Патент на изобретение №2223089
|
||||||||||||||||||||||||||
(54) СРЕДСТВО ДЛЯ ЗАЩИТЫ КОЖИ И ВОЛОС ЧЕЛОВЕКА И ЖИВОТНЫХ ОТ ВРЕДНОГО ВОЗДЕЙСТВИЯ УЛЬТРАФИОЛЕТОВОГО ИЗЛУЧЕНИЯ И КОСМЕТИЧЕСКИЙ СОСТАВ
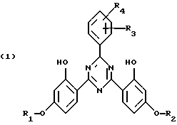
(57) Реферат: Описывается использование бис(резорцинил)триазинов формулы ![]() где R1 и R2 каждый самостоятельно обозначает водород, разветвленный C1-C18-алкил, С2-С18-алкенил, радикал формулы -СН2-СН(-ОН)-СН2-O-T1; радикал формулы ![]() или радикал формулы ![]() R3 и R4 каждый самостоятельно обозначает водород или C1-C5-алкил; R5 обозначает гидрокси; С1-С5-алкокси, который не замещен или замещен одной или несколькими группами ОН; амино; моно- или ди-С1-С5-алкиламино; М; радикал формулы ![]() ![]() ![]() ![]() ![]() ![]() R6 обозначает прямую связь; прямоцепочечный или разветвленный 1-С4-алкилен или радикал формулы или ; R7, R8 и R9 каждый самостоятельно обозначает C1-C18-алкил; C1-C18-алкокси или радикал формулы (1i)![]() R10, R11 и R12 каждый самостоятельно обозначает C1-C14-алкил, который не замещен или замещен одной или несколькими группами ОН; R13 обозначает водород; М; С1-С5-алкил или радикал формулы ; R14 обозначает С1-С5-алкил; М обозначает катион металла; T1 обозначает водород или С1-С8-алкил; m1 равно 1-3; m2 равно 2-14 и p1 равно 0 или обозначает число 1 – 5, для защиты кожи и волос людей и животных от пагубного воздействия ультрафиолетового излучения. Соединения, используемые в соответствии с настоящим изобретением, являются очень мощными абсорберами ультрафиолетового излучения группы А (УФ-А) с частями в диапазоне УФ-В и особенно пригодны в качестве солнцезащитных экранов в косметических, фармацевтических и ветеринарных составах. Изобретение позволяет реализовать указанное назначение. 2 с. и 7 з.п. ф-лы. 5 табл.
Настоящее изобретение относится к средству для защиты кожи и волос человека и животных от вредного воздействия ультрафиолетового излучения, включающему производные бис(резорцинил)триазина, и к косметическому составу, содержащему эти производные бис(резорцинил)триазина.
Бис(резорцинил)триазины в соответствии с настоящим изобретением соответствуют формуле![]() где R1 и R2 каждый независимо от другого обозначает разветвленный С5-С18-алкил; С2-С18-алкенил; радикал -СН2-СН(-ОН)-СН2-O-Т1; радикал формулы ![]() или радикал формулы ![]() R3 и R4 каждый независимо от другого обозначает водород или С1-С5-алкил; R5 обозначает гидрокси; С1-С5-алкокси, который не замещен или замещен одной или несколькими группами ОН; амино; моно- или ди-С1-С5-алкиламино; М; радикал формулы ![]() ![]() ![]() ![]() ![]() ![]() R6 обозначает прямую связь; прямоцепочечный или разветвленный 1-С4-алкилен;или радикал формулы или ;R7, R8 и R9 каждый самостоятельно обозначает С1-С18-алкил; C1-C18-алкокси или радикал формулы (1i) ![]() R10, R11 и R12 каждый независимо один от другого обозначает C1-C14-алкил, который не замещен или замещен одной или несколькими группами ОН; R13 обозначает водород; М; С1-С5-алкил или радикал формулы ;R14 обозначает С1-С5-алкил; М обозначает катион металла; T1 обозначает водород или C1-C8-алкил; m1 – от 1 до 3; m2 – от 2 до 14 и p1=0 или обозначает число от 1 до 5. С1-С5-алкил, C1-C8-алкил и C1-C18-алкил обозначают прямоцепочечные или разветвленные радикалы алкила, например метил этил, н-пропил, изопропил, н-бутил, втор-бутил, трет-бутил, амил, изоамил или