Патент на изобретение №2150465
|
||||||||||||||||||||||||||
(54) 1-ФЕНИЛ-3-ДИМЕТИЛАМИНО-ПРОПАНОВЫЕ СОЕДИНЕНИЯ, СПОСОБ ИХ ПОЛУЧЕНИЯ (ВАРИАНТЫ) И БОЛЕУТОЛЯЮЩЕЕ ЛЕКАРСТВЕННОЕ СРЕДСТВО
(57) Реферат: Описываются новые 1-фенил-3-диметиламино-пропановые соединения формулы I, где значения R1, R2, R3, R4, R5, X указаны в п. 1 формулы, проявляющие анальгетическую активность. Описывается также способ их получения и болеутоляющее лекарственное средство на основе соединений формулы I. 7 с. и 3 з. п.ф-лы, 1 табл.
Изобретение относится к 1-фенил-3-диметиламино-пропановым соединениям, способу их получения и к применению этих соединений в качестве фармацевтических активных веществ. Лечение хронических и нехронических болезненных состояний играет в медицине важную роль. Это отражено, в частности, во множестве различных публикаций. Так, например, из европейской заявки EP 176049 известны 1-нафтил-3-амино-пропан-1-олы, обладающие анальгетически-наркологическим действием. Далее, в Journ. Pharm. Sci. 59, 1038 (1970) и в Journ. Prakt. Chem. 323. 793 (1981) описываются вторичные и третичные спирты с находящейся всегда в – положении аминогруппой, а в Chem. Abstr. 54. 20963 с (1960) и в Chem. Abstr. 63. 6912e (1965) представлены фенил-диметиламино-пропанолы с паразамещенным фенильным остатком. Эти соединения также обладают болеутоляющими свойствами. В отличие от них описанные в заявке Германии DE 3242922 3-диметиламино-пропан-1-олы с 2 фенильными остатками действуют как антидепрессивные средства. Описанные в Journ. Pharm. Sci. 57, 1487 (1968) 1-фенил-пропан-1-олы характеризуются в зависимости от находящегося всегда в – положении азацикла различной фармакологической эффективностью.
Опиоиды вот уже в течение многих лет используются в качестве анальгетических лекарственных средств для обезболивания, хотя они вызывают целый ряд побочных действий, например, способствуют выработке вредной привычки и болезненного чувства зависимости, обусловливают дыхательную депрессию, осложняют работу желудочно-кишечного тракта и вызывают запоры. По этой причине их можно применять только лишь при соблюдении особых мер предосторожности: так, в частности, при назначении для приема в течение длительного времени или при высокой дозировке необходимы специальные предписания (см. Goodman, Gilman в “The Pharmacological Basis of Therapeutics”, изд-во Pergamon Press, Нью-Йорк (1990)).
Трамадолгидрохлорид-гидрохлорид (1RS, 2RS)-2-[(диметиламино)метил] -1-(3-метоксифенил)циклогексанола – занимает среди наиболее эффективных анальгетических лекарственных средств особое место в силу того, что это активное вещество обладает сильным болеутоляющим действием, не оказывая при этом побочных действий, характерных для опиоидов (см. Journ. Pharmacol. Exptl. Ther. 267. 331 (1993)). Трамадол представляет собой рацемат и состоит из равных количеств (+)- и (-)-энантиомера. Это активное вещество образует in vivo метаболит O-десметил-трамадол, который также представлен в виде смеси энантиомеров. Проведенные исследования показали, что как энантиомеры трамадола, так и энантиомеры трамадоловых метаболитов участвуют в анальгетическом действии (см. Journ. Pharmacol. Exp. Ther. 260. 275 (1992)).
Положенная в основу изобретения задача состояла в разработке и получении веществ анальгетического действия, пригодных для лечения сильных болей, которые не вызывали бы побочных явлений, типичных для опиоидов. Кроме того, создаваемые вещества не должны были оказывать побочных действий, имеющих место в ряде случаев при лечении трамадолом, как, например, тошнота и рвота.
Было установлено, что определенные 1-фенил-3-диметиламино-пропановые соединения отвечают высоким требованиям, которые ставились при их создании. Эти вещества отличаются ярко выраженным анальгетическим действием, которое по сравнению с трамадолом является значительно более эффективным.
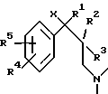
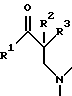
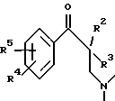
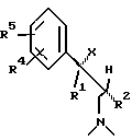
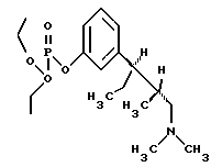
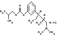
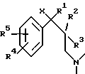
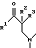
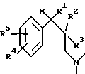
Предметом настоящего изобретения являются в соответствии с этим 1-фенил-3-диметиламино-пропановые соединения формулы I![]() X обозначает OH, F, Cl, H либо OCOR6-группу с R6 со значением C1-3-алкил, R1 представляет собой C1-4-алкильную группу, R2 обозначает H либо C1-4-алкильную группу и R3 обозначает H либо линейную C1-4-алкильную группу или R2 и R3 оба вместе представляют собой C4-7-циклоалкильный остаток, и если R5 является H, то R4 обозначает мета-O-Z с Z, имеющим значение H, C1-3-алкил, PO(OC1-4-алкил)2, CO(OC1-5-алкил), CONH-C6H4-(C1-3-алкил), CO-C6H4-R7, причем R7 представляет собой орто-OCOC1-3-алкил или мета- либо пapa-CH2N(R8)2 с R8, имеющим значение C1-4-алкил либо 4-морфолино, или же R4 обозначает мета-S-C1-3-алкил, мета-Cl, мета-F, мета-CR9R10R11 с R9, R10 и R11, имеющими значение H или F, орто-OH, орто-O-C2-3-алкил, пара-F либо пара-CR9R10R11, или если R5 обозначает находящийся всегда в пара-положении Cl, F, OH либо O-C1-3-алкил, то R4 обозначает находящийся всегда в мета-положении Cl, F, OH либо O-C1-3-алкил, или R4 и R5 оба вместе обозначают 3,4-OCH=CH- либо 3,4-OCH=CHO-, в качестве диастереомеров или энантиомеров в виде их оснований либо солей физиологически совместимых кислот. Предпочтительными являются 1-фенил-3-диметиламино-пропановые соединения формулы I, в которых X представляет собой OH, F, Cl либо H, R1 обозначает C1-4-алкильную группу, R2 обозначает H либо CH3 и R3 обозначает H либо CH3, и если R5 является H, то R4 обозначает находящийся всегда в мета-положении O-C1-3-алкил, OH, S- C1-3-алкил, F, Cl, CH3, CF2H либо CF3, или находящийся всегда в пара-положении CF3, или если R5 представляет собой находящийся всегда в пара-положении Cl либо F, то R5 обозначает находящийся всегда в мета-положении Cl либо F, или же R4 и R5 оба вместе обозначают 3,4-OCH=CH-. Особенно предпочтительными являются 1-фенил-3-диметиламино-пропановые соединения формулы I, в которой радикалы R2 и R3 имеют разные значения, в виде их диастереомеров с конфигурацией Ia ![]() Другим предметом настоящего изобретения