Патент на изобретение №2150469
|
||||||||||||||||||||||||||
(54) СПОСОБ ПОЛУЧЕНИЯ 2-(ФУРИЛ-2)-1,3-ИМИДАЗОЛИДИНОВ
(57) Реферат: Изобретение относится к органической химии, конкретно к способу получения 2-(фурил-2)-1,3-имидазолидинов, который обладает рострегулирующей функцигидной и бактерицидной активностью. Сущность изобретения заключается в том, что 2-(фурил-2)-1,3-имидазолидины формулы 1, где R-алкил получают путем взаимодействия N,N-ди(алкиламино)этанов, например 1,2-ди(изобутиламино)этана с фурфуролом при комнатной температуре в присутствии 10%-ной серной кислоты в качестве катализатора, в количестве 2 мл на 1 моль фурфурола с последующим выделением синтезированных соединений вакуумной перегонкой. Данный способ позволяет упростить процесс и повысить выход целевого продукта.
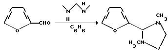
Изобретение относится к области органической химии, конкретно к способу получения 2-(фурил-2)-1,3-имидазолидинов, обладающих, подобно 2-(фурил-2)-1,3-диоксациклоалканам, высокой биологической активностью [Зеликман З.И., Шкребец А.И., Кульневич В.Г. Химия гетецикл. соед. – 1997. – N 3. – С. 291]. Описан синтез 2-R-1,3-динафтилимидазолидинов из N,N’- динафтилэтилендиаминов. Реакцию проводят в бензоле в присутствии молекулярных сит (48 ч, 20oC) или в безводном метаноле (7 дней, 20o Известен способ получения 1,3-имидазолидинов восстановлением циклических мочевин, предварительно полученных взаимодействием этилендиамина с мочевиной. Смесь циклической мочевины, NaOH и 1,4-диоксана кипятят 1,5 ч, к охлажденной суспензии добавляют алкил(арил)галогенид, кипятят 3,5 ч, охлаждают, фильтруют, затем восстанавливают LiAlH4 Рассмотрим его на примере 2-(фурил-2)-1,3-диметилимидазолидина: ![]() Согласно прототипу, раствор 72 г (0,75 моль) фурфурола и 75 г (0,85 моль N, N’-диметилэтилендиамина в 400 мл бензола кипятят с обратным холодильником 12 часов с азеотропной отгонкой реакционной воды. После упаривания растворителя выделяют вакуумной перегонкой 116,3 г 2-(фурил-2)-1,3-диметилимидазолидин с выходом 94%. Основные недостатки известного способа: 1. Сложность аппаратурного оформления (колба с мешалкой, ловушкой Дина-Старка с обратным холодильником); 2. Использование токсичного растворителя – бензола; 3. Необходимость нагрева до 80oC; 4. Длительное время реакции – 12 ч. Изобретение решает техническую задачу упрощения процесса получения 2-(фурил-2)-1,3-имидазолидинов. Сущность изобретения заключается в том, что способ получения 2-(фурил-2)-1,3-имидазолидинов, путем взаимодействия N, N’-диалкилэтилендиаминов с фурфуролом проводят, согласно изобретению, при мольном соотношении компонентов, равном 1:1, при комнатной температуре в присутствии 10%-ной серной кислоты, в качестве катализатора, в количестве 2 мл на 1 моль фурфурола: ![]() Выделение продуктов проводят с помощью вакуумной перегонки. Образующиеся 2-(фурил-2)-1,3-имидазолидины идентифицированы по физико-химическим константам и ПМР-спектрам. Способ осуществляют следующим образом: к смеси N,N’-диалкилэтилендиамина с фурфуролом, взятых в эквимолярных количествах, при комнатной температуре приливают 10%-ный раствор серной кислоты. Совершенно прозрачная реакционная смесь после 5 – 10 минут интенсивного перемешивания разогревается, мутнеет и приобретает оранжево-коричневую окраску. При этом реакционная вода выделяется в виде нижнего слоя. Нижний слой экстрагируют эфиром или пентаном, вытяжки объединяют с верхним