трет-амил, гептил, октил, изооктил, нонил, децил, ундецил, додецил, тетрадецил, пентадецил, гексадецил, гептадецил или октадецил. С1-С5-алкокси и C1-C18-алкокси обозначают прямоцепочечные или разветвленные радикалы алкокси, например метокси, этокси, н-пропокси, изопропокси, н-бутилокси, втор-бутилокси, трет-бутилокси, амилокси, изоамилокси или трет-амилокси, гептилокси, октилокси, изооктилокси, нонилокси, децилокси, ундецилокси, додецилокси, тетрадецилокси, пентадецилокси, гексадецилокси, гептадецилокси или октадецилокси. C1-C18-алкенил обозначает, например, аллил, металлил, изопропенил, 2-бутенил, 3-бутенил, изобутенил, н-пента-2,4-диенил, 3-метил-бут-2-енил, н-окт-2-енил, н-додец-2-енил, изо-додеценил, н-додец-2-енил или н-октадец-4-енил. Примерами моно- или ди-С1-С5-алкиламино являются метиламино, этиламино, пропиламино, н-бутиламино, втор-бутиламино, трет-бутиламино, пентиламино, диметиламино, диэтиламино, дипропиламино, дибутиламино или метилэтиламино. Примерами катионов металла являются ион лития, калия, натрия, кальция, магния, меди или цинка. В соответствии с настоящим изобретением предпочтительно использовать бис(резорцинил) соединения формулы ![]() где R15 и R16 каждый независимо от другого обозначает разветвленный С5-С18-алкил или группу формулы -СН2-СH(-OH)-СH2-О-Т1; R17 и R18– водород; T1 – водород или С1-С5-алкил. Особый интерес представляют те соединения формулы (2), в которых R15 и R16 каждый независимо от другого обозначает группу формулы -CH2-CH(-OH)-CH2-O-T1; R17 и R18 обозначают водород; T1 обозначает водород или С1-С5-алкил. Особым преимуществом пользуются те соединения формулы (2), в которых R15 и R16 каждый независимо от другого обозначает разветвленный С5-С18-алкил; R17 и R18 обозначают водород. Наибольшим преимуществом пользуются те соединения триазина формулы (2), в которых R15 и R16 имеют одинаковые значения. Другими производными триазина, которые могут быть использованы в соответствии с настоящим изобретением, являются такие, которые соответствуют формуле ![]() где R19 и R20 каждый независимо от другого обозначает радикал формулы ![]() и R21, R22 и R23 каждый независимо один от другого обозначает водород или C1-С10-алкил. Примерами соединений формулы (1) являются: 2-фенил-4-{ [4-(3-(2-пропилокси)-2-гидроксипропилокси)-2-гидрокси]фенил} -6-(4-метоксифенил)-1,3,5-триазин; 2-(4-метилфенил)-4,6-бис{ [4-(2-этилгексилокси)-2-гидрокси] -фенил} -1,3,5-триазин; 2-(2,4-диметилфенил)-4,6-бис{ [4-(2-этилгексилокси)-2-гидрокси]-фенил}-1,3,5-триазин; 2-фенил-4,6-бис{[4-(2-этилгексилокси)-2-гидрокси]фенил}-1,3,5-триазин; 2-фенил-4,6-бис{ [4-(трис(триметилсилоксисилилпропилокси)-2-гидрокси] фенил}-1,3,5-триазин; 2-фенил-4,6-бис{ [4-(2”-метилпропенилокси)-2-гидрокси] фенил} -1,3,5-триазин; 2-фенил-4,6-бис{ [4-(3-(2-пропилокси)-2-гидроксипропилокси)-2-гидрокси] фенил}-1,3,5-триазин или 2-фенил-4,6-бис{[4-(2-этилгексилокси)-2-гидрокси]фенил}-1,3,5-триазин. Другие примеры производных триазина приведены в Таблице 1. Бис(резорцинил)триазины, которые могут быть использованы в соответствии с настоящим изобретением, можно получить различными способами, например, используя соединения нитрила в качестве исходных соединений. Соединение дихлортриазина формулы ![]() можно получить, например, взаимодействием бензонитрила с дициандиамидом с получением соединения диаминотриазина, которое затем омыляют в дигидрокситриазин (таутомер= дион) с