Патент на изобретение №2150470
|
||||||||||||||||||||||||||
(54) БИЦИКЛИЧЕСКИЕ ПРОИЗВОДНЫЕ ТИОФЕНА, СПОСОБ ИХ ПОЛУЧЕНИЯ И КОМПОЗИЦИЯ НА ИХ ОСНОВЕ
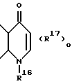
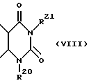
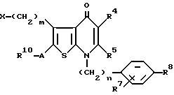
(57) Реферат: Описываются новые бициклические производные тиофена общей формулы I, где значения R1, R2, R3, R4, R5, n указаны в п. 1 формулы изобретения, обладающие антагонистической активностью в отношении гонадотропинвысвобождающего гормона. Описывается также способ их получения и композиция на их основе. 3 с. и 15 з.п.ф-лы, 35 табл.
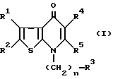
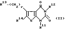
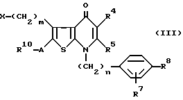
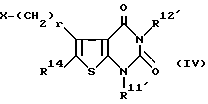
Изобретение относится к фармацевтической композиции для ингибирования гонадотропинвысвобождающего гормона, которая содержит конденсированное бициклическое соединение, состоящее из гомо- или гетероциклической 5-7-членной кольцевой группы и гомо- или гетероциклической 5-7-членной кольцевой группы. Настоящее изобретение относится также к новым производным тиофена, содержащим конденсированное кольцо, и их солям. Настоящее изобретение относится также к способам получения новых производных тиофена, содержащих конденсированное кольцо, и их солей. Предпосылки изобретения Секреция гормона передней доли гипофиза протекает под контролем со стороны периферических гормонов, секретируемых органами-мишенями для соответствующих гормонов, и ускоряющего секрецию или замедляющего секрецию гормона из гипоталамуса, который представляет собой высший центральный орган передней доли гипофиза (в настоящем описании эти гормоны называют общим термином “гормон гипоталамуса”). В настоящее время в качестве гормонов гипоталамуса подтверждено существование девяти типов гормонов, в том числе, например, тиротропинвысвобождающего гормона (TRH) или гонадотропинвысвобождающего гормона (GnRH) [гонадотропинвысвобождающий гормон иногда называют гормоном, высвобождающим лютенизирующий гормон (LH-RH) (см. Seirigaku 2, авторы М. Iriku and K. Toyama, опубликовано в Bunkohdo, р. 610-618, 1986)]. Считают, что указанные гормоны гипоталамуса оказывают свое воздействие посредством рецептора, который, как полагают, существует в передней доле гипофиза (см. там же); проведены исследования генов, специфичных для указанных гормонов, в том числе гормонов человека (Receptor Kiso To Rinsho, авторы H. Imura et al., опубликовано в Asakura Shoten, p. 297-304, 1993). Таким образом, антагонисты и вещества-агонисты, оказывая специфичное и селективное воздействие на указанные рецепторы, контролируют действие гормона гипоталамуса и секрецию гормона передней доли гипофиза. Поэтому, как предполагают, указанные вещества полезны в качестве профилактических и терапевтических средств при лечении заболеваний, которые зависят от гормона передней доли гипофиза. Ацетат лейпрорелина (Fujino et al., Biological and Biophysical Research Communications, Vol. 60, pp. 406-413, (1974); R.T.D. Oliver et al., British Journal of Cancers, Vol. 59, p. 823 (1989); и Toguchi et al., Journal of International Medical Research, Vol. 18, pp. 35-41), который является высоко реакционоспособным производным гонадотропинвысвобождающего гормона, одного из гормонов гипоталамуса (далее в описании указан как GnRH) (A.V.Schally et al. , Journal of Biological Chemistry, Vol. 246, pp. 246 (1971); R.Burgus et al. , Proceedings of Natural Academic Science US, Vol. 69, pp. 278-282 (1972)), при введении многократной дозы приводит к сокращению продуцирования гормона гонадотропина в гипофизе, вследствие чего снижается реакционноспособность гонадотропного гормона в семенниках и яичниках и подавляется секреция тестостерона и эстрогена. Кроме того, что ацетат лейпрорелина обладает антиопухолевым действием при таких зависимых от гормонов видов рака, как например рак предстательной железы, и широко используется в клинических целях. Ацетат лейпрорелина находит также широкое клиническое применение в качестве терапевтического средства, в частности, при эндометриозе и преждевременном половом созревании. Предполагают, что высокая антиопухолевая активность ацетата лейпрорелина является следствием его высокой резистентности по сравнению с природным (GnRH) гонадотропинвысвобождающим гормоном к протеазе и высокого сродства к GnRH рецептору, что приводит к снижению чувствительности гонадотропинвысвобождающего гормона вследствие уменьшения количества рецепторов. Тем не менее, поскольку ацетат лейпрорелина является ультраагонистом рецептора гонадотропинвысвобождающего гормона, известно, что сразу же после первого введения наблюдается временное ухудшение состояния здоровья пациентов, сопровождающееся увеличением концентрации тестостерона в сыворотке вследствие действия гипофиза гонадотропин (острого действия). В случаях, описанных выше, желательны лекарства, ингибирующие гонадотропинвысвобождающий гормон, которые оказывали бы практически то же терапевтическое действие, что и описанное выше, но не вызывали бы вышеупомянутого временного действия гипофиза гонадотропин (острого действия). В качестве соединений, обладающих указанной антагонистической активностью по отношению к гонадотропинвысвобождающему гормону, описан ряд соединений, включающий, например, производные гонадотропинвысвобождающего гормона, такие как пептиды с прямой цепью (патенты США 5140009, 5171835), производные циклических гексапептидов (патентная заявка Японии S61 (1986) – 191698) или производные бициклических пептидов (Journal of Medical Chemistry, Vol. 36, pp. 3265-3273 (1993)). Однако все эти соединения являются пептидами, что вызывает ряд проблем, связанных, например, с дозировочными формами, стабильностью лекарства, продолжительностью действия и устойчивостью в процессе метаболизма. Для решения указанных проблем необходимы перорально вводимые лекарства, представляющие собой антагонисты гонадотропинвысвобождающего гормона, и особенно непептидные лекарства. Однако в настоящее время нет сообщений о разработке непептидных лекарств, являющихся антагонистами гонадотропинвысвобождающего гормона. Целью настоящего изобретения являются новые соединения, обладающие превосходной антагонистической активностью по отношению к гонадотропинвысвобождающему гормону, а также средства, являющиеся превосходными антагонистами по отношению к гонадотропинвысвобождающему гормону. Описание изобретения Таким образом, предметом настоящего изобретения является фармацевтическая композиция для ингибирования гонадотропинвысвобождающего гормона, которая содержит конденсированное бициклическое соединение, состоящее из гомо- или гетероциклического 5-7-членного кольца и гомо- или гетероциклического 5-7-членного кольца. Настоящее изобретение относится также к новым производным тиофена с конденсированным кольцом и их солям. Далее, настоящее изобретение относится к способам получения новых производных тиофена с конденсированным кольцом и их солей. В частности, настоящее изобретение относится к (1) соединению формулы I ![]() где R1 и R2 каждый независимо обозначают атом водорода или группу, присоединенную через атом углерода, атом азота, атом кислорода или атом серы; R3 является необязательно замещенной гомо- или гетероциклической группой; R4 обозначает атом водорода, формильную группу, цианогруппу, низший алкил, замещенный группой, которая присоединяется через атом серы, или гидроксильную группу; карбонильную группу, замещенную углеводородным остатком, который необязательно имеет заместители, этерифицированную или амидированную карбоксильную группу; R5 является атомом водорода или группой, присоединенной через атом углерода; n обозначает число от 0 до 3 при условии, что гомо- или гетероциклическая группа, обозначенная R3, не содержит в качестве заместителя группу, которая приводится в Европейской патентной заявке EP-A-443568 и в Европейской патентной заявке ЕР-А-520423 и имеет следующую формулу: ![]() где R6 обозначает необязательно замещенную 5-7-членную гетероциклическую группу, которая содержит в качестве группы, способной образовывать кольцо, карбонильную группу, тиокарбонильную группу и необязательно окисленный атом серы, или группу, которая может в них превращаться, группу, которая может образовывать анион, или группу, которая может быть превращена в анион; Z является необязательно замещенным ароматическим углеводородным остатком, необязательно содержащим гетероатом или необязательно замещенную гетероциклическую группу; V обозначает химическую связь или мостиковую группу, или его соль; (2) соединение по пункту (1), где R3 обозначает группу формулы ![]() где R7 обозначает атом водорода, атом галогена или группу, присоединенную через атом углерода, атом азота, атом кислорода или атом серы; R8 является атомом водорода, атомом галогена, нитрогруппой, цианогруппой или углеводородным остатком, который может быть замещен группой, присоединенной через атом кислорода, атом азота или атом серы; (3) соединение по пункту (1), где любой один из радикалов R1 или R2 обозначает группу формулы R9-(CH2)m-, где R9 обозначает группу, присоединенную через атом азота; m обозначает число от 0 до 3, а другой радикал обозначает группу формулы R10-A- где R10 обозначает необязательно замещенный фенил, а A обозначает химическую связь или мостиковую группу; (4) соединение формулы II ![]() где R11 обозначает атом водорода, низший алкил или группу формулы Q-(CH2)p– где Q обозначает арил, который может быть замещен a) атомом галогена, b) нитрогруппой, c) цианогруппой, d) аминогруппой, e) необязательно замещенной карбоксильной группой, f) низшей алкилендиоксигруппой или g) группой формулы: -A-R15, в которой A обозначает химическую связь или мостиковую группу, R15 обозначает алкил, необязательно замещенную циклоалкильную или необязательно замещенную гетероциклическую группу; R12 является атомом водорода, алкилом, необязательно замещенным арилом, необязательно замещенным аралкилом, необязательно замещенным циклоалкилом; R13 обозначает необязательно замещенную аминогруппу; R14 обозначает необязательно замещенный арил; r обозначает число от 0 до 3, или его соль; (5) соединение по пункту (4), где R11 обозначает группу формулы: Q-(CH2)p– где Q обозначает арил, который может быть замещен a) атомом галогена, b) нитрогруппой, c) цианогруппой, d) аминогруппой, e) необязательно замещенной карбоксильной группой, f) низшей алкилендиоксигруппой или g) группой формулы: -A-R15, в которой A обозначает химическую связь или мостиковую группу, R15 обозначает алкил; (6) соединение по пункту (4), где Q обозначает арил, который может быть замещен атомом галогена; (7) соединение по пункту (4), где R13 обозначает необязательно замещенную моноаралкиламиногруппу; (8) соединение по пункту (4), где R13 обозначает необязательно замещенную бензиламиногруппу; (9) соединение по пункту (4), где R14 обозначает необязательно замещенный фенил; (10) соединение, которое представляет собой этиловый эфир 3- (N-бензил-N-метиламинометил)-4,7-дигидро-7-(2-метоксибензил)-2- (4-метоксифенил)-4-оксотиено[2,3-b]пиридин-5-карбоновой кислоты или его соль; (11) соединение, которое представляет собой этиловый эфир 3- (N-бензил-N-метиламинометил)-4,7-дигидро-7-(2-фторбензил)-2- (4-метоксифенил)-4-оксотиено[2,3-b]пиридин-5-карбоновой кислоты или его соль; (12) соединение, которое представляет собой этиловый эфир 2-(4-ацетиламинофенил)-3-(N-бензил-N-метиламинометил)-4,7-дигидро- 7-(2-фторбензил)-4-оксотиено[2,3-b]пиридин-5-карбоновой кислоты или его соль; (13) соединение, которое представляет собой 5-бензиламино-метил- 1-(2-хлор-6-фторбензил)-2,4-(1H, 3H)-диоксо-6-(4-метоксифенил) -3-фенилтиено[2,3-d]пиримидин или его соль; (14) соединение, которое представляет собой 5-бензоил-3- (N-бензил-N-метиламинометил)-7-(2,6-дифторбензил)-4,7-дигидро-4- оксо-2-(4-пропиониламинофенил)тиено[2, 3-b]пиридин или его соль; (15) соединение, которое представляет собой 5-бензоил-3- (N-бензил-N-метиламинометил)-7-(2,6-дифторбензил)-4,7-дигидро-2- (4-N’-метилуреидофенил)-4-оксотиено[2,3-b]пиридин или его соль; (16) соединение, которое представляет собой 3-(N-бензил-N- метиламинометил)-7-(2,6-дифторбензил)-4,7-дигидро-5-изобутирил-4- оксо-2-(4-пропиониламинофенил)тиено[2,3-b]пиридин или его соль; (17) соединение, которое представляет собой 3-(N-бензил-N- метиламинометил)-7-(2,6-дифторбензил)-4,7-дигидро-5-изобутирил-2- (4-N’-метилуреидофенил)-4-оксотиено[2,3-b]пиридин или его соль; (18) соединение, которое представляет собой 3-(N-бензил-N -метиламинометил)-7-(2,6-дифторбензил)-4,7-дигидро-2-(4-N’- метилуреидофенил)-4-оксотиено[2,3-b]пиридин-5-(N-изопропил)карбоксамид или его соль; (19) соединение, которое представляет собой 3-(N-бензил-N- метиламинометил)-7-(2,6-дифторбензил)-4,7-дигидро-2-(4-N’- метилуреидофенил)-4-оксотиено[2,3-b]пиридин-5-(N-изопропил-N- метил)карбоксамид или его соль; (20) соединение, которое представляет собой 3-(N-бензил-N- метиламинометил)-7-(2,6-дифторбензил)-4,7-дигидро-2- (4-N’- метилуреидофенил)-4-оксотиено[2,3-b]пиридин-5-(N-бензил-N-метил) карбоксамид или его соль; (21) способ получения соединения по пункту (3), который включает взаимодействие соединения формулы III ![]() где R4, R5 и n имеют те же значения, что и указанные по пункту (1); R7 и R8 имеют те же значения, что и указанные по пункту (2); R10 и m имеют те же значения, что и указанные по пункту (3); X обозначает уходящую группу; или его соли с соединением формулы: R9H, где R9 имеет то же значение, что и указанное по пункту (3), или его солью; (22) способ получения соединения по пункту (5), который включает взаимодействие соединения формулы IV ![]() где R11′ обозначает группу формулы Q-(CH2)p– где Q обозначает арил, который может быть замещен a) атомом галогена, b) нитрогруппой, c) цианогруппой, d) аминогруппой, e) необязательно замещенной карбоксильной группой, f) низшей алкилендиоксигруппой или g) группой формулы: -A-R15, в которой А обозначает химическую связь или мостиковую группу, R15 обозначает алкил; R12′ обозначает алкил, необязательно замещенный арил, необязательно замещенный аралкил или необязательно замещенный циклоалкил; R14 и r имеют те же значения, что и указанные в пункте (4); X обозначает уходящую группу; или его соли с соединением формулы R13H где R13 имеет то же значение, что и указанное в пункте (4), или его солью; (23) композиция для ингибирования гонадотропинвысвобождающего гормона, которая содержит необязательно замещенное конденсированное бициклическое соединение, состоящее из гомо- или гетероциклического 5-7-членного кольца и гомо- или гетероциклического 5-7-членного кольца; носителя; наполнителя или разбавителя; (24) композиция по пункту (23), где необязательно замещенное конденсированное бициклическое соединение представляет собой соединение формулы V ![]() где кольцо W представляет собой необязательно замещенное гомо- или гетероциклическое 5-7-членное кольцо; R16 является необязательно замещенным углеводородным остатком; R17 обозначает атом водорода или группу, присоединенную посредством атома углерода, атома азота, атома кислорода или атома серы; o обозначает 1 или 2; (25) композиция по пункту (24), где кольцо W представляет собой кольцо формулы VI ![]() где R1 и R2 каждый независимо обозначают атом водорода или группу, присоединенную через атом углерода, атом азота, атом кислорода или атом серы; (26) композиция по пункту (23), где необязательно замещенное конденсированное бициклическое соединение является соединением формулы VII ![]() где кольцо Y представляет собой необязательно замещенное гетероциклическое 5-7-членное кольцо; R18 и R19 каждый независимо обозначают необязательно замещенный углеводородный остаток; (27) композиция по пункту (26), где кольцо Y представляет собой кольцо формулы VIII ![]() где R20 и R21 каждый независимо обозначают атом водорода, необязательно замещенный углеводородный остаток; (28) композиция по пункту (23), которая представляет собой композицию для предотвращения или лечения заболеваний, вызываемых половыми гормонами; (29) композиция по пункту (23), которая представляет собой композицию для предотвращения или лечения рака, доброкачественной гипертрофии предстательной железы или миомы матки, зависимых от половых гормонов; (30) композиция по пункту (29), в которой рак, зависимый от половых гормонов, включает рак предстательной железы, рак матки, рак молочной железы и аденому гипофиза; (31) композиция по пункту (28), в которой заболевание, зависимое от половых гормонов, включает гипертрофию предстательной железы, эндометриоз, миому матки и преждевременное половое созревание; (32) композиция для контроля за беременностью, которая содержит соединение или его соль, указанное в пункте (23), носитель, наполнитель или разбавитель; (33) композиция для контролирования менструального цикла, которая содержит соединение или его соль, указанное по пункту (23), носитель, наполнитель или разбавитель; и (34) композиция по пункту (32), которая представляет собой композицию для контрацепции; (35) способ ингибирования гонадотропинвысвобождающего гормона у млекопитающего, нуждающегося в подобном лечении, который заключается во введении млекопитающему, страдающему от расстройства, вызываемого гонадотропинвысвобождающим гормоном, эффективного количества композиции по пункту (23); (36) способ по пункту (35), где расстройством, вызываемым гонадотропинвысвобождающим гормоном, является заболевание, зависимое от половых гормонов; (37) способ по пункту (35), где расстройством, вызываемым гонадотропинвысвобождающим гормоном, является рак, доброкачественная гипертрофия предстательной железы или миома матки, зависимые от половых гормонов; (38) способ по пункту (37), где рак, зависимый от половых гормонов, включает рак предстательной железы, рак матки, рак молочной железы и аденому гипофиза; (39) способ по пункту (36), где заболевание, зависимое от половых гормонов, выбирают из группы, включающей гипертрофию предстательной железы, эндометриоз, миому матки и преждевременное половое созревание; (40) способ контроля за беременностью у млекопитающего, нуждающегося в подобном лечении, который заключается во введении эффективного количества композиции по пункту (23); (41) способ контролирования менструального цикла у млекопитающего, нуждающегося в подобном лечении, который заключается во введении эффективного количества композиции по пункту (23); (42) способ контрацепции у нуждающегося в этом млекопитающего, который заключается во введении эффективного количества композиции по пункту (23); (43) использование необязательно замещенного конденсированного бициклического соединения, состоящего из гомо- или гетероциклического 5-7-членного кольца и гомо- или гетероциклического 5-7-членного кольца, для получения композиции, ингибирующей гонадотропинвысвобождающий гормон, с цельно ингибирования гонадотропинвысвобождающего гормона у млекопитающего, страдающего от расстройства, вызываемого гонадотропинвысвобождающим гормоном; (44) использование по пункту (43), где расстройством, вызываемым гонадотропинвысвобождаюшим гормоном, является заболевание, зависимое от половых гормонов; (45) использование по пункту (43), где расстройством, вызываемым гонадотропинвысвобождающим гормоном, является рак, доброкачественная гипертрофия предстательной железы или миома матки, зависимые от половых гормонов; (46) использование по пункту (45), где рак, зависимый от половых гормонов, включает рак предстательной железы, рак матки, рак молочной железы и аденому гипофиза; (47) использование по пункту (45), где заболевание, зависимое от половых гормонов, включает гипертрофию предстательной железы, эндометриоз, миому матки и преждевременное половое созревание; (48) использование необязательно замещенного конденсированного бициклического соединения, состоящего из гомо- или гетероциклического 5-7-членного кольца и гомо- или гетероциклического 5-7-членного кольца, для получения композиции, ингибирующей гонадотропинвысвобождающий гормон, с целью контролирования беременности у нуждающегося в этом млекопитающего; (49) использование необязательно замещенного конденсированного бициклического соединения, состоящего из гомо- или гетероциклического 5-7-членного кольца и гомо- или гетероциклического 5-7-членного кольца, для получения композиции, ингибирующей гонадотропинвысвобождающий гормон, с целью контролирования менструального цикла у нуждающегося в этом млекопитающего; и (50) использование необязательно замещенного конденсированного бициклического соединения, состоящего из гомо- или гетероциклического 5-7-членного кольца и гомо- или гетероциклического 5-7-членного кольца, для получения композиции, ингибирующей гонадотропинвысвобождающий гормон, с целью контрацепции нуждающегося в этом млекопитающего. Примеры групп, присоединенных через атом углерода, обозначенных R1, R2, R5 и R7, включают такие группы, каждая из которых необязательно содержит заместители, как алкил (в частности, (C1-C6) алкил, такой как метил, этил, пропил, изо-пропил, бутил, трет-бутил, пентил и гексил), циклоалкил (в частности, (C3-C6) циклоалкил, такой как циклопропил, циклопентил и циклогексил), алкоксиалкил (в частности, (C1-C3)алкокси(C1-C6) алкил, такой как метоксиметил, этоксиметил, этоксибутил и пропоксигексил), гидроксиалкил (в частности, гидрокси(C1-C6) алкил, такой как гидроксиметил, гидроксиэтил, гидроксибутил и гидроксипропил), алкенил (в частности, (C2-C6)алкенил, такой как винил, бутадиенил и гексатриенил), формильная группа, карбоксильная группа, алкоксикарбонильная группа (в частности, (C1-C6)алкоксикарбонильная группа, такая как метоксикарбонильная группа, этоксикарбонильная группа и трет-бутоксикарбонильная группа), цианогруппа, амидогруппа, моно-, диалкилкарбамоильная группа (в частности, моно-, ди(C1-C6)алкилкарбамоильная группа, такая как метилкарбамоильная группа, этилкарбамоильная группа, гексилкарбамоильная группа, диметилкарбамоильная группа и метилэтилкарбамоильная группа), амидиногруппа, арил (в частности, (C6-C14)арил, такой как фенил, нафтил и антраценил), аралкил (в частности, (C7-C20)аралкил, такой как бензил, бензгидрил и тритил) и гетероциклические группы, имеющие связь у атома углерода (в частности, 5-членные циклические группы, содержащие, помимо атомов углерода, от 1 до 4 гетероатомов, выбранных из атома кислорода, атома серы и атома азота, такие как 2- или 3-тиенильная группа, 2- или 3-фурильная группа, 2- или 3-пирролильная группа, 2-, 3- или 4-пиридильная группа, 2-, 4- или 5-оксазолильная группа, 2-, 4- или 5-тиазолильная группа, 3-, 4- или 5-пиразолильная группа, 2, 4- или 5-имидазолильная группа, 3-, 4- или 5-изоксазолильная группа, 3-, 4- или 5-изотиазолильная группа, 3- или 5-(1,2,4-оксадиазолильная группа), 1,3,4-оксадиазолильная группа, 3- или 5-(1,2,4-тиадиазолильная группа), 1,3,4-тиадиазолильная группа, 4- или 5-(1,2,3-тиадиазолильная группа), 1,2,5-тиадиазолильная группа, 1,2,3-триазолильная группа, 1,2,4-триазолильная группа и 1H- или 2H-тетразолильная группа; 6-членные циклические группы, содержащие, помимо атомов углерода, от 1 до 4 гетероатомов, выбранных из атома кислорода, атома серы и атома азота, такие как N-оксидо-2-, 3- или 4-пиридильная группа, 2-, 4- или 5-пиримидинильная группа, N-оксидо-2-, 4- или 5-пиримидинильная группа, 2- или 3-тиоморфолинильная группа, 2- или 3-морфолинильная группа, оксоимидазинильная группа, диоксотриазинильная группа, пирролидинильная группа, пиперидинильная группа, пиранильная группа, тиопиранильная группа, 1,4-оксадинильная группа, 1,4-тиазинильная группа, 1,3-тиазинильная группа, 2- или 3-пиперазинильная группа, триазинильная группа, оксотриазинильная группа, 3- или 4-пиридазинильная группа, пиразинильная группа или N-оксидо-3- или 4- пиридазинильная группа; и 5-8-членные циклические группы или их конденсированные кольца, содержащие, помимо атомов углерода, от 1 до 4 гетероатомов, выбранных из атома кислорода, атома серы и атома азота, например бициклические или трициклические конденсированные циклические группы, содержащие, помимо атомов углерода, от 1 до 4 гетероатомов, выбранных из атома кислорода, атома серы и атома азота, такие как бензофуранильная группа, бензотиазолильная группа, бензоксазолильная группа, тетразоло[1,5-b]пиридазинильная группа, триазоло[4,5-b]пиридазинильная группа, бензоимидазолильная группа, хинолинильная группа, изохинолинильная группа, циннолинильная группа, фталазинильная группа, хиназолинильная группа, хиноксалинильная группа, индолизинильная группа, хинолизинильная группа, 1,8-нафтилизинильная группа, пуринильная группа, птеридинильная группа, дибензофуранильная группа, карбазолильная группа, акридинильная группа, фенантридинильная группа, хроманильная группа, бензоксазинильная группа, феназинильная группа, фенотиазинильная группа и феноксазинильная группа). Примеры заместителей, которые могут иметь вышеуказанные группы, присоединенные через атом углерода, включают (C6-C14)арил (в частности, фенил или нафтил), необязательно замещенный 1-4 заместителями, выбранными, например, из (a) гидроксильной группы, (b) аминогруппы, (c) моно- или ди-(C1-C6)алкиламиногруппы (в частности, метиламиногруппы, этиламиногруппы) и (d) (C1-C6)алкоксигруппы (в частности, метоксигруппы, этоксигруппы, пропоксигруппы и гексилоксигруппы) и (e) атома галогена (фтора, хлора, брома, йода); моно- или ди-(C1-C6)алкиламиногруппу (в частности, метиламиногруппу, этиламиногруппу, пропиламиногруппу, диметиламиногруппу и диэтиламиногруппу); (C1-C4)-ациламиногруппу (в частности, формиламиногруппу и ацетиламиногруппу); гидроксильную группу; карбоксильную группу; нитрогруппу; (C1-C6)алкоксигруппу (в частности, метоксигруппу, этоксигруппу, пропоксигруппу, изопропоксигруппу и бутоксигруппу); (C1-C6)алкилкарбонилоксигруппу (в частности, ацетоксигруппу и этилкарбонилоксигруппу), атом галогена (в частности, фтор, хлор, бром и йод), и такие необязательно замещенные группы, присоединенные через атом азота, как группы, приведенные ниже. Количество заместителей составляет от 1 до 6, предпочтительно от 1 до 3. Примеры групп, присоединенных через атом азота и обозначенных R1, R2, R7, R9 или R17, включают группы, каждая из которых необязательно содержит заместители, которые имеют формулу -NR22R23 где R22 обозначает атом водорода, алкил, циклоалкил, арил, гетероциклические группы и -SOp– (p равно 1 или 2), a R14 обозначает атом водорода или алкил, и гетероциклические группы, присоединенные посредством атома азота (в частности, 1H-1-пирролильную группу, 1-имидазолильную группу, пиразолильную группу, индолильную группу, 1H-1-индазолильную группу, 7-пуринильную группу, 1-пирролидинильную группу, 1-пирролинильную группу, 1-имидазолидинильную группу, пиразолидинильную группу, пиперазинильную группу, пиразолидинильную группу, 4-морфолинильную группу и 4-тиоморфолинильную группу). Указанные алкильные, циклоалкильные, арильные или гетероциклические группы имеют те же значения, что и указанные ранее. Примеры заместителей, которые могут иметь группы, присоединенные через атом азота, включают (C1-C6) алкил (в частности, метил, этил, пропил, изо-пропил, бутил, изо-бутил, втор-бутил и трет-бутил), (C2-C6)алкенил (в частности, винил, 1-метилвинил, 1-пропенил и аллил), (C2-C6)алкинил (в частности, этинил, 1-пропинил и пропаргил), (C3-C6)циклоалкил (в частности, циклопропил, циклобутил, циклопентил и циклогексил), (C5-C7)циклоалкенил (в частности, циклопентил и циклогексенил), (C7-C11)аралкил (в частности, бензил, альфа-метилбензил и фенэтил), (C6-C14)арил (в частности, фенил и нафтил), (C1-C6)алкоксигруппу (в частности, метоксигруппу, этоксигруппу, пропоксигруппу, изо-пропоксигруппу, н-бутоксигруппу, изо-бутоксигруппу, втор-бутоксигруппу и трет-бутоксигруппу), (C6-C14)арилоксигруппу (в частности, феноксигруппу), (C1-C6)алканоильную группу (в частности, формильную группу, ацетильную группу, пропионильную группу, н-бутирильную группу и изо-бутирильную группу), (C6-C14)арилкарбонильную группу (в частности, бензоильную группу), (C1-C6)алканоилоксигруппу (в частности, формилоксигруппу, ацетилоксигруппу, пропионилоксигруппу, н-бутирилоксигруппу и изо-бутирилоксигруппу), (C6– C14)арилкарбонилоксигруппу (в частности, бензоилоксигруппу), карбоксильную группу, (C1-C6)алкоксикарбонильную группу (в частности, метоксикарбонильную группу, этоксикарбонильную группу, н-пропоксикарбонильную группу, изо-пропоксикарбонильную группу, н-бутоксикарбонильную группу, изо-бутоксикарбонильную группу и трет-бутоксикарбонильную группу), карбамоильную группу, N-моно(C1-C4)алкилкарбамоильную группу (в частности, N-метилкарбамоильную группу, N-этилкарбамоильную группу, N-пропилкарбамоильную группу, N-изо-пропилкарбамоильную группу и N-бутилкарбамоильную группу), N,N-ди-(C1-C4)алкилкарбамоильную группу (в частности, N,N-диметилкарбамоильную группу, N, N-диэтилкарбамоильную группу, N,N-дипропилкарбамоильную группу и N, N-дибутилкapбaмoильную группу), циклическую аминокарбонильную группу (в частности, 1- азиридинилкарбонильную группу, 1-азетидинилкарбонильную группу, 1-пирролидинилкарбонильную группу, 1-пиперидинилкарбонильную группу, N-метилпиперазинилкарбонильную группу и морфолинкарбонильную группу), атом галогена (фтора, хлора, брома и йода), моно-, ди- или тригалогено(C1-C4)алкил (в частности, хлорметил, дихлорметил, трифторметил и трифторэтил), оксогруппу, амидиногруппу, иминогруппу, аминогруппу, моно- или ди-(C1-C4)алкиламиногруппу (в частности, метиламиногруппу, этиламиногруппу, пропиламиногруппу, изо-пропиламиногруппу, бутиламиногруппу, диметиламиногруппу, диэтиламиногруппу, дипропиламиногруппу, ди-изо-пропиламиногруппу и дибутиламиногруппу), 3-6-членную циклическую аминогруппу, содержащую, помимо атома углерода и одного атома азота, от одного до трех гетероатомов, выбранных из атома кислорода, атома серы и атома азота (в частности, азиридинильную группу, азетидинильную группу, пирролидинильную группу, пирролинильную группу, пирролильную группу, пиразолильную группу, имидазолидинильную группу, пиперидиногруппу, морфолиногруппу, дигидропропиридильную группу, N-метилпиперазинильную группу и N-этилпиперазинильную группу), (C1– C6)алканоиламиногруппу (в частности, формамидную группу, ацетамидную группу, трифторацетамидную группу, пропионилимидогруппу, бутириламидогруппу и изо-бутириламидогруппу), бензамидогруппу, карбамоиламиногруппу, N-(C1-C4)алкилкарбамоиламиногруппу (в частности, N-метилкарбамоиламиногруппу, N-этилкарбамоиламиногруппу, N-пропилкарбамоиламиногруппу, N-изо-пропилкарбамоиламиногруппу и N-бутилкарбамоиламиногруппу), N,N-ди-(C1-C4)aлкилкapбaмoилaминoгруппу (в частности, N,N-диметилкарбамоиламиногруппу, N,N-диэтилкарбамоиламиногруппу, N,N-дипропилкарбамоиламиногруппу и N, N-дибутилкарбамоиламиногруппу), (C1-C3)алкилендиоксигруппу (в частности, метилендиоксигруппу и этилендиоксигруппу), -B(OH)2, гидроксильную группу, эпокси (-O-) группу, нитрогруппу, цианогруппу, меркаптогруппу, сульфогруппу, сульфиногруппу, фосфоногруппу, дигидроксиборильную группу, сульфамоильную группу, (C1-C6)алкилсульфамоильную группу (в частности, N-метилсульфамоильную группу, N-этилсульфамоильную группу, N-пропилсульфамоильную группу, N-изо-пропилсульфамоильную группу и N-бутилсульфамоильную группу), ди-(C1-C6)алкилсульфамоильную группу (в частности, N,N-диметилсульфамоильную группу, N,N-диэтилcульфамоильную группу, N,N-дипропилсульфамоильную группу и N, N-дибутилсульфамоильную группу), (C1-C6)алкилтиогруппу (в частности, метилтиогруппу, этилтиогруппу, пропилтиогруппу, изо-пропилтиогруппу, н-бутилтиогруппу, втор-бутилтиогруппу и трет-бутилтиогруппу), фенилтиогруппу, (C1-C6)алкилсульфинильную группу (в частности, метилсульфинильную группу, этилсульфинильную группу, пропилсульфинильную группу и бутилсульфинильную группу), фенилсульфинильную группу, (C1-C6)алкилсульфонильную группу (в частности, метилсульфонильную группу, этилсульфонильную группу, пропилсульфонильную группу и бутилсульфонильную группу), фенилсульфонильную группу. Количество заместителей варьирует от 1 до 6, предпочтительно от 1 до 3. Примеры групп, присоединенных через атом кислорода и обозначенных R1, R2 и R7, включают гидроксильную группу и такие группы, каждая из которых необязательно содержит заместители, как алкоксигруппа, циклоалкоксигруппа, арилоксигруппа, аралкилоксигруппа и гетероциклические гидроксильные группы. Алкильная, циклоалкильная, арильная, аралкильная и гетероциклические группы в указанных алкоксигруппе, циклоалкоксигруппе, арилоксигруппе, аралкилоксигруппе и гетероциклических гидроксильных группах имеют те же значения, что и указанные ранее. Заместители, которые может иметь указанный атом кислорода, имеют те же самые значения, что и указанные выше группы, присоединенные через атом азота. Примеры групп, присоединенных через атом серы и обозначенных R1, R2, R7 и R12, включают меркаптогруппу, алкилтиогруппу, циклоалкилтиогруппу, арилтиогруппу, аралкилтиогруппу и гетероциклические тиогруппы. Алкильная, циклоалкильная, арильная, аралкильная и гетероциклические группы в указанных алкилтиогруппе, циклоалкилтиогруппе, арилтиогруппе, аралкилтиогруппе и гетероциклических тиогруппах имеют те же значения, что и указанные ранее. Заместители, которые может иметь указанный атом серы, имеют те же самые значения, что и указанные выше группы, присоединенные через атом азота. Примеры гомоциклических групп в необязательно замещенных гомоциклических группах, обозначенных R3, включают 3-7-членные циклические углеводородные группы, состоящие только из атомов углерода, например, (C3-C7)циклоалкан (в частности, циклопропан, циклобутан, циклопентан, циклогексан и циклогептан) и (C3-C7)циклоалкен (в частности, циклопропен, циклобутен, циклопентен, циклогексен и циклогептен). Примеры заместителей, которые могут иметь указанные гомоциклические группы, включают (C1-C15)алкил (в частности, метил, этил, пропил, изо-пропил, бутил, изо-бутил, втор-бутил, трет-бутил, пентил, гексил, гептил, октил, нонил, децил, ундецил, додецил, тридецил, тетрадецил и пентадецил), (C3– C10)циклоалкил (в частности, циклопропил, циклобутил, циклопентил и циклогексил), (C2-C10)алкенил (в частности, винил, аллил, 2-метилаллил, 2-бутенил, 3-бутенил и 3-октенил), (C2-C10)алкинил (в частности, этинил, 2-пропинил и 3-гексинил), (C3-C10)циклоалкенил (в частности, циклопропенил, циклопентенил и циклогексенил), (C6– C10)арил (в частности, фенил и нафтил), (C7-C19)аралкил (в частности, бензил, фенилэтил и тритил), нитрогруппу, гидроксильную группу, меркаптогруппу, оксогруппу, тиоксогруппу, цианогруппу, карбамоильную группу, карбоксильную группу, (C1-C5)алкоксикарбонильную группу (в частности, метоксикарбонильную группу и этоксикарбонильную группу), сульфогруппу, атом галогена (в частности, фтора, хлора, брома и йода), (C1-C6)алкоксигруппу (в частности, метоксигруппу, этоксигруппу, пропоксигруппу, изо-пропоксигруппу, бутоксигруппу, изо-бутоксигруппу, втор-бутоксигруппу и трет-бутоксигруппу), (C6-C10)арилоксигруппу (в частности, феноксигруппу), (C1-C6)алкилтиогруппу (в частности, метилтиогруппу, этилтиогруппу, н-пропилтиогруппу, изо-пропилтиогруппу, н-бутилтиогруппу и трет-бутилтиогруппу), (C6-C10)арилтиогруппу (в частности, фенилтиогруппу), (C1-C6)алкилсульфинильную группу (в частности, метилсульфинильную группу и этилсульфинильную группу), (C6-C10) арилсульфинильную группу (в частности, фенилсульфинильную группу), (C1-C6)алкилсульфонильную группу (в частности, метилсульфонильную группу и этилсульфонильную группу), (C6-C10) арилсульфонильную группу (в частности, фенилсульфонильную группу), аминогруппу, (C1-C6)ациламиногруппу (в частности, ацетиламиногруппу и пропиламиногруппу), моно- или ди-(C1-C4)алкиламиногруппу (в частности, метиламиногруппу, этиламиногруппу, н-пропиламиногруппу, изо-пропиламиногруппу, н-бутиламиногруппу, диметиламиногруппу и диэтиламиногруппу), (C3-C8) циклоалкиламиногруппу (в частности, циклопропиламиногруппу, циклобутиламиногруппу, циклопентиламиногруппу и циклогексиламиногруппу), (C6-C10) ариламиногруппу (в частности, анилиногруппу), (C1-C6)алканоильную группу (в частности, формильную группу, ацетильную группу и гексаноильную группу), (C6-C10)арилкарбонил (в частности, бензоил) и 5- или 6-членные гетероциклические группы, содержащие, помимо атомов углерода, от 1 до 4 гетероатомов, выбранных из атома кислорода, серы или азота (в частности, 2- или 3-тиенильную группу, 2- или 3-фурильную группу, 3-, 4- или 5-пиразолильную группу, 2-, 4- или 5-тиазолильную группу, 3-, 4- или 5-изотиазолильную группу, 2-, 4- или 5-оксазолильную группу, 3-, 4- или 5- изоксазолильную группу, 2-, 4- или 5-имидазолильную группу, 1,2,3- или 1,2,4-триазолильную группу, 1H или 2H-тетразолильную группу, 2-, 3- или 4-пиридильную группу, 2-, 4- или 5-пиримидильную группу, 3- или 4-пиридазинильную группу, хинолинильную группу, изохинолинильную группу и индолильную группу). Количество заместителей варьирует от 1 до 6, предпочтительно от 1 до 3. Примеры вышеуказанных необязательно замещенных гетероциклических групп, обозначенных R3, включают 5-8-членные циклические группы или их конденсированное кольцо, содержащее, помимо атомов углерода, от 1 до 4 гетероатомов, таких как атом кислорода, атом серы и атом азота, например 5-членные циклические группы, содержащие, помимо атомов углерода, от 1 до 4 гетероатомов, выбранных из атома кислорода, атома серы и атома азота, такие как 2- или 3-тиенильная группа, 2- или 3-фурильная группа, 2- или 3-пирролильная группа, 2-, 3- или 4-пиридильная группа, 2-, 4- или 5-оксазолильная группа, 2-, 4- или 5-тиазолильная группа, 3-, 4- или 5-пиразолильная группа, 2, 4- или 5-имидазолильная группа, 3-, 4- или 5-изоксазолильная группа, 3-, 4-или 5-изотиазолильная группа, 3- или 5-(1,2,4-оксадиазолильная группа), 1,3,4-оксазолильная группа, 3- или 5- (1,2,4-тиадиазолильная группа), 1,3,4-тиадиазолильная группа, 4- или 5-(1,2,3-тиадиазолильная группа), 1,2,5-тиадиазолильная группа, 1,2,3-триазолильная группа, 1,2,4-триазолильная группа и 1H- или 2H-тетразолильная группа; 6-членные циклические группы, содержащие, помимо атомов углерода, от 1 до 4 гетероатомов, выбранных из атома кислорода, атома серы и атома азота, такие как N-оксидо-2-, 3- или 4- пиридильная группа, 2-, 4- или 5-пиримидинильная группа, N-оксидо-2-, 4- или 5-пиримидинильная группа, тиоморфолинильная группа, морфолинильная группа, оксоимидазинильная группа, диоксотриазинильная группа, пирролидинильная группа, пиперазинильная группа, пиранильная группа, тиопиранильная группа, 1,4-оксазинильная группа, 1,4-тиазинильная группа, 1,3-тиазинильная группа, пиперазинильная группа, триазинильная группа, оксотриазинильная группа, 3- или 4-пиридазинильная группа, пиразинильная группа или N-оксидо-3- или 4-пиридазинильная группа; бициклические или трициклические конденсированные циклические группы, содержащие, помимо атомов углерода, от 1 до 4 гетероатомов, выбранных из атома серы и атома азота, например, бензофуранильная группа, бензотиазолильная группа, бензоксазолильная группа, тетразоло[1,4-b]пиридазинильная группа, триазоло[4,5-b]пиридазинильная группа, бензоимидазолильная группа, хинолинильная группа, изохинолинильная группа, циннолинильная группа, фталадинильная группа, хиназолинильная группа, хиноксалинильная группа, индолидинильная группа, хинолидинильная группа, 1,8-нафтилидинильная группа, пуринильная группа, птеридинильная группа, дибензофуранильная группа, карбазолильная группа, акридинильная группа, фенантридинильная группа, хроманильная группа, бензоксадинильная группа, феназинильная группа, фенотиазинильная группа и феноксазинильная группа. Примеры заместителей, которые могут иметь указанные гетероциклические группы, включают (C1-C6)алкил (в частности, метил, этил, пропил, изо-пропил, бутил, изо-бутил, втор-бутил и трет-бутил), (C2-C6)алкенил (в частности, винил, 1-метилвинил, 1-пропенил и аллил), (C2-C6)алкинил (в частности, этинил, 1-пропинил и пропаргил), (C3-C6)циклоалкил (в частности, циклопропил, циклобутил, циклопентил и циклогексил), (C5– C7)циклоалкенил (в частности, циклопентенил и циклогексенил), (C7-C11)аралкил (в частности, бензил, альфа-метилбензил и фенэтил), (C6-C14)арил (в частности, фенил и нафтил), (C1-C6)алкоксигруппу (в частности, метоксигруппу, этоксигруппу, пропоксиргруппу, изо-пропоксигруппу, н-бутоксигруппу, изо-бутоксигруппу, втор-бутоксигруппу и трет-бутоксигруппу), (C6-C14)арилоксигруппу (в частности, феноксигруппу), (C1-C6)алканоильную группу (в частности, формильную группу, ацетильную группу, пропионильную группу, н-бутирильную группу и изо-бутирильную группу), (C6-C14)арилкарбонильную группу (в частности, бензоильную группу), (C1-C6)алканоилоксигруппу (в частности, формилоксигруппу, ацетилоксигруппу, пропионилоксигруппу, н-бутирилоксигруппу и изо-бутирилоксигруппу), (C6-C14)арилкарбонилоксигруппу (в частности, бензоилоксигруппу), карбоксильную группу, (C1-C6)алкоксикарбонильную группу (в частности, метоксикарбонильную группу, этоксикарбонильную группу, н-пропоксикарбонильную группу, изо-пропоксикарбонильную группу, н-бутоксикарбонильную группу, изо-бутоксикарбонильную группу и трет-бутоксикарбонильную группу), карбамоильную группу, N-мoнo(C1-C4)алкилкарбамоильную группу (в частности, N-метилкарбамоильную группу, N-этилкарбамоильную группу, N-пропилкарбамоильную группу, N-изо-пропилкарбамоильную группу и N-бутилкарбамоильную группу), N,N-ди-(C1-C4)алкилкарбамоильную группу (в частности, N,N-диметилкарбамоильную группу, N,N-диэтилкарбамоильную группу, N,N-дтпропилкарбамоильную группу и N,N-дибутилкарбамоильную группу), циклическую аминокарбонильную группу (в частности, 1-азиридинилкарбонильную группу, 1-азетидинилкарбонильную группу, 1-пирролидинилкарбонильную группу, 1-пиперидинилкарбонильную группу, N-метилпиперазинилкарбонильную группу и морфолинокарбонильную группу), атом галогена (фтора, хлора, брома и йода), моно-, ди- или тригалогено(C1-C4)алкил (в частности, хлорметил, дихлорметил, трифторметил и трифторэтил), оксогруппу, амидиногруппу, иминогруппу, аминогруппу, моно- или ди-(C1-C4)алкиламиногруппу (в частности, метиламиногруппу, этиламиногруппу, пропиламиногруппу, изо-пропиламиногруппу, бутиламиногруппу, диметиламиногруппу, диэтиламиногруппу, дипропиламиногруппу, ди-изо-пропиламиногруппу и дибутиламиногруппу), 3-6-членную циклическую аминогруппу, необязательно содержащую, помимо атомов углерода и одного атома азота, от одного до трех гетероатомов, выбранных из атома кислорода, атома серы и атома азота (в частности, азиридинильную группу, азетидинильную группу, пирролидинильную группу, пирролинильную группу, пирролильную группу, имидазолильную группу, пиразолильную группу, имидазолидинильную группу, пиперидиногруппу, морфолиногруппу, дигидропропиридильную группу, пиридильную группу, N-метилпиперазинильную группу и N-этилпиперазинильную группу), (C1-C6)алканоиламиногруппу (в частности, формамидогруппу, ацетамидогруппу, трифторацетамидогруппу, пропиониламидогруппу, бутириламидогруппу и изо-бутириламидогруппу), бензамидогруппу, карбамоиламиногруппу, N-(C1-C4)алкилкарбамоиламиногруппу (в частности, N-метилкарбамоиламиногруппу, N-этилкарбамоиламиногруппу, N-пропилкарбамоиламиногруппу, N-изо-пропилкарбамоиламиногруппу и N-бутилкарбамоиламиногруппу), N, N-ди-(C1-C4) алкилкарбамоиламиногруппу (в частности, N,N-диметилкарбамоиламиногруппу, N, N-диэтилкарбамоиламиногруппу, N,N-дипропилкарбамоиламиногруппу и N,N-дибутилкapбaмoилaминoгpуппу), (C1-C3)алкилендиоксигруппу (в частности, метилендиоксигруппу и этилендиоксигруппу), -B(OH)2, гидроксильную группу, эпокси (-O-) группу, нитрогруппу, цианогруппу, меркаптогруппу, сульфогруппу, сульфиногруппу, фосфоногруппу, дигидроксиборильную группу, сульфамоильную группу, (C1-C6)алкилсульфамоильную группу (в частности, N-метилсульфамоильную группу, N-этилсульфамоильную группу, N-пропилсульфамоильную группу, N-изо-пропилсульфамоильную группу и N-бутилсульфамоильную группу), ди-(C1-C6)алкилсульфамоильную группу (в частности, N,N-диметилсульфамоильную группу, N,N-диэтилсупьфамоильную группу, N,N-дипропилсульфамоильную группу и N,N-дибутилсульфамоильную группу), (C1-C6)алкилтиогруппу (в частности, метилтиогруппу, этилтиогруппу, пропилтиогруппу, изо-пропилтиогруппу, н-бутилтиогруппу, втор-бутилтиогруппу и трет-бутилтиогруппу), фенилтиогруппу, (C1-C6)алкилсульфинильную группу (в частности, метилсульфинильную группу, этилсульфинильную группу, пропилсульфинильную группу и бутилсульфинильную группу), фенилсульфинильную группу, (C1-C6)алкилсульфонильную группу (в частности, метилсульфонильную группу, этилсульфонильную группу, пропилсульфонильную группу и бутилсульфонильную группу), фенилсульфонильную группу. Количество заместителей варьирует от 1 до 6, предпочтительно от 1 до 3. В качестве сложноэфирной группы в необязательно этерифицированной карбоксильной группе, обозначенной R4, можно указать, например, на алкильную, циклоалкильную, арильную и гетероциклические группы, и они имеют те же самые значения, что и указанные ранее. Примеры амидированных карбоксильных групп, обозначенных R4, включают группы формулы – CONR22R23 (где R22 и R23 имеют те же самые значения, что и указанные ранее). В качестве низшего алкила в низшем алкиле, замещенном группой, которая присоединена через атом серы и обозначена R4, следует указать, например, на (C1-C6)алкил, такой как метил, этил, пропил, изо-пропил, бутил, изо-бутил, втор-бутил, пентил, гексил и т.п. Группа, присоединенная посредством атома серы, имеет то же самое значение, что и указанное ранее. Низший алкил в низшем алкиле, замещенном необязательно замещенной гидроксильной группой, которая обозначена R4, имеет то же самое значение, что и указанное ранее. В качестве заместителей у низшей алкильной группы, содержащей необязательно замещенный гидроксил, обозначенный ранее R4, используют, например, (C1-C6)алкил (в частности, метил, этил, н-пропил, изо-пропил, н-бутил и трет-бутил), необязательно содержащий от 1 до 4 заместителей, выбранных из атома галогена (в частности, хлора, брома и фтора), (C6– C10)арила (в частности, фенила и нафтила), (C7-C12)аралкила (в частности, бензила и фенилэтила) и нитрогруппы; (C6-C10)арил (в частности, фенил и нафтил), необязательно содержащий от 1 до 4 заместителей, выбранных из атома галогена (в частности, хлора, брома и фтора), (C1– C6)алкила (в частности, метила, этила и н-пропила), (C6– C10)арила (в частности, фенила и нафтила); (C7-C12)аралкил (в частности, бензил, фенилэтил и нафтилметил), необязательно содержащий от 1 до 4 заместителей, выбранных из атома галогена (в частности, хлора, брома и фтора), (C1-C6)алкила (в частности, метила, этила и н-пропила), (C6-C10)арила (в частности, фенила и нафтила), (C7-С12)аралкила (в частности, бензила и фенэтила) и нитрогруппы; (C1-C6)алкилкарбонильную группу (в частности, ацетильную группу и пропионильную группу), необязательно содержащую от 1 до 3 заместителей, выбранных из формильной группы, атома галогена (в частности, хлора, брома и фтора), (C1-C6)алкила (в частности, метила, этила и н-пропила), (C6-C10)арила (в частности, фенила и нафтила), (C7-C12)аралкила (в частности, бензила и фенилэтила) и нитрогруппы; (C6-C10)арилоксикарбонильную группу (в частности, фенилоксикарбонильную группу и нафтилоксикарбонильную группу), необязательно содержащую от 1 до 4 заместителей, выбранных из атома галогена (в частности, хлора, брома и фтора), (C1-C6)алкила (в частности, метила, этила и н-пропила), (C6-C10)арила (в частности, фенила и нафтила), (C7-C12)аралкила (в частности, бензила и фенилэтила) и нитрогруппы; (C6-C10)арилкарбонильную группу (в частности, бензоильную группу и нафтилкарбонильную группу), необязательно содержащую от 1 до 4 заместителей, выбранных из атома галогена (в частности, хлора, брома и фтора), (C1-C6)алкила (в частности, метила, этила и н-пропила), (C6-C10)арила (в частности, фенила и нафтила), (C7-C12)аралкила (в частности, бензила и фенилэтила) и нитрогруппы; (C7-C12) аралкилкарбонильную группу (в частности, бензилкарбонильную группу и фенэтилкарбонильную группу), необязательно содержащую от 1 до 4 заместителей, выбранных из атома галогена (в частности, хлора, брома и фтора), (C1-C6)алкила (в частности, метила, этила и н-пропила), (C6-C10)арила (в частности, фенила и нафтила), (C7-C12)аралкила (в частности, бензила и фенилэтила) и нитрогруппы; и пиранильную или фуранильную группу, три(C1-C4)алкилсилильную группу (в частности, триметилсилильную и триэтилсилильную группу), необязательно содержащую от 1 до 4 заместителей, выбранных из атома галогена (в частности, хлора, брома и фтора), (C1-C6)алкила (в частности, метила, этила и н-пропила), (C6-C10)арила (в частности, фенила и нафтила), (C7-C12)аралкила (в частности, бензила и фенэтила) и нитрогруппы. В качестве углеводородного остатка в карбонильной группе, необязательно замещенной углеводородным остатком, которая обозначена через R4, можно упомянуть, например, насыщенные или ненасыщенные углеводородные остатки, содержащие до 25 атомов углерода. Примеры их включают алкил (в частности, (C1-C8) алкил, такой как метил, этил, пропил, изо-пропил, бутил, трет-бутил, пентил и гексил), циклоалкил (в частности, (C3-C6) циклоалкил, такой как циклопропил, циклобутил и циклогексил), алкоксиалкил (в частности, (C1-C3)алкокси(C1-C6) алкил, такой как метоксиметил, этоксиметил, этоксибутил и пропоксигексил), алкенил (в частности, (C2-C6)алкенил, такой как винил, бутенил, бутадиенил и гексатриенил), арил (в частности, (C6-C14)арил, такой как фенил, нафтил и антраценил) и аралкил (в частности, (C7-C20) аралкил, такой как бензил, бензгидрил и тритил). Необязательно замещенная 5-7-членная гетероциклическая группа, содержащая в качестве группы, способной замещать кольцо, карбонильную группу, тиокарбонильную группу, необязательно окисленный атом серы или группу, которая может быть в них превращена и обозначена через R6, имеет то же самое значение, что и указанное, начиная со страницы 5 в строке 45 и кончая на странице 9 в строке 35 Европейской патентной заявки EP-A-0520423. Примеры анионобразующих групп или групп, способных превращаться в аминогруппу, обозначенных выше как R6, включают карбоксильную группу, (C1-C4)алкоксикарбонильную группу, цианогруппу, тетразолильную группу, амидную группу трифторметансульфокислоты, группу фосфорной кислоты и группу сульфокислоты. В качестве мостиковой группы, обозначенной через V, можно упомянуть, например, группы -(C=O)-, -О-, -S-, -NH-, -(C=O)- NH-, -O-CH2-, -S-CH2– и -CH=CH-. Необязательно замещенный остаток ароматического углеводорода, необязательно содержащий гетероатом и необязательно замещенную гетероциклическую группу, обозначенный как кольцо Z, имеет то же самое значение, что и указанное на странице 5 в строках от 38 до 44 Европейской патентной заявки EP-A-0520423. В качестве арила, обозначенного через R11, или в качестве необязательно замещенного арила, обозначенного как R12 или R14, можно указать, например, на моноциклические или конденсированные полициклические ароматические углеводородные остатки. Предпочтительные их примеры включают (C6-C14) арил, такой как фенил, нафтил, антрил, фенантрил, аценафтитенил и т.п. Наиболее предпочтительными из них являются, фенил, 1-нафтил и 2-нафтил. Количество заместителей составляет один или более, предпочтительно от одного до трех. Примеры заместителей включают (C1-C3)алкил (в частности, метил, этил, пропил), (C2-C4)алкенил (в частности, винил, аллил, 2-бутенил), (C3-C4)алкинил (в частности, пропаргил, 2-бутинил), (C3-C7)циклоалкил (в частности, циклопропил, циклобутил, циклопентил, циклогексил), арил (в частности, фенил, нафтил), 5-9-членную ароматическую гетероциклическую группу, содержащую от 1 до 4 гетероатомов, выбранных из атома азота, атома кислорода и атома серы (в частности, фурильную группу, тиенильную группу, пирролильную группу, тиазолильную группу, имидазолильную группу, пиразолильную группу, пиридильную группу), 5-9-членную неароматическую гетероциклическую группу, содержащую от 1 до 4 гетероатомов, выбранных из атома азота, атома кислорода и атома серы (в частности, оксиранильную группу, азетидинильную группу, оксэтанильную группу, тиетанильную группу, пирродинильную группу тетрагидрофурильную группу, тиоранильную группу, пиперидинильную группу, тетрагидропиранильную группу, морфолинильную группу, тиоморфолинильную группу, пиперазинильную группу), (C7-C10)аралкил (в частности, бензил, фенэтил), аминогруппу, N-монозамещенную аминогруппу (в частности, N-(C1-C6)алкиламиногруппу, такую как метиламиногруппу, этиламиногруппу, пропиламиногруппу), N,N-дизамещенную аминогруппу (в частности, N,N-(C1-C6)алкиламиногруппу, такую как диметиламиногруппа, диэтиламиногруппа), амидиногруппу, ацильную группу (в частности, (C1-C8)алкилкарбонильную группу, такую как ацетильная группа, пропионильная группа, бутирильная группа; (C1-C14)арилкарбонильную группу, такую как бензоильная группа; (C7-C12)аралкилоксикарбонильную группу, такую как бензоилоксикарбонильная группа), карбамоильную группу, N-замещенную карбамоильную группу (в частности, N-(C1– C6)алкилкарбамоильную группу, такую как метилкарбамоильная группа, этилкарбамоильная группа, пропилкарбамоильная группа), N,N-дизамещенную карбамоильную группу (в частности, N,N-ди(C1– C6)алкилкарбамоильную группу, такую как диметилкарбамоильная группа, диэтилкарбамоильная группа), сульфамоильную группу, N-монозамещенную сульфамоильную группу (в частности, N-(C1-C6)алкилсульфамоильную группу, такую как метилсульфамоильная группа, этилсульфамоильная группа, пропилсульфамоильная группа), N,N-дизамещенную сульфамоильную группу (в частности, N,N-ди(C1-C6)алкилсульфамоильную группу, такую как диметилсульфамоильная группа, диэтилсульфамоильная группа), карбоксильную группу, (C1-C3)алкоксикарбоксильную группу (в частности, метоксикарбоксильную группу, этоксикарбоксильную группу), гидроксильную группу, (C1-C3)алкоксигруппу (в частности, метоксигруппу, этоксигруппу, пропоксигруппу), которая может иметь заместитель (в частности, (C1-C3)алкил, атом галогена, (C1-C3)алкилтиогруппу, гидроксильную группу), (C2-C4)алкенилоксигруппу (в частности, винилоксигруппу, аллилоксигруппу), циклоалкилоксигруппу (в частности, (C3-C7)циклоалкилоксигруппу, такую как циклопропилоксигруппа, циклобутилоксигруппа), аралкилоксигруппу (в частности, (C7-C10)аралкилоксигруппу, такую как бензилоксигруппа), арилоксигруппу (в частности, фенилоксигруппу, нафтилоксигруппу), меркаптогруппу, (C1-C3)алкилтиогруппу (в частности, метилтиогруппу, этилтиогруппу, пропилтиогруппу), аралкилтиогруппу (в частности, (C7– C10)аралкилтиогруппу, такую как бензилтиогруппа), арилтиогруппу (в частности, фенилтиогруппу, нафтилтиогруппу), (C1-C3)алкилендиоксигруппу (в частности, метилендиоксигруппу, этилендиоксигруппу, пропилендиоксигруппу), сульфогруппу, цианогруппу, азидогруппу, нитрогруппу, нитрозогруппу, атом галогена (фтора, хлора, брома и йода) и т. п. В качестве аралкила в необязательно замещенном аралкиле, обозначенном через R12, следует упомянуть, например, арилалкил. Арил имеет то же самое значение, что и указанное ранее. Примеры алкила включают (C1-C6)алкил, такой как метил, этил, пропил, бутил, пентил, гексил. Заместители имеют те же самые значения, что и указанные для заместителей, которые может иметь арил, обозначенный через R12. В качестве циклоалкила в необязательно замещенном циклоалкиле, обозначенном как R11 и R12, следует упомянуть, например, (C3-C10)циклоалкил и (C3-C10)бициклоалкил. Предпочтительные их примеры включают циклопропил, циклобутил, циклопентил, циклогексил, циклогептил, циклооктил, бицикло[2,2,1]гептил, бицикло[2,2,2]октил, бицикло[3,2,1]октил, бицикло[3,2,1]нонил, бицикло[4,2,1] нонил, бицикло[4,3,1]децил. Наиболее предпочтительными среди них являются циклопентил и циклогексил. Заместители имеют то же самое значение, что и указанное для заместителей, которые может иметь арил, обозначенный как R12. В качестве гетероциклической группы в необязательно замещенной гетероциклической группе, обозначенной через R11, следует упомянуть, например, 5-13-членную ароматическую гетероциклическую группу, содержащую от одного до четырех гетероатомов, выбранных из атома кислорода, атома серы и атома азота; или насыщенную или ненасыщенную неароматическую гетероциклическую группу. Примеры ароматических гетероциклических групп включают ароматическую моноциклическую гетероциклическую группу (в частности, фурильную группу, тиенильную группу, пирролильную группу, оксазолильную группу, изоксазолильную группу, тиазолильную группу, изотизолильную группу, имидазолильную группу, пиразолильную группу, 1,2,4-оксадиазолильную группу, 1,3,4-оксадиазолильную группу, фуразанильную группу, 1,2,3-тиадиазолильную группу, 1,3,4-тиадиазолильную группу, 1,2,3-триазолильную группу, 1,2,4-триазолильную группу, тетразолильную группу, пиридильную группу, пиридазинильную группу, пиримидинильную группу, пиразинильную группу, триазинильную группу), ароматическую гетероциклическую группу с конденсированным кольцом {в частности, бензофуранильную группу, изобензофуранильную группу, бензо[b]тиенильную группу, индорильную группу, изоиндорильную группу, 1H-индазолильную группу, бензоимидазолильную группу, бензоксазолильную группу, 1,2-бензоизоксазолильную группу, бензотиазолильную группу, 1,2-бензоизотиазолильную группу, 1H-бензотриазолильную группу, хинолинильную группу, изохинолинильную группу, циннолинильную группу, хиназолинильную группу, хиноксалинильную группу, фталазинильную группу, нафтилидинильную группу, пуринильную группу, птеридинильную группу, карбазолильную группу, альфа-карболинильную группу, бета-карболинильную группу, гамма-карболинильную группу, акридинильную группу, феноксазинильную группу, фенотиазинильную группу, феназинильную группу, феноксатиинильную группу, тиантренильную группу, фенантридинильную группу, фенантролинильную группу, индолизинильную группу, пирроло[1,2-b]пиридазинильную группу, пиразоло[1,5-a] пиридильную группу, имидазо[1,2-a] пиридильную группу, имидазо[1,5-a] пиридильную группу, имидазо[1, 2-b]пиридазинильную группу, имидазо[1,2-а] пиридазинильную группу, 1,2,4-триазоло[4,3-a] пиридильную группу, 1,2,4-триазоло[4,3-b]пиридазинильную группу}. Примеры неароматических гетероциклических групп включают оксиланильную группу, азетизинильную группу, оксэтанильную группу, тиетанильную группу, пирролидинильную группу, тетрагидрофуранильную группу, тиоланильную группу, пиперидильную группу, тетрагидропиранильную группу, морфолинильную группу, тиоморфолинильную группу, пиперазинильную группу. Гетероциклическая группа может иметь один или большее количество заместителей, предпочтительно от одного до трех заместителей. Заместители имеют то же самое значение, что и указанное для необязательно замещенного арила, обозначенного через R12. В качестве заместителей в необязательно замещенной карбоксильной группе, обозначенной как Q, можно упомянуть, например, алкил, циклоалкил, арил, аралкил, гетероциклическую группу. Они имеют то же самое значение, что и указанное ранее. В качестве низшей алкилендиоксигруппы, обозначенной как Q, можно упомянуть, например, (C1-C6)алкилендиоксигруппу (в частности, метилендиоксигруппу, этилендиоксигруппу, пропилендиоксигруппу, 2,2-диметилметилендиоксигруппу). В качестве низшего алкила, обозначенного как R11, следует упомянуть, например, (C1-C6) алкил (в частности, метил, этил, пропил, изо-пропил, бутил, трет-бутил, пентил, гексил). В качестве необязательно замещенной аминогруппы, обозначенной как R13, следует упомянуть, например, группу формулы -NR22R23, где R22 обозначает необязательно замещенный арил, необязательно замещенную гетероциклическую группу; R23 обозначает атом водорода, необязательно замещенный алкил. Необязательно замещенный алкил, необязательно замещенный циклоалкил, необязательно замещенный арил и необязательно замещенная гетероциклическая группа имеют те же значения, что и указанные ранее. В качестве разделительной группы, обозначенной символом “A”, следует указать, например, на (C1-C4)алкилен (в частности, метилен, этилен), (C2-C6)алкенил (в частности, винилен, бутадиенилен); группу формулы: -(CH2)cNR24-, где с обозначает число от 0 до 3, R24 обозначает атом водорода, (C1-C6)алкил (в частности, метил, этил, бутил); группу формулы: -CO-; группу формулы: -CONR22-, где значение R22 указано ранее; -O-; -S-; группу формулы: -NR22S(O)e-, где e обозначает число от 0 до 2, R22 имеет то же значение, что и указанное ранее. Предпочтительный пример 5-7-членной гомо- или гетероциклической группы (кольцо W’) в необязательно замещенном конденсированном бициклическом соединении, состоящем из 5-7-членной гомо- или гетероциклической кольцевой группы (кольцо W’) и 5-7-членной гомо- или гетероциклической кольцевой группы (кольцо Y’) включает 5- или 6-членную гомо- или гетероциклическую группу, более предпочтительно 5- или 6-членную гетероциклическую группу. Конкретные примеры кольца W’ включают кольцевые группы формулы ![]() ![]() ![]() Среди этих циклических групп предпочтительны группы формулы ![]() Далее, циклическая группа формулы ![]() является особенно предпочтительной. Наиболее предпочтительным примером указанного кольца W является группа формулы ![]() где R1 и R2 имеют то же самое значение, что и указанное ранее. Предпочтительный пример 5-7-членной гомо- или гетероциклической группы (кольцо Y’) в необязательно замещенном конденсированном бициклическом соединении, состоящем из 5-7-членной гомо- или гетероциклической кольцевой группы (кольцо W’) и 5-7-членной гомо- или гетероциклической кольцевой группы (кольцо Y’) включает шестичленную гомо- или гетероциклическую группу, более предпочтительно шестичленную гетероциклическую группу. Конкретные примеры кольца W’ включают кольцевые группы формулы ![]() Среди этих циклических групп предпочтительны группы формулы: ![]() Далее циклическая группа формулы ![]() является особенно предпочтительной. Наиболее предпочтительным примером указанного кольца Y’ является кольцевая группа формулы ![]() где R16 обозначает необязательно замещенный углеводородный остаток, R17 обозначает атом водорода или группу, присоединенную через атом углерода, атом азота, атом кислорода или атом серы, о равно 1 или 2; или кольцевую группу формулы ![]() где R20 и R21 каждый независимо обозначают атом водорода, необязательно замещенный углеводородный остаток. Примеры углеводородных остатков в необязательно замещенных углеводородных остатках, обозначенных R16, R20 и R21, включают алкил, циклоалкил, арил и аралкил, описанные ранее. Примеры заместителей, которые могут иметь указанные необязательно замещенные углеводородные остатки, включают те, которые необязательно содержат от одного до пяти заместителей, выбранных, например, из нитрогруппы, гидроксильной группы, оксогруппы, тиоксогруппы, цианогруппы, карбамоильной группы, карбоксильной группы, (C1-C4)алкоксикарбонильной группы (в частности, метоксикарбонильной группы и этоксикарбонильной группы), сульфогруппы, атома галогена (фтора, хлора, брома и йода), (C1-C6)алкоксигруппы (в частности, метоксигруппы, этоксигруппы, пропоксигруппы, изо-пропоксигруппы, бутоксигруппы, изо-бутоксигруппы, 2-бутоксигруппы и трет-бутоксигруппы), (C6-C12)арилоксигруппы (в частности, феноксигруппы), галогено(C6-C16)арила (в частности, о-, м- или п-хлорфеноксигруппы и о-, м- или п-бромфеноксигруппы), (C1-C6)алкилтиогруппы (в частности, метилтиогруппы, этилтиогруппы, н-пропилтиогруппы, изо-пропилтиогруппы, н-бутилтиогруппы и трет-бутилтиогруппы), (C6-C12)арилтиогруппы (в частности, фенилтиогруппы), (C1-C6)алкилсульфинильной группы (в частности, метилсульфинильной группы и этилсульфинильной группы), (C1-C6)алкилсульфонильной группы (в частности, метилсульфонильной группы и этилсульфонильной группы), аминогруппы, (C1-C6)ациламиногруппы (в частности, формиламиногруппы, ацетиламиногруппы и пропиламиногруппы), моно- или ди- (C1-C4)алкиламиногруппы (в частности, метиламиногруппы, этиламиногруппы, н-пропиламиногруппы, изо-пропиламиногруппы, н-бутиламиногруппы, диметиламиногруппы и диэтиламиногруппы), (C1-C6)ацильной группы (в частности, формильной группы, ацетильной группы и гексаноильной группы), (C6-C12)арилкарбонильной группы (в частности, бензоильной группы) и 5- или 6-членных гетероциклических групп, содержащих, помимо атомов углерода, от 1 до 4 гетероатомов, выбранных из атома кислорода, атома серы или атома азота, например 2- или 3-тиенильной группы, 2- или 3-фурильной группы, 3-, 4- или 5- пиразолильной группы, 2-, 4- или 5-тиазолильной группы, 3-, 4- или 5-изотиазолильной группы, 2-, 4- или 5-оксазолильной группы, 3-, 4- или 5-изоксазолильной группы, 2-, 4- или 5-имидазолильной группы, 1,2,3- или 1,2,4-триазолильной группы, 1H- или 2H-тетразолильной группы, 2-, 3- или 4-пиридильной группы, 2-, 4- или 5-пиримидильной группы, 3- или 4-пиридазинильной группы, хинолинильной группы, изохинолинильной группы и индолильной группы, и (C1-C10)галогеналкила (в частности, дифторметила, трифторметила, трифторэтила и трихлорэтила), а в том случае, если углеводородная группа является циклоалкильной, циклоалкенильной, арильной или аралкильной группой, – из (C1-C6)алкила (в частности, метила, этила, пропила, изо-пропила и бутила). Количество заместителей варьирует от 1 до 6, предпочтительно от 1 до 3. Группа, присоединенная через атом углерода, атом азота, атом кислорода или атом серы, обозначенная R17, имеет то же значение, что и указанное ранее. R1 и R2 предпочтительно таковы, что либо один из них является группой формулы R9-(CH2)m– где R9 обозначает группу, присоединенную через атом азота, a m обозначает целое число от 0 до 3, а другой является группой, обозначенной общей формулой R10-A- где R10 обозначает необязательно замещенную фенильную группу, а A обозначает мостиковую группу. Необязательно замещенная группа, присоединенная через атом азота, обозначенная через R9, имеет то же значение, что и указанное ранее. Примеры заместителей в необязательно замещенной фенильной группе, обозначенной выше R10, включают атом галогена (фтора, хлора, брома или йода), (C1-C8)алкил (в частности, метил, этил, пропил, изо-пропил, бутил, изо-бутил, втор-бутил, трет-бутил, пентил, изо-пентил и неопентил), необязательно замещенный от одного до трех атомов галогена (фтора, хлора, брома или йода), (C1-C8)алкоксигруппу (в частности, метоксигруппу, этоксигруппу, пропоксигруппу, изопропоксигруппу, бутоксигруппу и изо-бутоксигруппу), необязательно содержащую в качестве заместителей от одного до трех атомов галогена (фтора, хлора, брома или йода), (C1-C8)алкилтиогруппу (в частности, метилтиогруппу, этилтиогруппу, пропилтиогруппу, изо-пропилтиогруппу, бутил-тиогруппу, втор-бутилтиогруппу, трет-бутилтиогруппу, пентилтиогруппу, изо-пентилтиогруппу и неопентилтиогруппу), необязательно содержащую в качестве заместителей от одного до трех атомов галогена (фтора, хлора, брома или йода), (C1-C6)алканоилоксигруппу (в частности, формилоксигруппу, ацетоксигруппу и пропионилоксигруппу), гидроксильную группу, карбоксильную группу, (C1-C6)алкоксикарбонильную группу (в частности, метоксикарбонильную группу, этоксикарбонильную группу и трет-бутоксикарбонильную группу), цианогруппу, нитрогруппу, амидогруппу и моно- или ди(C1-C6)алкилкарбамоильную группу (в частности, метилкарбамоильную группу, этилкарбамоильную группу и диметилкарбамоильную группу). Количество заместителей варьирует от 1 до 5, предпочтительно от 1 до 3. Мостиковая группа, обозначенная A, имеет то же значение, что и указанное ранее. R3 предпочтительно обозначает группу формулы ![]() где R7 обозначает атом водорода или группу, присоединенную через атом углерода, атом азота, атом кислорода или атом серы, a R8 обозначает атом галогена, нитрогруппу, цианогруппу или необязательно замещенный алифатический углеводородный остаток, присоединенный через атом кислорода, атом азота или атом серы. Вышеуказанные, необязательно замещенные группы, присоединенные через атом углерода, атом азота, атом кислорода или атом серы, обозначенные R7, имеют те же значения, что и указанные ранее. Примеры необязательно замещенного алифатического углеводородного остатка в необязательно замещенном углеводородном остатке, присоединенном через атом кислорода, атом азота или атом серы и обозначенного ранее R8, включают (C1-C15)алкил (в частности, метил, этил, пропил, изо-пропил, бутил, изо-бутил, втор-бутил, трет-бутил, пентил, гексил, гептил, октил, нонил, децил, ундецил, додецил, тридецил, тетрадецил и пентадецил), (C3-C8)циклоалкил (в частности, циклопропил, циклобутил, циклопентил и циклогексил), (C2-C10)алкенил (в частности, винил, аллил, 2-метилаллил, 2-бутенил, 3-бутенил и 3-октенил), (C2-C10)алкинил (в частности, этинил, 2-пропинил и 3- гексинил) и (C1-C6)алкоксигруппу (в частности, метоксигруппу, этоксигруппу, пропоксигруппу и бутоксигруппу). Примеры заместителей, которые могут иметь указанные углеводородные группы, включают нитрогруппу, гидроксильную группу, оксогруппу, тиоксогруппу, цианогруппу, карбамоильную группу, карбоксильную группу, (C1-C4)алкоксикарбонильную группу (в частности, метоксикарбонильную группу и этоксикарбонильную группу), сульфогруппу, атом галогена (в частности, фтора, хлора, брома и йода), (C1-C4)алкоксигруппу (в частности, метоксигруппу, этоксигруппу, пропоксигруппу, изо-пропоксигруппу, бутоксигруппу, изобутоксигруппу, втор-бутоксигруппу и трет-бутоксигруппу), (C1-C4)алкилтиогруппу (в частности, метилтиогруппу, этилтиогруппу, н-пропилтиогруппу, изо-пропилтиогруппу, н-бутилтиогруппу и трет-бутилтиогруппу), аминогруппу, (C1– C6)алканоиламиногруппу (в частности, ацетиламиногруппу и пропиониламиногруппу), моно- или ди-(C1-C4)алкиламиногруппу (в частности, метиламиногруппу, этиламиногруппу, н-пропиламиногруппу, изо-пропиламиногруппу, н-бутиламиногруппу, диметиламиногруппу и диэтиламиногруппу), (C1-C4)алканоильную группу (в частности, формильную группу, ацетильную группу и пропионильную группу), и 5- или 6-членные гетероциклические группы, содержащие, помимо атомов углерода, от 1 до 4 гетероатомов, выбранных из атома кислорода, атома серы или атома азота, которые необязательно могут содержать от 1 до 4 заместителей, выбранных из (a) атома галогена (в частности, фтора, хлора, брома и йода); и (b) (C1-C4)алкила (в частности, метила, этила, пропила, изо-пропила), например, 2- или 3-тиенильную группу, 2- или 3-фурильную группу, 3-, 4- или 5-пиразолильную группу, 2-, 4- или 5-тиазолильную группу, 3-, 4- или 5-изотиазолильную группу, 2-, 4- или 5-оксазолильную группу, 3-, 4- или 5-изоксазолильную группу, 2-, 4- или 5-имидазолильную группу, 1,2,3- или 1,2,4-триазолильную группу, 1H- или 2H-тетразолильную группу, 2-, 3- или 4-пиридильную группу, 2-, 4- или 5-пиримидильную группу, 3- или 4-пиридазинильную группу, хинолинильную группу, изохинолинильную группу и индолильную группу, и (C1-C6)галогеналкил (в частности, дифторметил, трифторметил, трифторэтил и трихлорэтил). Количество заместителей варьирует от 1 до 4, предпочтительно от 1 до 3. R11 предпочтительно обозначает группу формулы -(CH)pQ’ где p обозначает целое число от 1 до 3; Q’ обозначает арил, который может быть замещен атомом галогена, нитрогруппой, цианогруппой, аминогруппой, необязательно замещенной карбоксильной группой, низшей алкилендиокси группой формулы: -A-R16, где R16 является низшей алкильной группой, а A имеет то же самое значение, что и указанное ранее. Арил, который может быть замещен атомом галогена, нитрогруппой, цианогруппой, аминогруппой, необязательно замещенной карбоксильной группой, низшей алкилендиоксигруппой формулы: -A-R16 обозначенный через Q’, имеет то же самое значение, что и указанное ранее. Низшая алкильная группа имеет то же самое значение, что и указанное ранее. Q’ предпочтительно является арилом, который может быть замещен атомом галогена (фтора, хлора, брома и йода). R13 предпочтительно обозначает необязательно замещенную моноаралкиламиногруппу. Необязательно замещенный аралкил в необязательно замещенной моноаралкиламиногруппе имеет то же самое значение, что и указанное ранее. Аралкил предпочтительно является бензилом. R14 предпочтительно обозначает необязательно замещенный фенил, который имеет то же самое значение, что и указанное ранее. Необязательно замещенное конденсированное бициклическое соединение, состоящее из 5-7-членной гомо- или гетероциклической группы и 5-7-членной гомо- или гетероциклической группы, преимущественно является соединением формулы V ![]() где кольцо W, R16, R17 и о имеют те же самые значения, что и указанные ранее; или соединением формулы VII ![]() где R18 и R19 каждый независимо обозначают необязательно замещенный углеводородный остаток, а кольцо Y имеет то же самое значение, что и указанное ранее. Необязательно замещенные углеводородные остатки, обозначенные R18 и R19, имеют те же самые значения, что и указанные ранее. Кольцо Y предпочтительно является необязательно замещенной 5-7-членной гетероциклической кольцевой группой, за исключением 4-пиридона. Более предпочтительно кольцо Y является кольцевой группой формулы VIII ![]() где R20 и R21 имеют те же самые значения, что и указанные ранее. Кольцо W предпочтительно является кольцевой группой формулы VI ![]() где R1 и R2 имеют те же самые значения, что и указанные ранее. Соединения (I), (II), (VII) и их соли могут быть легко получены известными из области техники способами, которые в качестве примера поясняются приведенными далее Способами получения 1-16. Указанное ранее необязательно замещенное конденсированное бициклическое соединение, состоящее из 5-7-членной гомо- или гетероциклической группы и 5-7-членной гомо- или гетероциклической группы, может быть получено в соответствии со Способами получения 1-16 или аналогичными способами. [Способ получения 1] В соответствии со способом, приведенным K.Gewald, Е. Schinke and H.Boettcher, Chem. Ber., Bd. 99, 94-100 (1966), соответствующий кетон или альдегид, имеющий активную метиленовую группу (i), вводят во взаимодействие с производным эфира циануксусной кислоты и серой с получением производного 2-аминотиофена (ii). В частности, в случае кетона (R1 H) его кипятят с обратным холодильником вместе с производным циануксусного эфира в присутствии уксусной кислоты и ацетата аммония в подходящем растворителе, таком как толуол, с получением производного эфира алкилиденциануксусной кислоты, который далее нагревают в подходящем растворителе, например этаноле, в присутствии серы и основания с получением производного 2-аминотиофена (ii). А в случае альдегида (R1 = H) его кипятят с обратным холодильником в подходящем растворителе, таком как диметилформамид, с производным циануксусного эфира, серы и основания с получением производного 2-аминотиофена (ii). Полученное указанным способом соединение (ii) нагревают в соответствии со способом, приведенным Kuwata et al. (патент Германии 2435025), вместе с диэтиловым эфиром этоксиметиленмалоновой кислоты с получением аддукта (iii). Аддукт перемешивают в растворителе, который не оказывает нежелательного воздействия на протекание реакции (в частности, спиртах, таких как этанол или метанол), в присутствии основания (в частности, гидроксида щелочного металла, такого как гидроксид калия или гидроксид натрия) в интервале температур приблизительно от 10 до 70oC и получают карбоновую кислоту (iv). Полученную карбоновую кислоту (iv) подвергают циклизации путем нагревания в эфире полифосфорной кислоты с получением производного тиено[2,3-b]пиридина (v). Соединение (v) перемешивают в растворителе, который не оказывает нежелательного воздействия на протекание реакции (в частности, амидах, таких как диметилформамид или диметилацетамид), в присутствии производного галогенсодержащего аралкила и основания (в частности, органического основания, такого как пиридин и триэтиламин) в интервале температур приблизительно от 10 до 100oC с получением производного эфира 4,7-дигидро-4-оксотиено[2,3-b]пиридин-5-карбоновой кислоты, обозначенной формулой Ia. Далее соединение (Ia) перемешивают с N-бромсукцинимидом (NBS) в растворителе, который не оказывает нежелательного воздействия на протекание реакции (в частности, галогенпроизводных углеводородах, таких как четыреххлористый углерод и хлороформ), в присутствии ,![]() -азобисизобутиронитрила в интервале температур приблизительно от 30 до 100oC с получением соединения (Ib). Соединение (Ib) перемешивают с различными аминами в растворителе, который не оказывает нежелательного воздействия на протекание реакции (в частности, амидах, таких как диметилформамид или диметилацетамид, нитриле, таком как ацетонитрил, и спиртах, таких как этанол), в присутствии основания в интервале температур приблизительно от 10 до 100oC с получением соединения (I). Описанный выше Способ получения 1 приведен на Схеме 1 (см. в конце описания), где R1 обозначает атом водорода или алкильную группу, R’ является алкильной группой, X обозначает уходящую группу, Xa обозначает атом галогена, a R2, R4, R5, R7, R8, R9, m и n имеют те же значения, что и указанные ранее.
Алкильные группы R1 и R’ имеют те же значения, что и указанные ранее.
В качестве уходящей группы, обозначенной X, можно указать, например, группу, которая может быть замещена нуклеофильным агентом, таким как углеводородный остаток, содержащий гетероатом (в частности, атом кислорода, атом серы, атом азота), который имеет отрицательный заряд. Предпочтительные примеры уходящих групп включают атом галогена (в частности, йода, брома, хлора), алканоилоксигруппу (в частности, ацетоксигруппу), алкилсульфонилоксигруппу (в частности, метансульфонилоксигруппу), алкил-арилсульфонилоксигруппу (в частности, п-толуолсульфонилоксигруппу).
Атом галогена, обозначенный Xa, является фтором, бромом, хлором, йодом. Наиболее предпочтительным из них является бром.
[Способ получения 2]Практически так же, как и в Способе получения 1, производное 2-аминотиофена, не содержащее заместитель в положении 5 (vi), которое может быть получено по способу, приведенному в Karl Gewald (K.Gewald, Chem. Ber., Bd. 98, 3571- 3577 (1965); K. Gewald, E. Schinke, Chem. Ber., Bd. 99, 2712-2715 (1966)), вводят во взаимодействие при нагревании с диэтиловым эфиром этоксиметиленмалоновой кислоты в соответствии со способом, приведенным в Kuwata et al. (патент Германии 2435025) с получением аддукта (vii). Аддукт перемешивают в интервале температур приблизительно от 10 до 60oC в растворителе, который не оказывает вредного воздействия на протекание реакции (в частности, спиртах, таких как этанол или метанол), в присутствии подходящего основания (в частности, гидроксида щелочного металла, такого как гидроксид калия или гидроксид натрия) и получают карбоновую кислоту (viii). Соединение (viii) подвергают различным реакциям катионного замещения и, в зависимости от конкретного случая, – подходящему замещению функциональных групп, с целью введения заместителя R2, которое затем подвергают реакции циклизации при нагревании с эфиром полифосфорной кислоты с получением производного тиено[2,3-b] пиридина (ix). Соединение (ix) перемешивают с производным галогенсодержащего аралкила в растворителе, который не оказывает вредного воздействия на протекание реакции (в частности, амидах, таких как диметилформамид или диметилацетамид), в присутствии основания в интервале температур приблизительно от 10 до 100oC с получением производного эфира 4,7-дигидро-4-оксотиено[2,3-b] пиридин-5- карбоновой кислоты, формулы Ia. В качестве реакции катионного замещения следует упомянуть, например, нитрование (дымящая азотная кислота – концентрированная серная кислота, нитрат натрия – концентрированная серная кислота), ацилирования (хлорангидрид кислоты – хлорид алюминия), формилирования (оксихлорид фосфора – диметилформамид или N-метилформанилид) и бромирования (N-бромсукцинимид, бром – пиридин). Далее соединение (Ia) подвергают практически тем же самым обработкам, что и в Способе получения 1 с получением соединений (Ib) и (I). Способ получения 2 приведен на Схеме 2 (см. в конце описания), где каждый символ имеет то же самое значение, что и указанное ранее. [Способ получения 3] Производное алантовой (alantoic) кислоты (x) перемешивают в интервале температур приблизительно от 30 до 110oC в эквивалентном или избыточном количестве по отношению к соединению (x), трифосгена в растворителе, который не оказывает вредного воздействия на протекание реакции (в частности, в простых эфирах, таких как тетрагидрофуран и 1,4-диоксан) с получением производного ангидрида изатовой (isatoic) кислоты (xi). Далее галогенированное производное (xii) перемешивают в интервале температур приблизительно от 40 до 130oC в растворителе, который не оказывает вредного воздействия на протекание реакции (в простых эфирах, таких как тетрагидрофуран и 1,4-диоксан, ароматических углеводородах, таких как бензол и толуол, амидах, таких как N,N- диметилформамид и N, N-диметилацетамид, алкилсульфоаксидах, таких как диметилсульфоксид), в присутствии основания (в частности, карбоната щелочного металла, такого как карбонат калия, гидрида щелочного металла, такого как гидрид натрия и гидрид калия, алкоксида щелочного металла, такого как бутоксид калия) с получением замещенного производного (xiii). Производное (xiii) вводят во взаимодействие с эквивалентом или небольшим избытком по отношению к соединению (xiii) (в частности, приблизительно от 1,1 до 1,5 эквивалентов) производного эфира бета-кетокислоты (xiv) в интервале температур приблизительно от 40 до 110oC в растворителе, который не оказывает вредного воздействия на протекание реакции (в простых эфирах, таких как тетрагидрофуран и 1,4-диоксан, ароматических углеводородах, таких как бензол и толуол, амидах, таких как N,N-диметилформамид и N,N-диметилацетамид, алкилсульфоксидах, таких как диметилсульфоксид), в присутствии основания (в частности, карбоната щелочного металла, такого как карбонат калия, гидрида щелочного металла, такого как гидрид натрия и гидрид калия, алкоксида щелочного металла, такого как бутоксид калия) с получением соединения (Va). Описанный выше Способ получения 3 приведен на Схеме 3 (см. в конце описания), где каждый символ имеет то же самое значение, что и указанное ранее. [Способ получения 4] Производное пиридина (xv) перемешивают вместе с эквивалентом или избытком, по отношению к соединению (xv), трифосгена в растворителе, который не оказывает вредного воздействия на протекание реакции (в частности, в простых эфирах, таких как тетрагидрофуран и 1,4-диоксан) в интервале температур приблизительно от 30 до 110oC с получением производного ангидрида кислоты (xvi). Далее галогенированное производное (xii) перемешивают в растворителе, который не оказывает вредного воздействия на протекание реакции (в простых эфирах, таких как тетрагидрофуран и 1,4-диоксан, ароматических углеводородах, таких как бензол и толуол, амидах, таких как N,N-диметилформамид и N,N- диметилацетамид, алкилсульфоксидах, таких как диметилсульфоксид), в интервале температур приблизительно от 40 до 130oC в присутствии основания (в частности, карбоната щелочного металла, такого как карбонат калия, гидрид щелочного металла, такого как гидрид натрия и гидрид калия, алкоксида щелочного металла, такого как бутоксид калия) с получением замещенного производного (xvii). Производное (xvii) вводят во взаимодействие с эквивалентом или небольшим избытком (в частности, приблизительно от 1,1 до 1,5 эквивалентов) производного эфира бета-кетокислоты (xiv) в растворителе, который не оказывает вредного воздействия на протекание реакции (в простых эфирах, таких как тетрагидрофуран и 1,4-диоксан, ароматических углеводородах, таких как бензол и толуол, амидах, таких как N,N-диметилформамид и N,N-диметилацетамид, алкилсульфоксидах, таких как диметилсульфоксид), в присутствии основания (в частности, карбоната щелочного металла, такого как карбонат калия, гидрида щелочного металла, такого как гидрид натрия и гидрид калия, алкоксида щелочного металла, такого как бутоксид калия) в интервале температур приблизительно от 40 до 110oC с получением соединения (Vb). Описанный выше Способ получения 4 приведен на Схеме 4 (см. в конце описания), где каждый символ имеет то же самое значение, что и указанное ранее. [Способ получения 5] В подходящем растворителе, который не оказывает вредного воздействия на протекание реакции (в частности, в простых эфирах, таких как тетрагидрофуран, этиловый эфир и 1,4-диоксан), производное эфира 4,7-дигидро-4- оксотиено[2,3-b]пиридин-5-карбоновой кислоты (Va) перемешивают вместе с подходящим восстанавливающим агентом (в частности, алюмогидридом лития) в интервале температур приблизительно от 0 до 80oC с получением производного 4,7-дигидро-тиено[2,3-b] пиридин-4-она формулы Ic. Указанное производное перемешивают с подходящим окисляющим агентом (в частности, диоксидом марганца) в подходящем растворителе (в частности, дихлорметане или хлороформе) в интервале температур приблизительно от 10 до 80oC с получением 5-формильного производного. Полученное указанным образом производное (Id) перемешивают вместе с реактивом Гриньяра в интервале температур приблизительно от 0 до 80oC в растворителе, который не оказывает вредного воздействия на протекание реакции (в частности, в простых эфирах, таких как тетрагидрофуран и этиловый эфир), с получением соответствующего производного вторичного спирта (Ie). Соединение (Ie) перемешивают с подходящим окислительным агентом (в частности, оксидом металла, таким как диоксид марганца) в подходящем растворителе (в частности, галоген-производном углеводорода, таком как дихлорметан и хлороформ) в интервале температур приблизительно от 10 до 80oC с получением 5-карбонильного производного (If). Описанный выше Способ получения 5 приведен на Схеме 5 (см. в конце описания), где R25 обозначает углеводородный остаток, а остальные символы имеют те же самые значения, что и указанные ранее. Углеводородный остаток R25 имеет то же самое значение, что и углеводородный остаток в карбонильной группе, необязательно замещенной углеводородным остатком R4. [Способ получения 6] Производное эфира 4,7-дигидро-4-оксотиено [2,3-b]пиридин-5-карбоновой кислоты (Ia’) перемешивают в интервале температур приблизительно от 10 до 100oC в растворителе с амидным производным алюминия, которое заранее получают из соответствующего алюминиевого реагента (в частности, триметилалюминия и диизобутилалюминийгидрида (DIBAL)) и амина в подходящем растворителе, который не оказывает вредного воздействия на протекание реакции (в частности, галогенпроизводных углеводородов, таких как дихлорметан и хлороформ, и простых эфирах, таких как тетрагидрофуран, этиловый эфир и диоксан), с получением производного амида 4,7-дигидро-4-оксотиено[2,3-b]пиридин-5-карбоновой кислоты (Ia”). Указанное производное (Ia”) перемешивают с реактивом Гриньяра в подходящем растворителе, который не оказывает вредного воздействия на протекание реакции (в частности, тетрагидрофуране и этиловом эфире), в интервале температур приблизительно от минус 78 до 80oC с получением соответствующего производного кетона (If). Описанный выше Способ получения 6 приведен на Схеме 6 (см. в конце описания), где R26 обозначает алкил или арил; R27 и R28 каждый обозначают атом водорода или углеводородный остаток; остальные символы имеют те же самые значения, что и указанные ранее. Алкил или арил, обозначенные выше как R26, имеют те же значения, что и указанные ранее. Углеводородный остаток R27 и R28, имеют то же самое значение, что и углеводородный остаток в карбонильной группе, необязательно замещенной углеводородным остатком R4. [Способ получения 7] В подходящем растворителе, который не оказывает вредного воздействия на протекание реакции (в частности, галогенпроизводных углеводородов, таких как дихлорметан; простых эфирах, таких как тетрагидрофуран, этиловый эфир и диоксан; и пиридин), перемешивают производное 4,7-дигидро-5-гидроксиметилтиено[2,3-b] пиридин-4-она (Ia”’) вместе с подходящим галоинирующим агентом (в частности, хлористым тионилом и метансульфохлоридом) в интервале температур приблизительно от 0 до 100oC с получением производного 4,7-дигидротиено[2,3-b] пиридин-4-она (Ig). Указанное производное (Ig) перемешивают вместе с подходящим нуклеофильным реагентом в подходящем растворителе, который не оказывает вредного воздействия на протекание реакции (в частности, в простых эфирах, таких как тетрагидрофуран и этиловый эфир; и амидах, таких как диметилформамид), с получением соответствующего 5-замещенного производного (Ih). Описанный выше Способ получения 7 приведен на Схеме 7 (см. в конце описания), где X’ обозначает уходящую группу, z обозначает атом кислорода, атом серы или атом азота, необязательно имеющий в качестве заместителя углеводородный остаток, а остальные символы имеют те же самые значения, что и указанные ранее. В качестве уходящей группы, обозначенной X’, следует упомянуть, например, группы, которые легко вступают в реакции замещения с нуклеофильным реагентом [в частности, углеводородный остаток, содержащий гетероатом с отрицательным зарядом (в частности, атом кислорода, атом серы и атом азота), обозначенные как –YR16] . В частности, следует указать, например, аралкилоксигруппу (например, ацетоксигруппу), алкилсульфонилоксигруппу (например, метансульфонилоксигруппу) и алкиларилсульфонилоксигруппу (например, п-толуолсульфонилоксигруппу). Углеводородный остаток в атоме азота, необязательно замещенном углеводородным остатком, рассмотренным ранее, имеет то же самое значение, что и углеводородный остаток в карбонильной группе, необязательно замещенной углеводородным остатком, обозначенным ранее как R4. [Способ получения 8] В подходящем растворителе, который не оказывает вредного воздействия на протекание реакции (в частности, простых эфирах, таких как тетрагидрофуран, этиловый эфир и диоксан; и пиридине), перемешивают производное 4,7-дигидро-5-формилтиено[2,3-b] пиридин-4-она (Ih) с подходящим реактивом Виттига в интервале температур приблизительно от 0 до 100oC с получением производного 4,7-дигидротиено[2,3-b] пиридин-4-она (Ij). Указанное производное (Ij) перемешивают в интервале температур приблизительно от 10 до 100oC с подходящим восстанавливающим агентом [в частности, гидрируют в токе водорода в присутствии катализатора (например, палладия на угле)] в подходящем растворителе, который не оказывает вредного воздействия на протекание реакции (в частности, спиртах, таких как этиловый спирт; сложных эфирах, таких как этиловый эфир уксусной кислоты; простых эфирах, таких как тетрагидрофуран, этиловый эфир; и диметилформамиде), с получением соответствующего 5-замещенного производного (Ik). Описанный выше Способ получения 8 приведен на Схеме 8 (см. в конце описания), где R29 и R30 каждый обозначают атом водорода или углеводородный остаток; а остальные символы имеют те же самые значения, что и указанные ранее. Углеводородный остаток, обозначенный выше как R29 и R30, имеет то же самое значение, что и углеводородный остаток в карбонильной группе, необязательно замещенной углеводородным остатком, обозначенный ранее как R4. [Способ получения 9] В подходящем растворителе, который не оказывает вредного воздействия на протекание реакции (в частности, простых эфирах, таких как тетрагидрофуран и диоксан; и спиртах, таких как этиловый спирт), производное эфира 4,7-дигидро-4-оксотиено[2,3-b]пиридин-5-карбоновой кислоты (Ia’) подвергают гидролизу при перемешивании в интервале температур приблизительно от 10 до 100oC, добавляя кислоту (в частности, неорганическую кислоту, такую как соляная кислота) или водный раствор щелочи (в частности, 1-4 N раствор гидроксида щелочного металла, такого как гидроксид натрия, гидроксид калия или гидроксид лития). Полученное производное 5-карбоновой кислоты нагревают в интервале температур приблизительно от 50 до 200oC в подходящем растворителе, который не оказывает вредного воздействия на протекание реакции, с получением соответствующего декарбоксилированного производного (In). Описанный выше Способ получения 9 приведен на Схеме 9 (см. в конце описания), где каждый символ имеет то же значение, что и указанное ранее. [Способ получения 10] Исходя из производного 2-аминотиофена (ii) получают производное мочевины (II), например, по следующим способам A или B. 1. Способ A. Производное 2-аминотиофена (ii), полученное по методике, приведенной в Способе получения 1, или его соль вводят во взаимодействие с производным изоцианата. Примером производного изоцианата являются производные, представленные формулой R12-NCO (где R12 имеет то же значение, что и указанное ранее). Реакцию соединения (ii) или его соли с производным изоцианата проводят в растворителе, который не оказывает вредного воздействия на протекание реакции (в частности, тетрагидрофуране, пиридине, диоксане, бензоле, дихлорметане, 1,2-дихлорэтане, толуоле, ксилоле), в интервале температур приблизительно от 15 до приблизительно 130oC. Производное изоцианата берут в количестве приблизительно от 1 до 5 эквивалентов, предпочтительно приблизительно от 1,1 до 2,5 эквивалентов по отношению к 1 эквиваленту соединения (ii). Время реакции составляет от нескольких часов до нескольких дней, предпочтительно приблизительно от 15 минут до приблизительно двух дней. 2. Способ B. Амин [в частности, соединение, представленное общей формулой R12-NH2 (где R12 имеет то же самое значение, что и указанное ранее)] вводят в реакцию присоединения с производным изоцианата, которое получают взаимодействием производного 2-аминотиофена (ii) или его соли с фосгеном или эквивалентным ему соединением (в частности, дифосгеном, таким как бис(трихлорметил)карбонат, трифосгеном, таким как трихлорметилхлорформиат). Реакцию производного 2-аминотиофена (ii) или его соли с фосгеном или эквивалентным ему соединением проводят в растворителе, который не оказывает вредного воздействия на протекание реакции (в частности, диоксане, тетрагидрофуране, бензоле, толуоле, ксилоле, 1,2-дихлорэтане, хлороформе), в интервале температур приблизительно от 40 до 120oC. Фосген или эквивалентное ему соединение используют в количестве приблизительно от 0,5 до 2 эквивалентов, предпочтительно приблизительно от 0,9 до 1,1 эквивалента. Время реакции составляет от нескольких минут до нескольких дней, предпочтительно приблизительно от 15 минут до приблизительно двух дней. Реакцию присоединения амина проводят в растворителе, который не оказывает вредного воздействия на протекание реакции (в частности, пиридине, тетрагидрофуране, диоксане, дихлорметане, 1,2-дихлорэтане, толуоле, ксилоле), в интервале температур приблизительно от 15 до 130oC. Амин берут в количестве приблизительно от 1 до 5 эквивалентов, предпочтительно приблизительно от 1,1 до 3 эквивалентов. Время реакции составляет от нескольких минут до нескольких дней, предпочтительно приблизительно от 15 минут до приблизительно двух дней. Полученное указанным способом соединение (XV) или его соль вводят в реакцию с основанием, осуществляя реакцию циклизации, с получением производного тиено[2,3-d]пиримидина (XVI). Реакцию циклизации проводят в растворителе, который не оказывает вредного воздействия на ее протекание. Примером растворителя могут служить спирты, такие как метанол, этанол и пропанол, и простые эфиры, такие как диоксан и тетрагидрофуран. В качестве основания используют, например, алкоксид щелочного металла, такой как метилат, этилат натрия или изопропоксид натрия, и гидрид щелочного металла, такой как гидрид натрия. Количество используемого основания по отношению к 1 эквиваленту соединения (XV) составляет от 1 до 5 эквивалентов, предпочтительно приблизительно от 1,5 до 3 эквивалентов. Интервал температур реакции составляет приблизительно от 10oC до температуры кипения используемого растворителя, предпочтительно приблизительно от 25oC до температуры кипения используемого растворителя. Время реакции составляет от нескольких минут до нескольких дней, предпочтительно приблизительно от 10 минут до приблизительно двух дней. Перемешивают соединение (XVI) и галогенсодержащее производное аралкила в присутствии основания (в частности, органического основания, такого как пиридин или триэтиламин) в растворителе, который не оказывает вредного воздействия на протекание реакции (в частности, амидах, таких как диметилформамид или диметилацетамид), при температуре приблизительно от 10 до 100oC с получением производного 2,4-диоксотиено[2,3-d] пиримидина (IIa). Далее указанное соединение (IIa) перемешивают вместе с N-бромсукцинимидом в растворителе, который не оказывает вредного воздействия на протекание реакции (в частности, галогенсодержащих углеводородах, таких как четыреххлористый углерод или хлороформ), в присутствии ,![]() -азобисизобутиронитрила и получают соединение (IIb). Далее указанное соединение перемешивают вместе с различными аминами в присутствии основания в растворителе, который не оказывает вредного воздействия на протекание реакции (в частности, амидах, таких как диметилформамид или диметилацетамид, нитрилах, таких как ацетонитрил, спиртах, таких как этанол), в интервале температур приблизительно от 10 до 100oC с получением соединения (II). Если необходимо, указанное соединение превращается в соответствующую соль, используя подходящую кислоту (в частности, соляную кислоту или щавелевую кислоту).
Описанный выше Способ получения 10 приведен на Схеме 10 (см. в конце описания), где каждый символ имеет то же значение, что и указанное ранее.
[Способ получения 11]Аминогруппу производного 2-аминотиофена (xvii) защищают (например, с помощью ВОС) и перемешивают в соответствии со способом T.Hirohashi et al. (патент Германии 2155403 (1972), среди прочих) или способом N.Nakanishi et al. (патент Японии, 73, 01664 (1973), среди прочих) с галогенсодержащим ацильным производным в присутствии основания в растворителе, который не оказывает вредного воздействия на протекание реакции (в частности, амидах, таких как диметилформамид или диметилацетамид), в интервале температур приблизительно от 0 до 100oC с получением производного (xviii), которое перемешивают вместе с подходящей солью (в частности, йодидом лития) в подходящем растворителе (в частности, ацетоне или метилэтилкетоне) с получением производного (xix), которое подвергают реакции замещения с соответствующим амином (в частности, аммиаком) с получением производного (xx), которое перемешивают в растворителе, не оказывающем вредного воздействия на протекание реакции (в частности, толуоле, диметилформамиде, диметилацетамиде, метаноле или этаноле), если необходимо, в присутствии подходящего катализатора (в частности, этоксида натрия или толуолсульфокислоты) в интервале температур приблизительно от 30 до 120oC, что приводит к дегидроциклизации, и таким образом получают производное (VIIa). Указанное соединение перемешивают вместе с галогенсодержащим производным аралкила в присутствии оснований (в частности, органических оснований, в том числе карбоната калия, пиридина и триэтиламина) в растворителе, который не оказывает вредного воздействия на протекание реакции (в частности, амидах, таких как диметилформамид или диметилацетамид), в интервале температур приблизительно от 10 до 100oC с получением производного 2-оксотиено[2,3-e] азепина (VIIb). Далее, указанное соединение (VIIb) перемешивают вместе с N-бромсукцинимидом (NBS) в растворителе (в частности, галогенсодержащих углеводородах, в том числе четыреххлористом углероде и хлороформе) в присутствии ,![]() -азобисизобутиронитрила в интервале температур приблизительно от 30 до 100oC с получением соединения (VIIe). Указанное соединение перемешивают с различными аминами в присутствии основания в растворителе, который не оказывает вредного воздействия на протекание реакции (в частности, амидах, таких как диметилформамид или диметилацетамид, нитрилах, таких как ацетонитрил, спиртах, таких как этанол), в интервале температур приблизительно от 10 до 100oC с получением соединения (VIId). Если необходимо, указанное соединение превращают в соответствующую соль, используя подходящую кислоту (в частности, соляную кислоту или щавелевую кислоту).
Описанный выше Способ получения 11 приведен на Схеме 11 (см. в конце описания), где каждый символ имеет то же значение, что и указанное ранее.
[Способ получения 12]Аминогруппу производного 2-аминотиофена, которое может быть получено по методике, приведенной в Способе получения 1, защищают (например, с помощью ВОС) и перемешивают вместе с галогенсодержащим аралкильным производным в присутствии оснований (в частности, органических оснований, в том числе карбоната калия, пиридина и триэтиламина) в растворителе, который не оказывает вредного воздействия на протекание реакции (в частности, амидах, таких как диметилформамид или диметилацетамид), в интервале температур приблизительно от 0 до 100oC с получением производного (xxi), которое подвергают щелочному гидролизу с помощью подходящей щелочи (в частности, гидроксида натрия) и подходящем растворителе (в частности, метанола, тетрагидрофурана) и полученное указанным способом производное перемешивают вместе с DPPA в растворителе, который не оказывает вредного воздействия на протекание реакции (в частности, толуоле, тетрагидрофуране, диметилформамиде, диметилацетамиде, этаноле), в интервале температур приблизительно от 0 до 100oC и полученное соединение превращают в производное эфира карбаминовой кислоты (xxii) с помощью подходящего спирта (в частности, этанола). Указанное производное перемешивают в присутствии основания (в частности, этоксида натрия) в растворителе, который не оказывает вредного воздействия на протекание реакции (в частности, диметилформамиде или диметилацетамиде), в интервале температур приблизительно от 0 до 100oC с получением производного тиено[2,3-d]имидазол-2-она (VIIe). Указанное соединение перемешивают вместе с галогенсодержащим алкильным производным в присутствии основания в растворителе, который не оказывает вредного воздействия на протекание реакции (в частности, амидах, таких как диметилформамид или диметилацетамид), в интервале температур приблизительно от 10 до 100oC с получением производного соединения (VIIf). Далее, указанное соединение (VIIf) перемешивают вместе с N-бромсукцинимидом (NBS) в растворителе (в частности, галогенсодержащих углеводородах, в том числе четыреххлористом углероде и хлороформе) в присутствии ,![]() -азобисизобутиронитрила в интервале температур приблизительно от 30 до 100oC с получением соединения (VIIg). Указанное соединение перемешивают затем с различными аминами в присутствии основания в растворителе, который не оказывает вредного воздействия на протекание реакции (в частности, амидах, таких как диметилформамид или диметилацетамид, нитрилах, таких как ацетонитрил, спиртах, таких как этанол), в интервале температур приблизительно от 10 до 100oC с получением соединения (VIIh). Если необходимо, указанное соединение превращают в соответствующую соль, используя подходящую кислоту (в частности, соляную кислоту или щавелевую кислоту). Описанный выше Способ получения 12 приведен на Схеме 12 (см. в конце описания), где каждый символ имеет то же значение, что и указанное ранее.
