Патент на изобретение №2222865
|
||||||||||||||||||||||||||
(54) АВТОМАТИЗИРОВАННЫЙ ДИАГНОСТИЧЕСКИЙ КОМПЛЕКС
(57) Реферат: Изобретение относится к области измерительной техники и предназначено для контроля и диагностики неисправностей сложной радиоэлектронной аппаратуры и других функционально сложных объектов контроля. Технический результат заключается в повышении достоверности и точности диагностического контроля и снижении аппаратной избыточности диагностирующей аппаратуры. Для этого автоматизированный диагностический комплекс включает объект контроля, источники тестовых воздействий, измерители выходных параметров, ЭВМ, измерители неуправляемых внешних воздействий. 3 ил. Изобретение относится к области измерительной техники и может быть использовано для контроля и диагностики неисправностей радиоэлектронной аппаратуры, а также других объектов контроля различной функциональной сложности и различного принципа действия. Известны устройства для контроля и диагностики, включающие в свой состав объект контроля 1 (четырехполюсник), источник входных тестовых (стимулирующих) воздействий 2 (генератор контрольных частот), выход которого подключается к соответствующей точке входного воздействия объекта контроля 1, измеритель выходных информативных параметров 3 (блок сравнения с блоком опорных напряжений), вход которого подключается к соответствующей точке измерения выходного информативного параметра объекта контроля 1. Структурная схема такого устройства приведена на фиг.1. Примером такого устройства может служить известное техническое решение по авт. свид. СССР 587632, кл. Н 04 В 3/46, 1978 г. Устройство фиг. 1 работает следующим образом. Перед началом контроля на исправном экземпляре образца измеряют эталонную зависимость значений выходных информативных параметров хi Э от значений подаваемых входных тестовых (стимулирующих) воздействий уj Э, характеризующую эталонные значения интегрального показателя качества WЭ объекта контроля в пределах диапазона (Wмин-Wмакс) существования показателей качества объекта контроля. Например, при контроле приемно-усилительного тракта приемных устройств в составе устройства контроля фиг. 1 в качестве источника входных сигналов 2 используется генератор тестовых высокочастотных сигналов, позволяющий устанавливать требуемые значения амплитуд Uвх. В качестве измерителей выходных информативных сигналов, кроме блока сравнения, может использоваться осциллограф, селективный микровольтметр или другой прибор, осуществляющий измерение значений амплитуд Uвых выходных сигналов. Показателем качества W в этом случае будет значение коэффициента усиления (Кy=Uвых/Uвx) для разных точек входного динамического диапазона (Uвхмин-Uвxмaкc) контролируемого четырехполюсника (объекта контроля). Эталонную характеристику объекта контроля WЭ=f(xi Э, yj Э), предварительно измеренную для исправного образца объекта контроля в рабочем диапазоне (в диапазоне существования его показателей качества Wмин-Wмакс), запоминают и в дальнейшем используют для контроля образцов объекта контроля данного типа и назначения. Процедура контроля с помощью устройств фиг.1 включает в себя проведение измерений текущих значений показателя качества W объекта контроля (аналогично рассмотренному для измерения эталонной характеристики объектов контроля данного типа) и последующее сравнение измеренных значений показателя качества Wij с предварительно полученными эталонными значениями Wiy Э. Если в одних и тех же точках рабочего диапазона (Wмин-Wмакс) показателей качества W объекта контроля 1 отклонение Wij измеренных значений Wij показателя качества (для приемника – коэффициента усиления i) от эталонных значений Wij Э не превышает заданных допусков Wм.д, то объект контроля признается годным для его использования по целевому назначению. Если отклонение Wij измеренных значений Wij показателя качества объекта контроля от эталонных значений ij Э превышает установленные допуски Wм.д, то объект контроля бракуется. Для нормального состояния объекта контроля 1 результаты контроля должны удовлетворять соотношению Wм.д |Wij-Wэij| = Wij.Недостатками известного устройства контроля являются большая трудоемкость контроля и невозможность его применения для контроля состояния функционально сложных объектов, имеющих несколько точек подачи входных тестовых (стимулирующих) воздействий уj, несколько точек отсчета выходных информативных параметров i, а также сложную функциональную зависимость между показателями качества W объектов контроля, параметрами стимулирующих воздействий yj и выходными информативными параметрами хi. Известно также устройство для контроля амплитудно-частотных характеристик четырехполюсников. Это устройство является многоканальным и включает генератор контрольных частот, контролируемый четырехполюсник, выход которого соединен с входами первого и второго усилителей, выходы которых подключены соответственно к