последующим превращением в соединение дихлортриазина формулы (1k) с помощью тионилхлорида. Затем вводят две группы резорцина общепринятым способом, используя ацилирование резорцина реакцией Фриделя-Крафтса в присутствии кислоты Льюиса, предпочтительно хлористого алюминия. В третьей стадии свободные гидроксильные группы в п-положении этерифицируют в зависимости от значения R1 и R2 в формуле (1) алкилированием или кислотно-катализируемым добавлением глицидиловых эфиров. Другие способы получения производных триазина, которые можно использовать в соответствии с настоящим изобретением, описаны в заявке на Европейский патент ЕР-А-0775698. Соединения бис(резорцинил)триазина формулы (1), используемые в соответствии с настоящим изобретением, особенно пригодны в качестве фильтров ультрафиолетового излучения, то есть для защиты органических материалов, чувствительных к ультрафиолетовому излучению, особенно кожи и волос человека и животных, от вредного воздействия ультрафиолетового излучения. Эти соединения являются весьма мощными абсорберами ультрафиолетового излучения (далее в тексте УФ-абсорберы) группы А (УФ-А) с частями в диапазоне УФ-В и могут быть получены при низкой стоимости. Следовательно, эти соединения пригодны для использования в качестве стабилизаторов против воздействия света (светостабилизаторов) в косметических, фармацевтических и ветеринарных составах. Они могут использоваться в растворенном, а также в измельченном (с помощью микронной коллоидной мельницы) виде. Поэтому настоящее изобретение также относится к косметическому составу, который содержит, по крайней мере, одно соединение формулы (1), а также косметически совместимые носители или вспомогательные вещества. Для косметического применения светостабилизаторы предлагаемого изобретения обычно имеют средний размер частиц в диапазоне от 0,02 до 2, предпочтительно от 0,05 до 1,5, наиболее предпочтительно от 0,1 до 1,0 м. Нерастворимые УФ-абсорберы, используемые в соответствии с настоящим изобретением, можно привести к желаемому размеру частиц традиционными методами, например путем измельчения с помощью струйной, шаровой, вибрационной или молотковой мельницы. Измельчение предпочтительно осуществляют в присутствии от 0,1 до 30 мас. %, предпочтительно от 0,5 до 15 мас.%, на основе массы УФ-абсорбера, интенсификатора помола, такого как алкилированный винилпирролидоновый полимер, сополимер винилпирролидона и винилацетата, ацилглутамат или предпочтительно фосфолипид. Помимо предлагаемых УФ-абсорберов косметический состав также может содержать одно или несколько других веществ, защищающих от УФ-излучения, например органический УФ-абсорбер из классов производных п-аминобензойной кислоты, производных салициловой кислоты, производных бензофенона, производных дибензоилметана, производных дифенилакрилата, производных бензофурана, полимерных УФ-абсорберов, содержащих один или более кремнийорганических радикалов, производных коричной кислоты, производных камфоры, производных трианилино-s-триазина, фенилбензимидазол-сульфокислоты и ее солей, ментилантранилатов, производных бензотриазола и/или неорганического микропигмента, выбранного из группы, состоящей из оксида алюминия или диоксида кремния, инкапсулированных ТiO2, оксида цинка или слюды. Примерами производных п-аминобензойной кислоты (РАВА) являются следующие соединения: 4-аминобензойная кислота (РАВА); этилдигидроксипропил-РАВА