является способ получения 1-фенил-3-диметиламино-пропановых соединений формулы I, где переменный X обозначает OH, отличающийся тем, что – диметиламинокетон формулы II![]() с помощью металлорганических соединений формулы III ![]() в которой Z обозначает MgCI, MgBr, MgJ либо Li, трансформируют в соединение формулы I с X, представляющим собой ОН. Взаимодействие – диметиламинокетона с соединением Гриньяра формулы III, в которой Z обозначает MgCI, MgBr либо MgJ, или с литийорганическим соединением формулы III может осуществляться в простом алифатическом эфире, как, например, диэтиловый эфир и/или тетрагидрофуран, в диапазоне температур от -70oC до +60oC. Литийорганические соединения формулы III могут быть получены взаимодействием соединения формулы III, в которой Z обозначает Cl, Br либо J, например, с раствором n-бутиллития в гексане за счет обмена галоген/литий, – диметиламинокетоны формулы II могут быть получены из кетонов общей формулы IV![]() взаимодействием с гидрохлоридом диметиламина и формальдегидом в ледяной уксусной кислоте либо в С1-4-алкиловом спирте или же взаимодействием диметиламмонийметиленхлорида в ацетонитриле при катализе с помощью 5 ацетиленхлорида (см. Synthesis 1973, 703). При взаимодействии – диметиламинокетона формулы II, в которой переменные R2 и R3 имеют разные значения, с металлорганическим соединением формулы III получают 1-фенил-3-диметиламино-пропановые соединения формулы I с относительной конфигурацией формулы Ia![]() в которой X и диметиламинометиловая группа имеют трео-конфигурацию. Если же обменную реакцию осуществлять по опубликованному в патенте ГДР DD 124521 способу получения 1-фенил-1-гидрокси-3-аминопропанов, т.е. взаимодействием – аминокетонов формулы V![]() с алкильным соединением Гриньяра R1Mgгал, то можно получать соединения с относительной конфигурацией Ib ![]() в которой группа ОН и диметиламинометиловый остаток имеют эритро-конфигурацию. 1-фенил-3-диметиламино-пропановые соединения формулы I, в который R4 и/или R5 представляют собой группу ОН, могут быть получены из соответствующих 1-(4(5)-метоксифенил)-3-диметиламино-пропаноловых соединений путем селективного отщепления эфира с помощью диизобутилалюминийгидрида в ароматическом углеводороде, например, толуоле, в диапазоне температур от 60o до 130oC (см. Synthesis 1975, 617). Другим предметом изобретения является способ получения 1-фенил-3-диметиламино-пропановых соединений формулы I, в которой X обозначает H, отличающийся тем, что соединение формулы I, в которой X обозначает Cl, подвергают взаимодействию с боргидридом цинка, цинкцианоборгидридом и/или оловоцианоборгидридом. Обычно реакцию осуществляют в растворителе, как, например, диэтиловый эфир и/или тетрагидрофуран, в диапазоне температур от 0o до 30oC. Соединения формулы I, в которой X является H, a R4 и/или R5 представляют собой группу OH, могут быть получены из соответствующих метоксифенильных соединений путем нагрева в течение нескольких часов с концентрированной бромистоводородной кислотой (см. Chem. Rev. 54, 615 (1954); Journ. Am. Chem. Soc. 74, 1316 (1952)). Предметом настоящего изобретения является далее способ получения 1-фенил-3-диметиламино-пропановых соединений формулы I, где X обозначает F, отличающийся тем, что соединение формулы I, в которой X представляет собой OH, подвергают взаимодействию с диметиламино-сульфотрифторидом в растворителе. В качестве растворителей могут использоваться дихлорметан, 1,1,2-трихлорэтан и/или толуол. Обычно реакцию осуществляют в диапазоне температур от -50oC до +30oC (см. Org. React. 35, 513 (1988)). Если применяют соединение формулы I с X при значении OH, в которой R4 и/или R5 представляют собой группы OH, то эти группы OH до начала обменной реакции должны быть защищены фторосоединением, что достигается, например, взаимодействием с бензоилхлоридом. Предметом настоящего изобретения является далее способ получения 1-фенил-3-диметиламино-пропановых соединений формулы I, в которой X обозначает Cl, отличающийся тем, что соединение формулы I, в которой X представляет собой OH, подвергают взаимодействию с тионилхлоридом. Эту реакцию проводят обычно в отсутствие растворителя в диапазоне температур от 0oC до 20oC. В результате обмена OH/Cl получают соответствующую конфигурацию. Другим предметом настоящего изобретения является способ получения 1-фенил-3-диметиламино-пропановых соединений формулы I, в которой X представляет собой OCOR6-группу с R6, обозначающим С1-3-алкил, отличающийся тем, что соединение формулы I, в которой X обозначает OH, подвергают взаимодействию с хлоридом кислоты Cl-COOR6. Предпочтительно реакцию осуществляют в растворителе, например, дихлорметане, толуоле и/или тетрагидрофуране, в диапазоне температур от -10oC до +30oC. 1-фенил-3-диметиламино-пропановые соединения формулы I, в которых R5 является H, а R4 представляет собой находящуюся всегда в мета-положении фосфатную, карбонатную, карбаматную или карбоксилатную группу, могут быть получены взаимодействием соответствующих 1-(3-гидроксифенил)-3-диметиламино-пропановых соединений формулы I в виде их солей щелочных металлов с солью щелочного металла диалкилхлорфосфата, с алкилхлорформиатом, с арилизоцианатом или же с хлоридом карбоновой кислоты. Эти обменные реакции осуществляют обычно в растворителе, например, толуоле, дихлорметане, диэтиловом эфире и/или тетрагидрофуране, в диапазоне температур от -15oC до +110oC (см. Drugs of the Future 16, 443 (1991); Journ. Med. Chem. 30, 2008 (1987) и 32, 2503 (1989); Journ. Org. Chem. 43, 4797 (1978); Tetrahedron Lett. 1977. 1571; Journ. Pharm. Sci. 57, 744 (1968)). Соединения формулы I с помощью физиологически совместимых кислот, как, например, соляная кислота, бромистоводородная кислота, серная кислота, метансульфокислота, муравьиная кислота, уксусная кислота, щавелевая кислота, янтарная кислота, винная кислота, миндальная кислота, фумаровая кислота, молочная кислота, лимонная кислота, глутаминовая кислота и/или аспарагиновая кислота, могут переводиться по известной методике в их соли. Реакции солеобразования проводят предпочтительно в растворителе, например, диэтиловом эфире, диизопропиловом эфире, алкиловом эфире уксусной кислоты, ацетоне и/или 2-бутаноне. Для получения гидрохлоридов может использоваться, кроме того, триметилхлорсилан в водном растворе. 