[Способ получения 13]Исходя из производного 2-аминотиофена (ii), которое может быть получено по методике, приведенной в Способе получения 1, или его соли получают этильное производное 4,5-дигидро-7-гидрокси-5-оксотиено [3, 2-b]пиридин-6-карбоновой кислоты (VIIj) по методике J.M.Barker et al. (J. Chem. Res. (N). 1980, 113; J. Chem. Res. (s), 6 (1980)). В частности, производное 2-аминотиофена (ii) или его соль вводят во взаимодействие с эфиром малоновой кислоты с получением соединения (xxii), которое перемешивают в присутствии подходящего основания (в частности, гидрида натрия) в растворителе, который не оказывает вредного воздействия на протекание реакции (в частности, амидах, в том числе диметилформамиде или диметилацетамиде), в интервале температур приблизительно от 0 до 100oC с получением производного (VIIj). Указанное производное (VIIj) перемешивают вместе с галогенсодержащим производным аралкила в присутствии оснований (в частности, органических оснований, в том числе карбоната калия, пиридина и триэтиламина) в растворителе, который не оказывает вредного воздействия на протекание реакции (в частности, амидах, таких как диметилформамид или диметилацетамид), в интервале температур приблизительно от 10 до 100oC и получают производное (VIIk); указанное производное перемешивают вместе с N-бромсукцинимидом (NBS) в растворителе (в частности, галогенсодержащих углеводородах, в том числе четыреххлористом углероде и хлороформе) в присутствии ,![]() -азобисизобутиронитрила в интервале температур приблизительно от 30 до 100oC с получением соединения (VIIm). Далее, указанное соединение перемешивают с различными аминами в присутствии основания в растворителе, который не оказывает вредного воздействия на протекание реакции (в частности, амидах, таких как диметилформамид или диметилацетамид, нитрилах, таких как ацетонитрил, спиртах, таких как этанол), в интервале температур приблизительно от 10 до 100oC с получением соединения (VIIn). Если необходимо, указанное соединение превращают в соответствующую соль, используя подходящую кислоту (в частности, соляную кислоту или щавелевую кислоту). Описанный выше Способ получения 13 приведен на Схеме 13 (см. в конце описания), где каждый символ имеет то же значение, что и указанное ранее.
[Способ получения 14]В подходящем растворителе, который не оказывает вредного воздействия на протекание реакции (в частности, галогенпроизводных углеводородов, в том числе дихлорметане и хлороформе, и простых эфирах, в том числе тетрагидрофуране, этиловом эфире и диоксане), перемешивают производное эфира 1,4-дигидро-оксохинолин-3-карбоновой кислоты (Va’) вместе с амидным производным алюминия, которое заранее синтезируют из соответствующего алюминиевого реагента [в частности, триметилалюминия, триэтилалюминия или диизобутилалюминийгидрида (DIBAL)] и аминов, в интервале температур приблизительно от 10 до 100oC и получают производное амида 1,4-дигидро-4-оксо-хинолин-3- карбоновой кислоты (Va”). Указанное производное перемешивают вместе с реактивом Гриньяра в подходящем растворителе, который не оказывает вредного воздействия на протекание реакции (в частности, тетрагидрофуране и этиловом эфире), в интервале температур приблизительно от 0 до 80oC с получением соответствующего производного кетона (Vc). Описанный выше Способ получения 14 приведен на Схеме 14 (см. в конце описания), где R26 обозначает алкил или арил; R27 и R28 каждый обозначают атом водорода или углеводородный остаток; остальные символы имеют те же самые значения, что и указанные ранее. Алкил или арил, обозначенные выше как R26, имеют те же значения, что и указанные ранее. Углеводородный остаток, обозначенный выше как R27 и R28, имеет то же самое значение, что и углеводородный остаток в карбонильной группе, необязательно замещенной углеводородным остатком, обозначенным ранее как R’. [Способ получения 15] В подходящем растворителе, который не оказывает вредного воздействия на протекание реакции (в частности, галогенпроизводных углеводородов, в том числе дихлорметане и хлороформе, и простых эфирах, в том числе тетрагидрофуране, этиловом эфире и диоксане) перемешивают производное эфира 1,4-дигидро-оксопиридо[2,3-b] пиридин-3-карбоновой кислоты (Vd) вместе с амидным производным алюминия, которое синтезируют из соответствующего алюминиевого реагента [в частности, триметилалюминия, триэтилалюминия и диизобутилалюминийгидрида (DIBAL)] и аминов, в интервале температур приблизительно от 10 до 100oC с получением производного амида 1,4-дигидро-оксопиридо[2,3-b]пиридин-3-карбоновой кислоты (Vd’). Указанное производное перемешивают вместе с реактивом Гриньяра в подходящем растворителе, который не оказывает вредного воздействия на протекание реакции (в частности, тетрагидрофуране и этиловом эфире), в интервале температур приблизительно от 0 до 80oC и получают соответствующее производное кетона (Ve). Описанный выше Способ получения 15 приведен на Схеме 15 (см. в конце описания), где R26 обозначает алкил или арил; R27 и R28 каждый обозначают атом водорода или углеводородный остаток; остальные символы имеют те же самые значения, что и указанные ранее. Алкил или арил, обозначенные выше как R26, имеют те же значения, что и указанные ранее. Углеводородный остаток, обозначенный выше как R27 и R28, имеет то же самое значение, что и углеводородный остаток в карбонильной группе, необязательно замещенной углеводородным остатком, обозначенным ранее как R’. [Способ получения 16] Растворяют производное 4,7-дигидро-4-оксотиено[2,3-b] пиридина (Ip) в подходящем растворителе, который не оказывает вредного воздействия на протекание реакции (в частности, простых эфирах, в том числе 1,2-диметоксиэтане, тетрагидрофуране и диоксане, и спиртах, в том числе этиловом спирте). К раствору добавляют в присутствии эквимолярного количества или избытка (от 2 до 10 эквивалентов) подходящего основания (в частности, карбоната натрия) подходящее производное арилборной кислоты (в частности, фенилборной кислоты, 3-метоксифенилборной кислоты и 4-этоксикарбонилфенилборной кислоты). К полученной смеси в токе инертного газа (в частности, газообразного аргона) добавляют подходящий катализатор в частности, палладий, в том числе тетракис(трифенилфосфин) палладий. Смесь перемешивают в течение от нескольких минут до нескольких часов в интервале температур приблизительно от 10 до 100oC. Нерастворимые вещества отфильтровывают и получают целевое производное (Ig). Описанный выше Способ получения 16 приведен на Схеме 16 (см. в конце описания), где R30 обозначает необязательно замещенную арильную группу, а остальные символы имеют те же самые значения, что и указанные ранее. В качестве солей полученных соединений по настоящему изобретению предпочтительны физиологически приемлемые кислотно-аддитивные соли. Примеры таких солей включают соли с неорганическими кислотами (в частности, хлористо-водородной кислотой, бромисто-водородной кислотой, азотной кислотой, серной кислотой и фосфорной кислотой) или с органическими кислотами (в частности, муравьиной кислотой, уксусной кислотой, трифторуксусной кислотой, фумаровой кислотой, щавелевой кислотой, винной кислотой, малеиновой кислотой, лимонной кислотой, янтарной кислотой, яблочной кислотой, метансульфокислотой, бензолсульфокислотой и п-толуолсульфокислотой). Далее, если соединение (I) по настоящему изобретению содержит кислотную группу, такую как -COOH, то соединение (I) может образовывать соль с неорганическим основанием (в частности, щелочным металлом или щелочно-земельным металлом, таким как натрий, калий, кальций и магний; аммоний) или органическим основанием (в частности, триметиламином, триэтиламином, пиридином, пиколином, этаноламином, диэтаноламином, триэтаноламином, дициклогексиламином и N,N’-дибензилэтилендиамином). Наиболее предпочтительные примеры соединений или их солей по настоящему изобретению включают: этиловый эфир 3-(N-бензил-N- метиламинометил)-4,7-дигидро-7-(2-метоксибензил)-2-(4-метоксифенил)- 4-оксотиено[2,3-b]пиридин-5-карбоновой кислоты; этиловый эфир 3- (N-бензил-N-метиламинометил)-4,7-дигидро-7-(2-фторбензил)-2- (4-метоксифенил)-4-оксотиено[2,3-b]пиридин-5-карбоновой кислоты; этиловый эфир 2-(4-ацетиламинофенил)-3-(N-бензил-N- метиламинометил)-4,7-дигидро-7-(2-фторбензил)-4-оксотиено [2,3-b]пиридин-5-карбоновой кислоты; 5-бензиламинометил-1-(2- хлор-6-фторбензил)-2,4-(1H,3H)-диоксо-6-(4-метоксифенил)-3- фенилтиено[2,3-d] пиримидин; 5-бензоил-3-(N-бензил-N- метиламинометил)-7-(2,6-дифторбензил)-4,7-дигидро-4-оксо-2- (4-пропиониламинофенил)тиено[2,3-b] пиридин; 5-бензоил-3- (N-бензил-N-метиламинометил)-7-(2,6-дифторбензил)-4,7- дигидро-2-(4-N’-метилуреидофенил)-4-оксотиено[2,3-b]пиридин; 3-(N-бензил-N-метиламинометил)-7-(2,6-дифторбензил) -4,7-дигидро-5-изобутирил- 4-оксо-2-(4-пропиониламинофенил)тиено[2,3-b] пиридин; 3-(N-бензил-N-метиламинометил)-7-(2,6-дифторбензил)-4, 7-дигидро-5-изобутирил-2-(4-N’-метилуреидофенил)-4-оксотиено [2,3-b] пиридин; 3-(N-бензил-N-метиламинометил)-7-(2,6- дифторбензил)-4,7-дигидро-2-(4-N’-метилуреидофенил)-4-оксотиено [2,3-b]пиридин-5-(N-изопропил)карбоксамид; 3-(N-бензил -N-метиламинометил)-7-(2,6-дифторбензил)-4,7-дигидро-2- (4-N’-метилуреидофенил)-4-оксотиено[2,3-b] пиридин-5-(N- изопропил-N-метил)карбоксамид; 3-(N-бензил-N-метиламинометил) -7-(2,6-дифторбензил)-4,7-дигидро-2-(4-N’- метилуреидофенил)-4-оксотиено[2,3-b]пиридин-5-(N-бензил-N- метил)карбоксамид или их соли. Полученные соединения или их соли по настоящему изобретению могут быть выделены и очищены известными методами очистки, такими как перекристаллизация, перегонка и хроматография. В тех случаях, когда соединение (I) получают в свободной форме, его можно, используя известные способы или их аналоги, превратить в соответствующую соль. Напротив, если соединение получают в форме соли, то его можно перевести в свободную форму или в другую соль. В том случае, когда соединение или его соль по настоящему изобретению является оптически активным соединением, его можно разделить на d-соединение и l-соединение, используя обычные способы разделения оптических изомеров. Поскольку соединения по настоящему изобретению обладают ингибирующей активностью по отношению к гонадотропинвысвобождающему гормону и низкой токсичностью, их можно безопасно использовать для лечения заболеваний, зависимых от мужских гормонов или женских гормонов, а также для лечения заболеваний, вызванных избыточной секрецией этих гормонов, у теплокровных животных (в частности, у человека, обезьяны, коровы, лошади, собаки, кошки, кролика, крысы и мыши), подавляя секрецию гонадотропина за счет ингибирующего воздействия на рецептор гонадотропинвысвобождающего гормона. В частности, соединения по настоящему изобретению эффективны в качестве профилактического и терапевтического средства для предотвращения или лечения нескольких зависимых от гормонов заболеваний, например рака, вызываемого половыми гормонами (в частности, рака предстательной железы, рака шейки матки, рака молочной железы, аденомы гипофиза), доброкачественной гипертрофии предстательной железы, миомы матки, эндометриоза, преждевременного полового созревания, аменореи, предменструального синдрома, склерокистозной болезни яичников и угрей обыкновенных. Соединения по настоящему изобретению эффективны также в качестве средства контролирования фертильности у обоих полов (в частности, средства контролирования беременности и средства контролирования менструального цикла). Соединения по настоящему изобретению могут также использоваться в качестве средств, индуцирующих овуляцию у женских особей. Соединения по настоящему изобретению могут использоваться при лечении бесплодия за счет эффекта обратного действия, вызванного прекращением введения соединения по настоящему изобретению. Далее, соединения по настоящему изобретению полезны для модулирования эстральных циклов у животных в животноводстве и как средство улучшения качества используемого в пищу мяса или ускорения роста животных. Кроме того, соединения по настоящему изобретению полезны в качестве средств ускорения нереста у рыб. Хотя соединения по настоящему изобретению могут использоваться индивидуально, их также можно эффективно применять вводя в сочетании со стероидными и нестероидными антиандрогенными средствами. Соединения по настоящему изобретению могут использоваться для подавления временного увеличения концентрации тестостерона в плазме крови; это увеличение наблюдается при введении суперантагониста гонадотропинвысвобождающего гормона, такого как ацетат лейпрорелина. Соединение по настоящему изобретению можно эффективно использовать при введении в сочетании с химиотерапевтическими средствами для лечения рака. При лечении рака предстательной железы примеры химиотерапевтических средств включают ифосфамид, UFT, адриамицин, пепломицин, цисплатин и т.п. При лечении рака молочной железы примеры химиотерапевтических средств включают циклофохамид, 5-FU-, UFT, метотрексат, адриамицин, метомицин C, митоксантрон и т.п. Если соединение по настоящему изобретению используют в области животноводства или в рыбном хозяйстве в качестве профилактического или терапевтического средства при лечении вышеуказанных заболеваний, то его можно вводить перорально или неперорально в соответствии с известными способами. Соединение смешивают с фармацевтически приемлемым носителем и обычно вводят перорально в виде твердого препарата, такого как таблетка, капсула, гранула или порошок, или неперорально в виде внутривенной, подкожной или внутримышечной инъекции, или в виде суппозитория или таблетки для подъязычного введения. Далее, если соединение вводят подъязычно, подкожно или внутримышечно в виде составов, приспособленных для длительного выделения лекарственного средства, то это может быть таблетка для подъязычного введения или микрокапсула. Дневная доза варьируется в зависимости от степени поражения; возраста, пола, веса тела и различий в чувствительности пациента, которому вводят препарат; времени и интервалов между введениями, свойств, дозировочных форм и видов медицинского препарата; а также от видов эффективных компонентов и обычно составляет, хотя специально не лимитируется, приблизительно от 0,01 до 10 мг, предпочтительно приблизительно от 0,02 до 2 мг, более предпочтительно приблизительно от 0,01 до 1 мг на 1 кг веса тела теплокровных животных, которую вводят обычно раз в день или в виде 2-4 раздельных доз. Дневная доза при использовании соединения по настоящему изобретению в животноводстве или в рыбном хозяйстве варьируется аналогично рассмотренным выше условиям и составляет приблизительно от 0,001 до 5 мг, предпочтительно приблизительно от 0,002 до 2 мг на 1 кг веса тела животного и ее вводят один раз в день или в виде 2-3 раздельных доз. В качестве указанных выше фармацевтически приемлемых носителей используют различные обычные органические и неорганические носители, которые включают в состав твердых композиций в виде наполнителей, смазывающих веществ, связующих агентов и разрыхлителей; и в виде растворителей, солюбилизаторов, диспергирующих средств, изотонизирующих агентов, буферирующих агентов и обезболивающих средств в состав жидких композиций. Если необходимо, могут также использоваться другие добавки, такие как консерванты, антиоксиданты, красящие средства и подслащивающие агенты. Предпочтительными примерами вышеуказанных наполнителей являются лактоза, сахар, D-маннит, крахмал, кристаллическая целлюлоза или светлая двуокись кремния. Предпочтительными примерами вышеуказанных смазывающих средств являются стеарат магния, стеарат кальция, тальк или коллоидный оксид кремния. Предпочтительными примерами вышеуказанных связующих агентов являются кристаллическая целлюлоза, сахар, D-маннит, декстрин, гидроксипропилцеллюлоза, гидроксиметилцеллюлоза и поливинилпирролидон. Предпочтительными примерами вышеуказанных разрыхляющих средств являются крахмал, карбоксиметилцеллюлоза, кальциевая соль карбоксиметилцеллюлозы, натриевая соль кросскармелозы и натриевая соль карбоксиметилкрахмала. Предпочтительными примерами вышеуказанных растворителей являются вода для инъекций, спирт, пропиленгликоль, макроголь, кунжутное масло и кукурузное масло. Предпочтительными примерами вышеуказанных солюбилизаторов являются полиэтиленгликоль, пропиленгликоль, D-маннит, бензилбензоат, этанол, трис-аминометан, холестерин, триэтаноламин, карбонат натрия и цитрат натрия. Предпочтительными примерами вышеуказанных диспергирующих средств являются поверхностно-активные вещества, такие как стеарилтриэтаноламин, натриевая соль лаурилсульфата, лауриламинопропионовая кислота, лецитин, хлорид бензалкония, хлорид бензэтония и моностеарат глицерина; и гидрофильные полимеры, такие как поливиниловый спирт, поливинилпирролидон, натриевая соль карбоксиметилцеллюлозы, метилцеллюлоза, гидроксиметилцеллюлоза, гидроксиэтилцеллюлоза и гидроксипропилцеллюлоза. Предпочтительными примерами вышеуказанных изотонических средств являются хлорид натрия, глицерин и D-маннит. Предпочтительными примерами вышеуказанных буферирующих добавок являются фосфатные, ацетатные, карбонатные и цитратные буферные растворы. Предпочтительные примеры вышеуказанных болеутоляющих средств включают бензиловый спирт. Предпочтительными примерами вышеуказанных консервантов являются сложные эфиры п-оксибензойной кислоты, хлорбутанол, бензиловый спирт, фенэтиловый спирт, дегидроуксусная кислота и сорбиновая кислота. Предпочтительными примерами вышеуказанных антиоксидантов являются сульфиты и аскорбиновая кислота. К соединению по настоящему изобретению добавляют, например, диспергирующее средство, солюбилизатор, стабилизирующий агент, изотоническое средство и консервант, смешивают, используя известные методы, и получают композицию для внутривенной, подкожной или внутримышечной инъекции. Используя известные способы, из указанных инъекций можно получить, если необходимо, лиофилизованные препараты. Примерами вышеуказанных фармацевтических композиций являются пероральные средства (в частности, порошки, гранулы, капсулы и таблетки), инъекции, инъекции для капельниц, средства для наружного применения (в частности, препараты, назначаемые через нос, чрескожные препараты и т.п.), мази (в частности, ректальные мази, вагинальные мази и т.п.) и т.д. Указанные фармацевтические композиции могут быть приготовлены обычными способами, которые обычно применяют при изготовлении фармацевтических композиций. Соединение по настоящему изобретению или его соль можно вводить в виде инъекций либо в форме водной инъекции, содержащей диспергирующие средства [в частности, Tween 80 (“Atlas Powder”, США), HCO 80 (“Nikko Chemicals”, Япония), полиэтиленгликоль, карбоксиметилцеллюлозу, альгинат натрия и т.п.], консерванты (в частности, метилпарабен, пропилпарабен, бензиловый спирт и т.п. ), изотонические средства (в частности, хлорид натрия, маннит, сорбит, глюкозу и т.п.) и т.д. либо в форме масляной инъекции путем растворения, суспендирования или эмульгирования в растительном масле (в частности, оливковом масле, кунжутном масле, хлопковом масле, кукурузном масле и т.п.), пропиленгликоле и т.д. При получении фармацевтической композиции для перорального использования соединение по настоящему изобретению или его соль спрессовывают, например, вместе с наполнителями (в частности, лактозой, сахарозой, крахмалом и т.п.), разрыхлителями (в частности, крахмалом, карбонатом кальция и т.п.), связующими (в частности, крахмалом, гуммиарабиком, карбоксиметилцеллюлозой, поливинилпирролидоном, гидроксипропилцеллюлозой и т. п. ) или смазывающими средствами (в частности, тальком, стеаратом магния, пропиленгликолем 6000 и т. п. ) и т. д. Если необходимо, композицию покрывают оболочкой, используя известные методы, с целью маскировки вкуса, нанесения энтеросолюбильной оболочки или покрытия, обеспечивающего медленное выделение лекарственного средства. Примерами веществ для нанесения покрытий являются гидроксипропилметилцеллюлоза, этилцеллюлоза, гидроксиметилцеллюлоза, гидрокиспропилцеллюлоза, полиоксиэтиленгликоль, Tween 80, Pluronic F 68, ацетат-фталат целлюлозы, ацетат-сукцинат гидроксиметилцеллюлозы, Eudragit (сополимер метакриловой кислоты и акриловой кислоты; выпускается компанией “Rohm”, Германия), красный оксид железа и т.п. Между сердцевиной и энтеросолюбильной оболочкой в соответствии с известными способами может располагаться промежуточный слой. При приготовлении композиций для наружного применения соединение по настоящему изобретению или его соль подвергают известным из области техники обработкам с целью получения твердой, полутвердой и жидкой композиции для наружного применения. Например, твердые композиции изготавливают следующим образом. Из соединения по настоящему изобретению в чистом виде или после добавления наполнителей (в частности, гликоля, маннита, крахмала, микрокристаллической целлюлозы и т.п.), загустителей (в частности, природных смол, производных целлюлозы, полимеров на основе акриловой кислоты и т.п.) и аналогичных веществ и смешения с ними готовят порошкообразную композицию. Что касается жидкой композиции, то суспензию в масле или воде готовят практически так же, как и инъекцию. В случае полутвердой композиции предпочтение отдается гелю в воде или масле или мази. В каждую из них может входить средство для доведения pH (в частности, карбоновая кислота, фосфорная кислота, лимонная кислота, соляная кислота, гидроксид натрия и т.п.), антисептические средства (в частности, п-гидроксибензоат, хлоробутанол, хлорид бензалкония и т.п.) и т.д. При изготовлении, например, мази соединение по настоящему изобретению или его соль может входить в состав твердой, полутвердой или жидкой мази на основе масла или воды. Примерами веществ, которые могут использоваться в вышеуказанных композициях на основе масел, являются глицериды высших жирных кислот [в частности, масло какао, Witepsols (изготавливаются фирмой “Dynamite-Nobel”) и т. п. ], средние жирные кислоты [в частности, Miglyols (изготавливается фирмой “Dynamite-Nobel”) и т.п.] и растительное масло (в частности, кунжутное масло, соевое масло, хлопковое масло и т.п.) и т.д. Примерами веществ, которые могут использоваться в водных композициях, являются полиэтиленгликоли и полипропиленгликоль, а примеры веществ, которые могут использоваться в водных гелях, включают природные смолы, производные целлюлозы, виниловые полимеры, полимеры акриловой кислоты и т.п. Наилучший способ осуществления изобретения Настоящее изобретение далее более подробно поясняется следующими ссылочными примерами, Рабочими примерами и Примерами испытаний, однако они ни в коем случае не ограничивают настоящее изобретение. Спектры протонного магнитного резонанса (ПМР) получают на спектрометре GEMINI 200 (200 МГц) фирмы “Varian”, спектрометре LAMBADA 300 (300 МГц) фирмы “JEOL” или спектрометре AM 500 (500 МГц) фирмы “Brucker”, используя тетраметилсилан в качестве внутреннего стандарта. Все значения химсдвигов по шкале дельта даны в ч./млн. Символы, которые используют в настоящем описании, имеют следующее значение: с: синглет, д: дублет, т: триплет, дт: дублет триплетов, м: мультиплет; ш: уширенный сигнал. Справочный пример 1 Этиловый эфир 2-амино-5-фенилтиофен-3-карбоновой кислоты К смеси этилового эфира циануксусной кислоты (6,1 г, 50 ммоль), серы (1,61 г, 50 ммоль), триэтиламина (3,5 мл, 25 ммоль) и диметилформамида (10 мл) по каплям в течение 20 минут добавляют при температуре 45oC фенилацетальдегид (50% раствор в диэтилфталате; 12,05 г, 50 ммоль). Затем реакционную смесь перемешивают в течение 9 часов при температуре 45oC и упаривают. Полученный остаток экстрагируют этилацетатом. Экстракт промывают водным раствором хлорида натрия, который затем сушат (над сульфатом магния) и растворитель отгоняют при пониженном давлении. Остаток хроматографируют на силикагеле, а затем перекристаллизовывают из смеси эфир-гексан и получают желтоватые пластинки (5,55 г, 45%) с т.пл. 124,5-125,5oC (по литературным данным: 123-124oC). Элементарный анализ для C13H13NO2S (%): вычислено: C 63,13; H 5,30; N 5,66; найдено: C 62,99; H 5,05; N 5,63. Спектр ПМР (200 МГц, хлороформ-d): 1,37 (3H, т, J=7,1 Гц), 4,30 (2H, д, J=7,1 Гц), 5,97 (2H, ш), 7,17-7,46 (6H, м). ИК-спектр (KBr): 3448, 3320, 1667, 1590, 1549 см-1. Справочный пример 2 Этиловый эфир 2-амино-4-метил-5-(4-метоксифенил)тиофен-3-карбоновой кислоты Смесь 4-метоксифенилацетона (16,5 г, 0,10 моль), этилового эфира циануксусной кислоты (12,2 г, 0,10 моль), ацетата аммония (1,55 г, 20 ммоль), уксусной кислоты (4,6 мл, 80 ммоль) и бензола (20 мл) кипятят с обратным холодильником в течение 24 ч, удаляя образующуюся в процессе реакции воду с помощью насадки Дина-Старка. После охлаждения реакционную смесь упаривают при пониженном давлении. Остаток выливают в смесь дихлорметана и водного раствора бикарбоната натрия. Органический слой отделяют, промывают водным раствором хлорида натрия, сушат (над сульфатом магния) и растворитель отгоняют при пониженном давлении. Остаток растворяют в этаноле и добавляют к нему серу (3,21 г, 0,10 моль) и диэтиламин (10,4 мл, 0,10 моль). Смесь перемешивают при температуре 50-60oC в течение 2 часов и упаривают. Концентрат экстрагируют этилацетатом, промывают экстракт водным раствором хлорида натрия, сушат (над сульфатом магния) и растворитель отгоняют при пониженном давлении. Остаток хроматографируют на силикагеле, а затем перекристаллизовывают из смеси эфир-гексан и получают бледно-желтоватые пластинки (11,5 г, 40%) с т.пл. 79-80oC. Элементный анализ для C15H17NO3S (%): вычислено: C 61,83; H 5,88; N 4,81; S 11,01; найдено: C 61,81; H 5,75; N 4,74; S 10,82. Спектр ПМР (200 МГц, хлороформ-d): 1,37 (3H, т, J=7,1 Гц), 2,28 (3H, с), 3,83 (3H, с), 4,31 (2H, квартет, J=7,1 Гц), 6,05 (2H, ш), 6,91 (2H, д, J=8,8 Гц), 7,27 (2H, д, J=8,8 Гц). ИК-спектр (KBr): 3426, 3328, 1651, 1586, 1550, 1505, 1485 см-1. Масс-спектр (FAB-MS): m/z 291 (М+). Справочный пример 3 Используя вместо 4-метоксифенилацетона различные производные ацетона, по методике, аналогичной приведенной в Справочном примере 2, получают соединения, приведенные в Таблице 1. Справочный пример 4 Диэтиловый эфир {3-этоксикарбонил-5-(4-метоксифенил)-4- метилтиофен-2-ил}аминометиленмалоновой кислоты К соединению, полученному в Справочном примере 2 (10 г, 34,3 ммоль), добавляют диэтиловый эфир этоксиметиленмалоновой кислоты (7,45 г, 34,5 ммоль). Смесь перемешивают в течение 2 часов при температуре 120oC. После охлаждения к реакционной смеси добавляют эфир, чтобы осадить кристаллы. Кристаллы отделяют фильтрованием и еще раз промывают, сушат над пентоксидом фосфора при пониженном давлении и получают кристаллы желтого цвета (14,2 г, 90%) с т.пл. 122-123oC. Спектр ПМР (200 МГц, хлороформ-d): 1,32 (3H, т, J=7,1 Гц), 1,38 (3H, т, J= 7,2 Гц), 1,41 (3H, т, J=7,2 Гц), 2,34 (3H, с), 3,85 (3H, с), 4,25 (2H, квартет, J= 7,1 Гц), 4,38 (2H, квартет, J=7,2 Гц), 4,45 (2H, квартет, J=7,2 Гц), 6,95 (2H, д, J=8,8 Гц), 7,31 (2H, д, J=8,8 Гц), 8,22 (1H, д, J= 13,4 Гц), 12,74 (1H, д, J=13,4 Гц). ИК-спектр(KBr): 2984, 1720, 1707, 1688, 1653, 1559, 1518, 1499 см-1. Справочный пример 5 Используя в качестве исходных веществ соединения, полученные в Справочном примере 3 или промышленно выпускаемые различные производные тиофена, по методике, аналогичной приведенной в Справочном примере 4, получают соединения, приведенные в Таблице 2. Справочный пример 6 Диэтиловый эфир {3-карбокси-5-(4-метоксифенил)-4-метилтиофен-2-ил} аминометиленмалоновой кислоты К раствору соединения, полученного в Справочном примере 4 (7,0 г, 15,2 ммоль), в диоксане (20 мл) при температуре 60-70oC добавляют при перемешивании раствор гидроксида калия (5,0 г, 75,7 ммоль) в этаноле (30 мл). Смесь при той же температуре перемешивают в течение часа и оставляют на один час при комнатной температуре. К реакционной смеси при охлаждении льдом добавляют 2 N раствор соляной кислоты (40 мл, 80 ммоль). Реакционную смесь упаривают при пониженном давлении. Полученный осадок желтого цвета отделяют фильтрованием, промывают смесью холодной воды и этанола, а затем сушат над пентоксидом фосфора при пониженном давлении и получают порошок желтого цвета (6,1 г, 93%) с т.пл. 184-187oC. Спектр ПМР (200 МГц, ДМСО-d6): 1,24 (3H, т, J=7,1 Гц), 1,28 (3H, т, J= 7,2 Гц), 2,30 (3H, с), 4,15 (2H, квартет, J=7,1 Гц), 4,24 (2H, квартет, J= 7,2 Гц), 7,03 (2H, д, J=8,7 Гц), 7,37 (2H, д, J=8,7 Гц), 8,08 (1H, д, J=13,6 Гц), 12,41 (1H, д, J=13,6 Гц). ИК-спектр(KBr): 2422, 2980, 1719, 1653, 1607, 1551, 1512 см-1. Справочный пример 7 Используя в качестве исходных веществ соединения, полученные в Справочном примере 5, по методике, аналогичной приведенной в Справочном примере 6, получают соединения, приведенные в Таблице 3. Справочный пример 8 Диэтиловый эфир 4-гидрокси-2-(4-метоксифенил)-3-метилтиено[2,3-b] пиридин-5-карбоновой кислоты К эфиру полифосфорной кислоты (90 мл) небольшими порциями при температуре 190oC при перемешивании добавляют соединение, полученное в Справочном примере 6 (6,0 г, 13,8 ммоль). Смесь перемешивают при указанной температуре в течение 30 минут. Выливают реакционную смесь в ледяную воду и экстрагируют этилацетатом. Экстракт промывают водным раствором хлорида натрия, сушат над сульфатом магния и растворитель отгоняют при пониженном давлении. Остаток хроматографируют на силикагеле и получают порошок желтого цвета (3,65 г, 77%). Для получения образца для анализа порошок перекристаллизовывают из этанола и получают кристаллы желтого цвета с т.пл. 162-163oC. Элементарный анализ для C18H17NO4S (%): вычислено: C 62,96; H 4,99; N 4,08; S 9,34; найдено: C 62,89; H 5,04; N 4,01; S 9,34. Спектр ПМР (200 МГц, хлороформ-d): 1,47 (3H, т, J=7,1 Гц), 2,63 (3H, с), 4,87 (3H, с), 4,49 (2H, квартет, J=7,1 Гц), 6,99 (2H, д, J=8,8 Гц), 7,44 (2H, д, J=8,8 Гц), 8,84 (1H, с), 12,11 (1H, с). ИК-спектр(KBr): 3434, 2992, 1692, 1501, 1582, 1535, 1504 см-1. Масс-спектр (FAB-MS): m/z 344 (MH+). Справочный пример 9 Используя в качестве исходных веществ соединения, полученные в Справочном примере 7, по методике, аналогичной приведенной в Справочном примере 8, получают соединения, приведенные в Таблице 4. Справочный пример 10 Диэтиловый эфир 4-гидрокси-2-(4-нитрофенил)-3-метил-тиено[2,3-b] пиридин-5-карбоновой кислоты К раствору соединения 1, полученного в Справочном примере 9 (3,76 г, 12 ммоль), в концентрированной серной кислоте (10 мл), при охлаждении льдом по каплям добавляют раствор нитрата натрия (1,27 г, 15,0 ммоль) в концентрированной серной кислоте (5 мл). Смесь перемешивают в указанных условиях в течение 30 минут. Выливают реакционную смесь в ледяную воду и экстрагируют хлороформом. Экстракт промывают водным раствором хлорида натрия, сушат (над сульфатом магния) и растворитель отгоняют при пониженном давлении. Остаток хроматографируют на силикагеле и получают порошок желтого цвета, который перекристаллизовывают из этанола и получают кристаллы желтого цвета (1,75 г, 41%) с т.пл. 260-261oC. Элементный анализ для C17H14N2O5S (%): вычислено: C 56,98; H 3,94; N 7,82; найдено: C 56,66; H 3,91; N 7,86. Спектр ПМР (200 МГц, хлороформ-d): 1,49 (3H, т, J=7,1 Гц), 2,70 (3H, с), 4,51 (2H, квартет, J= 7,1 Гц), 7,70 (2H, д, J=8,8 Гц), 8,34 (2H, д, J=8,8 Гц), 8,89 (1H, с), 12,27 (1H, с). ИК-спектр(KBr): 3002, 1692, 1605, 1514, 1350, 1290 см-1. Масс-спектр (FAB-MS): m/z 358 (MH+). Справочный пример 11 4-Гидрокси-5-гидроксиметил-2-(4-метоксифенил)-3-метилтиено[2,3-b] пиридин К суспензии (6 мл) алюмогидрида лития (0,0326 г, 0,87 ммоль) в безводном тетрагидрофуране при комнатной температуре (15-35oC, тот же интервал подразумевается и далее) по каплям добавляют раствор соединения, полученного в Справочном примере 8 (0,20 г, 0,58 ммоль), в безводном тетрагидрофуране (3 мл). Смесь перемешивают при комнатной температуре в течение 30 минут, а затем добавляют к смеси соль Рошеля. Образовавшийся осадок отделяют фильтрованием. Если необходимо, реакционную смесь нагревают до кипения для полноты протекания реакции. Осадок промывают этиловым спиртом и хлороформом, промывочные растворы объединяют с фильтратом и упаривают. Остаток выливают в смесь этилацетата и водного раствора хлорида натрия. Органический слой сушат (над сульфатом магния), растворитель отгоняют при пониженном давлении и получают кристаллы белого цвета (0,13 г, 74%) с т.пл. > 300oC. Спектр ПМР (200 МГц, ДМСО-d6): 2,55 (3H, с) 3,81 (3H, с), 4,41 (2H, с), 7,03 (2H, д, J-8,8 Гц), 7,40 (2H, д, J= 8,8 Гц), 7,75 (1H, с). ИК-спектр(KBr): 3210, 2930, 1613, 1506, 1255 см-1. Масс-спектр (FAB-MS): m/z 302 (MH+). Справочный пример 12 Этиловый эфир 2-бензоил-4-гидрокси-3-метилтиено[2,3-b]пиридин-5- карбоновой кислоты К смеси соединения 3, полученного в Справочном примере 7 (5,0 г, 15,3 ммоль), и безводного хлорида алюминия (8,6 г, 64,5 ммоль) в нитрометане (100 мл) медленно по каплям в атмосфере азота и при охлаждении на бане со льдом добавляют хлористый бензоил (3,6 мл, 31,0 ммоль). Смесь перемешивают при комнатной температуре в течение часа, а затем 14 часов при температуре 50oC. Реакционную смесь выливают в ледяную воду и экстрагируют этилацетатом. Экстракт промывают водным раствором хлорида натрия, сушат (над сульфатом магния), растворитель отгоняют при пониженном давлении и получают порошок коричневатого цвета (7,58 г). Порошок при температуре 120oC при перемешивании добавляют небольшими порциями к эфиру полифосфорной кислоты. Смесь перемешивают при указанной температуре в течение 90 минут, а затем выливают в ледяную воду и экстрагируют этилацетатом. Экстракт промывают водным раствором хлорида натрия, сушат (над сульфатом магния) и растворитель отгоняют при пониженном давлении. Остаток хроматографируют на силикагеле и получают порошок желтого цвета (0,82 г, 16%). Для получения образца для анализа порошкообразный продукт перекристаллизовывают из смеси хлороформ-метанол и получают кристаллы желтого цвета с т.пл. 241-243oC. Элементный анализ для C18H15NO4S 0,25H2O (%):вычислено: C 62,51; H 4,52; N 4,05; найдено: C 62,77; H 4,22; N 4,30. Спектр ПМР (200 МГц, CDCl3-CD3OD): 1,49 (3H, т, J=7,1 Гц), 2,71 (3H, с), 4,53 (2H, квартет, J=7,1 Гц), 7,49-7,70 (3H, ш), 8,96 (1H, с). ИК-спектр(KBr): 3004, 1692, 1638, 1603, 1582, 1537, 1431 см-1. Справочный пример 13 Этиловый эфир 2-фенилацетил-4-гидрокси-3-метилтиено[2,3-b]пиридин- 5-карбоновой кислоты Целевое соединение (1,47 г, 14%) с т.пл. 208-214oC получают, используя в качестве исходного соединения, полученное в Справочном примере 7, по методике, аналогичной приведенной в Справочном примере 12, заменив хлористый бензоил на хлористый фенилацетил. Элементный анализ для C19H17NO4S 0,1EtOAc (%):вычислено: C 63,98; H 4,93; N 3,85; найдено: C 64,25; H 4,66; N 3,52. Спектр ПМР (200 МГц, CDCl3-CD3OD): 1,47 (3H, т, J=7,1 Гц), 2,99 (3H, с), 4,20 (2H, с), 4,49 (2H, квартет, J=7,1 Гц), 7,26-7,41 (5H, м), 8,96 (1H, с), 12,50 (1H, с). ИК-спектр(KBr): 3424, 2986, 1694, 1601, 1580, 1535, 1495, 1439 см-1. Справочный пример 14 Этиловый эфир 2-бром-4-гидрокси-3-метилтиено[2,3-b]пиридин-5- карбоновой кислоты К раствору соединения 3, полученного в Справочном примере 7 (17,8 г, 54,4 ммоль), и пиридина (22 мл, 0,272 ммоль) в хлороформе (120 мл) медленно по каплям добавляют раствор брома (3,4 мл, 66 ммоль) в хлороформе (30 мл). Смесь перемешивают в течение 30 минут при комнатной температуре, а затем реакционную смесь упаривают при пониженном давлении. К концентрату добавляют разбавленную соляную кислоту. Выпавший кристаллический осадок отфильтровывают, промывают водой и небольшим количеством холодного эфира, сушат в вакууме над пентоксидом фосфора и получают порошок коричневого цвета. Этот порошок при температуре 120oC добавляют небольшими порциями к эфиру полифосфорной кислоты (100 мл) при перемешивании. Смесь перемешивают при указанной температуре в течение 90 минут, а затем выливают в ледяную воду и экстрагируют этилацетатом. Экстракт промывают водным раствором соли, сушат (над сульфатом магния) и растворитель отгоняют при пониженном давлении. Остаток хроматографируют на силикагеле и получают порошок бледно-желтого цвета (9,93 г, 58%). Для получения образца для анализа порошок перекристаллизовывают из смеси хлороформ-метанол и получают бесцветные иглы с т.пл. 214-216oC. Элементный анализ для C11H10NO3SBr (%): вычислено: C 41,79; H 3,19; N 4,43; найдено: C 41,55; H 3,14; N 4,53. Спектр ПМР (200 МГц, COCl3-CD3OD): 1,47 (3H, т, J=7,1 Гц), 2,60 (3H, с), 4,50 (2H, квартет, J=7,1 Гц), 8,82 (1H, с). ИК-спектр(KBr): 2990, 1605, 1578, 1533 см-1. Справочный пример 15 Этиловый эфир 2-бром-4-гидрокси-3-метилтиено[2,3-b]пиридин-5- карбоновой кислоты (альтернативный метод синтеза соединения, полученного в Справочном примере 14) Смесь соединения, полученного в Справочном примере 9 (0,24 г, 1,01 ммоль), N-бромсукцинимида (10,198 г, 1,11 ммоль) и хлороформа (10 мл) кипятят с обратным холодильником в течение 3 часов. После охлаждения реакционную смесь выливают в водный раствор хлорида натрия и экстрагируют хлороформом. Экстракт промывают водным раствором соли, сушат (над сульфатом магния), растворитель отгоняют при пониженном давлении. Остаток хроматографируют на силикагеле и получают порошок желтого цвета, который перекристаллизовывают из смеси хлороформ-метанол и получают бесцветные иглы (0,29 г, 91%) с т.пл. 214-216oC. Справочный пример 16 Этиловый эфир 7-бензоил-4,7-дигидро-2-(4-метоксифенил)-3-метил- 4-оксотиено[2,3-b]пиридин-5-карбоновой кислоты К раствору соединения, полученного в Справочном примере 8 (5 г, 14,6 ммоль), в пиридине (100 мл) при охлаждении на бане со льдом добавляют хлористый бензоил (1,78 мл, 15,3 ммоль). Перемешивают при комнатной температуре в течение 150 минут и добавляют этанол (1 мл). Реакционную смесь упаривают при пониженном давлении. Остаток выливают в смесь дихлорметана и насыщенного водного раствора хлорида натрия. Органический слой отделяют, водную фазу экстрагируют дихлор-метаном. Органические вытяжки объединяют, промывают водой и сушат (над сульфатом магния). Растворитель отгоняют, остаток хроматографируют на силикагеле и перекристаллизовывают из этанола, получая кристаллы белого цвета (6,41 г, 98%) с т.пл. 110-112oC. Элементный анализ для C25H21NO5S (%): вычислено: C 67,10; H 4,73; N 3,13; найдено: C 66,95; H 4,68; N 2,93. Спектр ПМР (200 МГц, хлороформ-d): 1,14 (3H, т, J=7,7 Гц), 2,42 (3H, с), 3,85 (3H, с), 4,26 (2H, квартет, J=7,2 Гц), 6,98 (2H, д, J=6,7 Гц), 7,40 (2H, д, J= 8,9 Гц), 7,57 (2H, т, J=7,6 Гц), 7,70 (1H, т, J= 5,9 Гц), 8,27 (2H, д, J=7,0 Гц), 9,14 (1H, с). ИК-спектр(KBr): 2972, 1717, 1607, 1580, 1522, 1502 см-1. Справочный пример 17 Этиловый эфир 7-бензоил-3-бромметил-4,7-дигидро-2-(4-метоксифенил)- 4-оксотиено[2,3-b]пиридин-5-карбоновой кислоты Смесь соединения, полученного в Справочном примере 16 (6,39 г, 14,3 ммоль), N-бромсукцинимида (2,67 г, 15 ммоль), ,![]() -азобисизобутиронитрила (0,47 г, 2,86 ммоль) и четыреххлористого углерода (100 мл) кипятят с обратным холодильником в течение одного часа. Охлаждают и нерастворимые вещества отделяют фильтрованием. Фильтрат разбавляют хлороформом. Органическую фазу промывают водой и сушат (над сульфатом магния), растворитель упаривают при пониженном давлении, а остаток перекристаллизовывают из этилацетата, получая бесцветные иглы (7,02 г, 93%) с т.пл. 124-126oC.