формулы ![]() ПЭГ-25-PABA формулы ![]() где m, n и х имеют одинаковое значение и каждый обозначает самое большее 25; октилдиметил РАВА формулы ![]() или глициламинобензоат формулы ![]() Примерами производных салициловой кислоты являются следующие соединения: гомоментилсалицилат формулы (8) ![]() триэтаноламиносалицилат формулы (9) ![]() амил-п-диметиламинобензоат формулы (10) ![]() октилсалицилат формулы (11) ![]() или 4-изопропилбензилсалицилат формулы (12) ![]() Примерами производных бензофенона являются следующие соединения: бензофенон-3-(2-гидрокси-4-метоксибензофенон), бензофенон-4-(2-гидрокси-4-метоксибензофенон-5-сульфокислота) или бензофенон-8-(2,2-дигидрокси-4-метоксибензофенон). Примерами производных дибензоилметана являются следующие соединения: бутилметоксидибензоилметан-[1-(4-трет-бутил)-3-(4-метоксифенил)пропан-1,3 -дион]. Примерами производных дифенилакрилата являются следующие соединения: октокрилен(2-этилгексил-2-циано-3,3′-дифенилакрилат) или этокрилен(этил-2-циано-3,3′-дифенилакрилат). Примерами производных бензофурана являются следующие соединения: 3-(бензофуранил)-2-цианоакрилат, 2-(2-бензофуранил)-5-трет-бутилбензоксазол или 2-(п-аминофенил)бензофуран и в особенности соединение формулы ![]() или (14) ![]() производное бензилиденмалоната, в частности соединение формулы ![]() где R24 обозначает водород или O-Ме и r обозначает приблизительно 7; соединение формулы ![]() или (17) ![]() Примерами производных циннамата являются следующие соединения: октилметоксисукцинамат (сложный 2-этилгексиловый эфир 4-метоксикоричной кислоты), диэтаноламинметоксисукцинамат (диэтаноламиновая соль 4-метоксикоричной кислоты), изоамил-п-метоксисукцинамат (сложный 2-изоамиловый эфир 4-этоксикоричной кислоты), 2,5-диизопропилметилсукцинамат или амидопроизводное коричной кислоты. Примерами производных камфоры являются следующие соединения: 4-метилбензилиденкамфора [3-(4-метил)бензилиденборнан-2-он], 3-бензилиденкамфора (3-бензилиденборнан-2-он), полиакриламидометилбензилиденкамфора { N-[2(и 4)-2-окси-борн-3-илиденметил)бензил] акриламидный полимер}, триаммонийбензилиденкамфорасульфат-[3-4- триметиламмоний)бензилиденборнан-2-онеметилсульфат] , терефталидендикамфорасульфокислота { 3,3-1,4-фенилендиметин)-бис-(7,7-диметил-2-оксобицикло-[2.2.1]-гептан-1-метансульфокислота} или ее соль или бензилиден-камфорасульфокислота [3-(4-сульфо)-бензилиден-борнан-2-он] или его соль. Примерами производных трианилино-s-триазина являются следующие соединения: октилтриазин-(2,4,6-трианилино-(пара-карбо-2′-этил-1′-окси)-1,3,5-триазин, а также производные трианилино-s-триазина, описанные в патенте США 5332568, патенте США 5252323, заявках на патент РСТ 93/17002 и 97/03642, а также в заявке на Европейский патент 0517104. Примером соединений бензотриазола является 2-(2-гидрокси-5-метилфенил)бензотриазол. Новый косметический состав содержит от 0,1 до 15 мас.%, предпочтительно от 0,5 до 10 мас.