1-фенил-3-диметиламино-пропановые соединения формулы I совершенно безопасны в токсикологическом отношении и благодаря этому они пригодны для использования в качестве фармацевтического активного вещества в лекарственных средствах. Другим предметом изобретения является в соответствии с этим применение 1-фенил-диметиламино-пропановых соединений формулы I в качестве фармацевтических активных веществ. Предпочтительно соединения формулы I применяют для лечения болезненных состояний. Анальгетики согласно изобретению наряду с по крайней мере одним 1-фенил-3-диметиламино-пропановым соединением формулы I содержат также наполнители, растворители, разбавители, красители и/или связывающие вещества. Выбор этих вспомогательных веществ, равно как и требумое их количество, зависит от того, предназначено ли соответствующее лекарственное средство для орального, внутривенного, внутрибрюшинного, внутрикожного, внутримышечного, внутриносового или локального введения, например, при кожных инфекциях, поражении слизистой оболочки и глаз. Для орального введения пригодны композиции в форме таблеток, драже, капсул, гранулятов, капель, соков и сиропов; для парентерального, наружного местного и ингаляционного применения таковыми являются растворы, суспензии, легко восстанавливаемые сухие композиции, а также аэрозоли. Соединения формулы I по изобретению в форме растворов или пластырей, при определенных условиях с добавками средств, способствующих более эффективной пенетрации, представляют собой композиции для подкожного введения. Формы, предназначенные для орального или подкожного введения, могут выделять соединения формулы I по изобретению не сразу, а с замедлением. Количество назначаемого пациенту активного вещества варьируется в зависимости от веса пациента, от формы введения препарата, от показания того или иного метода лечения и степени тяжести заболевания. Обычно назначают от 50 до 500 мг/кг по крайней мере одного 1-фенил-3-диметиламино-пропанового соединения формулы I. Примеры Показатели выхода полученных соединений не оптимизированы. Все температуры указаны в соответствии с полученными данными. Если не указано иное, в экспериментах использовали петролейный эфир с температурой кипения в пределах 50-70oC. Термин “эфир” обозначает простой диэтиловый эфир. В качестве неподвижной фазы в колоночной хроматографии использовали силикагель 60 (0,040-0,063 мм) фирмы E.Merck, Дармштадт. Исследования посредством тонкослойной хроматографии проводились с помощью ТСХВД-пластин, силикагель 60 F 254, фирмы E.Merck, Дармштадт. Разделение рацематов осуществляли на колонке Chiracel OD. Соотношения компонентов в системе растворителей во всех хроматографических исследованиях указаны в соотношении объем/объем. КТ означает “комнатная температура”, Тпл означает “температура плавления”. Пример 1 ![]() Гидрохлорид (1) (2RS,3RS)-1-диметиламино-3-(3-метокси- фенил)-2-метил-пентан-3-ола В 26,99 г (1,11 моля) магниевой стружки в 150 мл сухого тетрагидрофурана по каплям добавляли 207,63 г (1,11 моля) 3-броманизола, растворенного в 400 мл сухого тетрагидрофурана, причем добавку производили таким образом, чтобы реакционная смесь слегка кипела. После окончания добавки 3-броманизола в течение 1 ч нагревали с обратным холодильником и затем охлаждали до 5-10oC. При этой температуре добавляли 128,30 г (0,89 моля) 1-диметиламино-2-метил-пентан-3-она, растворенного в 400 мл тетрагидрофурана. Затем реакционной смеси давали отстояться в течение ночи, после чего повторно охлаждали до температуры 5-10oC. Добавкой 300 мл 20%-ного раствора хлорида аммония раствор Гриньяра разлагали. Далее реакционную смесь разбавляли 400 мл эфира, органическую фазу отделяли, а водную фазу дважды экстрагировали с помощью 250 мл эфира. Соединенные органические фазы сушили над сульфатом натрия. После удаления растворителя путем отгонки остаток (212 г) растворяли в 3200 мл 2-бутанона и обрабатывали 120,60 г (1,11 моля) триметилхлорсилана и 20 мл воды. При температуре 4-5oC в виде кристаллов выпадали 121,5 г (38% от теории) гидрохлорида (1) с Тпл 198-199oC. Пример 2 ![]() ![]() Энантиомеры гидрохлорида (1): Гидрохлорид (-1) (-)-(2S,3S)-1-диметиламино-3-(3-метокси- фенил)-2-метил-пентан-3-ола и гидрохлорид (+1) (+)-(2R, 3R)-1-диметиламино-3-(3-метокси-фенил)-2-метил-пентан-3-ола Из (1) с помощью дихлорметана/едкого натра выделяли основание. После сушки раствора дихлорметан отгоняли в вакууме. Затем рацемат отделяли на хиральной ЖХВД-колонке. Из полученных энантиомеров взаимодействием с триметилхлорсиланом/водой в 2-бутаноне получали гидрохлориды с Тпл 150-151oC. (-1): Выход: 42% от теории [ ]KDT = -31,8o (c=0,99; метанол)(+1) Выход: 41% от теории [ ]KDT = +33,0o (c=0,96; метанол)Пример 3 ![]() Гидрохлорид (2) (2RS,3RS)-3-(3,4-дихлорфенил)-1- диметиламино-2-метил-пентан-3-ола Аналогично тому, как это описано в, примере 1, из 15 г (105 ммолей) 1-диметиламино-2-метил-пентан-3-она, 35,5 г (157 ммолей) 4-бром-1,2-дихлорбензола и 3,8 г (157 ммолей) магниевой стружки получали 39 г сырой смеси. Эту смесь подавали на колонку размером 7×40 см, заполненную силикагелем, и элюировали с помощью системы растворителей этиловый эфир уксусной кислоты/метанол в соотношении 4/1. В результате получали 14,9 г основания, из которого с помощью триметилхлорсилана/воды в 2-бутаноне/диизопропиловом эфире получали 11,2 г (31% от теории) гидрохлорида (2) с Тпл 183-184oC. Пример 4 ![]() Гидрохлорид (3) (2RS, 3RS)-3-(3-изопропокси-фенил)-1- диметиламино-2-метил-пентан-3-ола Аналогично тому, как это описано в примере 1, из 14,3 г (100 ммолей) 1-диметиламино-2-метил-пентан-3-она, 20,0 г (157 ммолей) 1-бром-3- изопропокси-бензола и 2,79 г (115 ммолей) магниевой стружки получали 25 г сырой смеси. Эту смесь подавали на колонку размером 7×40 см, заполненную силикагелем, и элюировали с помощью системы растворителей этиловый эфир/метанол в соотношении 15/1. В результате получали 9,0 г основания, из которого с помощью триметилхлорсилана/воды в 2-бутаноне получали 8,3 г (26% от теории) гидрохлорида (3) с Тпл 133-134o. Пример 5 ![]() Гидрохлорид (4) (2RS, 3RS)-3-(3-хлор-фенил)-1- диметиламино-2-метил-пентан-3-ола В условиях, аналогично описанным в примере 1, из 38,0 г (270 ммолей) 1-диметиламино-2-метил-пентан-3-она, 74,7 г (390 ммолей) 1-бром-3-хлорбензола и 9,50 т (390 ммолей) магниевой стружки получали 63 г сырой смеси. Эту смесь подавали на колонку размером 7×45 см, заполненную силикагелем, и элюировали с помощью системы растворителей диизопропиловый эфир/метанол в соотношении 7/1. В результате получали 12,8 г основания, из которого с помощью триметилхлорсилана/воды в 2-бутаноне/эфире получали 10,8 г (14% от теории) гидрохлорида (4) с Тпл 160-162. Пример 6 ![]() Гидрохлорид (5) (2RS, 3RS)-1-диметиламино-2-метил-3- (3-трифторметил-фенил)-пентан-3-ола В условиях, аналогично описанным в примере 1, из 14,3 г (100 ммолей) 1-диметиламино-2-метил-пентан-3-она, 29,3 г (130 ммолей) 1-бром-3-трифторметил-бензола и 3,2 г (130 ммолей) магниевой стружки получали 21,2 г сырой смеси. Эту смесь подавали на колонку размером 6×40 см, заполненную силикагелем, и элюировали с помощью системы растворителей диизопропиловый эфир/метанол в соотношении 10/1. Таким путем получали 9,1 г основания, из которого с помощью триметилхлорсилана/воды в 2-бутаноне получали 7,8 г (18,5% от теории) гидрохлорида (5) с Тпл 189-190oC. Пример 7 ![]() Гидрохлорид (6) (2RS,3RS)-1-диметиламино-2-метил-3- (m-толил)-пентан-3-ола Согласно тому, как это описано в примере 1, из 47,3 г (330 ммолей) 1-диметиламино-2-метил-пентан-3-она, 64,6 г (400 ммолей) 3-бром-толуола и 9,72 г (400 ммолей) магниевой стружки получали 75 г сырой смеси. Эту смесь подавали на колонку размером 7×50 см, заполненную силикагелем, и элюировали с помощью системы растворителей диизопропиловый эфир/метанол в соотношении 7/1. Таким путем получали 24,3 г основания, из которого с помощью системы растворителей триметилхлорсилан/вода в 2-бутаноне получали 21,5 г (24% от теории) гидрохлорида (6) с Тпл 154-155oC. Пример 8 ![]() Гидрохлорид (7) (2RS, 3RS)-1-диметиламино-3-(3-фтор- фенил)-2-метил-пентан-3-ола В условиях, аналогично описанным в примере 1, из 54,0 г (380 ммолей) 1-диметиламино-2-метил-пентан-3-она, 82,5 г (470 ммолей) 1-бром-3-фтор-бензола и 9,23 г (470 ммолей) магниевой стружки получали 70 г сырой смеси. Эту смесь подавали на колонку размером 7×50 см, заполненную силикагелем, и элюировали с помощью системы растворителей этиловый эфир уксусной кислоты/метанол в соотношении 1/1. В результате получали 13,0 г основания, из которого с помощью триметилхлорсилана/воды в 2-бутаноне получали 11,2 г (11,5% от теории) гидрохлорида (7) с Тпл 145-146oC. Пример 9 ![]() Гидрохлорид (8) (2RS, 3RS)-3-(3-дифторметил-фенил)-1- диметиламино-2-метил-пентан-3-ола 7,0 г (34 ммоля) 1-бром-3-дифторметил-бензола, полученного из 3-бром-бензальдегида и диэтиламиносульфотрифторида в дихлорметане согласно Org. React. 35, 513 (1988), растворяли в 110 мл сухого тетрагидрофурана и охлаждали до -75oC. После добавки 21,12 мл (34 ммоля) 1,6 молярного раствора n-бутиллития в гексане перемешивали в течение 1 ч при той же температуре -75oC. Затем по каплям добавляли 4,8 г (34 ммоля) 1-диметиламино-2-метил-пентан-3- она, растворенного в 15 мл сухого тетрагидрофурана. В течение 2,5 ч реакционную смесь нагревали до комнатной температуры. Для дальнейшей переработки при охлаждении ледяной ванной добавляли по каплям 65 мл 5%-ной соляной кислоты так, чтобы внутренняя температура не превышала 15oC. После разделения фаз органическую фазу экстрагировали с помощью 40 мл 5%-ной соляной кислоты. Соединенные водные фазы дважды промывали 50 мл эфира. Для выделения основания проводили обработку концентрированным едким натром и экстрагировали с помощью дихлорметана. Таким путем получали 7,8 г сырого продукта, который подавали на колонку размером 7×40 см, заполненную силикагелем. После элюирования с использованием системы растворителей этиловый эфир уксусной кислоты/метанол в соотношении 1/1 получали 4,89 г основания, из которого с помощью триметилхлорсилана/воды в 2-бутаноне получали 4,6 г (44% от теории) гидрохлорида (8) с Тпл 194-195oC. Пример 10 ![]() Гидрохлорид (9) (2RS,3RS)-1-диметиламино-2-метил-3-(3- метилсульфанил-фенил)-пентан-3-ола В условиях, аналогично описанным в примере 1, из 17,6 г (123 ммоля) 1-диметиламино-2-метил-пентан-3-она, 25,0 г (123 ммоля) 1-бром-3- метилсульфанил-бензола и 3,0 г (123 ммоля) магниевой стружки получали 38 г сырой смеси. Эту смесь подавали на колонку размером 7×40 см, заполненную силикагелем, и элюировали с помощью системы растворителей этиловый эфир уксусной кислоты/метанол в соотношении 10/1. В результате получали 8,35 г основания, из которого с помощью триметилхлорсилана/воды в 2-бутаноне получали 7,2 г (19% от теории) гидрохлорида (9) с Тпл 159-160oC. Пример 11 ![]() Гидрохлорид (10) (2RS,3RS)-3-бензофуран-6-ил-1-диметиламино- 2-метил-пентан-3-ола К 2,12 г (87 ммолей) магниевой стружки в 30 мл сухого эфира в течение 1,5 ч по каплям добавляли 3,45 г (18 ммолей) 6-бром-бензофурана (полученного согласно европейской заявке EP 355827) и 6 мл 1,2-дибром-этана, растворенного в 60 мл сухого эфира, и после добавки смесь нагревали в течение 30 мин с обратным холодильником. Затем при охлаждении ледяной ванной при внутренней температуре 5-10oC по каплям добавляли 2,5 г (18 ммолей) 1-диметиламино-2-метил-пентан-3-она, растворенного в 7,5 мл эфира. Реакционной смеси давали отстояться в течение 12 ч при комнатной температуре, после чего ее повторно охлаждали до 5-10oC и обрабатывали 35 мл 20%-ного водного раствора хлорида аммония. После разделения фаз водную фазу экстрагировали с помощью 50 мл эфира. Соединенные органические фазы сушили над сульфатом натрия. После удаления путем отгонки растворителя остаток (3,9 г) подавали на колонку размером 5×16 см, заполненную силикагелем. Элюированием с помощью системы растворителей диизопропиловый эфир/метанол в соотношении 7/1 получали 0,95 г основания, из которого с помощью триметилхлорсилана/воды в этиловом эфире уксусной кислоты/2-бутаноне получали 0,82 г (15,5% от теории) гидрохлорида (10) с Тпл 162oC. Пример 12 ![]() Гидрохлорид (11) (2RS,3RS)-1-диметиламино-2-метил-3-(4- трифторметил-фенил)-пентан-3-ола Аналогично тому, как это описано в примере 1, из 20,0 г (140 ммолей) 1-диметиламино-2-метил-пентан-3-она, 31,5 г (140 ммолей) 1-бром-4-трифторметил-бензола, 16,5 г (680 ммолей) магниевой стружки и 47 мл 1,2-дибром-этана получали 44 г сырой смеси. Затем эту смесь подавали на колонку размером 