входу полосового фильтра и входам полосовых фильтров группы, выход полосового фильтра соединен с одним входом блока сравнения, другой вход которого подключен к соответствующему выходу генератора контрольных частот, а выход блока сравнения подключен к второму входу второго усилителя, выходы полосовых фильтров группы соединены с первым входом блока вычитания группы, второй вход которого соединен с соответствующим выходом генератора контрольных частот, выход блока вычитания соединен с первым входом соответствующего блока сравнения группы, второй вход которого соединен с выходом соответствующего блока опорных напряжений группы, выходы которых подключены к соответствующему входу элемента ИХИ, выход которого соединен с входом блока регистрации. (Устройство для контроля амплитудно-частотных характеристик четырехполюсников авт. свид. 756653 кл. Н 04 В 3/46, 1978 г.). Это устройство является многоканальным, и его обобщенная структурная схема приведена на фиг.2. Количество источников 2 тестовых воздействий хi и измерителей 3 выходных параметров уj соответствуют количеству и характеристикам yj управляемых стимулирующих воздействий и выходных информационных параметров хi данного типа объекта контроля 1. В состав устройства входит также ЭВМ 4, осуществляющая обработку и регистрацию результатов. В устройстве по авт. свид. 756653 в качестве источников 2 тестовых воздействий выступает генератор контрольных частот, измерителей 3 выходных параметров – усилитель 4, полосовые фильтры 7 и блоки вычитания 8, а блоки сравнения 5, блоки опорного напряжения 10 и блок регистрации 9 выполняют функции специализированной ЭВМ по обработке сигналов. Устройство (фиг. 2), принятое за ближайший аналог, работает следующим образом. Перед началом применения устройства в нем единовременно формируют массив эталонных значений тестовых (стимулирующих) воздействий yэj и соответствующий им массив эталонных значений выходных информативных параметров xэi, который получают в процессе проверки эталонного образца объекта контроля (контролируемого образца с точно известными показателями качества Wij, соответствующими нормальному состоянию объектов контроля данного типа).
В дальнейшем, при реализации процедуры контроля качества образцов объектов контроля этого же типа, очередной объект контроля 1 с неизвестными показателями качества подключают в составе многоканального устройства фиг.2 к выходам источников тестовых воздействий 2 и ко входам измерителей выходных параметров 3. В соответствии с программой и методикой проверки объектов контроля данного типа, на входы испытуемого объекта контроля 1 с помощью источников тестовых воздействий 2 подают сочетания yj значений тестовых воздействий. Для каждого такого сочетания yj с помощью измерителей параметров 3 производят отсчет совокупности xi измеренных значений выходных параметров, которые заносят в ЭВМ. После получения каждого очередного массива значений xi для заданной совокупности тестовых воздействий yj производят сравнение измеренных хi и эталонных хi Э значений одних и тех же информативных параметров. По степени совпадения измеренных значений хi и эталонных значений хi Э (по величине отклонений хi) делают заключение о состоянии проверяемого объекта контроля 1 (исправности или наличии отклонений) и о возможности его применения по целевому назначению.
Достоинствами многоканального устройства контроля являются: возможность его применения для функционально сложных объектов контроля с большим количеством стимулирующих воздействий yj и большим количеством выходных информативных параметров хi, характеризующих текущее состояние W объекта контроля;Недостатками многоканального устройства (фиг.2), принятого за ближайший аналог, являются: отсутствие учета неуправляемых внешних воздействий уk (температура окружающей среды, атмосферное давление, влажность, внешние электромагнитные поля и др.), оказывающих влияние на состояние объекта контроля, что снижает точность оценки реальных показателей качества; невозможность достоверной оценки эквивалентных значений отклонения W показателей качества от нормы и сравнение их с заданными допусками Wмд, что ведет не только к снижению достоверности контроля функционально сложных объектов, но и к большим экономическим потерям вследствие большой вероятности ошибочной интерпретации результатов контроля;аппаратурная избыточность реализации каналов стимулирующих воздействий и каналов измерения выходных параметров из-за отсутствия учета взаимосвязи (весовых коэффициентов) между параметрами (хi, yj, yk) и показателем качества W объекта контроля, что ведет к экономическим потерям из-за удорожания реализации устройства контроля; отсутствие четких критериев к выбору метрологических характеристик каналов по заданным требованиям к точности оценки состояния объекта контроля ( Wм.доп), что ведет к снижению достоверности контроля качества функционально сложных объектов.