Элементный анализ для C25H20NO5SBr (%):вычислено: C 57,04; H 3,83; N 2,66; найдено: C 57,16; H 3,85; N 2,70. Спектр ПМР (200 МГц, хлороформ-d): 1,14 (3H, т, J=7,2 Гц), 2,88 (3H, с), 4,26 (2H, квартет, J=7,2 Гц), 4,68 (2H, с), 7,04 (2H, д, J=8,8 Гц), 7,53-7,75 (5H, м), 8,35 (2H, д, J=7,0 Гц), 9,20 (1H, с). ИК-спектр (KBr): 2984, 1717, 1605, 1502 см-1. Справочный пример 18 Этиловый эфир 3-(N-бензил-N-метиламинометил)-4-гидрокси-2- (4-метоксифенил)тиено[2,3-b]пиридин-5-карбоновой кислоты Смесь соединения, полученного в Справочном примере 17 (6,73 г, 12,8 ммоль), N-этилдиизопропиламина (2,30 мл, 13,4 мл), N-бензилметиламина (1,73 мл; 13,4 ммоль) и диметилформамида (100 мл) перемешивают при комнатной температуре в течение 40 минут. Растворитель упаривают при пониженном давлении и остаток выливают в смесь дихлорметана и насыщенного водного раствора хлорида натрия. Органический слой отделяют, промывают водой и сушат (над сульфатом магния). Растворитель отгоняют при пониженном давлении и остаток растворяют в смеси дихлорметана (100 мл) и этанола (50 мл). К полученному раствору при охлаждении на бане со льдом добавляют раствор этоксида натрия (0,88 г, 13 ммоль) в этаноле (50 мл) и перемешивают смесь при комнатной температуре в течение 4 часов. Нейтрализуют смесь с помощью уксусной кислоты, растворитель отгоняют при пониженном давлении и остаток выливают в смесь дихлорметана и насыщенного водного раствора хлорида натрия. Органический слой отделяют, промывают водой и сушат (над сульфатом магния). Растворитель отгоняют при пониженном давлении. Остаток хроматографируют на силикагеле и перекристаллизовывают из этанола, получая бесцветные кристаллы (4,32 г, 73%) с т.пл. 175-177oC. Элементный анализ для C26H26N2O4S (%): вычислено: C 67,51; H 5,67; N 6,06; найдено: C 67,43; H 5,72; N 6,06. Спектр ПМР (200 МГц, хлороформ-d): 1,45 (3H, т, J=7,2 Гц), 2,35 (3H, с), 3,75 (2H, ш), 3,89 (3H, с), 3,92 (2H, с), 4,44 (2H, квартет, J=7,2 Гц), 7,01 (2H, д, J=6,7 Гц), 7,21-7,37 (7H, м), 8,87 (1H, с). ИК-спектр(KBr): 3424, 3000, 1686, 1607, 1504 см-1. Справочный пример 19 Этиловый эфир 2-амино-4-метил-5-(4-нитрофенил)тиофен-3- карбоновой кислоты По методике, аналогичной приведенной в Справочном примере 1, взяв 4-нитрофенилацетон (35,0 г, 195 ммоль) вместо 4-метоксиацетона, этиловый эфир циануксусной кислоты (23 г, 19,5 ммоль), ацетат аммония (3,1 г, 40 ммоль), уксусную кислоту (9,1 мл, 159 ммоль), серу (5,0 г, 160 ммоль) и диэтиламин (16,9 мл, 160 ммоль), получают целевое соединение в виде бесцветных кристаллов (22,2 г, 52%) с т.пл. 168-170oC (перекристаллизовывают из смеси эфир-гексан). Элементный анализ для C14H14N2O4S (%): вычислено: C 54,89; H 4,61; N 9,14; найдено: C 54,83; H 4,90; N 9,09. Спектр ПМР (200 МГц, хлороформ-d): 1,39 (3H, т, J=7,1 Гц), 2,40 (3H, с), 4,34 (2H, квартет, J=7,1 Гц), 6,27 (2H, шир), 7,48 (2H, д, J=8,7 Гц), 8,23 (2H, д, J=8,7 Гц). ИК-спектр(KBr): 3446, 3324, 1667, 1580, 1545, 1506, 1491, 1475, 1410, 1332 см-1. Справочный пример 20 Этиловый эфир 2,4(1H,3H)-диоксо-5-метил-6-(4-метоксифенил)тиено [2,3-d] пиримидин-3-уксусной кислоты К раствору соединения, полученного в Справочном примере 1 (5,00 г, 17,20 ммоль) добавляют этиловый эфир изо-цианоуксусной кислоты (2,90 мл, 25,80 ммоль). Смесь перемешивают при температуре 45oC в течение 6 часов и упаривают при пониженном давлении. Концентрат растворяют в этаноле (6 мл) и к полученному раствору добавляют этоксид натрия [приготавливают из этанола (30 мл) и натрия (0,79 г, 34,0 ммоль)]. Смесь перемешивают при комнатной температуре в течение 24 часов и добавляют 2 N раствор соляной кислоты (18 мл, 36 ммоль). Этанол отгоняют при пониженном давлении, остаток отфильтровывают, промывают смесью воды и этанола и сушат при пониженном давлении; перекристаллизовывают из этанола и получают белые иглы (5,70 г, 89%) с т.пл. 164-165oC. Элементный анализ для C18H18N2O5S (%): вычислено: C 57,74; H 4,85; N 7,48; найдено: C 57,78; H 5,03; N 7,45. Спектр ПМР (200 МГц, хлороформ-d): 1,30 (3H, т, J=7,1 Гц), 2,45 (3H, с), 3,85 (3H, с), 4,26 (2H, квартет, J=7,2 Гц), 4,78 (2H, с), 6,95 (2H, д, J=8,8 Гц), 7,31 (2H, д, J=8,8 Гц), 10,58 (1H, с). ИК-спектр(KBr): 2914, 1742, 1713, 6550, 1605, 1568, 1528, 1499 см-1. Справочный пример 21 Используя в качестве исходных веществ соединения, полученные в Справочных примерах 2, 3 и 19, по методике, аналогичной приведенной в Справочном примере 20, получают соединения, приведенные в Таблице 5. Справочный пример 22 Этиловый эфир 2,4(1H,3H)-диоксо-6-(4-нитрофенил)-5-метилтиено [2,3-d]пиримидин-3-уксусной кислоты К соединению 1, полученному в Справочном примере 21 (2,20 г, 6,39 ммоль) добавляют концентрированную серную кислоту (12 мл). К полученной смеси при охлаждении на бане со льдом по каплям добавляют раствор нитрата натрия (550 мг, 6,47 ммоль) в концентрированной серной кислоте и перемешивают в тех же условиях в течение одного часа. Выливают реакционную смесь в ледяную воду и экстрагируют этилацетатом. Экстракт промывают водным раствором хлорида натрия, сушат (над сульфатом магния) и растворитель отгоняют при пониженном давлении. Остаток хроматографируют на силикагеле и получают твердое вещество желтоватого цвета (1,30 г, 52%), которое перекристаллизовывают из смеси этилацетат-гексан и получают кристаллы желтого цвета с т.пл. 277-280oC. Элементный анализ для C17H15N3O6S 0,4H2O (%):вычислено: C 51,48; H 4,01; N 10,59; найдено: C 51,64; H 3,79; N 10,61. Спектр ПМР (200 МГц, хлороформ-d): 1,33 (3H, т, J=7,2 Гц), 2,56 (3H, с), 4,28 (2H, квартет, J= 7,2 Гц), 4,79 (2H, с), 7,57 (2H, д, J=8,8 Гц), 8,30 (2H, д, J=8,8 Гц), 10,30 (1H, с). ИК-спектр(KBr): 1748, 1719, 1663, 1522, 1460 см-1. Справочный пример 23 Этиловый эфир 2,4(1H,3H)-диоксо-1-(2-фторбензил)-6-(4-нитрофенил)- 5-метилтиено[2,3-d]пиримидин-3-уксусной кислоты К раствору соединения, полученного в Справочном примере 22 (700 мг, 1,90 ммоль), в диметилформамиде (10 мл) добавляют карбонат калия (372 мг, 2,70 ммоль), йодид калия (299 мг, 1,80 ммоль) и хлористый 2-фторбензил (0,43 мл, 3,60 ммоль). Смесь перемешивают в течение 2 часов при комнатной температуре, упаривают и остаток выливают в смесь этилацетата и водного раствора хлорида натрия. Органический слой отделяют и водный слой экстрагируют этилацетатом. Органические вытяжки объединяют, промывают водным раствором хлорида натрия, сушат (над сульфатом магния) и растворитель отгоняют при пониженном давлении. Остаток хроматографируют на силикагеле и получают белый порошок (500 мг, 56%) с т.пл. 155-158oC. Элементный анализ для C24H20N3O6SF 0,5H2O (%):вычислено: C 56,91; H 4,18; N 8,30; найдено: C 56,74; H 3,84; N 8,25. Спектр ПМР (200 МГц, хлороформ-d): 1,32 (3H, т, J=7,2 Гц), 3,84 (3H, с), 4,27 (2H, квартет, J=7,2 Гц), 4,84 (2H, с), 5,30 (2H, с), 7,06-7,33 (4H, м), 7,54 (2H, д, J=8,9 Гц), 7,27 (2H, д, J=8,9 Гц). ИК-спектр (KBr): 1748, 1711, 1673, 1520, 1491 см-1. Справочный пример 24 Используя в качестве исходных веществ соединения, полученные в Справочном примере 21, по методике, аналогичной приведенной в Справочном примере 23, получают соединения, приведенные в Таблице 6. Справочный пример 25 Этиловый эфир 5-бромметил-2,4(1H, 3H)-диоксо-1-(2-фторбензил)- 6-(4-нитрофенил)тиено[2,3-d]пиримидин-3-уксусной кислоты Смесь соединения, полученного в Справочном примере 23 (0,300 г, 0,603 ммоль), N-бромсукцинимида (0,107 г, 0,603 ммоль), ,![]() -азобисизобутиронитрила (10 мг, 0,60 ммоль) и четыреххлористого углерода (15 мл) кипятят с обратным холодильником в течение двух часов. Охлаждают и нерастворимые вещества отделяют фильтрованием. Фильтрат разбавляют хлороформом. Органическую фазу промывают водой и сушат (над сульфатом магния), растворитель упаривают при пониженном давлении, а остаток перекристаллизовывают из этилацетата, получая бесцветные иглы (0,284 г, 82%) с т.пл. 165-167oC.
Элементный анализ для C24H19N3O6SBrF (%):вычислено: C 50,01; H 3,32; N 7,29; найдено: C 49,87; H 3,27; N 7,23. Спектр ПМР (200 МГц, хлороформ-d): 1,31 (3H, т, J=7,1 Гц), 4,26 (2H, квартет, J=7,1 Гц), 4,78 (2H, с), 4,86 (2H, с), 5,30 (2H, с), 7,07-7,37 (4H, м), 7,75 (2H, д, J=8,8 Гц), 8,33 (2H, д, J= 8,8 Гц). ИК-спектр (KBr): 1713, 1673, 1524, 1477 см-1. Справочный пример 26 Используя в качестве исходных веществ соединения, полученные в Справочном примере 24, по методике, аналогичной приведенной в Справочном примере 25, получают соединения, приведенные в Таблице 7. Справочный пример 27 Гидрохлорид этилового эфира 5- бензилметиламинометил-2,4-(1H, 3H)-диоксо-1-(2-фторбензил)-6-(4-нитрофенил)тиено[2,3-d]пиримидин- 3-уксусной кислоты К раствору соединения, полученного в Справочном примере 25 (0,270 г, 0,47 ммоль), в диметилформамиде (10 мл) при охлаждении в бане со льдом добавляют этилдиизопропиламин (0,12 мл, 0,710 ммоль) и бензилметиламин (0,07 мл, 0,56 ммоль). Смесь перемешивают при комнатной температуре в течение 20 часов. Реакционную смесь упаривают и остаток выливают в смесь этилацетата и водного раствора бикарбоната натрия. Органический слой отделяют и водную фазу экстрагируют этилацетатом. Органические вытяжки объединяют, промывают водным раствором хлорида натрия, сушат (над сульфатом магния) и растворитель отгоняют при пониженном давлении. Остаток хроматографируют на силикагеле и получают бесцветное масло (0,297 г, 100%). К раствору этого вещества в этилацетате добавляют при охлаждении в бане со льдом 1 N раствор хлористого водорода в эфире. Смесь перемешивают в течение 10 минут при той же температуре и упаривают при пониженном давлении, а концентрат перекристаллизовывают из смеси этилацетат-эфир и получают соответствующий гидрохлорид (0,084 г) в виде кристаллов белого цвета; т.пл. (гидрохлорид) 120- 128oC. Элементный анализ для C32H29N4O6SF HCl H2O (%):вычислено: C 57,27; H 4,81; N 8,35; найдено: C 57,23; H 4,55; N 8,42. Спектр ПМР (200 МГц, хлороформ-d) [свободный амин]: 1,31 (3H, т, J=7,1 Гц), 2,16 (3H, с), 3,61 (2H, с), 3,97 (2H, с), 4,27 (2H, квартет, J=7,1 Гц), 4,87 (2H, с), 5,31 (2H, с), 7,10-7,35 (9H, м), 7,97 (2H, д, J=8,8 Гц), 8,23 (2H, д, J=8,8 Гц). ИК-спектр (KBr) [гидрохлорид]: 1711, 1665, 1522, 1493 см-1. Рабочий пример 1 Этиловый эфир 4,7-дигидро-7-(2-метоксибензил)-2-(4-метоксифенил)- 3-метил-4-оксотиено[2, 3-b]пиридин-5-карбоновой кислоты К суспензии гидрида натрия (60% в масле; 123 мг, 3,08 ммоль) в диметилформамиде (3 мл) в атмосфере азота и при охлаждении в бане со льдом добавляют по каплям раствор соединения, полученного в Справочном примере 8 (1,0 г, 2,91 ммоль), в диметилформамиде (20 мл). Смесь при охлаждении в бане со льдом перемешивают в течение 30 минут и по каплям добавляют к ней раствор хлористого 2-метоксибензила (0,92 г, 5,87 ммоль) в диметилформамиде (3 мл). Реакционную смесь перемешивают при комнатной температуре в течение 23 часов, а затем 2 часа при температуре 70oC. Реакционную смесь упаривают и остаток выливают в смесь этилацетата и водного раствора хлорида натрия. Органический слой отделяют и водный слой экстрагируют этилацетатом. Органические вытяжки объединяют, промывают водным раствором хлорида натрия, сушат (над сульфатом магния) и растворитель отгоняют при пониженном давлении. Остаток хроматографируют на силикагеле и получают аморфное вещество бледно-желтого цвета (0,95 г, 70%). Для получения образца для анализа аморфный продукт перекристаллизовывают из смеси дихлорметан – эфир и получают желтые призмы с т.пл. 165-167oC. Элементный анализ для C26H25NO5S 0,5H2O (%):вычислено: C 66,08; H 5,55; N 2,96; найдено: C 66,33; H 5,44; N 2,74. Спектр ПМР (200 МГц, хлороформ-d): 1,41 (3H, т, J=7,1 Гц), 2,65 (3H, с), 3,65 (3H, с), 3,86 (3H, с), 4,39 (2H, квартет, J=7,1 Гц), 5,16 (2H, с), 6,92-7,00 (4H, м), 7,21-7,41 (4H, м), 8,41 (1H, с). ИК-спектр (KBr): 2980, 1727, 1684, 1609, 1590, 1497, 1464 см-1. Рабочий пример 2 Используя в качестве исходного соединение, полученное в Справочном примере 8, по методике, аналогичной приведенной в Рабочем примере 1, получают соединения, приведенные в Таблице 8. Рабочий пример 3 Используя в качестве исходных веществ соединения, полученные в Справочных примерах 9 и 10, по методике, аналогичной приведенной в Рабочем примере 1, получают соединения, приведенные в Таблице 9. Рабочий пример 4 4,7-Дигидро-5-гидроксиметил-7-(2-метоксибензил)-2-(4- метоксифенил)-3-метил-4-оксотиено[2,3-b]пиридин К раствору соединения, полученного в Справочном примере 11 (0,12 г, 0,40 ммоль), в диметилформамиде (10 мл) при комнатной температуре добавляют карбонат калия (0,083 г, 0,60 ммоль), хлористый 2-метоксибензил (0,094 г, 0,60 ммоль) и Йодид калия (0,033 г, 0,29 ммоль). Реакционную смесь перемешивают 90 минут при комнатной температуре, а затем 2 часа при температуре 50oC. Реакционную смесь упаривают и остаток выливают в смесь дихлорметана и воды. Органический слой отделяют и водный слой экстрагируют дихлорметаном. Органические вытяжки объединяют, промывают водным раствором хлорида натрия, сушат (над сульфатом магния) и растворитель отгоняют при пониженном давлении. Остаток хроматографируют на силикагеле и получают аморфное вещество бледно-желтого цвета, которое перекристаллизовывают из этилацетата и получают бесцветные кристаллы с т.пл. 153-156oC. Элементный анализ для C24H23NO4S (%): вычислено: C 68,39; H 5,50; N 3,32; найдено: C 68,11; H 5,58; N 3,24. Спектр ПМР (200 МГц, хлороформ-d): 2,67 (3H, с), 3,85 (3H, с), 3,86 (3H, с), 4,59 (2H, с), 5,12 (2H, с), 6,90-7,00 (4H, м), 7,15 (1H, д), 7,3-7,4 (3H, м), 7,45 (1H, с). ИК-спектр (KBr): 3400, 2936, 2838, 1618, 1547, 1504, 1249 см-1. Рабочий пример 5 5-Ацетоксиметил-4,7-дигидро-7-(2-метоксибензил)-2-(4-метоксифенил)- 3-метил-4-оксотиено[2,3-b]пиридин К раствору соединения, полученного в Рабочем примере 4 (0,400 г, 0,96 ммоль), в пиридине добавляют при комнатной температуре безводную уксусную кислоту (1,78 г, 19,0 ммоль). Смесь перемешивают в течение часа при комнатной температуре, упаривают и выливают в смесь этилацетата и разбавленной соляной кислоты. Водный слой экстрагируют этилацетатом. Экстракт хроматографируют на силикагеле и получают бесцветное аморфное вещество, которое перекристаллизовывают из этилового эфира и получают бесцветные кристаллы (0,46 г, 100%) с т.пл. 158-159oC. Элементный анализ для C26H25NO5S (%): вычислено: C 67,37; H 5,44; N 3,02; найдено: C 67,09; H 5,09; N 3,06. Спектр ПМР (200 МГц, хлороформ-d): 2,07 (3H, с), 2,67 (3H, с), 3,84 (3H, с), 3,86 (3H, с), 5,11 (2H, с), 6,90-7,00 (4H, м), 7,18 (1H, д, J=7,7 Гц), 7,3-7,4 (3H, м), 7,69 (1H, с). ИК-спектр (KBr): 1752, 1626, 1578, 1508, 1506, 1255 см-1. Рабочий пример 6 Этиловый эфир 3-бромметил-4,7-дигидро-7-(2-метоксибензил)-2- (4-метоксифенил)-4-оксотиено[2,3-b]пиридин-5-карбоновой кислоты Смесь соединения, полученного в Рабочем примере 1 (0,35 г, 0,755 ммоль), N-бромсукцинимида (0,135 г, 0,758 ммоль), ,![]() -азобисизобутиронитрила (13 мг, 0,079 ммоль) и четыреххлористого углерода (5 мл) кипятят с обратным холодильником в течение двух часов. Охлаждают, нерастворимые вещества отделяют фильтрованием и фильтрат разбавляют хлороформом. Органическую фазу промывают водным раствором хлорида натрия и сушат (над сульфатом магния). Растворитель упаривают при пониженном давлении, а остаток перекристаллизовывают из этилацетата, получая бесцветные иглы (0,272 г, 66%) с т.пл. 200- 201oC.