7х50 см, заполненную силикагелем, и элюировали с помощью системы растворителей этиловый эфир уксусной кислоты/метанол в соотношении 5/1. Таким путем получали 16,4 г основания, из которого с помощью триметилхлорсилана/воды в 2-бутаноне получали 12,3 г (27% от теории) гидрохлорида (II) с Тпл 170-171oC. Пример 13 Гидрохлорид (12) (3RS)-1-диметиламино-3-(3-метокси- фенил)-гексан-3-ола Аналогично тому, как это описано в примере 1, из (70 ммолей) 1-диметиламино-гексан-3-она, 18,7 г (100 ммолей) 1-бром-3-метокси-бензола и 2,3 г (100 ммолей) магниевой стружки получали 18,5 г сырой смеси. Затем эту смесь подавали на колонку размером 6×50 см, заполненную силикагелем, и элюировали с помощью системы растворителей этиловый эфир уксусной кислоты/метанол в соотношении 1/1. В результате получали 6,84 г основания, из которого с помощью триметилхлорсилана/воды в 2-бутаноне получали 6,15 г (32% от теории) гидрохлорида (12) с Тпл 179-180oC. Пример 14 Гидрохлорид (13) (3RS)-1-диметиламино-3-(3-метокси- фенил)-гептан-3-ола Аналогично тому, как это описано в примере 1, из 10 г (64 ммоля) 1-диметиламино-гептан-3-она, 15,9 г (157 ммолей) 1-бром-3-метокси-бензола и 2,06 г (85 ммолей) магниевой стружки получали 17,3 г сырой смеси. Затем эту смесь подавали на колонку размером 6×40 см, заполненную силикагелем, и элюировали с помощью этилового эфира уксусной кислоты. Таким путем получали 5,4 г основания, из которого с помощью триметилхлорсилана/воды в 2-бутаноне получали 4,1 г (21% от теории) гидрохлорида (13) с Тпл 150oC. Пример 15 Гидрохлорид (14) (3RS)-1-диметиламино-3-(3-метокси-фенил)-4,4- диметил-пентан-3-ола Аналогично тому, как это описано в примере 1, из 18,6 г (118 ммолей) 1-диметиламино-4,4-диметил-пентан-3-она, 28,4 г (152 ммоля) 1-бром-3-метокси-бензола и 3,7 г (152 ммоля) магниевой стружки получали 37 г сырой смеси. Затем эту смесь подавали на колонку размером 7×40 см, заполненную силикагелем, и элюировали с помощью системы растворителей этиловый эфир уксусной кислоты/метанол в соотношении 5/1. В результате получали 2,2 г основания, из которого с помощью триметилхлорсилана/воды в 2-бутаноне получали 1,8 г (5% от теории) гидрохлорида (14) с Тпл 213oC. Пример 16 ![]() Гидрохлорид (15) (2RS, 3RS)-4-диметиламино-2-(3-метокси- фенил)-3-метил-бутан-2-ола Аналогично тому, как это описано в примере 1, из 5,3 г (41 ммоль) 4-диметиламино-3-метил-бутан-2-она, 23,0 г (123 ммоля) 1-бром-3-метокси-бензола и 3,0 г (123 ммоля) магниевой стружки получали 21 г сырой смеси. Затем эту смесь подавали на колонку размером 4,5×27 см, заполненную силикагелем, и элюировали с помощью системы растворителей этиловый эфир уксусной кислоты/метанол в соотношении 4/1. В результате получали 4,0 г основания, из которого с помощью триметилхлорсилана/воды в 2-бутаноне получали 3,6 г (32% от теории) гидрохлорида (15) с Тпл 124oC. Пример 17 ![]() ![]() Энантиомеры гидрохлорида (15): Гидрохлорид (-15) (-)-(2S,3S)-4-диметиламино-2-(3-метокси-фенил)-3-метил-бутан-2-ола и гидрохлорид (+15) (+)-(2R,3R)-4-диметиламино-2-(3-метокси- фенил)-3-метил-бутан-2-ола Из полученного согласно примеру 16 гидрохлорида (15) с помощью дихлорметана/едкого натра выделяли основание. После сушки и удаления путем отгонки дихлорметана рацемат на хиральной ЖХВД-колонке разделяли на энантиомеры. Из этих последних с помощью триметилхлорсилана/воды в 2-бутаноне получали гидрохлориды. (-15): Выход: 41% от теории Tпл: 117-118oC [ ]KDT = -38,6o (с=1,05; метанол)(+15): Выход: 41% от теории Тпл: 118-119oC [ ]KDT = +41,0o (c=1,01; метанол)Пример 18 ![]() Гидрохлорид (16) (2RS, 3RS)-3-(3-диметиламино-1-этил-1-гидрокси-2-(метил-пропил)- фенола Из полученного согласно примеру 1 соединения (1) с помощью дихлорметана/едкого натра выделяли основание и после сушки раствора дихлорметан удаляли путем отгонки. Затем 4,3 г (17 ммолей) основания растворяли в 25 мл сухого толуола и медленно по каплям добавляли в 71 мл (85 ммолей) 1,2-молярного раствора диизобутилалюминийгидрида в толуоле. После окончания добавки нагревали в течение 8 ч с обратным холодильником и затем охлаждали до комнатной температуры. Далее реакционную смесь разбавляли 25 мл толуола. При охлаждении ледяной ванной добавляли по каплям сначала 9,4 мл этанола, а затем 9,4 мл воды. После перемешивания в течение 1 ч при охлаждении ледяной ванной из реакционной смеси путем фильтрации удаляли соли алюминия и остаток трижды промывали соответственно порциями по 50 мл толуола. Затем соединенные органические фазы сушили и удаляли путем отгонки. Из основания в ацетоне с помощью водного раствора соляной кислоты в ацетоне получали 3,95 г (85% от теории) гидрохлорида (16) с Тпл 213-214oC. Пример 19 ![]() ![]() Энантиомеры гидрохлорида (16): Гидрохлорид (-16) (-)-(2S, 3S)-3-(3-диметиламино-1-этил-1-гидрокси-2-метил-пропил) – фенола и гидрохлорид (+16) (+)-(2R,3R)-3-(3-диметиламино-1-этил-1- гидрокси-2-метил-пропил)-фенола Энантиомеры (-16) и (+16) получали в условиях, аналогично описанным в примере 2. (-16): Выход: 85% от теории Тпл: 208-209oC [ ]KDT = -34,6o (c=0,98; метанол)(+16): Выход: 85% от теории Тпл: 206-207oC [ ]KDT = = +34,4o (с=1,06; метанол)Пример 20 ![]() Гидрохлорид (17) (1RS,2RS)-3-(3-диметиламино-1-гидрокси-1,2- диметил-пропил)-фенола В условиях, аналогично описанным в примере 18, получали соединение (17), исходя из полученного согласно примеру 16 метоксисоединения (15). Выход: 85% от теории Тпл: 232oC Пример 21 ![]() ![]() Энантиомеры гидрохлорида (17): Гидрохлорид (-17) (-)-(1S, 2S)-3-(3-диметиламино-1-гидрокси-1,2-диметил-пропил)-фенола и гидрохлорид (+17) (+)-(1R,2R)-3-(3-диметиламино-1-гидрокси- 1,2-диметил-пропил)-фенола Энантиомеры (-17) и (+17) получали в условиях, аналогично описанным в примере 2. (-17): Выход: 82% от теории Тпл: 204-205oC [ ]KDT = -42,0o (с = 0,94; метанол)(+17) Выход: 83% от теории Тпл: 204-205oC [ ]KDT = +41,2o (с=1,01; метанол)Пример 22 ![]() Гидрохлорид (+18) (+)-(1R, 2R)-3-(3-диметиламино-1-этил-1- фтор-2-метил-пропил)-фенола. Ступень 1 ![]() Основание (+19) (+)-(1R,2R)-3-(3-бензилокси-фенил)-1- диметиламино-2-метил-пентан-3-ола Из полученного согласно примеру 19 энантиомера (+16) с помощью дихлорметана/едкого натра выделяли основание и после сушки раствора дихлорметан удаляли путем отгонки. Затем 5,3 г (22 ммоля) основания