Техническим результатом от использования изобретения является устранение недостатков устройства фиг.2, принятого за ближайший аналог.
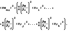
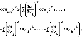
Указанный технический результат достигается тем, что в автоматизированный диагностический комплекс, включающий объект контроля, источники тестовых воздействий yj, подключенные выходами к соответствующим входам объекта контроля, измерители выходных параметров, подключенные входами к соответствующим выходам объекта контроля, электронную вычислительную машину (ЭВМ), управляющие выходы которой подключены ко входам источников тестовых воздействий, входы которых подключены к выходам измерителей выходных параметров, а выход ЭВМ является выходом комплекса, дополнительно введены измерители неуправляемых внешних воздействий yk, выходы которых подключены к соответствующим дополнительным входам ЭВМ, а входы подключены соответственно к входам объекта контроля, причем состав и количество каналов устройства соответствуют составу и видам параметров тестовых (управляемых стимулирующих) воздействий j, неуправляемых внешних воздействий уk и выходных информативных параметров хi данной группы объектов контроля, метрологические характеристики аппаратуры каналов ( xi, yj, yk) соответствуют заданным требованиям ( WМД) к метрологическим характеристикам оценки показателей качества W данной группы объектов контроля с учетом весовых коэффициентов, характеризующих взаимосвязь параметров (хi, yj, уk) и показателя качества W объекта контроля![]() где Wмд – критерий точности устройства (выражаемый, например, через максимально допустимое значение среднего квадратического отклонения погрешности оценки показателя качества W объекта контроля),( xi), ( yj), ( yk) – – частные критерии точности каналов xi, уj, уk устройства (выражаемые, например, через максимально допустимые значения СКО погрешности соответствующих каналов устройства), – весовые коэффициенты, учитывающие взаимосвязь значений параметров (хi, yj, yk) и соответствующего им значения показателя качества (состояния) W объекта контроля, а динамические диапазоны ( xi, yj, yk) измерения (изменения) параметров в каналах, которые должна иметь аппаратура каналов (хi, yj, уk) в составе устройства, соответствуют требованиям к заданному диапазону W определения показателей качества данной группы объектов контроля![]() где – динамический диапазон возможных изменений значений W показателя качества объектов контроля данной группы (в том числе с учетом возможных неисправностей),[( xi) = (xiмакс-xiмин)] – динамический диапазон возможных значений информативного параметра хi, подлежащий измерению аппаратурой соответствующего канала устройства контроля;[( yj) = (yjмакс-yjмин)] – динамический диапазон возможных значений параметров тестовых воздействий уj, подлежащих формированию аппаратурой соответствующего канала устройства контроля,[( yk) = (ykмакс-ykмин)] – динамический диапазон изменения параметров неуправляемого внешнего воздействия yk, подлежащего учету с помощью аппаратуры соответствующего канала устройства контроля, причем взаимосвязь [W = f( xi, yj, yk)] между определяемым значением W показателя качества (состояния) объектов контроля и параметрами (хi, yj, yk), получаемыми в составе устройства контроля, используемая для определения требований к метрологическим характеристикам и динамическим диапазонам аппаратуры каналов устройства контроля по приведенным соотношениям, может иметь вид аналитических зависимостей, табличных (табулированных) форм описания зависимостей или любую другую форму, позволяющую оценить значения весовых коэффициентов характеризующих взаимосвязь между значениями W показателей качества (состояния) объекта контроля и эквивалентными значениями соответствующих параметров (хi, yj, yk), используемыми в устройстве контроля для оценки качества (состояния) данной группы контроля.