органическим слоем, сушат над сухой щелочью, упаривают растворитель и выделяют вакуумной перегонкой 2-(фурил-2)-1,3-имидазолидин с выходом, близким к количественному. По сравнению с прототипом заявляемый способ отличается тем, что известная реакция конденсации N,N’-диалкилэтилендиаминов с фурфуролом, приводящая к образованию 2-(фурил-2)-1,3-имидазолидинов, осуществляется в иных условиях: при эквимолярном соотношении реагентов (без использования избытка N, N’-ди(алкиламино)этанов), без использования токсичного растворителя бензола, при комнатной температуре вместо температуры кипения бензола (80oC), в присутствии разбавленной серной кислоты в качестве катализатора. Время реакции сокращается с 12 ч до 5 – 10 минут. Заявляемый метод получения 2-(фурил-2)-1,3-имидазолидинов иллюстрируется примерами 1 – 9. Пример N 1. 2-(фурил-2)-1,3-диизобутил-1,3-имидазолидин (I): в химический стакан емкостью 750 мл загружают 1 моль (172 г) 1,2-ди)изобутиламино)этана, 1 моль (96 г, 83,4 мл) свежеперегнанного фурфурола и 2 мл 10%-ной серной кислоты. При смешении наблюдается разогревание и изменение цвета от соломенно-желтого до оранжево-коричневого. Реакция длится не более 10 минут. О завершении реакции свидетельствует выделение расчетного количества воды. Органическую фазу отделяют с помощью делительной воронки, водную фазу экстрагируют эфиром или пентаном, объединяют вытяжки с органической фазой. Сушат над сухой щелочью, отгоняют растворитель и перегоняют в вакууме. Получают 243 г 2-(фурил-2)-1,3-диизобутил-1,3-имидазолидина с выходом 97% (Tкип 165oC, 3 мм рт.ст.), n20D = 1,5288, d420 = 1,0212. Из примера N 1 видно, что возможно проведение реакции в обычном химическом стакане, а не в колбе, снабженной механической мешалкой и ловушкой Дина-Старка с обратным холодильником. Для перемешивания можно использовать магнитную мешалку, а при ее отсутствии – миксер или просто вилку, что не влияет на качество продукта. Проведение реакции при комнатной температуре также упрощает установку и снижает энергозатраты на синтез продукта. Кроме того, использование заявляемого способа позволяет избежать применения токсичного растворителя – бензола. Пример N 2. В химический стакан загружают 1 моль (96 г, 83,4 мл) свежеприготовленного фурфурола и 1,1 моль (189,2 г), 2-ди(изобутиламино)этана. Реакцию осуществляют аналогично примеру N 1. Выход продукта 238 г (95%). Пример N 3. В химический стакан загружают 1 моль (172 г)) 1,2-ди(изобутиламино)этана и 1,1 моль (105,6 г 92 мл) фурфурола. Реакцию осуществляют аналогично примеру N 1. Выход продукта 121,9 (85%). Как видно из примеров N 2 и N 3, оптимальное соотношение реагентов 1 : 1. При использовании в реакции даже небольшого избытка фурфурола, выход продукта снижается из-за осмоления продукта и затруднений, возникающих при его выделении. Небольшой избыток 1,2-ди(изобутиламино)этана практически не влияет на выход целевого продукта, но целесообразен по экономическим соображениям. Пример N 4. Аналогично примеру N 1 осуществляют загрузку реагентов. При температуре 40oC приливают 2 мл серной кислоты. Реакционная смесь частично осмоляется и темнеет, выход продукта 95,2 г (38%). Как видно из примера N 4, прибавление катализатора при температуре выше комнатной приводят к осмолению реакционной смеси и снижению выхода продукта. Пример N 5. Аналогично примеру N 1 осуществляют загрузку реагентов. При комнатной температуре приливают 2 мл 30%-ного раствора серной