Патент на изобретение №2150466
|
||||||||||||||||||||||||||
(54) СПОСОБ ПОЛУЧЕНИЯ 4-АРИЛПИРИДИНОВ
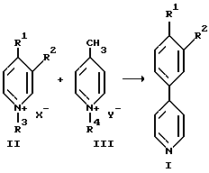
(57) Реферат: Описывается новый способ получения 4-арилпиридинов общей формулы (I), где R1, R2 – H или низший алкил, отличающийся тем, что смесь пиридиниевой соли общей формулы (II), где R1, R2 имеют указанные значения, R3 – алкил, алкоксил, X – анион, с пиридиниевой солью общей формулы (III), где R4 – алкил, алкоксил, Y – анион, подвергают взаимодействию с водным или с добавлением органических растворителей раствором сульфита алкиламмония или диалкиламмония и свободного основания или раствором свободного основания и сульфита щелочного металла при нагревании до 60-250°С. Технический результат -увеличение выхода целевого продукта, упрощение процесса и расширение ассортимента целевых продуктов. ![]() ![]()
Изобретение относится к области органической химии, а именно к новому способу получения 4-арилпиридинов общей формулы I ![]() где R1, R2 – H или низший алкил, которые могут быть использованы в органическом синтезе, в том числе в синтезе биологически активных соединений. Известен способ получения 4-фенилпиридинов, замещенных в положение 3, взаимодействием коричного альдегида с соответствующим алкенилалкиловым эфиром с последующим гидролизом полученного соединения до 1,5-дикарбонильного соединения, циклизуемых затем с гидроксиламином. Способ характеризуется общими выходами до 45%, многостадиен, требует труднодоступных исходных веществ и сложен для выполнения в производстве [SU, авторское свидетельство 164284, кл. C 07 213/10, 1964]. Известны также способы получения 4-фенилпиридина каталитической конденсацией бензальдегида с ацетальдегидом и аммиаком в парогазовой фазе при 300-400oC в присутствии окиси алюминия или каолина с выходом основного продукта до 20%. При модификации методики введением в реакционную смесь воды и подборе катализатора выход основного продукта возрастает до 52%, но во всех случаях образуются значительные количества различных трудно отделимых алкилпиридинов (до 45%) [SU, авторское свидетельство, 512209, кл. C 07 D 213/10, 1976, SU, авторское свидетельство, 527425, кл. C 07 D 213/10, 213/12, 1977]. Целью изобретения является увеличение выхода и чистоты 4-арилпиридинов, упрощение процесса синтеза и расширение ассортимента целевых соединений. Поставленная цель достигается согласно способу, заключающемуся в том, что смесь четвертичной соли 1-алкил-4-метилпиридиния и четвертичной соли 1-алкилпиридиния подвергают взаимодействию с раствором сульфита алкиламмония или диалкиламмония и свободного основания или с раствором свободного основания и сульфитом щелочного металла при нагревании до 60-250oC с последующим выделением целевого продукта. Описываемый способ основан на не известной ранее реакции циклотрансформации пиридинового цикла четвертичной соли пиридиния II с участием метильной группы четвертичной соли 4-метилпиридиния III под действием сульфитов. При этом первоначально происходит, по-видимому, присоединение сульфит-иона к пиридиновому ядру II, затем в результате нуклеофильной атаки метильной группы 4-метилпиридиния III происходит раскрытие пиридинового кольца II с последующим замыканием его в бензольный цикл. ![]() Образующиеся в результате реакции продукты дезалкилирования солей пиридиния могут быть снова использованы после соответствующей кватернизации для синтеза 4-арилпиридинов. Это позволяет получить выход целевых продуктов в пересчете на вступившие в реакцию пиридиновые основания до 68%. Пример 1. К 663 мг (3 ммоль) иодида 1-метилпиридиния и 705 мг (3 ммоль) иодида 1-метил-4-метилпиридиния, растворенным в 2 мл воды, добавляют 4 мл 68% раствора CH3NH3HSO3, 5 мл 40% водного раствора CH3NH2 и 3 мл воды. Смесь нагревают в запаянной ампуле при 230oC в течение 60 часов. После вскрытия содержимое ампулы разбавляют водой и экстрагируют бензолом. Экстракт сушат Na2SO4 и упаривают. Остаток очищают методом колоночной хроматографии на SiO2 (Kieselgel 60, 0,063-0,100 mm, Merck), элюент бензол, затем бензол – этилацетат в соотношении 2:1. Выход 4-фенилпиридина 186 мг (42%), т.пл. 72-74oC (лит. данные т. пл. 66-67oC [SU авторское свидетельство 164284, кл. C 07 D 213/10, 1964]. Спектр ПМР (CDCl3, м.д.): 7.45 (м, 1H, H(C-4′)), 7,49-7,52 (м, 4H, H(C-3), H(C-5), H(C-3′), H(C-5′)), 7,65 (м, 2H, H(C-2′), H(C-6′)), 8,67 (м, 2H, (H(C-2), H(C-6)).
Пример 2.
Получен аналогично примеру 1 из иодида 1-метилпиридиния и иодида 1-этил-4-метилпиридиния. Выход 4-фенилпиридина 49%, т.пл. 72-74oC.
Пример 3.
Получен аналогично примеру 1 из иодида 1-метилпиридиния и бромида 1-этил-4-метилпиридиния. Выход 4-фенилпиридина 53%, т.пл. 72-74oC.
Пример 4.
Получен аналогично примеру 1 из иодида 1-метилпиридиния и иодида 1-изопропил-4-метилпиридиния. Выход 4-фенилпиридина 57%, т.пл. 72-74oC.
Пример 5.