На фиг. 1 и 2 приведены схемы устройств аналогов. На фиг.3 приведена структурная схема автоматизированного диагностического комплекса. Он содержит объект 1 контроля, источники 2 тестовых воздействий yj, измерители 3 выходных параметров, ЭВМ 4, измерители 5 неуправляемых внешних воздействий yk. Входы измерителей 5 неуправляемых внешних воздействий и объекта 1 контроля соответственно объединены и являются входом комплекса. Другая группа входов объекта контроля соединена соответственно с выходами источников 2 тестовых воздействий, входы которых соединены с соответствующими выходами ЭВМ 4, первая и вторая группы входов которой соединены соответственно с выходами измерителей 3 выходных параметров и измерителей 5 неуправляемых внешних воздействий, выходы объекта контроля подключены соответственно к входам измерителей выходных параметров 3, а выход ЭВМ является выходом комплекса.
В качестве источников тестовых воздействий в зависимости от типа, структуры объекта контроля и используемой методики контроля могут быть использованы программно-управляемые генераторы сигналов, цифроаналоговые преобразователи и др.
Выходные параметры могут измеряться соответствующими измерителями 3 и 5, в качестве которых могут быть использованы типовые измерительные приборы (измерительные приемники с цифровым выходом, цифровые осциллографы, АЦП, сигнатурные и логические анализаторы и др.), пригодные для измерения информативных параметров, присущих данному виду объекта контроля.
Комплекс работает следующим образом.
Перед началом применения комплекса в его состав в качестве объекта контроля 1 подключают эталонный образец объекта контроля данного типа. На основе априорно известной функциональной взаимосвязи между показателем качества W объекта контроля и параметрами хi, уj, yk по программе контроля, заложенной в ЭВМ 4 и реализующей принятую методику контроля, с помощью источников 2 подают на объект контроля 1 эталонную совокупность yэj тестовых (стимулирующих) воздействий. С помощью измерителей 3 получают в ЭВМ 4 совокупность измеренных эталонных значений xэi выходных информативных параметров. Одновременно с помощью измерителей 5 получают в ЭВМ 4 совокупность эталонных значений yэk неуправляемых внешних воздействий. В результате в ЭВМ 4 будет сформирован эталонный массив параметров, эквивалентных эталонному значению показателя качества WЭ объекта контроля 1 согласно соотношению WЭ=f(xi Э, yj Э, yk Э).
Для тех объектов контроля, у которых данная взаимосвязь может быть представлена в форме аналитического соотношения, эталонные массивы ( xэi, yэj, yэk) могут быть получены для каждого заданного значения WЭ показателя состояния объекта контроля 1 расчетным путем и введены в базу данных ЭВМ 4 без использования эталонных образцов объекта контроля 1. В этом случае указанное аналитическое соотношение играет роль эталонной математической модели данного типа объекта контроля.
После сформирования указанными способами эталонных массивов параметров ( xэi, yэj, yэk) для каждого интересующего значения W показателя качества объекта контроля 1 комплекс готов для оценки состояния образцов объектов контроля данного типа.
Каждый испытуемый образец объекта контроля 1 подключают к источникам 2 и к измерителям 5. После этого на объект контроля 1 с помощью источников 2, работающих под управлением ЭВМ 4, выдают заданную по программе контроля совокупность воздействий yj, соответствующую контролируемому значению показателя качества W. С помощью измерителей 3 производят отсчет совокупности текущих значений xi информативных параметров, характеризующих текущее значение ijk показателя качества данного образца объекта контроля 1. Одновременно с помощью измерителей 5 получают совокупность yk текущих значений неуправляемых внешних воздействий. На основе полученной в ЭВМ 4 совокупности значений ( xэi, yэj, yэk) получают оценку эквивалентного значения Wijk показателя качестваWijk = f( xi, yj, k).Определяют величину отклонения W измеренного значения показателя качества Wijk от эталонного значения и сравнивают это отклонение с заданным допуском Wмд по соотношению![]() В случае, если определенное по результатам контроля эквивалентное значение Wijk показателя качества объекта контроля 1 отличается от соответствующего эталонного значения WЭ больше, чем это задано допусками ( Wмд) на контроль объектов данного типа, данный экземпляр объекта контроля бракуется.