%, на основе общей массы состава, УФ-абсорбера или смеси УФ-абсорберов, а также косметически совместимое вспомогательное вещество. Косметический состав можно получить путем физического смешения УФ-абсорбера(ов) с вспомогательным веществом традиционными методами, например с помощью простого смешивания отдельных компонентов. Новый косметический состав можно приготовить в виде эмульсии типа “вода в масле” или “масло в воде”, в виде лосьона типа “масло в спирте”, в виде везикулярной (состоящей из пузырьков) дисперсии ионного или неионного амфифильного липида, в виде геля, твердого прилипаемого состава или в виде аэрозольного состава. В качестве эмульсии типа “вода в масле” или “масло в воде” косметически совместимое вспомогательное вещество предпочтительно содержит от 5 до 50 % масляной фазы, от 5 до 20 % эмульгатора и от 30 до 90 % воды. Масляная фаза может содержать любое масло, пригодное для косметических составов, например одно или несколько углеводородных масел, воск, натуральное масло, силиконовое масло, сложный эфир жирной кислоты или спирт жирного ряда. Предпочтительными моно- или полиолами (высокомолекулярными спиртами) являются этанол, изопропанол, пропиленгликоль, гексиленгликоль, глицерин и сорбит. Можно использовать любой традиционный эмульгатор для предлагаемого косметического состава, например один или несколько этоксилированных сложных эфиров натуральных производных, таких как полиэтоксилированный сложный эфир гидрогенизированного касторового масла, или эмульгатор на основе силиконового масла, такой как силиконполиол, по выбору этоксилированное мыло жирной кислоты, этоксилированный спирт жирного ряда, по выбору этоксилированный сложный эфир сорбитана, этоксилированная жирная кислота или этоксилированный глицерид. Косметический состав также может содержать другие компоненты, например смягчающие вещества, стабилизаторы эмульсии, увлажнители кожи, ускорители загара, загустители, такие как ксантан, средства для удержания влаги, такие как глицерин, консерванты, ароматизаторы и красители. Новый косметический состав отличается превосходными свойствами защиты кожи от пагубных воздействий солнечного света. В следующих примерах процентные содержания приведены по массе. Количества, данные для соединений бис(резорцинил)триазина, касаются беспримесного вещества. Примеры Примеры использования для косметической защиты от света Светостабилизаторы определяют в соответствии с методом Diffey и Robson, J. Soc. Chem. 40, 127-133 (1989), используя анализатор коэффициента защиты от солнца (SPF) марки Optometrix, SPF 290. Для определения значений фотохимической инактивности (фотостабильности) фильтровальные субстраты растворяют в этаноле (с= 1 105-5 105 М) и облучают, перемешивая, в кварцевой кювете, используя металлическую галогенную лампу (Масаm) (Iуфв= 0,4-8,0 мВт/см2). Для преобразования в солнечный спектр (CIE D65 – нормальный солнечный свет стандартизован до Iуфв=0,127 мВт/см2) высчитывают интеграл по продуктам интенсивности света лампы с разрешенной длиной волны и соответствующие значения абсорбции соответственных УФ-абсорберов в диапазоне от 290 до 400 нм, который затем делят на интеграл по продуктам интенсивности света D65 и соответствующих значений абсорбции соответственного УФ-абсорбера в диапазоне от 290 до 400 нм. Этот коэффициент умножают на период полураспада для разрушения под воздействием облучения металлической галогенной лампой с получением соответствующего периода полураспада под воздействием солнечного облучения. Период полураспада для фоторазложения (фотодеструкции) под воздействием лампового облучения определяют посредством УФ-спектроскопического измерения гашения при длине волны максимальной абсорбции и последующей экспоненциальной аппроксимации. Используя описанный способ, таким образом определяют периоды полураспада для фотодеструкции в свете D65.