Получали аналогично примеру 1 из иодида 1-этилпиридиния и иодида 1-метил-4-метилпиридиния. Выход 4-фенилпиридина 35%, т.пл. 72-74oC.
Пример 6.
Получен аналогично примеру 1 из бромида 1-этилпиридиния и иодида 1-метил-4-метилпиридиния. Выход 4-фенилпиридина 37%, т.пл. 72-74oC.
Пример 7.
Получен аналогично примеру 1 из иодида 1-изопропилпиридиния и иодида 1-метил-4-метилпиридиния. Выход 4-фенилпиридина 29%, т.пл. 72-74oC.
Пример 8.
Получен аналогично примеру 1 из иодида 1-метил-4-метилпиридиния. Выход 4-(4-метилфенил)пиридина 1,5% т.пл. 84-86oC (лит. данные т.пл. 89-90oC [R.A. Abramovitch and J.G. Saha, J. Chem. Soc. 1964, 2175]. Спектр ПМР (CDCl3, м. д.): 2,42 (с, 3H, CH3) 7,30 (д, 2H, H(C-3′), H(C-5′)), 7,50 (м, 2H, H(C-3), H(C-5)), 7,55 (д, 2H, H(C-2′), H(C-6′)), 8,64 (д, 2H, H(C-2), H(C-6)). Масс спектр (m/z, I, %): 169 [M]+ (100), 168 (86), 167 (45), 166 (11), 142 (22), 141 (29), 139 (14), 115 (29), 91 (32), 89 (10), 63 (12), 51 (13).
Пример 9.
Получен аналогично примеру 1 из иодида 1-метил-4-метилпиридиния и иодида 1-изопропил-4-метилпиридиния. Выход 4-(4-метилфенил)пиридина 5%, т.пл. 84-86oCo.
Пример 10.
Получены аналогично примеру 1 из иодида 1-метил-3-метилпиридиния и иодида 1-изопропил-4-метилпиридиния. Общий выход смеси в соотношении 3:1 4-(3-метилфенил)пиридина и 4-(4-метилфенил)пиридина 7.5%. Спектр ПМР 4-(3-метилфенил)пиридина (CDCl3, м.д.): 2,45 (с, 3H, CH3), 7,27 (м, 1H, H(C-4′)), 7,39 (м, 1H, H(C-5′)), 7,45 (д, 1H, H(C-6′)), 7,46 (c, 1H, H(C-2′)), 7,51 (м, 2H, H(C-3), H(C-5)), 8,66 (м, 2H, H(C-2), H(C-6)). Спектр ПМР 4-(4-метилфенил)пиридина (CDCl3, , м. д.): 2,42 (с, 3H, CH3), 7,30 (д, 2H, H(C-3′), H(C-5′)), 7,50 (м, 2H, H(C-3), H(C-5)), 7,55 (д, 2H, H(C-2′), H(C-6′)), 8,64 (д, 2H, H(C-2), H(C-6)).
Таким образом, использование предлагаемого способа позволяет достичь цели изобретения и получить 4-арилпиридины из доступных веществ (продукты коксохимического производства), высокой степени чистоты и с хорошими выходами (до 68%), отличается простотой и дает возможность расширить ассортимент целевых продуктов.
Формула изобретения
![]() где R1, R2-H или низший алкил, отличающийся тем, что смесь пиридиниевой соли общей формулы ![]() где R1, R2 имеют указанные значения, R3 – алкил, алкоксил, Х – анион, с пиридиниевой солью общей формулы ![]() где R4 – алкил, алкоксил, Y – анион, подвергают взаимодействию с водным или с добавлением органических растворителей раствором сульфита алкиламмония или диалкиламмония и свободного основания или раствором свободного основания и сульфита щелочного металла при нагревании до 60 – 250oС. |
||||||||||||||||||||||||||





м.д.): 7.45 (м, 1H, H(C-4′)), 7,49-7,52 (м, 4H, H(C-3), H(C-5), H(C-3′), H(C-5′)), 7,65 (м, 2H, H(C-2′), H(C-6′)), 8,67 (м, 2H, (H(C-2), H(C-6)).
Пример 2.
Получен аналогично примеру 1 из иодида 1-метилпиридиния и иодида 1-этил-4-метилпиридиния. Выход 4-фенилпиридина 49%, т.пл. 72-74oC.
Пример 3.
Получен аналогично примеру 1 из иодида 1-метилпиридиния и бромида 1-этил-4-метилпиридиния. Выход 4-фенилпиридина 53%, т.пл. 72-74oC.
Пример 4.
Получен аналогично примеру 1 из иодида 1-метилпиридиния и иодида 1-изопропил-4-метилпиридиния. Выход 4-фенилпиридина 57%, т.пл. 72-74oC.
Пример 5.
Получали аналогично примеру 1 из иодида 1-этилпиридиния и иодида 1-метил-4-метилпиридиния. Выход 4-фенилпиридина 35%, т.пл. 72-74oC.
Пример 6.
Получен аналогично примеру 1 из бромида 1-этилпиридиния и иодида 1-метил-4-метилпиридиния. Выход 4-фенилпиридина 37%, т.пл. 72-74oC.
Пример 7.
Получен аналогично примеру 1 из иодида 1-изопропилпиридиния и иодида 1-метил-4-метилпиридиния. Выход 4-фенилпиридина 29%, т.пл. 72-74oC.
Пример 8.
Получен аналогично примеру 1 из иодида 1-метил-4-метилпиридиния. Выход 4-(4-метилфенил)пиридина 1,5% т.пл. 84-86oC (лит. данные т.пл. 89-90oC [R.A. Abramovitch and J.G. Saha, J. Chem. Soc. 1964, 2175]. Спектр ПМР (CDCl3, 