В целях диагностики причин отклонения показателей качества объекта контроля (диагностики неисправностей – для технических объектов, диагностики заболеваний – для контроля состояния пациента в медицине) дальнейшая более детальная квалификация состояния объекта контроля производится на основе использования соответствующих критериальных диагностических образцов. С этой целью перед началом применения устройства в базу данных ЭВМ 4 в качестве эталонных массивов ( xэi, yэj, yэk) заносятся совокупности значений параметров не только для нормального состояния объекта контроля данного типа, но и для различных вариантов отклонения от нормы. Устанавливают соответствия между этими совокупностями значений параметров и причинами, которые вызывают соответствующее им отклонение от нормы (для технических объектов – виды неисправностей, для медицины – виды заболеваний). Указанные совокупности есть ни что иное, как диагностические образцы соответствующих отклонений от нормы (соответствующих неисправностей – для технических объектов контроля).
В таком случае, после установления по результатам контроля факта отклонения данного образца объекта контроля 1 от нормального состояния в ЭВМ 4 производится поиск критериального диагностического образа, совокупность параметров для которого совпадает с измеренной совокупностью. При обнаружении соответствующего диагностического образца квалифицируют причину отклонения свойств объекта контроля 1 от нормы (вид неисправности – для технических объектов, вид заболевания – для организма пациента) и определяют меры по устранению установленного отклонения (для технических объектов формулируют указания по устранению обнаруженного вида неисправности, в медицине формулируют рекомендации по методике и средствам лечения диагностированного заболевания).
Техническая реализация элементов комплекса осуществляется с применением аппаратуры, основанной на известных технических решениях. Основное требование состоит в выборе метрологических характеристик аппаратуры 2, аппаратуры 3, аппаратуры 5, а также динамических диапазонов этих параметров. Завышение требований к метрологическим характеристикам аппаратуры 2, 3, 5, а также к динамическим диапазонам измерения (формирования) приведет к удорожанию устройства – к экономическим потерям. Необоснованное занижение этих требований приведет к снижению достоверности контроля и к вытекающим из этого экономическим потерям.
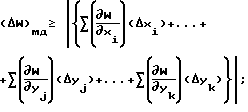
Для оптимизации параметров аппаратуры 2, 3, 5 в составе многоканального устройства метрологические характеристики каналов ( xi, yj, yk) должны удовлетворять заданным требованиям к метрологическим характеристикам контроля состояния ( Wмд) объекта контроля – с учетом весовых коэффициентов учитывающих взаимосвязь соответствующих параметров (хi, yj, уk) и показателя состояния W объекта контроля. Это требование обеспечивается по соотношению![]() где ( Wмд) – критерий точности установки (например, максимально допустимое значение среднего квадратического отклонения погрешности оценки показателя состояния объекта контроля);( xi, yj, yk) – – соответствующие частные критерии точности, которым должна удовлетворять аппаратура 2, 3 и 5.
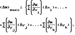
Аналогично требования к динамическим диапазонам аппаратуры 2, 3 и 5 должны соответствовать требованиям к динамическому диапазону W контроля показателя состояния объекта контроля W = |Wмакс-Wмин|.Это требование в устройстве обеспечивается на основе учета весовых коэффициентов взаимосвязи параметров аппаратуры 2, 3, 5 и показателя качества W объекта контроля 1 по соотношению![]() где ( Wмд = |Wмакс-Wмин|) – заданный динамический диапазон контроля показателя качества W объектов контроля данного типа с помощью диагностического комплекса;( xi = |xмакс-xмин|), ( y = |yмакс-yмин|) – динамические диапазоны измерения выходных информативных параметров хi, формирования воздействий yj и учета неуправляемых внешних воздействий yk (требования, которым должна удовлетворять аппаратура 2, 3 и 5).
При выполнении указанных требований к параметрам аппаратуры 2, 3 и 5 комплекс обеспечит необходимую эффективность и достоверность контроля функционально сложных (многопараметровых) объектов контроля при оптимальных затратах на реализацию.
Технический результат от использования изобретения состоит в повышении эффективности и достоверности контроля функционально сложных объектов, в том числе в снижении затрат на реализацию контроля и сокращения продолжительности контроля по сравнению с известными устройствами аналогичного назначения.