растворяли в 27 мл сухого диметилформамида и обрабатывали 1,2 г 50%-ного гидрида натрия несколькими порциями. После добавки 2,8 мл (24 ммоля) бензоилхлорида нагревали в течение 3 ч до температуры 70oC. Затем реакционную смесь охлаждали до комнатной температуры и сливали на ледяную воду. Далее трижды экстрагировали соответственно порциями по 70 мл эфира. После сушки соединенных органических фаз над сульфатом натрия растворитель отгоняли и остаток подавали на колонку размером 4,5×30 см, заполненную силикагелем. Путем элюирования с помощью системы растворителей диизопропиловый эфир/метанол получали 6,8 г (92% от теории) основания (+19) в виде светло-желтого высоковязкого масла. Ступень 2 ![]() Основание (+20) (+)-(2R, 3R)-[3-(3-бензилокси-фенил)-3-фтор- 2-метил-пентил]-диметиламина В раствор из 3,7 г (23 ммоля) диэтиламино-сульфотрифторида в 30 мл сухого дихлорметана при температуре -20oC по каплям добавляли 6,8 г (21 ммоль) основания (+19), растворенного в 80 мл дихлорметана. После окончания добавки перемешивали в течение 30 мин при этой температуре и затем нагревали до комнатной температуры. После дальнейшего перемешивания в течение еще 1 ч при комнатной температуре охлаждали до 0-5oC и гидролизовали 50 мл воды. После разделения фаз водную фазу дважды экстрагировали с помощью 50 мл дихлорметана. Соединенные органические фазы сушили и путем отгонки в вакууме удаляли из них растворитель. Полученную сырую смесь (8,04 г) подавали на колонку размером 6×50 см, заполненную силикагелем, и элюировали с помощью системы растворителей этиловый эфир уксусной кислоты/метанол в соотношении 1/1. В результате получали 3,04 г (40% от теории) основания (+20) в виде светло-желтого вязкого масла. Ступень 3 Гидрохлорид (+18) (+)- (1R, 2R)-3-(3-диметиламино-1-этил-1-фтор-2-метил-пропил)-фенола 3,0 г (91 ммоль) основания (+20) растворяли в 15 мл сухого метанола и в аппаратуре для гидрогенизации обрабатывали 0,44 г палладия на активированном угле (10% Pd). После перемешивания в течение 3 ч при комнатной температуре было использовано 215 мл водорода. Затем катализатор удаляли путем фильтрации, а метанол путем отгонки. В результате получали 2,22 г основания, из которого с помощью триметилхлорсилана/воды в 2-бутаноне получали 2,0 г (79% от теории) гидрохлорида (+18) Тпл 174-176oC [ ]KDT = +29,5 (с=1,08; метанол)Пример 23 ![]() Гидрохлорид (-18) (-)-(1S, 2S)-3-(3-диметиламино-1-этил-1- фтор-2-метил-пропил)-фенола Исходя из полученного согласно примеру 19 энантиомера (-16), в условиях, аналогично описанным в примере 22, получали энантиомер (-18) с выходом 29% от теории. Тпл: 170-172oC [ ]KDT = -28,4o (с= 1,03; метанол)Пример 24 ![]() Гидрохлорид (+21) (+)-(1R, 2R)-3-(3-диметиламино-1-этил-2- метил-пропил)-фенола Ступень 1 ![]() Гидрохлорид (+22) (+)-(2R, 3R)-[3-хлор-3-(3-метокси-фенил)- 2-метил-пентил]-диметиламина 10 г (35 ммолей) гидрохлорида (+1), полученного согласно примеру 2, обрабатывали при комнатной температуре 10 мл тионилхлорида. Затем для удаления избыточного тионилхлорида через реакционную смесь в течение 2 ч пропускали поток азота. После повторной добавки 10 мл тионилхлорида реакционной смеси давали отстояться в течение 12 ч и затем в течение 2,5 ч избыточный тионилхлорид повторно удаляли с помощью потока азота. После сушки остаток растворяли в 10 мл охлажденного льдом 2-бутанона и при перемешивании обрабатывали сначала 200 мл эфира, а затем 140 мл диизопропилового эфира. Сохранившуюся фазу растворителя декантировали, а оставшееся масло повторно растворяли в 10 мл 2-бутанона. После добавки затравочных кристаллов по каплям добавляли в течение 3 ч при энергичном перемешивании 300 мл диизопропилового эфира и при этом гидрохлорид выпадал в виде кристаллов. Таким путем получали 9,8 г (91% от теории) (22). Тпл: 120oC (разложение) [ ]KDT = +24,7o (с=1,01; метанол)Ступень 2 ![]() Гидрохлорид (+23) (+)-(2R, 3R)-[3-(3-метокси-фенил)-2-метил- пентил]-диметиламина 46 г высушенного хлорида цинка растворяли в 580 мл сухого эфира и затем по каплям добавляли в суспензию из 31 г натрийборгидрида в 1800 мл эфира. После перемешивания в течение 12 ч из полученной суспензии цинкборгидрида декантировали 500 мл и по каплям добавляли в 9,8 г (32 ммоля) гидрохлорида (+ 22) в 200 мл сухого эфира. Реакционную смесь перемешивали в течение 72 ч при комнатной температуре и затем при охлаждении ледяной ванной обрабатывали по каплям 40 мл насыщенного раствора хлорида аммония. После разделения фаз эфирную фазу дважды промывали насыщенным раствором поваренной соли и после сушки над сульфатом натрия растворитель отгоняли в вакууме. В результате получали 7,3 г комплекса амин/боран, который для выделения свободного основания растворяли в 100 мл сухого метанола. После добавки 7,5 г трифенилфосфина нагревали в течение 18 ч с обратным холодильником. После удаления путем отгонки растворителя остаток обрабатывали 100 мл 5%-ной соляной кислоты и затем солянокислую фазу еще дважды промывали 50 мл эфира. Далее солянокислую фазу подщелачивали концентрированным едким натром при охлаждении ледяной ванной и дважды экстрагировали 50 мл дихлорметана путем встряхивания. После сушки соединенных органических фаз над сульфатом натрия растворитель отгоняли в вакууме и образовавшийся остаток (5,2 г) растворяли в 2-бутаноне. После добавки триметилхлорсилана/воды в виде кристаллов выпадали 4,3 г (50% от теории) гидрохлорида (+23). Тпл: 163-164oC [ ]KDT = +25,2o (с=0,95; метанол)Ступень 3 Гидрохлорид (+21) (+)-(1R, 2R)-3-(3-диметиламино-1-этил-2- метил-пропил)-фенола 4,3 г (15 ммолей) гидрохлорида (+23) из ступени 2 обрабатывали 100 мл концентрированной бромистоводородной кислоты. Затем в течение 2 ч нагревали с обратным холодильником. После охлаждения до комнатной температуры реакционную смесь концентрировали в водоструйном вакууме. Остаток обрабатывали концентрированным раствором гидрокарбоната натрия до щелочной реакции. После двухкратного экстрагирования соответственно порциями по 50 мл дихлорметана соединенные органические фазы сушили над сульфатом натрия. Затем дихлорметан отгоняли в вакууме и остаток (4,0 г) растворяли в 2-бутаноне. После добавки триметилхлорсилана/воды в виде кристаллов выпадали 3,8 г (98% от теории) гидрохлорида (+21). Тпл: 194-196oC [ ]KDT = +24,5o (c=1,10; метанол).