Элементный анализ для C26H24NO5SBr (%):вычислено: C 57,57; H 4,46; N 2,58; найдено: C 57,75; H 4,31; N 2,31. Спектр ПМР (200 МГц, хлороформ-d): 1,40 (3H, т, J=7,1 Гц), 3,86 (6H, с), 4,40 (2H, квартет, J=7,1 Гц), 5,05 (2H, с), 5,16 (2H, с), 6,92- 7,04 (4H, м), 7,23-7,28 (1H, м), 7,34-7,43 (1H, м), 7,57 (2H, д, J=8,9 Гц), 8,46 (1H, с). ИК-спектр (KBr): 2980, 1725, 1607, 1588, 1497 см-1. Рабочий пример 7 Используя в качестве исходных веществ соединения, полученные в Рабочих примерах 3, 4, 19, 65, 66 и 73, по методике, аналогичной приведенной в Рабочем примере 6, получают соединения, представленные в Таблице 10. Рабочий пример 8 Гидрохлорид этилового эфира 3-бензиламинометил-4,7-дигидро-7- (2-метоксибензил)-3-(4-метоксифенил)-4-оксотиено[2,3-b]пиридин-5- карбоновой кислоты К раствору соединения, полученного в Рабочем примере 6 (0,245 г, 0,452 ммоль), в диметилформамиде (5 мл) при охлаждении в бане со льдом добавляют триэтиламин (0,10 мл, 0,717 ммоль) и бензиламин (80 мкл, 0,732 ммоль). Реакционную смесь перемешивают 90 минут при комнатной температуре, упаривают и остаток выливают в смесь этилацетата и водного раствора бикарбоната натрия. Органический слой отделяют и водный слой экстрагируют этилацетатом. Органические вытяжки объединяют, сушат (над сульфатом магния) и растворитель отгоняют при пониженном давлении. Остаток хроматографируют на силикагеле и получают бесцветное масло (0,135 г, 53%). Масло растворяют в этаноле (4 мл) и при охлаждении на бане со льдом добавляют 1 N раствор хлористого водорода в этаноле (0,2 мл). Смесь перемешивают при охлаждении на бане со льдом в течение 10 минут. Реакционную смесь упаривают при пониженном давлении и остаток перекристаллизовывают из этилацетата и эфира и получают соответствующий гидрохлорид (0,113 г) в виде кристаллов белого цвета с т.пл. 118-119oC. Элементный анализ для C33H32N2O5S HCl 0,9H2O (%):вычислено: C 63,79; H 5,64; N 4,51; найдено: C 64,03; H 5,44; N 4,51. Спектр ПМР (200 МГц, хлороформ-d) свободный амин: 1,40 (3H, т, J=7,1 Гц), 2,05 (1H, ш), 3,81 (3H, с), 3,86 (3H, с), 3,87 (2H, с), 3,94 (2H, с), 4,40 (2H, квартет, J=7,1 Гц), 5,18. (2H,с), 6,80 (2H, д, J=8,8 Гц), 6,91-6,99 (2H, м), 7,20-7,42 (9H, м), 8,45 (1H, с). ИК-спектр(KBr) [гидрохлорид]: 3422, 2938, 1719, 1605, 1560, 1545, 1502, 1460 см-1. Рабочий пример 9 Используя в качестве исходного соединение, полученное в Рабочем примере 6, по методике, аналогичной приведенной в Рабочем примере 8, получают соединения, представленные в Таблице 11. Рабочий пример 10 Используя в качестве исходных веществ соединения, полученные в Рабочем примере 7, по методике, аналогичной приведенной в Рабочем примере 8, получают соединения, представленные в Таблице 12. Рабочий пример 11 4,7-Дигидро-7-(2-метоксибензил)-2-(4-метоксифенил)-3-метил-4- оксотиено[2,3-b]пиридин-N-бензилпиперазинил-5-карбоксамид К 1-бензилпиперазину (0,77 г, 4,37 ммоль) при охлаждении на бане со льдом по каплям добавляют раствор диизобутилалюминийгидрида в толуоле (1,5 N, 2,9 мл, 4,37 ммоль). Дают смеси нагреться до комнатной температуры и перемешивают в течение 30 минут. К раствору при комнатной температуре добавляют раствор соединения, полученного в Рабочем примере 1 (0,50 г, 1,08 ммоль), в толуоле (5 мл). Перемешивают смесь при комнатной температуре в течение 15 часов и добавляют хлористый метилен (30 мл). Смесь промывают водой и сушат над сульфатом натрия. Растворитель упаривают при пониженном давлении и получают твердое вещество (1,03 г), которое перекристаллизовывают из смеси хлористый метилен – н-гексан и получают целевое соединение (0,48 г, 78%) с т.пл. 233-235oC. Элементный анализ для C35H35N3O4S 0,5H2O (%):вычислено: C 69,75; H 6,02; N 6,97; S 5,32; найдено: C 69,88; H 6,06; N 6,98; S 5,39. Спектр ПМР (200 МГц, хлороформ-d) 2,45-2,55 (4H, м), 2,63 (3H, с), 3,43-3,49 (2H, м), 3,55 (2H, с), 3,73-3,82 (2H, м), 3,84 (6H, с), 5,11 (2H, с), 6,89-6,98 (4H, м), 7,21-7,40 (9H, м), 7,79 (2H, с). Рабочий пример 12 Используя в качестве исходного соединение, полученное в Рабочем примере 1, по методике, аналогичной приведенной в Рабочем примере 11, получают соединения, представленные в Таблице 13. Рабочий пример 13 Гидрохлорид этилового эфира 4,7-дигидро-7-(2-метоксибензил)-2- (4-метоксифенил)-3-[N-метил-N-(2-метоксибензил)аминометил] -4-оксотиено [2,3-b]пиридин-5-карбоновой кислоты К раствору соединения 12, полученного в Рабочем примере 9 (0,30 г, 0,52 ммоль), в этиловом спирте (5 мл ) при комнатной температуре добавляют триэтиламин (0,21 г, 2,1 ммоль) и хлористый 2-метоксибензил (0,16 г, 1,0 ммоль). Смесь перемешивают при комнатной температуре в течение 60 часов, упаривают и остаток выливают в смесь этилацетата и водного раствора бикарбоната натрия. Органический слой отделяют и водный слой экстрагируют этилацетатом. Органические вытяжки объединяют, сушат (над сульфатом натрия) и растворитель отгоняют при пониженном давлении. Остаток хроматографируют на силикагеле и получают масло желтого цвета (0,23 г, 72%). Масло (0,07 г, 0,10 ммоль) растворяют в этилацетате (5 мл) и при охлаждении на бане со льдом в течение 5 минут добавляют 1 N раствор хлористого водорода в этаноле (0,2 мл, 0,20 ммоль). Реакционную смесь упаривают при пониженном давлении и остаток перекристаллизовывают из смеси этилацетат-эфир и получают соответствующий гидрохлорид (0,07 г, 100%) в виде кристаллов белого цвета с т.пл. 107-109oC. Элементный анализ для C35H36N2O6S HCl H2O (%):вычислено: C 63,01; H 5,89; N 4,20; найдено: C 63,57; H 6,05; N 3,88. Спектр ПМР (200 МГц, хлороформ-d) [свободный амин]: 1,39 (3H, т, J=7,2 Гц), 2,38 (3H, с), 3,71 (3H, с), 3,85 (3H, с), 3,87 (3H, с), 3,88 (2H, с), 4,30 (2H, с), 4,39 (2H, квартет, J=7,2 Гц), 5,21 (2H, с), 6,77-7,70 (12H, м), 8,44 (1H, с). ИК-спектр (KBr) [гидрохлорид]: 3422, 2944, 1721, 1605, 1499, 1464, 1383, 1294, 1253 см-1. Масс-спектр (FAB): m/z 613 (MH+). Рабочий пример 14 Используя в качестве исходного соединение, полученное в Рабочем примере 9, по методике, аналогичной приведенной в Рабочем примере 13, получают соединения, представленные в Таблице 14. Рабочий пример 15 Этиловый эфир 2-(4-аминофенил)-4,7-дигидро-7-(2-метоксибензил)- 3-(N-метил-N-бензиламинометил)-4-оксотиено[2,3-b]пиридин-5-карбоновой кислоты К раствору соединения 1, полученного в Рабочем примере 10 (0,60 г, 1,00 ммоль), в метиловом спирте (10 мл) добавляют порошок железа (0,22 г, 4,0 ммоль). Смесь энергично перемешивают на бане со льдом, а затем реакционную смесь выливают в ледяную воду и нейтрализуют бикарбонатом натрия и экстрагируют этилацетатом. Органический слой промывают раствором хлорида натрия, сушат (над сульфатом натрия) и растворитель упаривают при пониженном давлении. Остаток хроматографируют на силикагеле, а затем перекристаллизовывают из смеси хлороформ-эфир и получают иглы желтого цвета (0,40 г, 71%) с т.пл. 120-122oC. Элементный анализ для C33H33N3O4S 3/2H2O (%):вычислено: C 66,65; H 6,10; N 7,07; найдено: C 66,16; H 5,76; N 7,13. Спектр ПМР (200 МГц, хлороформ-d) [свободный амин]: 1,38 (3H, т, J=7,2 Гц), 2,14 (3H, с), 3,68 (3H, с), 3,87 (3H, с), 4,17 (2H, с), 4,39 (2H, квартет, J= 7,2 Гц), 5,21 (2H, с), 6,72 (2H, д), 6,69 (2H, т), 7,20 (4H, м), 7,35 (1H, т), 7,64 (2H, д), 8,37 (1H, с). ИК-спектр (KBr) [гидрохлорид]: 3454, 1690, 1603, 1499, 1386, 1317 см-1. Масс-спектр (FAB): m/z 568 (MH)+. Рабочий пример 16 Гидрохлорид 4,7-дигидро-5-гидроксиметил-3-(N-метил-N- бензиламинометил)-7-(2-метоксибензил)-2-(4-метоксифенил)-4-оксотиено [2,3-b]пиридина К раствору соединения 2, полученного в Рабочем примере 10 (0,390 г, 0,67 ммоль), в метиловом спирте (40 мл) добавляют водный раствор карбоната калия [получают из карбоната калия (0,185 г, 1,34 ммоль) и воды (8 мл)]. Смесь перемешивают при комнатной температуре в течение 30 минут, упаривают и остаток выливают в смесь этилацетата и водного раствора бикарбоната натрия. Органический слой отделяют и водный слой экстрагируют этилацетатом. Органические вытяжки объединяют, сушат (над сульфатом магния) и растворитель отгоняют при пониженном давлении, получая масло бледно-желтого цвета (0,36 г, 100%). Масло (0,10 г) растворяют в тетрагидрофуране (5 мл) и при охлаждении на бане со льдом добавляют 1 N раствор хлористого водорода в эфире (0,37 мл, 0,37 ммоль); смесь перемешивают при охлаждении на бане со льдом в течение 10 минут. Реакционную смесь упаривают при пониженном давлении и остаток перекристаллизовывают из эфира и получают соответствующий гидрохлорид (0,10 г, 100%) в виде кристаллов белого цвета с т.пл. 135-140oC. Элементный анализ для C32H33N2O4SCl (%): вычислено: C 66,60; H 5,76; N 4,85; найдено: C 66,57; H 5,90; N 4,54. Спектр ПМР (200 МГц, хлороформ-d) [свободный амин]: 2,76 (3H, с), 3,86 (3H, с), 3,89 (3H, с), 4,37 (2H, с), 4,45 (1H, уширенный с), 4,55 (1H, уширенный с), 4,77 (2H, с), 5,53 (2H, с), 6,94 (2H, д, J=8,2 Гц), 6,98 (1H, т, J= 7,4 Гц), 7,06 (2H, уширенный д), 7,3-7,45 (7H, м), 7,50 (1H, м), 8,27 (1H, с). ИК-спектр (KBr) [гидрохлорид]: 3388, 1607, 1499, 1460, 1253 см-1. Масс-спектр (FAB): m/z 541 (MH)+. Рабочий пример 17 Гидрохлорид 4,7-дигидро-7-(2-метоксибензил)-2-(4-метоксифенил)- 3-(N-метил-N-бензиламинометил)-4-оксотиено[2,3-b]пиридин-5-карбоксамида Безводный аммиак (22 мл) растворяют в толуоле (5 мл) при температуре минус 78oC и к полученному раствору при той же температуре добавляют раствор диизобутилалюминийгидрида в толуоле. Дают смеси нагреться до комнатной температуры и дополнительно перемешивают в течение 30 минут. К полученному раствору при комнатной температуре добавляют раствор соединения 15, полученного в Справочном примере 9 (0,25 г, 0,425 ммоль), в толуоле (4 мл). Смесь перемешивают при комнатной температуре в течение часа и выливают в смесь дихлорметана и воды. Органический слой отделяют и водную фазу экстрагируют дихлорметаном. Органические вытяжки объединяют, сушат (над сульфатом магния) и растворитель отгоняют при пониженном давлении. Остаток хроматографируют на силикагеле и получают бесцветные кристаллы. Кристаллы (0,130 г, 23 ммоль) растворяют в тетрагидрофуране (5 мл), при охлаждении в бане со льдом добавляют 1 N раствор хлористого водорода в эфире (0,46 мл, 0,46 ммоль) и смесь перемешивают при охлаждении на бане со льдом в течение 10 минут. Реакционную смесь упаривают при пониженном давлении и остаток перекристаллизовывают из эфира, получая соответствующий гидрохлорид (0,143 г, 100%) в виде кристаллов белого цвета с т.пл. 152-157oC. Элементный анализ для C32H32N3O4SCl (%): вычислено: C 66,71; H 5,60; N 4,86; найдено: C 66,28; H 5,80; N 4,51. Спектр ПМР (200 МГц, хлороформ-d) [свободный амин]: 2,84 (3H, с), 3,87 (3H, с), 3,88 (3H, с), 4,35 (1H, квартет, J=4,8 Гц), 4,6-4,8 (3H, м), 5,31 (2H, с), 6,09 (1H, с), 6,95 (1H, т, J=7,6 Гц), 6,99 (1H, т, J=7,6 Гц), 7,03 (2H, д, J=8,0 Гц), 7,30-7,36 (4H, м), 7,40-7,50 (5H, м), 8,94 (1H, с), 9,70 (1H, ш), 11,61 (1H, ш). ИК-спектр (KBr) [гидрохлорид]: 1663, 1605, 1578, 1502, 1255 см-1. Масс-спектр (FAB): m/z 554 (MH)+. Рабочий пример 18 Соединение 15, полученное в Рабочем примере 9, вводят во взаимодействие с различными производными аминов по методике, аналогичной приведенной в Рабочем примере 17, и получают соединения, представленные в Таблице 15. Рабочий пример 19 Этиловый эфир 4,7-дигидро-7-(2-метоксибензил)-2-(3-метоксифенил)- 3-метилоксотиено[2,3-b]пиридин-5-карбоновой кислоты К смеси соединения 7, полученного в Рабочем примере 3 (0,615 г, 1,41 ммоль), 3-метоксифенилборной кислоты (9,321 г, 2,11 ммоль), 2 М раствора карбоната натрия (3,53 мл, 7,06 ммоль) и 1,2-дихлорметана (30 мл) добавляют в атмосфере аргона тетракис(трифенилфосфин) палладий (О) (0,163 г, 0,141 ммоль) и кипятят с обратным холодильником в течение 24 часов. Охлаждают, добавляют этилацетат, нерастворимые вещества отфильтровывают через целит и фильтрат выливают в смесь этилацетата и водного раствора хлорида натрия. Органический слой отделяют и водную фазу экстрагируют этилацетатом. Органические вытяжки объединяют, промывают водным раствором хлорида натрия и сушат (над сульфатом магния). Растворитель отгоняют при пониженном давлении и остаток хроматографируют на силикагеле, получая аморфное вещество белого цвета (0,446 г, 68%). Элементный анализ для C26H25NO5S 0,5H2O (%):вычислено: C 66,08; H 5,55; N 2,96; найдено: C 66,33; H 5,40; N 2,91. Спектр ПМР (200 МГц, хлороформ-d): 1,41 (3H, т, J=7,1 Гц), 2,69 (3H, с), 3,84 (3H, с), 3,87 (3H, с), 4,39 (2H, квартет, J=7,1 Гц), 5,16 (2H, с), 6,87-7,02 (5H, м), 7,20-7,42 (3H, м), 8,42 (1H, с). ИК-спектр (KBr): 3440, 2638, 1727, 1688, 1607, 1493, 1465 см-1. Рабочий пример 20 Гидрохлорид этилового эфира 4,7-дигидро-2-(4-метоксифенил) -3-(N-метил-N-бензиламинометил)-7-(2-метилтиобензил)-4- оксотиено[2,3-b]пиридин-5-карбоновой кислоты Смесь соединения, полученного в Справочном примере 18 (0,12 г, 0,26 ммоль), карбоната калия (54 мг, 0,39 ммоль), 2-метилтиобензилхлорида (54 мг, 0,31 ммоль), йодида калия (18 мг, 0,1 ммоль) и диметилформамида (3 мл) перемешивают при температуре 50oC в течение 2 часов. Охлаждают и растворитель отгоняют при пониженном давлении. Остаток хроматографируют на силикагеле и растворяют в этилацетате (20 мл). К полученному раствору добавляют 1 N раствор хлористого водорода в эфире (0,33 мл) и смесь упаривают при пониженном давлении. Концентрат перекристаллизовывают из эфира, получая соответствующий гидрохлорид (0,1 г, 64%) в виде кристаллов бледно-желтого цвета с т.пл. 118-120oC. Элементный анализ для C34H34N2O4S2 HCl 0,4H2O (%):вычислено: C 63,57; H 5,62; N 4,36; найдено: C 63,81; H 5,82; N 4,49. Спектр ПМР (200 МГц, хлороформ-d): 2,52 (3H, с), 2,94 (3H, с), 3,88 (3H, с), 4,38 (3H, квартетоподобный, J=7,1 Гц), 4,60 (1H, уширенный с), 4,75 (1H, уширенный с), 5,39 (2H, с), 7,04 (2H, д, J= 8,7 Гц), 7,23-7,53 (11H, м), 8,39 (1H, с), 11,82 (1H, уширенный с). ИК-спектр (KBr): 3406, 2980, 1719, 1605, 1502 см-1. Рабочий пример 21 Используя в качестве исходного соединение, полученное в Справочном примере 18, проводят реакции с различными галогенпроизводными по методике, аналогичной приведенной в Рабочем примере 20, и получают соединения, представленные в Таблице 16. Рабочий пример 22 4,7-Дигидро-5-формил-7-(2-метоксибензил)-2-(4-метоксифенил)- 3-(N-метил-N-бензиламинометил)-4-оксотиено[2,3-b]пиридин К раствору соединения, полученного в Рабочем примере 16 (0,54 г, 0,10 ммоль), в хлороформе (10 мл) добавляют активный диоксид марганца (0,27 г) и смесь перемешивают при комнатной температуре в течение одного часа. Реакционную смесь отфильтровывают через целит и промывают фильтр хлороформом. Фильтрат объединяют и упаривают. Концентрат хроматографируют на силикагеле и получают твердое вещество желтого цвета, которое перекристаллизовывают из смеси этилацетат-эфир и получают кристаллы белого цвета (0,014 г, 25%) с т. пл. 181-185oC. Элементный анализ для C32H30N2O4S 0,8SiO2 (%):вычислено: C 65,51; H 5,15; N 4,77; найдено: C 63,25; H 5,30; N 5,25. Спектр ПМР (500 МГц, хлороформ-d): 3,85 (3H, с), 3,87 (3H, с), 3,8-4,0 (2H, ш), 4,33 (2H, с), 5,23 (2H, с), 6,9-7,1 (5H, м), 7,2-7,4 (7H, м), 7,64 (1H, д, J=7,9 Гц), 8,31 (1H, с), 10,45 (1H, с). ИК-спектр (KBr): 2934, 1688, 1603, 1502, 1386, 1255 см-1. Масс-спектр (FAB): m/z 539 (MH)+. Рабочий пример 23 Этиловый эфир 2-(4-ацетиламинофенил)-4,7-дигидро-7-(2-метоксибензил)- 3-(N-метил-N-бензиламинометил)-4-оксотиено[2,3-b] пиридин-5-карбоновой кислоты К раствору соединения, полученного в Рабочем примере 15 (0,11 г, 0,20 ммоль), добавляют при охлаждении на бане со льдом уксусный ангидрид (1 мл) и пиридин (0,29 г, 10,0 ммоль). Смесь перемешивают при комнатной температуре в течение 8 часов, выливают в насыщенный водный раствор бикарбоната натрия и экстрагируют дихлорметаном. Органические вытяжки промывают водным раствором хлорида натрия, сушат (над сульфатом магния) и растворитель отгоняют при пониженном давлении. Остаток хроматографируют на силикагеле и перекристаллизовывают из эфира, получая белый кристаллический порошок (0,17 г, 58%) с т.пл. 161-163oC. Спектр ПМР (500 МГц, ДМСО-d6): 1,35 (3H, т, J=7,2 Гц), 2,10 (3H, с), 2,58 (3H, с), 3,82 (3H, с), 4,2-4,4 (4H, м), 4,42 (1H, д), 4,58 (1H, д), 5,51 (2H, с), 6,70 (1H, т), 7,05 (1H, д), 7,1-7,3 (1H, м), 7,3-7,5 (7H, м), 7,68 (1H, с), 7,78 (2H, д), 8,88 (1H, с), 10,33 (1H, с). ИК-спектр (KBr): 3258, 1717, 1686, 1605, 1495, 1317, 1253 см-1. Масс-спектр (FAB): m/z 610 (MH)+. Рабочий пример 24 Этиловый эфир 4,7-дигидро-2-(4-формиламинофенил)-7-(2- метоксибензил)-3-(N-метил-N-бензиламинометил)-4-оксотиено[2,3-b] пиридин- 5-карбоновой кислоты К раствору соединения, полученного в Рабочем примере 15 (0,23 г, 4,00 ммоль), в дихлорметане (5 мл) добавляют при охлаждении на бане со льдом смесь уксусного ангидрида и муравьиной кислоты [получают, добавляя при охлаждении на бане со льдом муравьиную кислоту (99%, 6,00 ммоль) к уксусному ангидриду (0,41 г, 4,00 ммоль) и перемешивая при температуре 60oC в течение 2 часов] . Смесь перемешивают при комнатной температуре в течение 8 часов, выливают в насыщенный водный раствор бикарбоната натрия и экстрагируют дихлорметаном. Экстракт промывают водным раствором хлорида натрия, сушат (над сульфатом магния) и растворитель отгоняют при пониженном давлении. Остаток хроматографируют на силикагеле и перекристаллизовывают из смеси хлороформ-эфир, получая белые иглы (0,17 г, 72%) с т.пл. 185-187oC. Элементный анализ для C34H33N3O5S 0,5H2O (%)вычислено: C 67,53; H 5,67; N 6,95; найдено: C 67,04; H 5,28; N 6,97. Спектр ПМР (200 МГц, хлороформ-d): 1,38 (3H, т, J=7,2 Гц), 2,13 (3H, с), 3,65 (2H, с), 3,87 (3H, с), 4,17 (2H, с), 4,38 (2H, квартет), 5,18 (2H, с), 6,97 (2H, т), 7,1-7,3 (8H, м), 7,38 (1H, т), 7,5-7,7 (2H, м), 7,8-7,9 (2H, м), 8,40 (1H, с), 8,44 (1H, с). ИК-спектр (KBr): 3336, 2978, 1723, 1605, 1495, 1439, 1305 см-1. Масс-спектр (FAB): m/z 596 (MH)+. Рабочий пример 25 Используя в качестве исходных веществ соединение, полученное в Справочном примере 11, и производное соединения, синтезированного в Справочном примере 18 путем восстановления с использованием методики, приведенной в Справочном примере 11, получают по методике, аналогичной приведенной в Рабочем примере 4, соединения, представленные в Таблице 17. Рабочий пример 26 Используя в качестве исходного соединение, полученное в Рабочем примере 7, по методике, аналогичной приведенной в Рабочем примере 8, получают соединения, представленные в Таблице 18. Рабочий пример 27 Используя в качестве исходного соединение, полученное в Рабочем примере 26, по реакции, аналогичной описанной в Рабочем примере 15, получают соединения, представленные в Таблице 19. Рабочий пример 28 4,7-Дигидро-7-(2-фторбензил)-5-формил-2-(4-метоксифенил)-3-метил- 4-оксотиено[2,3-b]пиридин Соединение, полученное в Рабочем примере 25 (4,10 г), перемешивают в течение часа при комнатной температуре с диоксидом марганца (20,5 г) в хлороформе (120 мл). Реакционную смесь отфильтровывают через целит и фильтрат упаривают досуха, остаток хроматографируют на силикагеле, затем перекристаллизовывают из смеси хлористый метилен – этилацетат и получают бесцветные кристаллы (3,72 г, выход 83%). Спектр ПМР (200 МГц, хлороформ-d): 2,66 (3H, с), 3,85 (3H, с), 5,26 (2H, с), 6,96 (2H, д), 7,1-7,4 (6H, м), 8,17 (1H, с), 10,44 (1H, с). Рабочий пример 29 4,7-Дигидро-7-(2-фторбензил)-5-(1-гидроксиэтил)-2-(4- метоксифенил)-3-метил-4-оксотиено[2,3-b]пиридин Соединение, полученное в Рабочем примере 28 (1,0 г), растворяют в безводном тетрагидрофуране (50 мл). К полученному раствору при охлаждении на бане со льдом добавляют метилмагнийбромид (0,35 г), дают смеси нагреться до комнатной температуры и перемешивают в течение трех часов. Реакционную смесь отфильтровывают через целит и фильтрат упаривают досуха. К остатку добавляют насыщенный водный раствор хлорида аммония (20 мл) и этилацетат (20 мл) и полученную смесь перемешивают. Органический слой отделяют, водную фазу экстрагируют этилацетатом (20 мл). Органические вытяжки объединяют и сушат. Растворитель отгоняют при пониженном давлении, остаток хроматографируют на силикагеле и получают аморфное вещество желтого цвета (1,10 г, выход 100%). Спектр ПМР (200 МГц, хлороформ-d): 1,55 (3H, д), 2,66 (3H, с), 3,48 (3H, с), 4,94 (1H, квартет), 5,20 (2H, с), 6,95 (2H, д), 7,1-7,2 (3H, м), 7,3-7,4 (3H, м), 7,44 (1H, c). Рабочий пример 30 Соединение, полученное в Рабочем примере 28, вводят в реакции, используя вместо метилмагнийбромида различные реактивы Гриньяра, в соответствии с методикой, аналогичной приведенной в Рабочем примере 29, и получают соединения, представленные в Таблице 20. Рабочий пример 31 5-Ацетил-4,7-дигидро-7-(2-фторбензил)-2-(4-метоксифенил)-3-метил- 4-оксотиено[2,3-b]пиридин Соединение, полученное в Рабочем примере 29 (0,50 г), перемешивают в течение трех часов в хлороформе (50 мл) вместе с диоксидом марганца при температуре 40oС. Реакционную смесь отфильтровывают через целит и фильтрат упаривают досуха, остаток перекристаллизовывают из смеси гексан-этилацетат и получают бесцветные кристаллы (0,35 г, выход 70%) с т.пл. 215-216oC. Элементный анализ для C24H20NO3S (%): вычислено: C 68,44; H 4,78; N 3,33; найдено: C 68,35; H 4,70; N 3,41. Спектр ПМР (200 МГц, хлороформ-d): 2,66 (3H, с), 2,78 (3H, с), 3,85 (3H, с), 5,25 (2H, с), 6,96 (2H, д), 7,1-7,5 (6H, м), 8,37 (1H, с). Масс-спектр (FAB): m/z 422 (MH)+. Рабочий пример 32 Используя в качестве исходного соединение, полученное в Рабочем примере 30, по методике, аналогичной приведенной в Рабочем примере 31, получают соединения, представленные в Таблице 21. Рабочий пример 33 5-Ацетил-3-бромметил-4,7-дигидро-7-(2-фторбензил)-2-(4- метоксифенил)-4-оксотиено[2,3-b]пиридин Соединение, полученное в Рабочем примере 31 (0,32 г), растворяют в четыреххлористом углероде (60 мл). Полученный раствор кипятят с обратным холодильником в течение двух часов с N-бромсукцинимидом (0,144 г) и ,![]() -азобисизобутиронитрилом (0,013 г). Охлаждают и разбавляют хлороформом. Смесь промывают насыщенным водным раствором бикарбоната натрия (20 мл), сушат и растворитель упаривают при пониженном давлении. Остаток хроматографируют на силикагеле и получают аморфное вещество желтого цвета, которое перекристаллизовывают из смеси хлороформ – изо-пропиловый эфир – этилацетат и получают бесцветные иглы (0,29 г, выход 75%) с т.пл. 226-228oC.
Спектр ПМР (200 МГц, хлороформ-d): 2,81 (3H, с), 3,86 (3H, с), 5,03 (2H, с), 5,26 (2H, с), 7,03 (2H, д), 7,1-7,5 (4H, м), 7,55 (2H, д), 8,38 (1H, c).
Рабочий пример 34Используя в качестве исходных веществ соединения, полученные в Рабочем примере 32, по методике, аналогичной приведенной в Рабочем примере 33, получают соединения, представленные в Таблице 22. Рабочий пример 35 5-Ацетил-4,7-дигидро-7-(2-фторбензил)-2-(4-метоксифенил)-3- (N-метил-N-бензиламинометил)-4-оксотиено[2,3-b]пиридин Соединение, полученное в Рабочем примере 33 (0,25 г), растворяют в диметилформамиде (20 мл). К полученному раствору при комнатной температуре добавляют диизопропилэтиламин (0,079 г) и N-бензилметиламин (0,074 г). Смесь перемешивают в течение 90 минут при комнатной температуре и упаривают досуха при пониженном давлении. Остаток выливают в смесь этилацетата (100 мл) и насыщенного водного раствора бикарбоната натрия (50 мл). Водную фазу экстрагируют этилацетатом. Органические вытяжки объединяют и сушат. Растворитель отгоняют при пониженном давлении и остаток хроматографируют на силикагеле, получая аморфное вещество желтого цвета (0,27 г). Его растворяют в хлористом метилене (5 мл) и к полученному раствору при охлаждении на бане со льдом добавляют 1 N раствор хлористого водорода в эфире (1 мл). Выпавший кристаллический осадок отделяют фильтрованием и получают целевое соединение (0,22 г, выход 77%) с т.пл. 185-193oC. Элементный анализ для C32H30N2O3SClF 2H2O (%):вычислено: C 62,68; H 5,59; N 4,57; найдено: C 63,16; H 5,62; N 4,56. Спектр ПМР (200 МГц, хлороформ-d): 2,80 (3H, с), 2,87 (3H, с), 3,88 (3H, с), 4,3-4,4 (1H, м), 4,6-4,8 (3H, м), 5,35 (2H, c), 7,03 (2H, д), 7,2-7,5 (11H, м), 8,48 (1H, c), 11,8 (1H, уширенный с). Масс-спектр (FAB): m/z 542 (MH)+. Рабочий пример 36 Используя в качестве исходных веществ соединения, полученные в Рабочем примере 34, по реакциям, аналогичным описанным в Рабочем примере 35, получают соединения, представленные в Таблице 23. Рабочий пример 37 Этиловый эфир 4,7-дигидро-7-(2-фторбензил)-3-(N-метил-N- бензиламинометил)-2-(4-N’-метилуреидофенил)-4-оксотиено[2,3-b] пиридин- 5-карбоновой кислоты К раствору соединения, полученного в Рабочем примере 26 (0,11, 0,20 ммоль) в тетрагидрофуране (5 мл) добавляют пиридин (0,5 мл) и к полученной смеси по каплям и при охлаждении на бане со льдом добавляют метилизоцианат (0,064 мл). Смесь перемешивают при комнатной температуре в течение 4 часов, а затем упаривают при пониженном давлении. Концентрат растворяют в хлороформе, промывают водным раствором хлорида натрия и сушат (над сульфатом натрия). Растворитель упаривают при пониженном давлении и остаток хроматографируют на силикагеле, а затем перекристаллизовывают из смеси этанол – этилацетат и получают иглы белого цвета (0,09 г, 73%) с т.пл. 216-220oC. Элементный анализ для C34H33NOSF 2H2O (%):вычислено: C 62,95; H 5,75; N 8,64; найдено: C 63,22; H 5,60; N 8,39. Спектр ПМР (500 МГц, ДМСО-d6): 1,44 (3H, т), 2,25 (3H, уширенный с), 2,84 (3H, с), 4,35 (3H, уширенный с), 4,43 (2H, квартет), 4,90 (2H, уширенный с), 5,62 (2H, с), 7,20-7,32 (7H, м), 7,45-7,60 (6H, м), 8,85 (1H, с). ИК-спектр (KBr): 3308, 1698, 1605, 1499, 1319, 1236, 1183 с-1. Масс-спектр (FAB): m/z 613 (MH)+. Рабочий пример 38 Используя в качестве исходных веществ соединения, полученные в Рабочем примере 27, по реакциям, аналогичным описанным в Рабочих примерах 23, 24 и 37, получают соединения, в виде их гидрохлоридов, представленных в Таблице 24. Рабочий пример 39 Гидрохлорид 5-бензилметиламинометил-2,4(1H, 3H)-диоксо-1-(2- фторбензил)-6-(4-метоксифенил)-3-фенилтиено[2,3-d]пиримидина К раствору соединения 15, полученного в Справочном примере 29 (0,150 г, 0,310 ммоль), в диметилформамиде (10 мл) при охлаждении на бане со льдом добавляют этилдиизопропиламин (0,08 мл, 0,460 ммоль) и метилбензиламин (0,05 мл, 0,370 ммоль). Перемешивают в течение 2 часов при комнатной температуре, реакционную смесь упаривают и остаток выливают в смесь этилацетата и насыщенного водного раствора бикарбоната натрия. Водную фазу экстрагируют этилацетатом, органические вытяжки объединяют и сушат (над сульфатом магния). Растворитель отгоняют при пониженном давлении и остаток хроматографируют на силикагеле получая бесцветное масло (0,159 г, 97%). Масло растворяют в этилацетате (4 мл) и к полученному раствору при охлаждении на бане со льдом добавляют 1 N раствор хлористого водорода в эфире (0,3 мл). Перемешивают в течение 10 минут при охлаждении на бане со льдом, упаривают при пониженном давлении и остаток перекристаллизовывают из смеси этилацетат – эфир, получая целевой гидрохлорид (0,144 г) с т.пл. 140-143oC (гидрохлорид). Элементный анализ для C35H30N3O3SF HCl H2O (%):вычислено: C 65,05; H 5,14; N 6,50; найдено: C 65,14; H 5,03; N 6,37. Спектр ПМР (200 МГц, хлороформ-d) [свободный амин]: 2,07 (3H, с), 3,57 (2H, с), 3,86 (3H, с), 3,90 (3H, с), 5,30 (2H, с), 6,94 (2H, д, J=8,8 Гц), 7,05-7,60 (14H, м), 7,66 (2H, д, J=8,8 Гц). ИК-спектр (KBr) [гидрохлорид]: 1711, 1665, 1543, 1477 см-1. Рабочий пример 40 Используя в качестве исходных веществ соединения, полученные в Справочном примере 28, по методике, аналогичной приведенной в Рабочем примере 39, получают соединения, представленные в Таблице 25. Рабочий пример 41 Этиловый эфир 3-цианометил-4,7-дигидро-7-(2-фторбензил)-2- (4-метоксифенил)-4-оксотиено[2,3-b]пиридин-5-карбоновой кислоты К суспензии соединения, полученного в Рабочем примере 7 (Соединение номер 10) (0,80 г, 1,51 ммоль), в диметилсульфоксиде добавляют при комнатной температуре цианид натрия (0,084 г, 1,66 ммоль). Нагревают реакционную смесь до 60oC и перемешивают в течение 4 часов. Охлаждают до комнатной температуры и выливают смесь в воду. Экстрагируют этилацетатом (50 мл х 2), экстракт промывают водой и сушат. Полученный раствор упаривают досуха и получают масло бледно-желтого цвета (0,77 г). Полученный продукт используют в Рабочем примере 42 без дальнейшей очистки. Рабочий пример 42 Этиловый эфир 4,7-дигидро-3-этоксикарбонилметил-7-(2-фторбензил)- 2-(4-метоксифенил)-4-оксотиено[2,3-b]пиридин-5-карбоновой кислоты К раствору соединения, полученного в Рабочем примере 41 (0,77 г), в безводном этаноле (250 мл) по каплям добавляют при перемешивании при комнатной температуре концентрированную серную кислоту (50 капель). Кипятят полученную смесь с обратным холодильником в течение 15 часов. Нейтрализуют смесь при охлаждении на бане со льдом избытком водного раствора бикарбоната натрия и экстрагируют этилацетатом (500 мл х 3). Экстракт промывают водой, сушат и упаривают при пониженном давлении, получая твердое вещество коричневатого цвета (0,72 г). Его хроматографируют на силикагеле и получают кристаллы, которые перекристаллизовывают из смеси этилацетат – гексан и получают бесцветные кристаллы (0,28 г, сквозной выход 35%) с т.