Комплекс может быть применен в различных отраслях техники, медицины и других направлениях жизнедеятельности человека.
Адаптация комплекса для конкретной сферы применения заключается в формализации описания взаимосвязи показателя качества W конкретной группы объектов контроля и соответствующей совокупности параметров ( xi, yj, yk), по которым должна производиться оценка текущих значений Wijk показателей состояния объекта контроля – с учетом их весовых коэффициентов ![]() При этом функциональная взаимосвязь между показателем состояния W и соответствующими параметрами (хi, yj, yk) вида W = f{ xi, yj, yk}может иметь форму аналитических зависимостей (математические соотношения, логические соотношения), табличную форму или любую другую форму, позволяющую оценить значения соответствующих весовых коэффициентов о
Формула изобретения Автоматизированный диагностический комплекс, включающий объект контроля, источники тестовых воздействий yj, подключенные выходами к соответствующим входам объекта контроля, измерители выходных параметров, подключенные входами к соответствующим выходам объекта контроля, электронную вычислительную машину (ЭВМ), управляющие выходы которой подключены ко входам источников тестовых воздействий, входы которых подключены к выходам измерителей выходных параметров, а выход ЭВМ является выходом комплекса, отличающийся тем, что в него дополнительно введены измерители неуправляемых внешних воздействий yk, выходы которых подключены к соответствующим дополнительным входам ЭВМ, а входы подключены соответственно к входам объекта контроля, причем состав и количество каналов устройства соответствуют составу и видам параметров тестовых управляемых стимулирующих воздействий yj, неуправляемых внешних воздействий уk и выходных информативных параметров хi данной группы объектов контроля, метрологические характеристики аппаратуры каналов ( хi, уj, уk) соответствуют заданным требованиям ( Wмд) к метрологическим характеристикам оценки показателей качества W данной группы объектов контроля с учетом весовых коэффициентов, характеризующих взаимосвязь параметров (хi, yj, уk) и показателя качества W объекта контроля
где ( Wмд) – критерий точности устройства, выражаемый, например, через максимально допустимое значение среднего квадратического отклонения погрешности оценки показателя качества W объекта контроля, ( xi) ( yj) ( yk) частные критерии точности каналов хi, yj, yk устройства, выражаемые, например, через максимально допустимые значения СКО погрешности соответствующих каналов устройства,
– весовые коэффициенты, учитывающие взаимосвязь значений параметров (хi, yj, уk) и соответствующего им значения показателя качества состояния W объекта контроля, а динамические диапазоны ( хi, уj, уk) измерения (изменения) параметров в каналах, которые должна иметь аппаратура каналов (xi, yj, yk) в составе устройства, соответствуют требованиям к заданному диапазону W определения показателей качества данной группы объектов контроля
где [( Wмакс)=(WМАКС-Wмин)] – динамический диапазон возможных изменений значений W показателя качества объектов контроля данной группы, в том числе – с учетом возможных неисправностей;
– динамический диапазон возможных значений информативного параметра хi, подлежащий измерению аппаратурой соответствующего канала устройства контроля;
[( уj)=(уjмакс-yjмин)] – динамический диапазон возможных значений параметров тестовых воздействий yj, подлежащих формированию аппаратурой соответствующего канала устройства контроля;
[( yk)=(уkмакс-ykмин)] – динамический диапазон изменения параметров неуправляемого внешнего воздействия yk, подлежащего учету с помощью аппаратуры соответствующего канала устройства контроля.
РИСУНКИ
PC4A – Регистрация договора об уступке патента Российской Федерации на изобретение
(73) Патентообладатель(и):
(73) Патентообладатель:
Дата и номер государственной регистрации перехода исключительного права: 15.11.2010 № РД0072523
Извещение опубликовано: 27.12.2010 БИ: 36/2010
|
||||||||||||||||||||||||||

Wij измеренных значений Wij показателя качества (для приемника – коэффициента усиления i) от эталонных значений Wij Э не превышает заданных допусков
|Wij-Wэij| =
yэj и соответствующий им массив эталонных значений выходных информативных параметров
Wм.доп), что ведет к снижению достоверности контроля качества функционально сложных объектов.