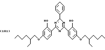
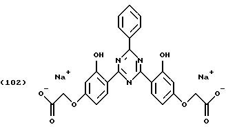
Пример 1. Эмульсия типа “масло в воде” с соединением формулы (101)![]() максим: 356 нм (этанол) максим: 41400 М-1см-1(А): УФ-абсорбер на основе триазина формулы (101) – 4 г кунжутное масло – 10 г глицерил стеарат – 4 г стеариновая кислота – 1 г цетиловый спирт – 0,5 г полисорбат 20 – 0,2 г (B): пропиленгликоль – 4 г пропилпарабен – 0,05 г метилпарабен – 0,15 г триэтаноламин – 0,1 г Carbomer 934 – 0,1 г вода – добавляют до 100 мл Получение эмульсии Фаза (А): УФ-абсорбер вначале растворяют в кунжутном масле, после чего добавляют другие компоненты из состава (А) и все вместе плавят. Фаза (В): Пропилпарабен и метилпарабен растворяют в пропиленгликоле. Затем добавляют 60 мл воды, смесь нагревают до температуры 70oС и в ней эмульгируют Carbomer 934. Эмульсия: (А) медленно добавляют в (В) с подачей мощной механической энергии. Объем доводят до 100 мл добавлением воды. Полученные коэффициенты противосолнечной защиты и фотостабильности приведены в таблице 2. Коэффициент противосолнечной защиты может изменяться с изменением концентрации УФ-абсорбера. Результаты показывают, что активное вещество обладает высокой фотостабильностью и что хорошие значения коэффициента противосолнечной защиты могут быть достигнуты даже при низкой концентрации. В таблице 3 приведены другие физически определенные меры измерения для характеристики УФ-А. Пример 2. Солнцезащитная эмульсия, содержащая новый маслорастворимый фильтр (101) и октилметоксициннамат (таблица 4) Процедура: Компоненты (А) смешивают по порядку и нагревают до температуры 70oС. Компоненты (В) смешивают, нагревают до температуры 70oС и перемешивают до растворения фильтра. Затем (С) добавляют к (В) и смешивают в течение 20 минут (=смесь (ВС)). Затем (D) добавляют к (ВС) (= смесь (BCD)). (A) добавляют к (BCD), перемешивая и охлаждая до комнатной температуры. Полученный SPF (солнцезащитный коэффициент): 16 (метод в соответствии с примером 1). Пример 3. Состав для противосолнечного экрана, содержащий новый водорастворимый фильтр формулы (102) и октилметоксициннамат (таблица 5) ![]() Imax=352 нм (этанол) еmах=39800 М-1см-1 Процедура: (А) диспергируют в (В) и после образования гомогенной смеси компоненты (С) (= смесь (АВС)) добавляют по порядку. При нагревании до температуры 85oС компоненты (D) объединяют в отдельном сосуде и нагревают при перемешивании до температуры 85oС. Когда температура (АВС) и (D) достигает 85oС и эти смеси имеют гомогенный характер, (D) медленно добавляют к (АВС) при энергичном перемешивании. Через 15 минут, когда добавлена последняя порция (D), начинают охлаждение до комнатной температуры. Полученный SPF (солнцезащитный коэффициент): 12 (метод в соответствии с примером 1). Формула изобретения 1. Средство для защиты кожи и волос человека и животных от вредного воздействия ультрафиолетового излучения формулы
где R1 и R2 каждый независимо от другого обозначает разветвленный
С5-С18-алкил; С2-С18-алкенил; радикал формулы
-СН2-СН(-ОН)-СН2-O-Т1; радикал формулы
или радикал формулы (1b)
R3 и R4 каждый самостоятельно обозначает водород или C1-C5-алкил;
R5 обозначает гидрокси; С1-С5-алкокси, который не замещен или замещен одной или несколькими группами ОН; амино; моно- или ди-С1-С5-алкиламино; М; радикал формулы
R6 обозначает прямую связь; прямоцепочечный или разветвленный 1-С4-алкилен или радикал формулы или
R7, R8 и R9 каждый независимо один от другого обозначает C1-C18-алкил; C1-C18-алкокси или радикал формулы (1i)
R10, R11 и R12 каждый независимо один от другого обозначает С1-С14-алкил, который не замещен или замещен одной или несколькими группами ОН;
R13 обозначает водород; М; С1-С5-алкил или радикал формулы
R14 обозначает С1-С5-алкил;
М обозначает катион металла;
T1 обозначает водород или С1-С8-алкил;
m1 равняется 1-3;
m2 равняется 2-14 и
p1 равно 0 или обозначает число от 1 до 5.