пл. 199-201oC. Элементный анализ для C28H26NO6SF 0,7H2O (%):вычислено: C 62,72; H 5,02; N 2,61; найдено: C 62,57; H 4,84; N 2,53. Спектр ПМР (300 МГц, хлороформ-d) [свободный амин]: 1,38 (3H, т, J=7,2 Гц), 2,68 (3H, т, J=7,2 Гц), 3,84 (3H, с), 4,04 (2H, с), 4,16 (2H, квартет, J= 7,2 Гц), 4,37 (2H, квартет, J=7,2 Гц), 5,23 (2H, с), 6,92-7,42 (8H, м), 8,36 (1H, с). ИК-спектр (KBr): 3430, 1727, 1611, 1502, 1255, 1183, 1033, 762, 520 см-1. Рабочий пример 43 Этиловый эфир 4,7-дигидро-7-(2-фторбензил)-3-гидроксиэтил-2- (4-метоксифенил)-4-оксотиено[2,3-b]пиридин-5-карбоновой кислоты К раствору соединения (0,21 г), полученного в Рабочем примере 42, в безводном тетрагидрофуране добавляют при охлаждении на бане со льдом алюмогидрид лития. Дают реакционной смеси нагреться до комнатной температуры и перемешивают еще в течение часа, выливают в насыщенный водный раствор хлорида аммония и экстрагируют этилацетатом (100 мл х 3). Экстракт промывают водным раствором хлорида аммония, сушат и отфильтровывают. Фильтрат упаривают при пониженном давлении и получают твердое вещество, которое хроматографируют на силикагеле и получают аморфное вещество бледно-желтого цвета (0,16 г, 66%). Спектр ПМР (300 МГц, хлороформ-d): 0,90 (3H, т, J=7,2 Гц), 1,70 (1H, уширенный с), 3,29 (2H, т, J=6,0 Гц), 3,84 (3H, с), 4,20-4,23 (2H, м), 4,37 (2H, квартет, J=7,2 Гц), 5,29 (2H, с), 6,93- 7,34 (8H, м), 8,45 (1H, с). Масс-спектр (FAB): m/z 482 (MH)+. Рабочий пример 44 Этиловый эфир 4,7-дигидро-7-(2-фторбензил)-2-(4-метоксифенил)-3- (N-метил-N-бензиламиноэтил)-4-оксотиено[2,3-b]пиридин-5-карбоновой кислоты К раствору соединения, полученного в Рабочем примере 43 (0,08 г, 0,67 ммоль), в хлористом метилене (5 мл) при охлаждении на бане со льдом добавляют избыток трибромида фосфора. Дают реакционной смеси нагреться до комнатной температуры, перемешивают еще в течение часа и добавляют этилацетат (20 мл). Промывают полученную смесь водой и сушат. Фильтрат упаривают при пониженном давлении и получают твердое вещество. Его растворяют в диметилформамиде (5 мл) и добавляют избыток диизопропилэтиламина (110 мг) и N-бензилметиламин (100 мг). Перемешивают реакционную смесь еще в течение часа, добавляют этилацетат (20 мл), промывают насыщенным водным раствором бикарбоната натрия и насыщенным водным раствором соли и сушат. Высушенный раствор упаривают при пониженном давлении и получают твердое вещество, которое хроматографируют на силикагеле и получают аморфное вещество бледно-желтого цвета (0,005 г, 4%). Спектр ПМР (300 МГц, хлороформ-d): 1,40 (3H, т, J=7,2 Гц), 2,70 (3H, с), 3,30-3,60 (4H, м), 3,83 (3H, с), 4,06 (2H, с), 4,40 (2H, квартет, J=7,2 Гц), 5,28 (2H, с), 6,56-7,51 (13H, м), 8,45 (1H, c). Масс-спектр (FAB): m/z 585 (MH)+. Рабочий пример 45 5-(1-Ацетоксиэтил)-4,7-дигидро-7-(2-фторбензил)-2-(4-метоксифенил)- 3-метил-4-оксотиено[2,3-b]пиридин К раствору соединения, полученного в Рабочем примере 29 (0,55 г, 1,32 ммоль), в пиридине (25 мл) при охлаждении на бане со льдом добавляют безводную уксусную кислоту (2,69 г, 26,3 ммоль). Дают реакционной смеси нагреться до комнатной температуры и перемешивают еще в течение 24 часов. Упаривают реакционную смесь при пониженном давлении и остаток выливают в смесь этилацетата (50 мл) и 1 N раствора соляной кислоты (10 мл). Водную фазу экстрагируют этилацетатом, органические вытяжки объединяют, промывают насыщенным водным раствором хлорида натрия и сушат. Высушенный раствор упаривают при пониженном давлении и получают твердое вещество, которое хроматографируют на силикагеле, получая твердое вещество бледно-желтого цвета (0,67 г). Его перекристаллизовывают из смеси этилацетат – гексан и получают бесцветные кристаллы (0,492 г, 81%) с т.пл. 145-146oC. Спектр ПМР (200 МГц, хлороформ-d): 1,56 (3H, д, J=6,5 Гц), 2,07 (3H, с), 2,66 (3H, с), 3,04 (3H, с), 5,19 (2H, с), 6,13 (1H, квартет, J=6,5 Гц), 6,94 (2H, д, J=8,8 Гц), 7,10-7,50 (6H, м), 7,53 (1H, с). Рабочий пример 46 5-(1-Ацетоксиэтил)-4,7-дигидро-7-(2-фторбензил)-2-(4- метоксифенил)-3-(N-метил-N-бензиламинометил)-4-оксотиено[2,3-b]пиридин К раствору соединения 13, полученного в Рабочем примере 7 (0,15 г, 0,28 ммоль), в диметилформамиде (15 мл) добавляют при комнатной температуре диизопропиламин (0,094 г, 0,34 ммоль) и N-бензилметиламин (0,041 г, 0,34 ммоль). Перемешивают в течение часа и реакционную смесь упаривают при пониженном давлении. Остаток выливают в смесь этилацетата (50 мл) и насыщенного водного раствора бикарбоната натрия (10 мл). Водную фазу экстрагируют этилацетатом, органические вытяжки объединяют, промывают насыщенным водным раствором хлорида натрия и сушат. Высушенный раствор упаривают при пониженном давлении и получают твердое вещество, которое хроматографируют на силикагеле, получая твердое вещество бледно-желтого цвета (0,05 г). Его перекристаллизовывают из смеси этилацетат – диэтиловый эфир и получают бесцветные кристаллы (0,05 г, 29%) с т.пл. 183-187oC. Элементный анализ для C34H33N2O4SF 2H2O (%):вычислено: C 65,79; H 6,00; N 4,51; найдено: C 63,69; H 5,55; N 5,02. Спектр ПМР (500 МГц, хлороформ-d): 1,59 (3H, д, J=6,9 Гц), 2,09 (3H, с), 2,88 (3H, д, J=4,7 Гц), 3,88 (3H, с), 4,40 (1H, м), 4,5-4,7 (1H, м), 5,46 (2H, с), 6,16 (1H, м), 7,08 (2H, д, J=7,2 Гц), 7,16 (1H, т, J=9,5 Гц), 7,22 (1H, т, J=7,6 Гц), 7,3-7,4 (3H, м), 7,4-7,5 (6H, м), 7,97 (1H, с). Масс-спектр (FAB): m/z 585 (MH)+. Рабочий пример 47 Используя в качестве исходного соединение, полученное в Рабочем примере 7, по методике, аналогичной приведенной в Рабочем примере 46, получают соединения, представленные в Таблице 26. Рабочий пример 48 4,7-Дигидро-7-(2-фторбензил)-5-(1-гидроксиэтил)-2-(4-метоксифенил)- 3-(N-метил-N-бензиламинометил)-4-оксотиено[2,3-b]пиридин К раствору соединения, полученного в Рабочем примере 46 (0,15 г, 0,28 ммоль), в метаноле (5 мл) добавляют водный раствор карбоната калия (получают, растворяя 0,012 г карбоната калия в 1 мл воды), перемешивают полученную смесь в течение 3 часов и упаривают при пониженном давлении. Остаток выливают в смесь этилацетата (20 мл) и насыщенного водного раствора бикарбоната натрия (10 мл). Водную фазу экстрагируют этилацетатом, органические вытяжки объединяют, промывают насыщенным водным раствором хлорида натрия и сушат. Высушенный раствор упаривают при пониженном давлении и получают твердое вещество (0,018 г, 77%) с т.пл. 183-187oC. Элементный анализ для C32H31N2O3SF H2O (%):вычислено: C 68,55; H 5,93; N 5,00; найдено: C 68,69; H 5,79; N 4,92. Спектр ПМР (500 МГц, хлороформ-d): 1,56 (3H, д, J=6,4 Гц), 2,16 (3H, с), 3,68 (2H, уширенный с), 3,86 (3H, с), 4,17 (2H, с), 4,7-4,9 (1H, уширенный с), 4,97 (1H, квартет, J= 6,4 Гц), 5,22 (2H, с), 6,95 (2H, д, J=6,9 Гц), 7,1-7,3 (5H, м), 7,13-7,18 (3H, м), 7,37 (1H, м), 7,46 (1H, с), 7,74 (2H, д, J=8,6 Гц). Масс-спектр (FAB): m/z 543 (MH)+. Рабочий пример 49 Используя в качестве исходного соединение, полученное в Рабочем примере 27, по методикам, аналогичным приведенным в Рабочих примерах 23, 24 и 37, получают соединения, представленные в Таблице 27. Рабочий пример 50 4, 7-Дигидро-7-(2,6-дифторбензил)-3-(N-метил-N-бензиламинометил)- 2-(4-нитрофенил)-4-оксотиено[2,3-b]пиридин-5-(N-изопропил) карбоксамид К раствору изопропиламина (0,296 г, 5 ммоль) в безводном хлористом метилене (5 мл) при температуре 0oC по каплям добавляют раствор триметилалюминия в гексане (15%, 2,41 мл, 5,0 ммоль). Дают смеси нагреться до комнатной температуры и перемешивают еще в течение часа. К полученному раствору в течение 30 минут при охлаждении на бане со льдом добавляют раствор соединения 2, полученного в Рабочем примере 26 (0,12 г, 0,25 ммоль), в безводном хлористом метилене (3 мл). Перемешивают смесь при комнатной температуре еще в течение часа, добавляют хлороформ (50 мл) и промывают смесь водой. Органический слой отделяют, сушат над сульфатом натрия и упаривают, получая твердое вещество. Его перекристаллизовывают из смеси хлороформ – этилацетат – этиловый эфир, получая бесцветные кристаллы (0,096 г, 70%) с т.пл. 200-202oC. Спектр ПМР (500 МГц, хлороформ-d) [свободный амин]: 1,30 (6H, д, J=6,7 Гц), 2,15 (3H, с), 3,66 (2H, с), 4,18 (2H, с), 4,18-4,31 (1H, м), 5,32 (2H, с), 7,00 (2H, д, J=7,26 Гц), 7,13-7,25 (5H, м), 7,42 (1H, т, J=7,3 Гц), 8,02 (2H, д, J= 8,9 Гц), 8,26 (2H, д, J=8,9 Гц), 8,73 (1H, c), 10,02 (1H, д, J= 9,1 Гц). ИК-спектр (KBr): 2974, 1661, 1597, 1547, 1497, 1346, 1212, 1035 см-1. Масс-спектр (FAB): m/z 617 (MH)+. Рабочий пример 51 Используя в качестве исходных веществ соединения, полученные в Справочных примерах 26, 27, 37, 38 и 49, по методике, аналогичной приведенной в Рабочем примере 50, получают соединения, представленные в Таблице 28 и Таблице 29. Рабочий пример 52 5-Бензоил-(2,6-дифторбензил)-4,7-дигидро-7-3-метил-2-(4- нитрофенил)-4-оксотиено[2,3-b]пиридин Соединение 4, полученное в Рабочем примере 12 (3,93 г, 7,87 ммоль), растворяют при осторожном нагревании в безводном тетрагидрофуране. К полученному раствору по каплям, поддерживая температуру на уровне 0oC, добавляют в течение 10 минут раствор фенилмагнийбромида в тетрагидрофуране (1 М, 15,7 мл, 15,7 ммоль) и перемешивают смесь еще в течение часа. Реакционную смесь выливают в смесь этилацетата (300 мл) и воды (50 мл). Водную фазу экстрагируют этилацетатом, органические вытяжки объединяют, сушат над сульфатом магния и упаривают при пониженном давлении. Концентрат хроматографируют на силикагеле, получая кристаллы желтого цвета (3,00 г, 74%), которое перекристаллизовывают из смеси этилацетат-гексан; т.пл. 114-116oC. Элементный анализ для C28H18N2O4SF2 0,77H2O (%):вычислено: C 63,56; H 3,70; N 5,29; найдено: C 63,83; H 3,95; N 5,08. Спектр ПМР (500 МГц, хлороформ-d): 2,68 (3H, с), 5,30 (3H, с), 7,02 (2H, т, J=8,1 Гц), 7,43 (3H, т, J=7,2 Гц), 7,52-7,63 (3H, м), 7,86 (2H, д, J=7,5 Гц), 7,99 (1H, с), 8,30 (2H, д, J=8,7 Гц). ИК-спектр (KBr): 3422, 3068, 1665, 1615, 1491, 1473, 1346, 853 см-1. Масс-спектр (FAB): m/z 517 (MH)+. Рабочий пример 53 Используя в качестве исходных веществ соединения, полученные в Справочном примере 51, по методике, аналогичной приведенной в Рабочем примере 52, получают соединения, представленные в Таблице 30. Рабочий пример 54 2-(4-Аминофенил)-5-бензоил-7-(2,6-дифторбензил)-4,7-дигидро- 3-(N-метил-N-бензиламинометил)-4-оксотиено[2,3-b]пиридин К смеси соединения 1, полученного в Рабочем примере 47 (0,30 г, 0,47 ммоль), в этиловом спирте (6 мл) добавляют одну каплю концентрированной соляной кислоты, при этом смесь превращается в гомогенный раствор. К раствору порциями добавляют порошок железа (0,105 г, 2,0 ммоль) и концентрированную соляную кислоту (0,39 мл, 4,7 ммоль). Перемешивают 5 часов при комнатной температуре и реакционную смесь отфильтровывают через целит. К фильтрату добавляют небольшое количество водного раствора аммиака, а затем упаривают при пониженном давлении. Концентрат выливают в ледяную воду, нейтрализуют бикарбонатом натрия и экстрагируют этилацетатом. Органические вытяжки объединяют, промывают водным раствором хлорида натрия, сушат над сульфатом магния и упаривают при пониженном давлении. Остаток хроматографируют на силикагеле, а затем перекристаллизовывают из изо-пропилового эфира и получают желтые иглы (0,24 г, 84%) с т.пл. 126-128oC. Элементный анализ для C36H29N3O2 SF2 1/2H2O (%):вычислено: C 68,93; H 5,04; N 6,70; найдено: C 68,71; H 5,18; N 6,62. Спектр ПМР (300 МГц, хлороформ-d): 2,13 (3H, с), 3,65 (2H, с), 3,87 (2H, уширенный с), 4,14 (2H, с), 5,28 (2H, с), 6,74 (2H, д, J=8,7 Гц), 7,00 (2H, т, J=7,8 Гц), 7,16-7,24 (5H, м), 7,36-7,46 (3H, м), 7,53 (1H, т, J=7,2 Гц), 7,62 (2H, д, J=8,4 Гц), 7,89 (2H, д, J=7,2 Гц), 7,94 (1H, c). ИК-спектр (KBr): 3358, 1607, 1495, 1473, 1035 см-1. Масс-спектр (FAB): m/z 606 (МН)+. Рабочий пример 55 2-(4-Аминофенил)-7-(2,6-дифторбензил)-4,7-дигидро-5-изобутирил- 3-(N-метил-N-бензиламинометил)-4-оксотиено[2,3-b]пиридин К смеси соединения 2, полученного в Рабочем примере 47 (0,25 г, 0,415 ммоль), в метаноле (5 мл) добавляют порциями при охлаждении на бане со льдом порошок железа (0,093 г, 1,66 ммоль) и концентрированную соляную кислоту (0,8 мл). Перемешивают 1 час при комнатной температуре и реакционную смесь отфильтровывают через целит. К фильтрату добавляют насыщенный водный раствор бикарбоната натрия (10 мл) и экстрагируют хлористым метиленом (30 мл х 3). Органические вытяжки объединяют и промывают водой, сушат (над сульфатом магния) и растворитель упаривают при пониженном давлении. Остаток хроматографируют на силикагеле и получают аморфное вещество желтого цвета (0,203 г, 86%). Спектр ПМР (300 МГц, хлороформ-d): 1,18 (6H, д), 2,11 (3H, с), 3,65 (2H, с), 3,85 (2H, уширенный с), 4,17 (2H, с), 4,18 (1H, м), 5,25 (2H, с), 6,73 (2H, д), 6,95 (2H, т), 7,10-7,26 (5H, м), 7,42 (1H, м), 7,58 (2H, д), 8,27 (1H, c). Рабочий пример 56 5-Бензоил-7-(2,6-дифторбензил)-4,7-дигидро-3-(N-метил-N- бензиламинометил)-2-(4-пропиониламидофенил)-4-оксотиено[2,3-b]пиридин Соединение, полученное в Рабочем примере 54 (0,14 г, 0,23 ммоль), растворяют в безводном хлористом метилене (2 мл). К полученному раствору при охлаждении на бане со льдом (0oC) добавляют триэтиламин (0,038 мл). Перемешивают в течение некоторого времени и к смеси добавляют хлористый пропионил (0,021 мл, 0,243 ммоль). Смесь при охлаждении на бане со льдом перемешивают еще в течение 40 минут и выливают в смесь хлористого метилена (25 мл) и сильно разбавленного водного раствора бикарбоната натрия (1 мл). Водный слой вновь экстрагируют хлористым метиленом. Органические вытяжки объединяют, промывают водным раствором хлорида натрия, сушат (над сульфатом магния) и растворитель упаривают при пониженном давлении, получая твердое вещество. Его перекристаллизовывают из смеси этилацетат – изо-пропиловый эфир и получают иглы желтого цвета (0,10 г, 65%) с т.пл. 226-228oC. Элементный анализ для C39H33N3O3 SF2 0,7H2O (%):вычислено: C 69,46; H 5,14; N 6,23; найдено: C 69,60; H 5,18; N 6,04. Это соединение растворяют в этилацетате и добавляют насыщенный раствор хлористого водорода в эфире (эквимолярное количество или небольшой избыток) и получают кристаллы. Их перекристаллизовывают из изо-пропилового эфира и получают иглы бледно-желтого цвета (0,095 г, 61%) с т.пл. 218-220oC. Элементный анализ для C39H33N3O3 SF2 HCl 3,5H2O (%):вычислено: C 61,53; H 5,43; N 5,52; найдено: C 61,83; H 5,33; N 5,30. Спектр ПМР (300 МГц, ДМСО-d6): 1,11 (3H, т, J=7,2 Гц), 1,93 (3H, с), 2,35 (2H, квартет, J= 7,5 Гц), 3,44 (2H, с), 4,00 (2H, с), 5,62 (2H, с), 7,11-7,25 (6H, м), 7,43-7,72 (10H, м), 7,79 (2H, д, J=7,5 Гц), 8,40 (1H, c), 10,03 (1H, c). ИК-спектр (KBr): 3422, 3068, 1603, 1502, 1473, 1035 см-1. Масс-спектр (FAB): m/z 662 (MH)+. Рабочий пример 57 Используя в качестве исходных веществ соединения, полученные в Справочных примерах 54 и 55, по методикам, аналогичным приведенным в Рабочих примерах 56 и 23, 24, 27 и 38, получают соединения, представленные в Таблице 31. Рабочий пример 58 5-Бензоил-7-(2,6-дифторбензил)-4,7-дигидро-3-(N-метил-N- бензиламинометил)-2-(4-нитрофенил)-4-оксотиено[2,3-b]пиридин Соединение 9, полученное в Рабочем примере 51 (1,91 г, 3,09 ммоль), растворяют при нагревании в безводном тетрагидрофуране (30 мл). К полученному раствору при охлаждении на бане со льдом (0oC) по каплям в течение 10 минут добавляют раствор фенилмагнийбромида в тетрагидрофуране (1 М, 6,18 мл, 6,2 ммоль). Перемешивают в течение часа при охлаждении на бане со льдом и выливают в смесь этилацетата (100 мл) и разбавленного раствора соляной кислоты (0,5 N, 100 мл). Органический слой отделяют, еще раз промывают водным раствором хлорида натрия, сушат (над сульфатом магния) и растворитель упаривают при пониженном давлении. Остаток хроматографируют на силикагеле и получают кристаллы желтого цвета (1,00 г, 51%), которые затем перекристаллизовывают из изо-пропилового эфира и получают иглы желтого цвета с т.пл. 197-199oC. Элементный анализ для C36H27N3O4 SF2 0,7H2O (%):вычислено: C 66,70; H 4,42; N 6,48; найдено: C 66,59; H 4,48; N 6,42. Спектр ПМР (300 МГц, CDCl3): 2,17 (3H, с), 3,61 (2H, с), 4,16 (2H, с), 5,30 (2H, с), 7,03 (2H, т, J=8,1 Гц), 7,19-7,25 (5H, м), 7,40-7,47 (3H, м), 7,56 (2H, т, J=7,5 Гц), 7,88 (2H, д, J=6,9 Гц), 7,96 (1H, c), 8,10 (2H, д, J=8,7 Гц), 8,28 (2H, д, J=8,7 Гц). ИК-спектр (KBr): 3430, 1663, 1611, 1518, 1473, 1348, 853 см-1. Масс-спектр (FAB): m/z 636 (MH)+. Рабочий пример 59 Используя в качестве исходных веществ соединения 2, 9 и 16, полученные в Справочном примере 51, по методике, аналогичной приведенной в Рабочем примере 58, получают соединения, представленные в Таблице 32. Эта методика является альтернативным способом получения соединений, описанных в Рабочих примерах 56 и 57. Рабочий пример 60 6-(4-Аминофенил)-2,4(1H, 3H)-диоксо-1-(2-фторбензил)-3-фенил-5- (N-метил-N-бензиламинометил)тиено[2,3-d]пиримидин Соединение 4, полученное в Рабочем примере 40 (0,15 г, 0,247 ммоль), растворяют в этаноле (15 мл) и добавляют 10%-ный палладий на угле (15 мг). Гидрируют в атмосфере водорода в течение 8 часов при комнатной температуре под давлением одна атмосфера. Реакционную смесь отфильтровывают через целит и фильтрат упаривают при пониженном давлении. Концентрат хроматографируют на силикагеле и получают аморфное вещество желтого цвета (0,046 г, 32%). Спектр ПМР (300 МГц, CDCl3): 2,05 (3H, с), 3,57 (2H, с), 3,81 (2H, уширенный с), 3,89 (2H, с), 5,29 (2H, с), 6,69 (2H, д, J= 8,7 Гц), 7,05-7,56 (16H, м). Масс-спектр (FAB): m/z 577 (MH)+. Рабочий пример 61 6-(4-Ацетиламинофенил)-2,4(1H, 3H)-диоксо-1-(2-фторбензил)-3-фенил- 5-(N-метил-N-бензиламинометил)-3-фенилтиено[2,3-d]пиримидин Соединение, полученное в Рабочем примере 60 (0,63 г, 0,11 ммоль), растворяют в безводном пиридине (5 мл) и добавляют уксусный ангидрид (0,01 мл, 0,11 ммоль). Смесь перемешивают в течение двух часов при комнатной температуре и упаривают при пониженном давлении. Концентрат выливают в смесь хлористого метилена (30 мл) и насыщенного водного раствора хлорида натрия (10 мл). Органический слой отделяют, водную фазу дополнительно экстрагируют хлористым метиленом (30 мл). Органические вытяжки сушат над сульфатом магния и растворитель упаривают при пониженном давлении. Остаток хроматографируют на силикагеле и получают бесцветное твердое вещество (0,01 г, 15%). Спектр ПМР (300 МГц, хлороформ-d): 2,06 (3H, с), 2,19 (3H, с), 3,57 (2H, с), 3,90 (2H, с), 5,30 (2H, с), 7,04-7,57 (16H, м), 7,70 (2H, д, J=8,4 Гц). Рабочий пример 62 Этиловый эфир 4,7-дигидро-7-(2-фторбензил)-3-2-(4-гидроксифенил)- 3-метил-4-оксотиено[2,3-b]пиридин-5-карбоновой кислоты К раствору соединения 3, полученного в Рабочем примере 65 (1,30 г, 2,70 ммоль), в тетрагидрофуране (80 мл) добавляют при охлаждении на бане со льдом 1 М раствор хлористого водорода в эфире (81 мл, 81 ммоль). Перемешивают при комнатной температуре в течение 60 часов и упаривают при пониженном давлении. Концентрат выливают в смесь этилацетата (100 мл) и насыщенного водного раствора хлорида натрия (50 мл). Органический слой отделяют, водную фазу дополнительно экстрагируют этилацетатом (50 мл). Органические вытяжки сушат над сульфатом натрия и растворитель упаривают при пониженном давлении. Остаток перекристаллизовывают из смеси этилацетат – этанол и получают иглы желтого цвета (0,81 г, 69%) с т.пл. 225-227oC. Элементный анализ для C24H20NO4SF 0,1H2O (%):вычислено: C 65,62; H 4,63; N 3,19; найдено: C 65,46; H 4,65; N 3,33. Спектр ПМР (300 МГц, хлороформ-d): 1,30 (3H, т, J=7,0 Гц), 4,24 (2H, квартет, J=7,0 Гц), 5,52 (2H, с), 6,84 (2H, д, J=8,4 Гц), 7,20-7,46 (6H, м), 8,65 (1H, с), 9,75 (1H, с). ИК-спектр (KBr): 3856, 1711, 1611, 1589, 1510, 1493, 1448 см-1. Масс-спектр (FAB): m/z 438 (MH)+. Рабочий пример 63 Этиловый эфир 4,7-дигидро-7-(2-фторбензил)-2-(4-гидроксифенил)- 3-(N-метил-N-бензиламинометил)-4-оксотиено[2,3-b]пиридин-5-карбоновой кислоты Взяв в качестве исходного соединение номер 26, полученное в Рабочем примере 7 (0,26 г, 0,46 ммоль), N-метилбензиламин (0,072 мл, 0,56 ммоль) и N-этилдиизопропиламин (0,12 мл, 0,69 ммоль), получают по методике, аналогичной приведенной в Рабочем примере 8, аморфное вещество желтого цвета (0,24 г). Его растворяют в этаноле (6 мл), добавляют 1 N раствор соляной кислоты (4 мл, 4 ммоль) и перемешивают при комнатной температуре в течение двух часов. Добавляют дополнительное количество 1 N раствора соляной кислоты (8 мл, 8 ммоль) и перемешивают при комнатной температуре в течение 19 часов. К реакционной смеси добавляют воду, содержащую бикарбонат натрия (1,01 г, 12,0 ммоль) и трижды по 30 мл экстрагируют этилацетатом. Органические вытяжки объединяют, сушат над сульфатом натрия и растворитель упаривают при пониженном давлении. Остаток хроматографируют на силикагеле и получают бесцветное масло (0,15 г, 58%). Его растворяют в этаноле (3 мл) и добавляют при охлаждении на бане со льдом 1 М раствор хлористого водорода в эфире (0,35 мл, 0,35 ммоль). Перемешивают при комнатной температуре в течение 10 минут и упаривают при пониженном давлении. Остаток перекристаллизовывают из эфира и получают порошок белого цвета (0,116 г, общий выход 41%) в виде гидрохлорида с т.пл. 231-235oC. Элементный анализ для C32H29N2O4 SF HCl 1,5H2O (%):вычислено: C 61,98; H 5,36; N 4,52; найдено: C 61,99; H 5,23; N 4,55. Спектр ПМР (300 МГц, хлороформ-d): 1,39 (3H, т, J =7,1 Гц), 2,53 (3H, уширенный с), 4,09 (2H, уширенный с), 4,38 (2H, квартет, J=7,1 Гц), 4,39 (2H, уширенный с), 5,46 (2H, с), 7,05 (2H, д, J=8,5 Гц), 7,13-7,51 (11H, м), 8,57 (1H, с). ИК-спектр (KBr): 3422, 2988, 1719, 1695, 1605, 1543, 1504, 1458 см-1. Рабочий пример 64 Этиловый эфир 2-(4-н-бутоксифенил)-4,7-дигидро-7-(2-фторбензил)- 3-метил-4-оксотиено[2,3-b]пиридин-5-карбоновой кислоты К раствору соединения, полученного в Рабочем примере 62 (0,30 г, 0,686 ммоль), в диметилформамиде (10 мл) при охлаждении на бане со льдом добавляют гидрид натрия (30 мг, 0,75 ммоль) и перемешивают при комнатной температуре в течение часа. К полученному раствору добавляют йодистый н-бутил (0,19 г, 1,03 ммоль) и перемешивают при комнатной температуре в течение 15 часов. Реакционную смесь упаривают при пониженном давлении. Концентрат выливают в смесь этилацетата (100 мл) и насыщенного водного раствора хлорида натрия (50 мл). Органический слой отделяют, водную фазу дополнительно экстрагируют этилацетатом (50 мл). Органические вытяжки сушат над сульфатом натрия и растворитель упаривают при пониженном давлении. Твердый остаток перекристаллизовывают из смеси этилацетат – н-гексан и получают бесцветные кристаллы (0,33 г, 97%) с т.пл. 119-121oC. Элементный анализ для C28H28NO4SF 0,2H2O (%):вычислено: C 67,64; H 5,76; N 2,82; найдено: C 67,36; H 5,69; N 2,68. Масс-спектр (FAB): m/z 494 (MH)+. Рабочий пример 65 Используя в качестве исходных веществ соединение 7, полученное в Справочном примере 3, и соединение 3, полученное в Справочном примере 53, по методике, аналогичной приведенной в Рабочем примере 19, получают соединения, представленные в Таблице 33. Рабочий пример 66 5-Бензоил-7-(2,6-дифторбензил)-4,7-дигидро-2-(4-N- этиламинокарбоксифенил)-3-(N-метил-N-бензиламинометил)-4-оксотиено [2,3-b]пиридин Раствор соединения 3, полученного в Рабочем примере 47 (0,15 г, 0,226 ммоль), в этаноле (3 мл) и тетрагидрофуране (3 мл) обрабатывают 1 N водным раствором гидроксида натрия (1,2 мл, 1,2 ммоль) и получают производное карбоновой кислоты. К раствору этого полученного производного карбоновой кислоты в тетрагидрофуране (5 мл) в атмосфере азота и при охлаждении на бане со льдом добавляют триэтиламин (0,084 мл, 0,60 ммоль) и смесь перемешивают в тех же условиях в течение часа, а затем полчаса при комнатной температуре. К полученному раствору по каплям при охлаждении на бане со льдом добавляют 70%-ный водный раствор этиламина (0,16 мл, 2,48 моль), а затем смесь перемешивают при охлаждении на бане со льдом в течение 30 минут и 2 часа при комнатной температуре. Реакционную смесь выливают в смесь этилацетата (50 мл) и насыщенного водного раствора хлорида натрия (50 мл). Органический слой отделяют, водную фазу дополнительно экстрагируют этилацетатом (50 мл). Органические вытяжки сушат над сульфатом натрия и растворитель упаривают при пониженном давлении. Остаток хроматографируют на силикагеле и получают аморфное вещество бледно-желтого цвета (0,095 г, 63%). Его растворяют в хлористом метилене (4 мл) и добавляют при охлаждении на бане со льдом 1 М раствор хлористого водорода в эфире (0,29 мл, 0,29 ммоль). Перемешивают при комнатной температуре в течение 10 минут и упаривают при пониженном давлении. Остаток перекристаллизовывают из смеси хлористый метилен – этилацетат – эфир и получают порошок бледно-желтого цвета (0,088 г, общий выход 56%) в виде гидрохлорида с т.пл. 156-160oC. Элементный анализ для C39H33N3O3 SF2 HCl 1,8H2O (%):вычислено: C 64,11; H 5,19; N 5,75; найдено: C 63,88; H 4,90; N 5,59. Спектр ПМР (300 МГц, хлороформ-d) [свободный амин]: 1,28 (3H, т, J=7,2 Гц), 2,13 (3H, уширенный с), 3,49-3,58 (2H, м), 3,62 (2H, уширенный с), 4,16 (2H, уширенный с), 5,30 (2H, с), 6,23 (3H, уширенный с), 6,99-7,05 (2H, м), 7,17-7,26 (5H, м), 7,39-7,58 (4H, м), 7,83-7,97 (7H, м). ИК-спектр (KBr) [гидрохлорид]: 3386, 3064, 1655, 1630, 1605, 1543, 1508, 1497, 1473 см-1. Масс-спектр (FAB): m/z 662 (МН)+. Рабочий пример 67 Используя в качестве исходных веществ соединения 3 и 4, полученные в Справочном примере 47, по методике, аналогичной приведенной в Рабочем примере 66, получают соединения, представленные в Таблице 34. Рабочий пример 68 Гидрохлорид 4,7-дигидро-5-этоксиметил-7-(2-фторбензил)-2- (4-метоксифенил)-3-(N-метил-N-бензиламинометилил)-4-оксотиено[2, 3-b]пиридина К раствору соединения 2, полученного в Рабочем примере 25 (0,23 г, 0,435 ммоль), в безводном тетрагидрофуране (5 мл) в атмосфере азота при охлаждении на бане со льдом добавляют гидрид натрия (19 мг, 0,475 ммоль) и перемешивают при 0oС в течение 30 минут. К полученной смеси добавляют йодистый этил (0,038 мл, 0,475 ммоль) и дают ей нагреться до комнатной температуры. Перемешивают при комнатной температуре в течение 2 часов, добавляют йодистый этил (0,038 мл, 0,475 ммоль) и перемешивают в течение 19 часов. К реакционной смеси добавляют насыщенный водный раствор хлорида аммония и выливают в смесь этилацетата (30 мл) и насыщенного водного раствора бикарбоната натрия (30 мл). Органический слой отделяют, водную фазу дополнительно экстрагируют этилацетатом. Органические вытяжки сушат над сульфатом натрия и упаривают при пониженном давлении. Остаток хроматографируют на силикагеле и получают твердое вещество белого цвета (0,09 г, 37%). Его растворяют в хлористом метилене (4 мл) и добавляют при охлаждении на бане со льдом 1 М раствор хлористого водорода в эфире (0,2 мл, 0,2 ммоль). Перемешивают при комнатной температуре в течение 10 минут и упаривают при пониженном давлении. Остаток перекристаллизовывают из смеси хлористый метилен – этилацетат – эфир и получают порошок белого цвета (0,058 г) в виде гидрохлорида с т.пл. 200-204oC. Элементный анализ для C33H33N2O3 SF HCl 0,5H2O (%):вычислено: C 65,82; H 5,86; N 4,65; найдено: C 66,01; H 5,67; N 4,62. Спектр ПМР (300 МГц, хлороформ-d): 1,28 (3H, т, J=7,0 Гц), 2,15 (3H, уширенный с), 2,86 (2H, уширенный с), 3,68 (2H, квартет, J=7,0 Гц), 3,86 (3H, с), 4,21 (2H, уширенный с), 4,57 (2H, с), 5,31 (2H, уширенный с), 7,00-7,69 (14H, м). Масс-спектр (FAB): m/z 557 (MH)+. Рабочий пример 69 Гидрохлорид 5-бензилоксиметил-4,7-дигидро-7-(2-фторбензил)-2- (4-метоксифенил)-3-(N-метил-N-бензиламинометил)-4-оксотиено[2,3-b] пиридина Взяв в качестве исходного вещества соединение 3, полученное в Рабочем примере 25, и взяв хлористый бензил вместо йодистого метила, по методике, аналогичной приведенной в Рабочем примере 68, получают целевое соединение в виде кристаллического порошка бледно-желтого цвета (0,10 г, 79%) с т.пл. 77-83oC. Рабочий пример 70 Гидрохлорид 4,7-дигидро-5-этилтиометил-7-(2-фторбензил)-2- (4-метоксифенил)-3-(N-метил-N-бензиламинометил)-4-оксотиено[2,3-b] пиридина К раствору соединения 2, полученного в Рабочем примере 25 (0,15 г, 0,284 ммоль), в безводном тетрагидрофуране (5 мл) добавляют трибутилфосфин (0,36 мг, 1,44 ммоль) и диэтилдисульфид (0,18 мл, 1,46 ммоль) и полученную смесь кипятят с обратным холодильником в течение пяти часов. К смеси добавляют трибутилфосфин (0,72 мл, 2,88 ммоль) и диэтилдисульфид (0,36 мл, 2,92 ммоль) и кипятят с обратным холодильником в течение трех дней. Охлаждают до комнатной температуры и выливают в смесь этилацетата (50 мл) и насыщенного водного раствора хлорида натрия (50 мл). Органический слой отделяют, водную фазу дополнительно экстрагируют этилацетатом (50 мл). Органические вытяжки сушат над сульфатом натрия и упаривают при пониженном давлении. Остаток хроматографируют на силикагеле и получают твердое вещество белого цвета (0,124 г, 76%). Его растворяют в хлористом метилене (3 мл) и добавляют при охлаждении на бане со льдом 1 М раствор хлористого водорода в эфире (0,45 мл, 0,45 ммоль). Перемешивают при охлаждении на бане со льдом в течение 10 минут и упаривают при пониженном давлении. Остаток перекристаллизовывают из смеси хлористый метилен – этилацетат – эфир и получают порошок белого цвета (0,09 г) в виде гидрохлорида с т.пл. 213-217oC. Элементный анализ для C33H33N2O2 S2F HCl H2O (%):вычислено: C 63,19; H 5,78; N 4,47; найдено: C 63,21; H 5,69; N 4,59. Спектр ПМР (300 МГц, хлороформ-d): 1,27 (3H, т, J= 7,4 Гц), 2,23 (3H, уширенный с), 2,56 (2H, квартет, J= 7,4 Гц), 3,76 (2H, с), 3,79 (2H, ш), 3,86 (3H, с), 4,25 (2H, уширенный с), 5,25 (2H, уширенный с), 6,97 (2H, д, J= 8,6 Гц), 7,12-7,39 (10H, м), 7,71 (2H, уширенный с). ИК-спектр (KBr): 3480, 2966, 1609, 1520, 1458 см-1. Масс-спектр (FAB): m/z 573 (MH)+. Рабочий пример 71 Этиловый эфир 7-(2,6-дифторбензил)-4,7-дигидро-6-изобутил-3- (N-метил-N-бензиламинометил)-4-оксо-2-(4-пропиониламинофенил)тиено [2,3-b] пиридин-5-карбоновой кислоты К смеси соединения 5, полученного в Рабочем примере 49 (0,10 г, 0,159 ммоль), и йодида меди (0,095 г, 0,5 ммоль) добавляют изо-бутилмагнийбромид (0,5 мл, 1 ммоль) при охлаждении на бане со льдом. К полученной смеси при охлаждении на бане со льдом добавляют безводный тетрагидрофуран (20 мл) и перемешивают в течение часа. Выливают реакционную смесь в насыщенный водный раствор хлорида аммония и экстрагируют этилацетатом (50 мл х 3). Органические вытяжки объединяют, сушат над сульфатом натрия и упаривают при пониженном давлении. Полученное масло (0,124 г) растворяют в хлористом метилене (5 мл), к полученному раствору добавляют дихлордицианохинон (0,0207 г, 0,091 ммоль) и смесь перемешивают при охлаждении на бане со льдом в течение двух часов. Реакционную смесь выливают в смесь хлороформа (50 мл) и воды (30 мл). Органический слой отделяют, водную фазу дополнительно экстрагируют хлороформом (50 мл). Органические вытяжки объединяют, сушат над сульфатом натрия и упаривают при пониженном давлении, получая масло коричневого цвета (0,02 г, 32%). Масло перекристаллизовывают из смеси этилацетат – н-гексан и получают кристаллы темно-коричневого цвета с т.пл. 135-137oC. Элементный анализ для C39H41N3O4SF2 C8H2Cl2N2O2 1,4NaCl (%): вычислено: C 58,49; H 4,91; N 6,35;найдено: C 58,34; H 5,01; N 6,75. Спектр ПМР (300 МГц, хлороформ-d): 1,07 (6H, уширенный с), 1,23 (3H, уширенный с), 1,46 (3H, т, J=6,3 Гц), 2,10 (1H, уширенный с), 2,30-2,96 (7H, м), 4,30-4,53 (6H, м), 5,55 (2H, уширенный с), 6,94-7,90 (12H, м). ИК-спектр (KBr): 3428, 2970, 2214, 1725, 1688, 1628, 1589, 1504, 1470, 1386, 1152, 1025, 789, 748, 700 см-1. Масс-спектр (FAB): m/z 686 (MH)+. Рабочий пример 72 5-Циано-4,7-дигидро-7-(2-фторбензил)-2-(4-метоксифенил)- 3-метил-4-оксотиено[2,3-b]пиридин Смесь соединения 6, полученного в Рабочем примере 12 (0,435 г, 1,03 ммоль), и оксихлорида фосфора (0,145 мл, 1,56 ммоль) кипятят с обратным холодильником в течение одного часа. Охлаждают, выливают в смесь хлороформа и водного раствора бикарбоната натрия. Органический слой отделяют, водную фазу дополнительно экстрагируют хлороформом. Органические вытяжки объединяют, промывают раствором хлорида натрия, сушат над сульфатом магния и упаривают при пониженном давлении. Остаток хроматографируют на силикагеле, а затем перекристаллизовывают из смеси этилацетат – изо-пропиловый эфир и получают кристаллы бледно-желтого цвета (0,225 г, 70%) с т.