Пример 25![]() Гидрохлорид (-21) (-)-(1S, 2S)-3-(3-диметиламино-1-этил-2- метил-пропил)-фенола Исходя из гидрохлорида (-1), полученного согласно примеру 2, в условиях, аналогично описанным в примере 24, получали энантиомер (-21) с 45%-ным выходом. Тпл: 168-170oC [ ]KDT = -27,5o (c=0,97; метанол)Пример 26 ![]() Гидрохлорид (+24) 3-диметиламино-1-этил-1-(3-метокси-фенил)- 2-метил-пропилового эфира (+)-(1R,2R)-уксусной кислоты Из энантиомера (+1), полученного согласно примеру 2, с помощью дихлорметана/едкого натра выделяли основание. После сушки раствора дихлорметан удаляли путем отгонки. К 10 г (35 ммолей) полученного основания, растворенного в 150 мл сухого дихлорметана, при охлаждении ледяной ванной по каплям добавляли 3,0 г (39 ммолей) ацетилхлорида. После окончания добавки ацетилхлорида реакционную смесь нагревали до комнатной температуры и после перемешивания в течение 2 ч обрабатывали ее 100 мл насыщенного раствора гидрокарбоната натрия. Органическую фазу отделяли от водной фазы и водную фазу дважды экстрагировали с помощью 50 мл дихлорметана. Органические фазы соединяли и сушили над сульфатом натрия. После удаления путем отгонки растворителя получали 13,4 г сырой смеси, из которой с помощью триметилхлорсилана/воды в 2-бутаноне/этилацетате получали 10,7 г (93% от теории) гидрохлорида (+24). Тпл: 153oC [ ]KDT = +17,3o (с=1,04; метанол)Пример 27 ![]() Гидрохлорид (25) (1RS)-1-(1-диметиламинометил-циклогексил)- 1-(3-метокси-фенил)-пропан-1-ола Ступень 1 ![]() Гидрохлорид (26) (1RS)-(1-диметиламинометил-циклогексил)-(3- метокси-фенил)-метанола В условиях, аналогично описанным в примере 1, из 25 г (150 ммолей) 1-диметиламинометил-циклогексан- карбальдегида, 32,9 г (180 ммолей) 1-бром-3-метокси-бензола и 4,3 г (180 ммолей) магниевой стружки получали 44 г сырой смеси. Затем эту смесь подавали на колонку размером 7×40 см, заполненную силикагелем, и элюировали с помощью системы растворителей диизопропиловый эфир/метанол в соотношении 4/1. Таким путем получали 38 г основания, из которого с помощью триметилхлорсилана/воды в 2-бутаноне получали 40 г (85% от теории) гидрохлорида (26) с Тпл 235oC. Ступень 2 ![]() Гидрохлорид (27) (1RS)-(1-диметиламинометил-циклогексил)-(3- метокси-фенил)-метанона Из гидрохлорида (26) с помощью дихлорметана/едкого натра выделяли основание и после сушки раствора дихлорметан удаляли путем отгонки. 8,3 г (30 ммолей) основания растворяли в 30 мл n-гексана и по каплям добавляли в суспензию, состоящую из 95 г абсорбированного на нейтральном окисле алюминия хлорхромата пиридиния (получение согласно Synthesis 1980, 223). После перемешивания в течение 72 ч при комнатной температуре реакционную смесь обрабатывали 120 мл дихлорметана, продолжали далее перемешивать в течение 2 ч и затем фильтровали через 30 г окисла алюминия. Фильтрат трижды промывали соответственно порциями по 50 мл дихлорметана и эфира с одновременным декантированием. Из соединенных с фильтратом органических фаз путем отгонки удаляли растворитель, полученный остаток растворяли в 60 мл 2-нормального едкого натра и четырежды экстрагировали соответственно порциями по 20 мг этилацетата. После сушки соединенных органических фаз растворитель удаляли путем отгонки. В результате получали 4,8 г сырой смеси, которую подавали на колонку размером 6×30 см, заполненную силикагелем, и элюировали сначала с помощью этилацетата, затем этилацетата/метанола в соотношении 9/1 и в заключение с помощью этилацетата/метанола в соотношении 4/1. В результате получали 3,8 г основания, из которого с помощью триметилхлорсилана/воды в 2-бутаноне получали 3,1 г (33% от теории) гидрохлорида (27) с Тпл 174oC. Ступень 3 Гидрохлорид (25) (1RS)-1-(1-диметиламинометил-циклогексил)-1-(3-метокси-фенил)- пропан-1-ола В условиях, аналогично описанным в примере 1, из 2,8 г (10 ммолей) гидрохлорида (27) в виде основания, 1,4 г (13 ммолей) бромэтана и 0,32 г (13 ммолей) магниевой стружки с использованием эфира в качестве растворителя получали 3,0 г сырой смеси. Затем эту смесь подавали на колонку размером 3×20 см, заполненную силикагелем, и элюировали с помощью системы растворителей диизопропиловый эфир/метанол в соотношении 19/1. Таким путем получали 2,1 г основания, из которого с помощью триметилхлорсилана/воды в 2-бутаноне/этилацетате получали 1,9 г (55% от теории) гидрохлорида (25) с Тпл 230oC. Пример 28 ![]() Гидрохлорид (-28) (-)-(2R, 3S)-{3-[3-(p-изопропил-фенил-карбамоил)-окси-фенил]-2-метил-пентил}- диметиламина Из энантиомера (+21), полученного согласно примеру 24, с помощью дихлорметана/едкого натра выделяли основание и после сушки раствора дихлорметан удаляли путем отгонки. 2,2 г (10 ммолей) полученного основания растворяли в 20 мл сухого толуола и обрабатывали 1,8 г (11 ммолей) 4-изопропилфенилизоцианата. После перемешивания в течение 20 ч при комнатной температуре толуол удаляли путем отгонки. Остаток подвергали взаимодействию с триметилхлорсиланом/водой в n-пропилацетате и получали в результате 3,2 г (76% от теории) гидрохлорида (-28). Тпл: 151-152oC [ ]KDT = 5,2o (с=1,11; метанол)Пример 29 ![]() (-)-(1R, 2S)-3-(3-диметиламино-1-этил-2-метилпропил)фенил-, диэтиловый эфир фосфорной кислоты (-29) Из энантиомера (-21), полученного по примеру 25, под действием гидроксида натрия в дихлорметане получают основание и после высушивания дихлорметан удаляют перегонкой. 2,2 г (10 ммоль) полученного основания растворяют в 200 мл сухого тетрагидрофурана и добавляют 1,22 г трет-бутилата калия. Перемешивают в течение 15 мин при комнатной температуре, затем при охлаждении на ледяной бане добавляют 1,6 мл хлорангидрида диэтилфосфорной кислоты. Перемешивают в течение 2 ч при комнатной температуре. При охлаждении на ледяной бане добавляют по каплям 60 мл насыщенного раствора карбоната натрия. После разделения фаз водную фазу экстрагируют этилацетатом (3×50 мл) при встряхивании. После высушивания над сульфатом натрия растворитель удаляют перегонкой. Остаток (4,0 г) наносят на колонку (5х16 см) с кизельгелем. После элюирования смесью этилацетат: метанол:диизопропиловый эфир (1:1:1) получают соединение (-29) в виде воскообразной массы. Пример 30 ![]() Гидрохлорид (-)-(1R, 2S)-3-(3-диметиламино-1-этил-2- метилпропил)-фенилового эфира 2-ацетоксибензойной кислоты (-30) Из энантиомера (-21), полученного по примеру 25, под действием гидроксида натрия в дихлорметане получают основание и после высушивания дихлорметан удаляют перегонкой. 2,2 г (10 ммоль) полученного основания растворяют в 20 мл сухого дихлорметана и добавляют 4,5 г хлорангидрида о-ацетилсалициловой кислоты. Перемешивают в течение 20 ч при комнатной температуре. При охлаждении на ледяной бане добавляют 30 мл насыщенного раствора карбоната натрия. После разделения фаз водную фазу экстрагируют при встряхивании с дихлорметаном (3×20 мл). После высушивания над сульфатом натрия растворитель удаляют перегонкой. Остаток обрабатывают смесью триметилхлорсилан:вода в метилэтилкетоне, получают 2,5 г (60% от теории) гидрохлорида соединения (-30). Тпл 128-138oC [ ]KDT = -4,8o (с = 1,0; метанол).