кислоты. Реакционная смесь осмоляется, выход продукта 87,7 г (35%). Пример N 6. Аналогично примеру N 1 осуществляют загрузку реагентов. При комнатной температуре к реакционной смеси добавляют 1 см3 эфира трехфтористого бора. Выход продукта составляет 105,2 г (42%). Из приведенных примеров видно, что оптимальное соотношение 1,2-ди(изобутиламино)этан:фурфурол равно 1:1, оптимальное количество катализатора 2 мл 10%-ного раствора серной кислоты, оптимальная температура 20oC. В указанных условиях осуществлена реакция взаимодействия ряда других N, N’-ди(алкиламино)этанов с фурфуролом. Пример N 7. Синтез 2-(фурил-2)-1,3-дибутил-1,3-имидазолидина (II): в химический стакан емкостью 750 мл загружают 1 моль (172 г) 1,2-ди(бутиламино)этана, 1 моль (96 г, 83,4 мл) свежеперегнанного фурфурола и 2 мл 10%-ной серной кислоты. При смешении наблюдается нагревание и изменение цвета от соломенно-желтого до оранжево-коричневого. Реакция длится не более 10 минут. О завершении реакции свидетельствует выделение расчетного количества воды. Органическую фазу отделяют с помощью делительной воронки, водную фазу экстрагируют эфиром или пентаном, объединяют вытяжки с органической фазой. Сушат над сухой щелочью, отгоняют растворитель и перегонкой в вакууме получают 240 г 2-(фурил-2)-1,3-дибутил-1,3-имидазолидина с выходом 96% (Tкип 180oC, 4 мм рт.ст.), n20D = 1,5283, d420 = 1,0191. Пример N 8. Аналогично примеру N 7 взаимодействием 1 моль (144 г) 1,2-ди(пропиламино)этана с 1 моль (96 г, 83,4 мл) свежеперегнанного фурфурола и 2 мл 10%-ной серной кислоты получают 208,7 г 2-(фурил-2)-1,3-дипропил- 1,3-имидазолидина с выходом 94% (Tкип 187oC, 6 мм рт.ст.), n20D = 1,5160, d420 = 1,0120. Пример N 9. Аналогично примеру N 7 взаимодействием 1 моль (144 г) 1,2-ди(изопропиламино)этана с 1 моль (96 г, 83,4 мл) свежеперегнанного фурфурола и 2 мл 10:-ной серной кислоты получают 208,7 г 2-(фурол-2-)-1,3-диизопропил-1,3-имидазолидина с выходом 94% (Tкип 171oC, 5 мм рт.ст.), n20D = 1,5168, d420 = 1,0150. По результатам первичного скрининга рострегулирующей активности синтезированных соединений, проведенных в НИИХСЗР (г. Москва), синтезированные 2-(фурил-2)-1,3-имидазолидины обладают рострегулирующей, фунгицидной и бактерицидной активностью и рекомендованы для проведения детальных испытаний с целью изыскания перспективных пестицидов комплексного действия для применения в сельском хозяйстве. Использование предлагаемого способа получения 2-(фурил-2)-1,3-имидазолидинов позволяет: сократить время реакции с 12 часов до 5 – 10 мин; избежать использования в реакции токсичного растворителя -бензола; снизить температуру реакции с 80oC по прототипу (температура кипения бензола) до комнатной, что значительно упрощает установку и снижает энергозатраты при получении данных соединений. Формула изобретения
![]() где R – алкил, взаимодействием N,N’ – ди(алкиламино)этанов формулы II RHNCH2CH2NHR, где R имеет указанные значения, с фурфуролом, отличающийся тем, что процесс проводят при мольном соотношении компонентов, равном 1: 1, при комнатной температуре в присутствии 10%-ной серной кислоты в количестве 2 мл на 1 моль фурфурола. MM4A Досрочное прекращение действия патента Российской Федерации на изобретение из-за неуплаты в установленный срок пошлины за поддержание патента в силе
Дата прекращения действия патента: 02.06.2001
Номер и год публикации бюллетеня: 3-2003
Извещение опубликовано: 27.01.2003
|
||||||||||||||||||||||||||