Техническим результатом от использования изобретения является устранение недостатков устройства фиг.2, принятого за ближайший аналог.
Указанный технический результат достигается тем, что в автоматизированный диагностический комплекс, включающий объект контроля, источники тестовых воздействий yj, подключенные выходами к соответствующим входам объекта контроля, измерители выходных параметров, подключенные входами к соответствующим выходам объекта контроля, электронную вычислительную машину (ЭВМ), управляющие выходы которой подключены ко входам источников тестовых воздействий, входы которых подключены к выходам измерителей выходных параметров, а выход ЭВМ является выходом комплекса, дополнительно введены измерители неуправляемых внешних воздействий yk, выходы которых подключены к соответствующим дополнительным входам ЭВМ, а входы подключены соответственно к входам объекта контроля, причем состав и количество каналов устройства соответствуют составу и видам параметров тестовых (управляемых стимулирующих) воздействий j, неуправляемых внешних воздействий уk и выходных информативных параметров хi данной группы объектов контроля, метрологические характеристики аппаратуры каналов (
– весовые коэффициенты, учитывающие взаимосвязь значений параметров (хi, yj, yk) и соответствующего им значения показателя качества (состояния) W объекта контроля, а динамические диапазоны (
– динамический диапазон возможных изменений значений W показателя качества объектов контроля данной группы (в том числе с учетом возможных неисправностей),
характеризующих взаимосвязь между значениями W показателей качества (состояния) объекта контроля и эквивалентными значениями соответствующих параметров (хi, yj, yk), используемыми в устройстве контроля для оценки качества (состояния) данной группы контроля.
На фиг. 1 и 2 приведены схемы устройств аналогов. На фиг.3 приведена структурная схема автоматизированного диагностического комплекса. Он содержит объект 1 контроля, источники 2 тестовых воздействий yj, измерители 3 выходных параметров, ЭВМ 4, измерители 5 неуправляемых внешних воздействий yk. Входы измерителей 5 неуправляемых внешних воздействий и объекта 1 контроля соответственно объединены и являются входом комплекса. Другая группа входов объекта контроля соединена соответственно с выходами источников 2 тестовых воздействий, входы которых соединены с соответствующими выходами ЭВМ 4, первая и вторая группы входов которой соединены соответственно с выходами измерителей 3 выходных параметров и измерителей 5 неуправляемых внешних воздействий, выходы объекта контроля подключены соответственно к входам измерителей выходных параметров 3, а выход ЭВМ является выходом комплекса.
В качестве источников тестовых воздействий в зависимости от типа, структуры объекта контроля и используемой методики контроля могут быть использованы программно-управляемые генераторы сигналов, цифроаналоговые преобразователи и др.
Выходные параметры могут измеряться соответствующими измерителями 3 и 5, в качестве которых могут быть использованы типовые измерительные приборы (измерительные приемники с цифровым выходом, цифровые осциллографы, АЦП, сигнатурные и логические анализаторы и др.), пригодные для измерения информативных параметров, присущих данному виду объекта контроля.
Комплекс работает следующим образом.
Перед началом применения комплекса в его состав в качестве объекта контроля 1 подключают эталонный образец объекта контроля данного типа. На основе априорно известной функциональной взаимосвязи между показателем качества W объекта контроля и параметрами хi, уj, yk по программе контроля, заложенной в ЭВМ 4 и реализующей принятую методику контроля, с помощью источников 2 подают на объект контроля 1 эталонную совокупность 
учитывающих взаимосвязь соответствующих параметров (хi, yj, уk) и показателя состояния W объекта контроля. Это требование обеспечивается по соотношению
аппаратуры 2, 3 и 5 должны соответствовать требованиям к динамическому диапазону
взаимосвязи параметров аппаратуры 2, 3, 5 и показателя качества W объекта контроля 1 по соотношению

о
где (
– весовые коэффициенты, учитывающие взаимосвязь значений параметров (хi, yj, уk) и соответствующего им значения показателя качества состояния W объекта контроля, а динамические диапазоны (
где [(
– динамический диапазон возможных значений информативного параметра хi, подлежащий измерению аппаратурой соответствующего канала устройства контроля;
[(