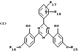
2. Средство по п.1, отличающееся тем, что бис(резорцинил)триазин представляет собой соединение формулы
где R15 и R16 каждый независимо один от другого обозначает разветвленный 5-C18-алкил или группу формулы -CH2-CH(-OH)-CH2-O-T1;
R17 и R18 – водород;
Т1 обозначает водород или С1-С5-алкил.
3. Средство по п.2, отличающееся тем, что в формуле (2)
R15 и R16 каждый независимо один от другого обозначает группу формулы -СН2-СН(-ОН)-СН2-O-Т1;
R17 и R18 – водород и
Т1 обозначает водород или С1-С5-алкил.
4. Средство по п.3, отличающееся тем, что в формуле (2)
R15 и R16 каждый независимо один от другого обозначает разветвленный 5-C18-алкил; и
R17 и R18 обозначают водород.
5. Средство по пп.2-4, отличающееся тем, что в формуле (2) R15 и R16 имеют одинаковые значения.
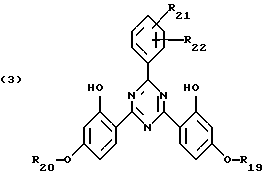
6. Средство по п.1, отличающееся тем, что использование бис(резорцинил)триазина представляет собой соединение формулы
где R19 и R20 каждый независимо один от другого обозначает радикал формулы
и R21, R22 и R23 каждый независимо один от другого обозначает водород или С1-С10-алкил.
7. Косметический состав, содержащий абсорбер ультрафиолетового излучения формулы (1) по п.1 вместе с косметически совместимыми носителями или вспомогательными веществами.
8. Состав по п.7, отличающийся тем, что он содержит дополнительные вещества, защищающие от ультрафиолетового излучения.
9. Состав по п.7 или 8, отличающийся тем, что он содержит дополнительные вещества, защищающие от ультрафиолетового излучения, представляют собой органический абсорбер ультрафиолетового излучения из классов производных п-аминобензойной кислоты, производных салициловой кислоты, производных бензофенона, производных дибензоилметана, производных дифенилакрилата, производных бензофурана, полимерных УФ-абсорберов, содержащих один или более кремнийорганических радикалов, производных коричной кислоты, производных камфоры, производных трианилино-S-триазина, фенилбензимидазолсульфокислоты и ее солей, ментилантранилатов, производных бензотриазола и/или неорганического микропигмента, выбранного из группы, состоящей из оксида алюминия или диоксида кремния, инкапсулированных TiO2, оксида цинка или слюды.
РИСУНКИ
MM4A Досрочное прекращение действия патента Российской Федерации на изобретение из-за неуплаты в установленный срок пошлины за поддержание патента в силе
Дата прекращения действия патента: 09.08.2004
Извещение опубликовано: 27.03.2006 БИ: 09/2006
|
||||||||||||||||||||||||||










или
; R7, R8 и R9 каждый самостоятельно обозначает C1-C18-алкил; C1-C18-алкокси или радикал формулы (1i)
; R14 обозначает С1-С5-алкил; М обозначает катион металла; T1 обозначает водород или С1-С8-алкил; m1 равно 1-3; m2 равно 2-14 и p1 равно 0 или обозначает число 1 – 5, для защиты кожи и волос людей и животных от пагубного воздействия ультрафиолетового излучения. Соединения, используемые в соответствии с настоящим изобретением, являются очень мощными абсорберами ультрафиолетового излучения группы А (УФ-А) с частями в диапазоне УФ-В и особенно пригодны в качестве солнцезащитных экранов в косметических, фармацевтических и ветеринарных составах. Изобретение позволяет реализовать указанное назначение. 2 с. и 7 з.п. ф-лы. 5 табл.