пл. 215-216oC. Рабочий пример 73 Гидрохлорид 5-этилсульфинилметил-4,7-дигидро-7-(2-фторбензил)- 2-(4-метоксифенил)-3-(N-метил-N-бензиламинометил)-4-оксотиено[2,3-b] пиридина К раствору соединения, полученного в Рабочем примере 71 (0,15 г, 0,26 ммоль), в хлористом метилене (4 мл) при охлаждении на бане со льдом добавляют 1 М раствор хлористого водорода в эфире (0,29 мл, 0,29 ммоль) и перемешивают в указанных условиях в течение пяти минут. Смесь упаривают при пониженном давлении и получают аморфное вещество желтого цвета. Его растворяют в хлористом метилене (5 мл) и при охлаждении на бане со льдом добавляют по каплям в течение 10 минут раствор м-хлорнадбензойной кислоты (45 мг, 0,26 ммоль) в хлористом метилене (5 мл). Перемешивают при температуре 0oC в течение 1,5 часов и 1,5 часа при комнатной температуре, а затем реакционную смесь выливают в смесь хлороформа и водного раствора бикарбоната натрия. Органический слой отделяют, водную фазу дополнительно экстрагируют хлороформом. Органические вытяжки объединяют, промывают раствором хлорида натрия, сушат над сульфатом магния и упаривают при пониженном давлении. Остаток хроматографируют на силикагеле и получают сироп бледно-желтого цвета (60 мг, 38,9%). Полученный сироп (50 мг, 0,085 ммоль) растворяют в хлористом метилене (4 мл) и при охлаждении на бане со льдом добавляют 1 М раствор хлористого водорода в эфире (0,13 мл, 0,13 ммоль), а затем перемешивают в указанных условиях в течение пяти минут. Смесь упаривают при пониженном давлении, остаток перекристаллизовывают из эфира и получают порошок желтого цвета (37 мг, 53%) в виде гидрохлорида с т.пл. 216-219oC. Рабочий пример 74 6-(Аминофенил)-2,4(1H, 3H)-диоксо-1-(2,6-дифторбензил)-5- (N-метил-N-бензиламинометил)-3-фенилтиено[2,3-d]пиримидин Взяв в качестве исходного вещества соединение 17, полученное в Рабочем примере 40, по методике, аналогичной приведенной в Рабочем примере 68, получают целевое соединение в виде аморфного вещества (выход 65%). Спектр ПМР (300 МГц, хлороформ-d): 2,05 (3H, с), 3,56 (2H, с), 3,81 (2H, уширенный с), 3,88 (2H, с), 5,36 (2H, с), 6,71 (2H, д, J=8,7 Гц), 6,91 (2H, т, J=8,7 Гц), 7,21-7,53 (13H, м). Рабочий пример 75 Используя в качестве исходного вещества соединение, полученное в Рабочем примере 60, по методике, аналогичной приведенной в Рабочем примере 61, получают следующие соединения: N 1: гидрохлорид 2,4(2H,3H)-диоксо-1-(2-фторбензил)-5-(N-метил- N-бензиламинометил)-3-фенил-6-(4-пропиониламинофенил)тиено[2,3-d] пиримидина (выход: 86%, т.пл. 172-175oC), N 2: гидрохлорид 2,4(2H,3H)-диоксо-1-(2-фторбензил)-6-(4- изобутириламинофенил)-5-(N-метил-N-бензиламинометил)- 3-фенилтиено[2,3-d] пиримидина (выход: 77%, т.пл. 185-188oC), N 3: гидрохлорид 2,4(2H,3H)-диоксо-1-(2-фторбензил)-6-(4- метоксиацетиламинофенил)-5-(N-метил-N-бензиламинометил)-3- фенилтиено[2,3-d]пиpимидинa (выход: 88%, т.пл. 157-162oC). Рабочий пример 76 Используя соединение, полученное в Рабочем примере 8 (100 мг), лактозу (165 мг), кукурузный крахмал (5 мг), поливиниловый спирт (4 мг) и стеарат магния (1 мг), готовят таблетку обычным образом. Рабочий пример 77 Соединение, полученное в Рабочем примере 8 (5 г), растворяют в дистиллированной воде для инъекций и доводят общий объем до 100 мл. Раствор стерилизуют фильтрованием через мембранный фильтр с размерами пор 0,22 мкм (фирма-изготовитель “Sumitomo Electric Industries, Ltd” или “Zartolius, Inc. “) и помещают по 2 мл в стерильные ампулы, а затем лиофилизуют обычным способом и получают лиофилизованный раствор раствор для инъекций, содержащий 100 мг препарата на ампулу. Рабочий пример 78 Используя соединение 15, полученное в Рабочем примере 9 (100 мг), лактозу (165 мг), кукурузный крахмал (25 мг), поливиниловый спирт (4 мг) и стеарат магния (1 мг), готовят таблетку обычным образом. Рабочий пример 79 Соединение 15, полученное в Рабочем примере 9 (5 г), растворяют в дистиллированной воде для инъекций и доводят общий объем до 100 мл. Раствор стерилизуют фильтрованием через мембранный фильтр с размерами пор 0,22 мкм (фирма-изготовитель “Sumitomo Electric Industries, Ltd” или “Zartolius, Inc. “) и помещают по 2 мл в стерильные ампулы, а затем лиофилизуют обычным способом и получают лиофилизованный раствор раствор для инъекций, содержащий 100 мг препарата на ампулу. Рабочий пример 80 Используя соединение 3, полученное в Рабочем примере 21 (100 мг), лактозу (165 мг), кукурузный крахмал (25 мг), поливиниловый спирт (4 мг) и стеарат магния (1 мг), готовят таблетку обычным образом. Рабочий пример 81 Соединение 3, полученное в Рабочем примере 21 (5 г), растворяют в дистиллированной воде для инъекций и доводят общий объем до 100 мл. Раствор стерилизуют фильтрованием через мембранный фильтр с размерами пор 0,22 мкм (фирма-изготовитель “Sumitomo Electric Industries, Ltd” или “Zartolius, Inc. “) и помещают по 2 мл в стерильные ампулы, а затем лиофилизуют обычным способом и получают лиофилизованный раствор раствор для инъекций, содержащий 100 мг препарата на ампулу. Рабочий пример 82 Используя соединение, полученное в Рабочем примере 23 (100 мг), лактозу (165 мг), кукурузный крахмал (25 мг), поливиниловый спирт (4 мг) и стеарат магния (1 мг), готовят таблетку обычным образом. Рабочий пример 83 Соединение, полученное в Рабочем примере 23 (5 г), растворяют в дистиллированной воде для инъекций и доводят общий объем до 100 мл. Раствор стерилизуют фильтрованием через мембранный фильтр с размерами пор 0,22 мкм (фирма-изготовитель “Sumitomo Electric Industries, Ltd” или “Zartolius, Inc. “) и помещают по 2 мл в стерильные ампулы, а затем лиофилизуют обычным способом и получают лиофилизованный раствор раствор для инъекций, содержащий 100 мг препарата на ампулу. Рабочий пример 84 Используя соединение, полученное в Рабочем примере 56 (100 мг), лактозу (165 мг), кукурузный крахмал (25 мг), поливиниловый спирт (4 мг) и стеарат магния (1 мг), готовят таблетку обычным образом. Рабочий пример 85 Соединение, полученное в Рабочем примере 56 (5 г), растворяют в дистиллированной воде для инъекций и доводят общий объем до 100 мл. Раствор стерилизуют фильтрованием через мембранный фильтр с размерами пор 0,22 мкм (фирма-изготовитель “Sumitomo Electric Industries, Ltd” или “Zartolius, Inc. “) и помещают по 2 мл в стерильные ампулы, а затем лиофилизуют обычным способом и получают лиофилизованный раствор раствор для инъекций, содержащий 100 мг препарата на ампулу. Рабочий пример 86 Используя соединение 2, полученное в Рабочем примере 57 (100 мг), лактозу (165 мг), кукурузный крахмал (25 мг), поливиниловый спирт (4 мг) и стеарат магния (1 мг), готовят таблетку обычным образом. Рабочий пример 87 Соединение 2, полученное в Рабочем примере 57 (5 г), растворяют в дистиллированной воде для инъекций и доводят общий объем до 100 мл. Раствор стерилизуют фильтрованием через мембранный фильтр с размерами пор 0,22 мкм (фирма-изготовитель “Sumitomo Electric Industries, Ltd” или “Zartolius, Inc. “) и помещают по 2 мл в стерильные ампулы, а затем лиофилизуют обычным способом и получают лиофилизованный раствор раствор для инъекций, содержащий 100 мг препарата на ампулу. Рабочий пример 88 Используя соединение 3, полученное в Рабочем примере 57 (100 мг), лактозу (165 мг), кукурузный крахмал (25 мг), поливиниловый спирт (4 мг) и стеарат магния (1 мг), готовят таблетку обычным образом. Рабочий пример 89 Соединение 3, полученное в Рабочем примере 57 (5 г), растворяют в дистиллированной воде для инъекций и доводят общий объем до 100 мл. Раствор стерилизуют фильтрованием через мембранный фильтр с размерами пор 0,22 мкм (фирма-изготовитель “Sumitomo Electric Industries, Ltd” или “Zartolius, Inc. “) и помещают по 2 мл в стерильные ампулы, а затем лиофилизуют обычным способом и получают лиофилизованный раствор раствор для инъекций, содержащий 100 мг препарата на ампулу. Рабочий пример 90 Соединение 7, полученное в Рабочем примере 51 (5 г), растворяют в дистиллированной воде для инъекций и доводят общий объем до 100 мл. Раствор стерилизуют фильтрованием через мембранный фильтр с размерами пор 0,22 мкм (фирма-изготовитель “Sumitomo Electric Industries, Ltd” или “Zartolius, Inc. “) и помещают по 2 мл в стерильные ампулы, а затем лиофилизуют обычным способом и получают лиофилизованный раствор раствор для инъекций, содержащий 100 мг препарата на ампулу. Рабочий пример 91 Соединение 8, полученное в Рабочем примере 51 (5 г), растворяют в дистиллированной воде для инъекций и доводят общий объем до 100 мл. Раствор стерилизуют фильтрованием через мембранный фильтр с размерами пор 0,22 мкм (фирма-изготовитель “Sumitomo Electric Industries, Ltd” или “Zartolius, Inc. “) и помещают по 2 мл в стерильные ампулы, а затем лиофилизуют обычным способом и получают лиофилизованный раствор раствор для инъекций, содержащий 100 мг препарата на ампулу. Рабочий пример 92 (1) Соединение, полученное в Рабочем примере 56 – 5 г (2) Лактоза, кристаллическая целлюлоза (гранулы) – 330 г (3) Д-маннит – 29 г (4) Малозамещенная гидроксипропилцеллюлоза – 20 г (5) Тальк – 25 г (6) Гидроксипропилцеллюлоза – 50 г (7) Аспартам – 3 г (8) Дикалиевая соль глицерогетината – 3 г (9) Гидроксипропилметилцеллюлоза 2910 – 30 г (10) Оксид титана – 3,5 г (11) Желтый сесквиоксид железа – 0,5 г (12) Светлый ангидрид кремниевой кислоты – 1 г В очищенной воде суспендируют или растворяют (1), (3), (4), (5), (7) и (8). Гранулы ядра (2) покрывают суспензией или раствором и получают необработанные мелкие гранулы, которые покрывают с помощью (9)-(11) и получают мелкие гранулы, покрытые оболочкой, которые смешивают с (12), получая 500 г мелких гранул, которые содержат 1% соединения, полученного в Рабочем примере 56. Упаковывают по 500 мг гранул, полученных указанным способом. Пример испытания 1 Получение 125I-лейпролелина 10 мкл 3 10-4 М водного раствора лейпрорелина и 10 мкл раствора 0,01 мг/мл лактопероксидазы в 0,1 М растворе буфера HEPES (pH 7,4) помещают в пробирку, в которую добавляют 10 мкл [37 МБк в 0,1 М растворе буфера HEPES (pH = 7,4)] раствора Na125I. Смесь перемешивают и добавляют к ней 10 мкл 0,001%-ного раствора пероксида водорода и оставляют на 20 минут при комнатной температуре. Для прекращения реакции к смеси добавляют 700 мкл 0,05%-ного раствора трифторуксусной кислоты. Продукт очищают методом жидкостной хроматографии высокого давления с обращенной фазой. При проведении жидкостной хроматографии высокого давления применяют следующие условия.
125I-Лейпрорелин элюируется с временем удерживания от 26 до 27 минут.
Колонка: TSK гель ODS-80TMCTR (4,6 мм х 10 см).
Элюент: Растворитель А (0,05% трифторуксусная кислота).
Растворитель Б (40% ацетонитрил – 0,05% трифторуксусная кислота).
0 минут (100% Растворитель А) – 3 минуты (100% Растворитель А) – 7 минут (50% Растворитель А + 50% Растворитель Б) – 40 минут (100% Растворитель Б).
Температура элюирования: комнатная температура.
Скорость подачи элюента: 1 мл/мин.
Пример испытания 2Получение мембраной фракции передней доли гипофиза крыс, содержащей рецепторы гонадотропинвысвобождающего гормона Сорок крыс Wister (самцы в возрасте 8 недель) умерщвляют, отделяют передние доли гипофиза и промывают охлажденным льдом буферным раствором для гомогенизации (25 мМ Tris [трис(гидроксиметил)аминометан] – HCl, 0,3 М сахарозы, 1 мМ гликолевого эфира диаминтетрауксусной кислоты, 0,25 мМ фенилметилсульфохлорида, 10 ед/мл апротинина, 1 мкг/мл пепстатина, 20 мкг/мл лейпептина, 100 мкг/мл фосфорамидона, 0,03%-ного раствора азида натрия, pH = 7,5). Гипофиз суспендируют в 2 мл буфера для гомогенизации и подвергают гомогенизации в гомогенизаторе фирмы “Polytron”. Разделение на центрифуге проводят в течение 15 минут с ускорением 700g. Жидкость над осадком отделяют, помещают в стакан центрифуги и центрифугируют в течение часа с ускорением 100000g, получая мембранную фракцию в виде осадка. Полученный осадок суспендируют в 2 мл буфера для анализа (25 мМ Tris-HCl, 1 мМ этилендиаминтетрауксусной кислоты, 0,1% бычьего сывороточного альбумина, 0,25 мМ фенилметилсульфохлорида, 1 мкг/мл пепстатина, 20 мкг/мл лейпептина, 100 мкг/мл фосфорамидона, 0,03%-ного раствора азида натрия, pH 7,5) и центрифугируют в течение часа с ускорением 100000g. Мембранный препарат выделяют в виде осадка, который вновь суспендируют в 10 мл буфера для анализа, разливают в ампулы и хранят до использования при температуре минус 80oC. Пример испытания 3 Получение мембранной фракции клеток яичника китайского хомячка, содержащей рецепторы гонадотропинвысвобождающего гормона человека Клетки яичника китайского хомячка (109), экспрессирующие рецепторы гонадотропинвысвобождающего гормона человека, суспендируют в забуференном фосфатом солевом физиологическом растворе, в который добавляют 5 мМ этилендиаминтетрауксусной кислоты (PBS-EDTA). Суспензию подвергают разделению на центрифуге в течение 5 минут с ускорением 100g. К полученной из клеток лепешке осадка добавляют 10 мл буфеpa для гомогенизации клеток (10 мМ бикарбоната натрия, 5 мМ этилендиаминтетрауксусной кислоты, pH 7,5) и подвергают гомогенизации в гомогенизаторе фирмы “Polytron”. Разделение на центрифуге проводят в течение 25 минут с ускорением 400g. Жидкость над осадком переносят в стакан ультрацентрифуги и центрифугируют в течение часа с ускорением 100000g, получая мембранную фракцию в виде осадка. Полученный осадок суспендируют в 2 мл буфера для анализа и вновь центрифугируют в течение часа с ускорением 100000g. Мембранный препарат выделяют в виде осадка, который вновь суспендируют в 20 мл буфера для анализа, разливают в ампулы и хранят до использования при температуре минус 80oC. Пример испытания 4 Определение степени ингибирования связывания 125I-лейпрорелина Мембранные фракции гипофиза крыс и клеток яичника китайского хомячка, экспрессирующих рецепторы гонадотропинвысвобождающего гормона человека, полученные в Примерах испытаний 2 и 3, разбавляют буфером для анализа до концентрации 200 мкг/мл и 188 мкг/мл соответственно и помещают в пробирки. В тех случаях, когда используют мембранные фракции передней доли гипофиза крыс, одновременно добавляют 2 мкл 0,1 мМ раствора соединения, растворенного в 60%-ном диметилсульфоксиде, и 10 мкл 38 нМ раствора 125I-лейпрорелина. В тех случаях, когда используют мембранные фракции клеток яичника китайского хомячка, экспрессирующих рецепторы гонадотропинвысвобождающего гормона человека, одновременно добавляют 2 мкл 2 мМ раствора соединения, растворенного в 60%-ном диметилсульфоксиде, и 10 мкл 38 нМ раствора 125I-лейпрорелина. Для определения максимальной величины связывания готовят раствор для проведения реакции, в который одновременно добавляют 2 мкл 100 мкМ раствора лейпрорелина в 60%-ном диметилсульфоксиде и 10 мкл 38 нМ раствора 125I-лейпрорелина. В том случае, когда используют мембранные фракции передней доли гипофиза крыс, реакцию проводят в течение 90 минут при температуре 4oC, а в том случае, когда используют мембранные фракции клеток яичника китайского хомячка, экспрессирующих рецепторы гонадотропинвысвобождающего гормона человека, реакцию проводят в течение 60 минут при температуре 25oC. Реакционные смеси фильтруют через воронки со стеклянным фильтром фирмы “Whatman” (GF-F), обработанные полиэтиленимином. По окончании фильтрования определяют количество радиоактивности 125I-лейпрорелина, оставшегося на фильтре, с помощью счетчика гамма-излучения. Рассчитывая отношение (TB-SB)/(TB-NSB) 100 (SB: радиоактивность, полученная при добавлении соединения; ТВ: максимальная радиоактивность связывания; NSB: радиоактивность неспецифического связывания), определяют степень ингибирования связывания (в процентах) для каждого испытуемого соединения. Кроме того, степень ингибирования определяют, изменяя концентрацию испытуемого соединения, и определяют концентрацию испытуемого соединения, ингибирующего величину (TB-NSB) на 50% (значение IC50), с помощью графика Хилла. Полученные результаты представлены в Таблице 35.
Пример испытания 5Ингибирование секреции лютенизирующего гормона/фолликулостимулирующего гормона выращенными первичными клетками передней доли гипофиза крыс Железы передних долей гипофиза 40 крыс Wistar (самцы в возрасте 8 недель) помещают в чашки Петри, содержащие буфер А (0,7 мМ дигидрофосфата натрия, 137 мМ хлорида натрия, 5 мМ хлорида калия, 25 мМ HEPES, 50 мкг/мл сульфата гентамицина), промывают один раз буфером А, делят на четыре части и еще дважды промывают. Порцию промытых указанным образом передних долей гипофиза крыс помещают в коническую колбу с пробкой, которая содержит раствор фермента I (буфер А, содержащий 0,4% коллагеназы, 0,4% бычьего сывороточного альбумина, 10 мкг/мл дезоксирибонуклеазы и 0,2% глюкозы). Смесь выдерживают, встряхивая, в термостате в течение часа при температуре 37oC. Фрагменты тканей отбирают пипеткой и диспергируют. Полученную дисперсию переносят в пробирку для центрифугирования и центрифугируют в течение 6 минут для отделения надсадочной жидкости. К остатку добавляют раствор фермента II (раствор фермента I, содержащий 10% панкреатина) и смесь выдерживают в термостате в течение 8 минут при температуре 37oC и добавляют 2 мл сыворотки плода коровы. Смесь вновь центрифугируют в течение 6 минут с ускорением 480g и надсадочную жидкость удаляют. Остаток суспендируют в 10 мл среде I для выращивания культуры (модифицированная Иглом среда Дульбекко, которая содержит 10% сыворотки плода коровы, 20 мл HEPES, 20 ед/мл пенициллина G, 50 мкг/мл стрептомицина и 3,7 г/л бикарбоната натрия) и отфильтровывают через сито из найлона. Полученное фильтрованием вещество дважды промывают порциями по 10 мл среды I для выращивания культуры, а затем дают клеткам суспендироваться в среде I для выращивания культуры с плотностью 5 105 клеток на миллилитр. Один миллилитр каждой суспензии клеток помещают в каждую ячейку планшета, имеющего 24 ячейки, который выдерживают в инкубаторе в атмосфере 5% диоксида углерода – 95% воздуха в течение 3 дней при температуре 37oC, в каждую ячейку добавляют 2 мл среды II для выращивания культуры (среда I для выращивания культуры без 10% сыворотки плода коровы), а затем выдерживают в инкубаторе в течение часа. Среду для выращивания культуры отделяют. В каждую ячейку 24-ячеистого планшета добавляют по 800 мкл свежей среды II для выращивания культуры, а затем одновременно добавляют соединение 15, полученное в Рабочем примере 9, растворенное в 0,2% (об/об) диметилсульфоксиде и 100 мкл 5 нМ раствора гонадотропинвысвобождающего гормона. Культуру, в которую не добавляют соединения, используют в качестве контрольного раствора. После выдерживания в инкубаторе в течение 3 часов при температуре 37oC выделяют 500 мкл надсадочной жидкости культуры и центрифугируют ее в течение 10 минут с ускорением 1000g для отделения надсадочной жидкости. Концентрации лютенизирующего гормона и фолликулостимулирующего гормона в надсадочной жидкости определяют с помощью набора для проведения радиоиммунного анализа (от компании “Amersham Inc.”).
Рассчитывая отношение по формуле 100 – (концентрация лютенизирующего гормона или фолликулостимулирующего гормона в присутствии соединения)/(концентрация лютенизирующего гормона или фолликулостимулирующего гормона в контрольном растворе) 100, определяют степень ингибирования (в %) секреции лютенизирующего гормона или фолликулостимулирующего гормона каждым соединением. Соединение 15 ингибирует секрецию лютенизирующего гормона на 28 + 9,0% (p<0,01, n=3) и ингибирует секрецию фолликулостимулирующего гормона на 20 + 10% (p<0,01, n =3).
На основании полученных результатов было показано, что соединение 15, синтезированное в Рабочем примере 9, обладает антагонистической активностью к GnRH.
Пример испытания 6Подавление концентрации тестостерона в плазме крыс Соединение 15, полученное в Рабочем примере 9, растворяют в носителе I (20% пропиленгликоля – 80% физиологического солевого раствора). Раствор вводят один раз подкожно самцам крыс SD (возраст 8 недель, n = 5). Доза составляет 30 мг на килограмм веса тела. В качестве контрольных используют животных, которым вводили только носитель. Через 24 часа после введения при анестезии эфиром берут образцы крови из шейной вены. К крови немедленно добавляют этилендиаминтетрауксусную кислоту до конечной концентрации 3 мг/мл и апротинин до конечной концентрации 300 тыс. IU на миллилитр. Смесь центрифугируют в течение 15 минут с ускорением 3000g и определяют концентрацию тестостерона в плазме с помощью радиоиммуноанализа. Величину подавления тестостерона (в процентах) у испытуемых соединений определяют по формуле: 100 – (концентрация тестостерона в плазме испытуемой группы)/(концентрация тестостерона в плазме контрольной группы) 100.
Соединение 15, синтезированное в Рабочем примере 9, показывает величину подавления 38 + 9,7% (p < 0,05).
Пример испытания 7Подавление концентрации тестостерона в плазме мышей Соединение, полученное в Рабочем примере 56, растворяют в носителе II (0,5% целлюлозы, растворенной в дистиллированной воде). Раствор вводят перорально один раз в день в течение трех последовательных дней самцам мышей ICR (возраст 12 недель, n = 12). Доза составляет 30 мг на килограмм веса тела. В качестве контрольных используют мышей ICR (n = 15), которым вводят только носитель. Через 24 часа после введения при анестезии эфиром берут образцы крови из шейной вены. К крови немедленно добавляют этилендиаминтетрауксусную кислоту до конечной концентрации 3 мг/мл и апротинин до конечной концентрации 300 тыс. IU на миллилитр. Смесь центрифугируют в течение 15 минут с ускорением 3000g и определяют концентрацию тестостерона в плазме с помощью радиоиммуноанализа. Величину подавления содержания тестостерона (в процентах) у испытуемых соединений определяют по формуле: 100 – (концентрация тестостерона в плазме испытуемой группы)/(концентрация тестостерона в плазме контрольной группы) 100.
Соединение, синтезированное в Рабочем примере 56, показывает величину подавления 85 + 9,7% (p < 0,05).
Антагонист гонадотропинвысвобождающего гормона по настоящему изобретению эффективен в качестве профилактического или терапевтического средства для предотвращения или лечения нескольких зависимых от гормонов заболеваний, например рака, вызываемого половыми гормонами (в частности, рака предстательной железы, аденомы гипофиза, рака шейки матки, рака молочной железы), доброкачественной гипертрофии предстательной железы, миомы матки, эндометриоза, преждевременного полового созревания, аменореи, предменструального синдрома, склерокистозной болезни яичников и угрей обыкновенных, или в качестве средства контролирования фертильности (в частности, средства контрацепции), средства лечения бесплодия и средства контролирования менструального цикла. Далее, в животноводстве антагонист гонадотропинвысвобождающего гормона по настоящему изобретению эффективен в качестве средства модулирования эстральных циклов у животных, улучшающего качество используемого в пищу мяса или ускоряющего рост животных, а также в рыбном хозяйстве в качестве средства ускорения нереста у рыб.
Промышленное использованиеКомпозиция, обладающая антагонистической активностью к гонадотропинвысвобождающему гормону по настоящему изобретению эффективна в качестве профилактического или терапевтического средства для предотвращения или лечения нескольких зависимых от гормона заболеваний, например рака, вызываемого половыми гормонами (в частности, рака предстательной железы, рака шейки матки, рака молочной железы, аденомы гипофиза), доброкачественной гипертрофии предстательной железы, миомы матки, эндометриоза, преждевременного полового созревания, аменореи, предменструального синдрома, склерокистозной болезни яичников и угрей обыкновенных; она эффективна в качестве средства контролирования беременности и средства контролирования менструального цикла); может использоваться в качестве средства контрацепции для мужских и женских особей и в качестве средства, индуцирующего овуляцию у женских особей; может использоваться при лечении бесплодия за счет эффекта обратного действия, вызванного прекращением введения соединения по настоящему изобретению; полезна в животноводстве в качестве средства модулирования эстральных циклов у животных и средства улучшения качества используемого в пищу мяса или ускорения роста животных; она полезна в качестве средства ускорения нереста у рыб. Формула изобретения
![]() где R1 и R2 каждый независимо представляет (i) водород, (ii) группу, связанную через атом углерода, выбранную из необязательно замещенных алкила, циклоалкила, алкоксиалкила, гидроксиалкила, формила, фенилацетила, бензоила, карбоксила, алкоксикарбонила, циано, амидо, моно- или диалкилкарбамоила, амидино, необязательно замещенного фенила, бензила, или (iii) галогена; R3 представляет собой (i) необязательно замещенные фенил, нафтил, фенил-винил или пиридил; R4 представляет собой (i) водород, (ii) формил, (iii) циано, (iv) низший алкил, замещенный (1) алкилтио или алкилсульфинильной группой или (2) необязательно замещенной гидроксильной группой, (v) карбонильную группу, которая может быть замещена необязательно замещенным углеводородным остатком, или (vi) этерифицированную или амидированную карбоксильную группу; R5 представляет собой (i) водород или алкил; n равно 0, 1, 2 или 3; при условии, что R3, представляющий необязательно замещенный фенил, нафтил, фенил-винил или пиридил, не замещен группой формулы ![]() в которой R6 представляет собой необязательно замещенную 5 – 7-членную гетероциклическую группу, имеющую в качестве группы, способной образовывать кольцо, карбонил, тиокарбонил, необязательно окисленный атом серы или группу, способную превращаться в них, группу, способную образовывать анион, или группу, способную превращаться в анион; Z представляет собой необязательно замещенный ароматический углеводородный остаток, необязательно содержащий гетероатом, необязательно замещенные 5-членные циклические группы, содержащие помимо атома углерода от 1 до 4 гетероатомов, выбранных из кислорода, серы и азота, необязательно замещенные 6-членные циклические группы, содержащие помимо атома углерода от 1 до 4 гетероатомов, выбранных из кислорода, серы и азота, или необязательно замещенные 5 – 8-членные циклические группы или конденсированные кольца, содержащие помимо атома углерода от 1 до 4 гетероатомов, выбранных из кислорода, серы и азота; V представляет собой химическую связь или связывающую группу; или его соль. 2. Соединение по п.1, где R3 означает группу формулы ![]() где R7 обозначает атом водорода, атом галогена или группу, присоединенную через атом углерода, атом азота, атом кислорода или атом серы; R8 является атомом водорода, атомом галогена, нитрогруппой, цианогруппой или углеводородным остатком, который может быть замещен группой, присоединенной через атом кислорода, атом азота или атом серы. 3. Соединение по п.1, где либо R1, либо R2 обозначает группу формулы R9-(CH2)m-, где R9 обозначает группу, присоединенную через атом азота; m обозначает число от 0 до 3, а другой радикал обозначает группу формулы R10-A-, где R10 обозначает необязательно замещенный фенил; A обозначает химическую связь или мостиковую группу. 4. Соединение по п.1, которое представляет собой этиловый эфир 3-(N-бензил-N-метиламинометил)-4,7-дигидро-7-(2-метоксибензил)-2-(4-метоксифенил)-4-оксотиено[2,3-b]пиридин-5-карбоновой кислоты или его соль. 5. Соединение по п.1, которое представляет собой этиловый эфир 3-(N-бензил-N-метиламинометил)-4,7-дигидро-7-(2-фторбензил)-2-(4-метоксифенил)-4-оксотиено[2,3-b]пиридин-5-карбоновой кислоты или его соль. 6. Соединение по п.1, которое представляет собой этиловый эфир 2-(4-ацетиламинофенил)-3-(N-бензил-N-метиламинометил)-4,7-дигидро-7-(2-фторбензил)-4-оксотиено[2,3-b]пиридин-5-карбоновой кислоты или его соль. 7. Соединение по п. 1, которое представляет собой 5-бензоил-3-(N-бензил-N-метиламинометил)-7-(2,6-дифторбензил)-4,7-дигидро-4-оксо-2-(4-пропиониламинофенил)-4-оксотиено-[2,3-b]пиридин или его соль. 8. Соединение по п. 1, которое представляет собой 5-бензоил-3-(N-бензил-N-метиламинометил)-7-(2,6-дифторбензил)-4,7-дигидро-2-(4-N’-метилуреидофенил)-4-оксотиено-[2,3-b]пиридин или его соль. 9. Соединение по п.1, которое представляет собой 3-(N-бензил-N-метиламинометил)-7-(2,6-дифторбензил)-4,7-дигидро-5-изобутирил-4-оксо-2-(4-пропиониламинофенил)тиено-[2,3-b]пиридин или его соль. 10. Соединение по п.1, которое представляет собой 3-(N-бензил-N-метиламинометил)-7-(2,6-дифторбензил)-4,7-дигидро-5-изобутирил-2-(4-N’-метилуреидофенил)-4-оксотиено-[2,3-b]пиридин или его соль. 11. Соединение по п.1, которое представляет собой 3-(N-бензил-N-метиламинометил)-7-(2,6-дифторбензил)-4,7-дигидро-2-(4-N’-метилуреидофенил)-4-оксотиено-[2,3-b]-пиридин-5-(N-изопропил)карбоксамид или его соль. 12. Соединение по п.1, которое представляет собой 3-(N-бензил-N-метиламинометил)-7-(2,6-дифторбензил)-4,7-дигидро-2-(4-N’-метилуреидофенил)-4-оксотиено-[2,3-b]-пиридин-5-(N-изопропил-N-метил)карбоксамид или его соль. 13. Соединение по п.1, которое представляет собой 3-(N-бензил-N-метиламинометил)-7-(2,6-дифторбензил)-4,7-дигидро-2-(4-N’-метилуреидофенил)-4-оксотиено-[2,3-b]-пиридин-5-(N-бензил-N-метил)карбоксамид или его соль. 14. Соединение по п. 1, которое представляет собой 7-(2,6-дифторбензил)-4,7-дигидро-5-изобутирил-2-(4-изобутириламинофенил)-3-(N-метил-N-бензиламинометил)-4-оксотиено-[2,3-b]пиридин или его соль. 15. Соединение по п.1, которое представляет собой 5-ацетил-4,7-дигидро-7-(2-фторбензил)-2-(4-метоксифенил)-3-метил-4-оксотиено[2,3-b]пиридин или его соль. 16. Способ получения соединения по п.3, который включает взаимодействие соединения формулы ![]() где R4, R5 и n имеют значения, указанные в п.1; R7 и R8 имеют значения, указанные в п.2; R10 и m имеют значения, указанные в п.3; X обозначает уходящую группу, или его соли с соединением формулы R9H, где R9 имеет значение, указанное по п.3, или его солью. 17. Композиция, проявляющая антагонистическую активность в отношении гонадотропинвысвобождающего гормона, отличающаяся тем, что включает соединение общей формулы I по любому из пп.1 – 15 и носитель, наполнитель или разбавитель. 18. Соединение общей формулы I по любому из пп.1 – 15, проявляющее антагонистическую активность в отношении гонадотропинвысвобождающего гормона. Приоритет по пунктам: 19.04.94 по пп.2 – 4; 19.08.94 по пп.5 и 6; 04.11.94 по п.15; 28.02.95 по пп.7 – 13; 14.04.95 (PCT) по пп.1 и 14. РИСУНКИ
MM4A Досрочное прекращение действия патента Российской Федерации на изобретение из-за неуплаты в установленный срок пошлины за поддержание патента в силе
Дата прекращения действия патента: 15.04.2003
Извещение опубликовано: 10.01.2005 БИ: 01/2005
|
||||||||||||||||||||||||||



























H) его кипятят с обратным холодильником вместе с производным циануксусного эфира в присутствии уксусной кислоты и ацетата аммония в подходящем растворителе, таком как толуол, с получением производного эфира алкилиденциануксусной кислоты, который далее нагревают в подходящем растворителе, например этаноле, в присутствии серы и основания с получением производного 2-аминотиофена (ii). А в случае альдегида (R1
,
0,25H2O (%):


