;
R3 = СН2СН2O(СН2СН2O)вН;
а+в = общая степень оксиэтилирования, равная 4-6;
k+l+n+m+p = общая степень оксиэтилирования, равная 13-17,
обладающие фунгистатической активностью.
2. Способ получения пента{[поли(этиленокси)карбонилметил]аммониевые} производных трехядерных трифенолов формулы, указанной в п.1, заключающийся во взаимодействии монохлоруксусной кислоты с оксиэтилированным продуктом конденсации алкилфенола с 4,4-диметилдиоксаном-1,3 формулы
,
где R – алифатический углеводородный радикал, содержащий 8-10 атомов углерода;
k+l+n+m+p = общая степень оксиэтилирования, равная 13-17,
в присутствии кислотного катализатора – H+ формы катионобменной смолы КУ-2 в среде кипящего растворителя с азеотропным удалением образующейся воды и с последующей обработкой полученного продукта реакции аминосоединением формулы
где R1 – алифатический углеводородный радикал, содержащий 12-14 атомов углерода;
R2 = СН2СН2O(СН2СН2O)аН;
R3 = СН2СН2O(СН2СН2O)вН;
а+в = общая степень оксиэтилирования, равная 4-6,
при нагревании при молярных соотношениях – оксиэтилированный продукт : монохлоруксусная кислота : амины=1:5,0-5,5:5,0-5,1 соответственно.
3. Способ по п.2, заключающийся в том, что в качестве растворителя используют толуол.
4. Способ по п.2 и 3, заключающийся в том, что обработку аминосоединением ведут при 80-90 С.
РИСУНКИ
MM4A Досрочное прекращение действия патента Российской Федерации на изобретение из-за неуплаты в установленный срок пошлины за поддержание патента в силе
Дата прекращения действия патента: 09.04.2005
Извещение опубликовано: 20.05.2006 БИ: 14/2006
|
||||||||||||||||||||||||||

,
где R – алифатический углеводородный радикал, содержащий 8-10 атомов углерода;
R1 – алифатический углеводородный радикал, содержащий 12-14 атомов углерода;
R2 = СН2СН2O(СН2СН2O)аН;
R3 = СН2СН2O(СН2СН2O)вН;
а+в = общая степень оксиэтилирования, равная 4-6;
k+l+n+m+p = общая степень оксиэтилирования, равная 13-17,
обладающие фунгистатической активностью.
2. Способ получения пента{[поли(этиленокси)карбонилметил]аммониевые} производных трехядерных трифенолов формулы, указанной в п.1, заключающийся во взаимодействии монохлоруксусной кислоты с оксиэтилированным продуктом конденсации алкилфенола с 4,4-диметилдиоксаном-1,3 формулы
,
где R – алифатический углеводородный радикал, содержащий 8-10 атомов углерода;
k+l+n+m+p = общая степень оксиэтилирования, равная 13-17,
в присутствии кислотного катализатора – H+ формы катионобменной смолы КУ-2 в среде кипящего растворителя с азеотропным удалением образующейся воды и с последующей обработкой полученного продукта реакции аминосоединением формулы
где R1 – алифатический углеводородный радикал, содержащий 12-14 атомов углерода;
R2 = СН2СН2O(СН2СН2O)аН;
R3 = СН2СН2O(СН2СН2O)вН;
а+в = общая степень оксиэтилирования, равная 4-6,
при нагревании при молярных соотношениях – оксиэтилированный продукт : монохлоруксусная кислота : амины=1:5,0-5,5:5,0-5,1 соответственно.
3. Способ по п.2, заключающийся в том, что в качестве растворителя используют толуол.
4. Способ по п.2 и 3, заключающийся в том, что обработку аминосоединением ведут при 80-90
С.