Настоящее изобретение относится к средству для защиты кожи и волос человека и животных от вредного воздействия ультрафиолетового излучения, включающему производные бис(резорцинил)триазина, и к косметическому составу, содержащему эти производные бис(резорцинил)триазина.
Бис(резорцинил)триазины в соответствии с настоящим изобретением соответствуют формуле








или
;
;

















105-5
максим: 356 нм (этанол)
максим: 41400 М-1см-1
где R1 и R2 каждый независимо от другого обозначает разветвленный
С5-С18-алкил; С2-С18-алкенил; радикал формулы
-СН2-СН(-ОН)-СН2-O-Т1; радикал формулы
или радикал формулы (1b)
R3 и R4 каждый самостоятельно обозначает водород или C1-C5-алкил;
R5 обозначает гидрокси; С1-С5-алкокси, который не замещен или замещен одной или несколькими группами ОН; амино; моно- или ди-С1-С5-алкиламино; М; радикал формулы
R6 обозначает прямую связь; прямоцепочечный или разветвленный 1-С4-алкилен или радикал формулы
или
R7, R8 и R9 каждый независимо один от другого обозначает C1-C18-алкил; C1-C18-алкокси или радикал формулы (1i)
R10, R11 и R12 каждый независимо один от другого обозначает С1-С14-алкил, который не замещен или замещен одной или несколькими группами ОН;
R13 обозначает водород; М; С1-С5-алкил или радикал формулы
R14 обозначает С1-С5-алкил;
М обозначает катион металла;
T1 обозначает водород или С1-С8-алкил;
m1 равняется 1-3;
m2 равняется 2-14 и
p1 равно 0 или обозначает число от 1 до 5.
2. Средство по п.1, отличающееся тем, что бис(резорцинил)триазин представляет собой соединение формулы
где R15 и R16 каждый независимо один от другого обозначает разветвленный 5-C18-алкил или группу формулы -CH2-CH(-OH)-CH2-O-T1;
R17 и R18 – водород;
Т1 обозначает водород или С1-С5-алкил.
3. Средство по п.2, отличающееся тем, что в формуле (2)
R15 и R16 каждый независимо один от другого обозначает группу формулы -СН2-СН(-ОН)-СН2-O-Т1;
R17 и R18 – водород и
Т1 обозначает водород или С1-С5-алкил.
4. Средство по п.3, отличающееся тем, что в формуле (2)
R15 и R16 каждый независимо один от другого обозначает разветвленный 5-C18-алкил; и
R17 и R18 обозначают водород.
5. Средство по пп.2-4, отличающееся тем, что в формуле (2) R15 и R16 имеют одинаковые значения.
6. Средство по п.1, отличающееся тем, что использование бис(резорцинил)триазина представляет собой соединение формулы
где R19 и R20 каждый независимо один от другого обозначает радикал формулы
и R21, R22 и R23 каждый независимо один от другого обозначает водород или С1-С10-алкил.
7. Косметический состав, содержащий абсорбер ультрафиолетового излучения формулы (1) по п.1 вместе с косметически совместимыми носителями или вспомогательными веществами.
8. Состав по п.7, отличающийся тем, что он содержит дополнительные вещества, защищающие от ультрафиолетового излучения.
9. Состав по п.7 или 8, отличающийся тем, что он содержит дополнительные вещества, защищающие от ультрафиолетового излучения, представляют собой органический абсорбер ультрафиолетового излучения из классов производных п-аминобензойной кислоты, производных салициловой кислоты, производных бензофенона, производных дибензоилметана, производных дифенилакрилата, производных бензофурана, полимерных УФ-абсорберов, содержащих один или более кремнийорганических радикалов, производных коричной кислоты, производных камфоры, производных трианилино-S-триазина, фенилбензимидазолсульфокислоты и ее солей, ментилантранилатов, производных бензотриазола и/или неорганического микропигмента, выбранного из группы, состоящей из оксида алюминия или диоксида кремния, инкапсулированных TiO2, оксида цинка или слюды.