Пример 31![]() Гидрохлорид (-)-(1R,2S)-3-(3-диметиламино-1-этил-2- метилпропил)фенил-, изобутилового эфира угольной кислоты (-31) Из энантиомера (-21), полученного по примеру 25, под действием гидроксида натрия в дихлорметане получают основание и после высушивания дихлорметан удаляют перегонкой. 2,2 г (10 ммоль) полученного основания растворяют в 20 мл сухого тетрагидрофурана и добавляют 1,22 г трет-бутилата калия. Перемешивают в течение 15 мин при комнатной температуре и при охлаждении на ледяной бане добавляют по каплям 1,4 мл изобутилхлорформиата в 20 мл сухого тетрагидрофурана. Перемешивают в течение 0,5 ч при комнатной температуре. При охлаждении на ледяной бане добавляют по каплям 40 мл 20%-ного раствора хлористого аммония. После разделения фаз водную фазу экстрагируют при встряхивании с этилацетатом (3×20 мл). При необходимости объединенный экстракт промывают насыщенным раствором карбоната и хлорида натрия (по 40 мл каждого). Затем высушивают над сульфатом натрия и растворитель удаляют перегонкой. Остаток обрабатывают смесью триметилхлорсилан:вода в диизопропиловом эфире, получают 2,54 г (70% от теории) гидрохлорида соединения (-31). Тпл: 96-97oC [ ]KDT = -8,1o (с = 1,01; метанол)Фармакологические исследования Эксперимент на мышах по методу Райтинга Предлагаемые согласно изобретению соединения испытывали на их анальгетическую эффективность на мышах в эксперименте по методу Райтинга с использованием фенилхинона, причем эксперимент представлял собой модификацию согласно J. C.Hendershot, J.Forsaith в Journ. Pharmacol. Exptl. Ther. 125. 237 (1959). Для этой цели были выбраны мужские особи мышей вида NMRI весом от 25 до 30 г. Каждой группе из 10 животных на каждую дозу субстанции через 30 мин после орального введения соединения по изобретению каждой особи вводили внутрибрюшинно 0,3 мл 0,02%-ного водного раствора фенилхинона (фенилбензохинон фирмы Sigma, Дайзенхофен; раствор приготавливали с добавкой 5% этанола и выдерживали в водяной бане при температуре 45oC). Затем подопытных животных помещали в клетки для наблюдения. С помощью клавишного счетчика через 5-20 мин после введения фенилхинона подсчитывали число вызываемых болевыми ощущениями разгибательных движений (реакция Райтинга, проявляющаяся в распрямлении тела с вытягиванием задних конечностей). Исходя из обусловленного введением соответствующих доз снижения реакции Райтинга по сравнению с контрольными животными, которым вводили исключительно фенилхинон, с помощью регрессивного анализа (аналитическая программа с использованием электронно-вычислительных устройств фирмы Marteus EDV-Service, Эккенталь) определяли значения ED50 (эффективная доза с 50%-ным ингибированием реакции Райтинга) с 95%-ной достоверностью. Все прошедшие экспериментальную проверку соединения по изобретению отличались ярко выраженной анальгетической эффективностью. Полученные результаты представлены в нижеследующей таблице. Формула изобретения
![]() где Х обозначает ОН, F, Cl, H либо OCOR6-группу, где R6 C1-3-алкил; R1 представляет собой C1-4-алкильную группу; R2 обозначает Н или C1-4-алкильную группу; R3 обозначает Н, линейную C1-4-алкильную группу или R2 и R3 оба вместе представляют собой C4-7-циклоалкильный остаток, и если R5 является Н, то R4 обозначает мета-O-Z с Z, имеющим значение Н, C1-3-алкил, РО(ОC1-4-алкил)2, CО(ОC1-5-алкил), CONH-C6H4-(C1-3-алкил), CO-C6H4-R7, причем R7 представляет собой орто-OCOC1-3-алкил, или R4 обозначает мета-S-C1-3-алкил, мета-Cl, мета-F, мета-CR9R10R11 с R9, R10, R11, имеющими значение Н или F, орто-ОН, орто-О-C2-3-алкил, пара-F или пара-CR9R10R11, или если R5 обозначает находящийся всегда в пара-положении Cl, F, OH либо О-C1-3-алкил, то R4 обозначает находящийся всегда в мета-положении Cl, F, OH или O-C1-3-алкил, или R4 и R5 оба вместе обозначают 3,4-OCH=CH- или 3,4-OCH= CHO-, в виде диастереомеров или энантиомеров в виде их оснований либо солей физиологически совместимых кислот. 2. Соединения по п.1, отличающиеся тем, что Х представляет собой ОН, F, Cl или H; R1 обозначает C1-4-алкильную группу; R2 обозначает Н или CH3; R3 обозначает Н или CH3, и если R5 является Н, то R4 обозначает мета-O-C1-3-алкил, мета-ОН, мета-S-C1-3-алкил, мета-F, мета-Cl, мета-CH3, мета CF2H, мета-CF3 или пара-CF3, или если R5 представляет собой находящийся всегда в пара-положении Cl или F, то R4 обозначает находящийся всегда в мета-положении Cl или F, или R4 и R5 оба вместе обозначают 3,4-OCH=CH-. 3. Соединения по одному из пп.1 и 2, отличающиеся тем, что они могут быть представлены в виде их диастереомеров с конфигурацией Ia ![]() 4. Способ получения I-фенил-3-диметиламино-пропановых соединений формулы I с X, представляющим собой ОН, по пп.1 – 3, заключающийся в том, что -диметиламинокетон формулы II![]() с помощью металлорганического соединения формулы III ![]() в которой Z обозначает MgCl, MgBr, MgJ или Li, трансформируют в соединение формулы I, в которой Х обозначает ОН. 5. Способ получения 1-фенил-3-диметиламино-пропановых соединений формулы I с X, представляющим собой Н, по пп.1 – 3, заключающийся в том, что соединение формулы I, в которой Х обозначает Cl, подвергают взаимодействию с боргидридом цинка, цинкцианоборгидридом и/или оловоцианоборгидридом. 6. Способ получения 1-фенил-3-диметиламино-пропановых соединений формулы I с Х, представляющим собой F, по пп.1 – 3, отличающийся тем, что соединение формулы I, в которой Х обозначает ОН, подвергают взаимодействию с диметиламино-сульфотрифторидом в растворителе. 7. Способ получения 1-фенил-3-диметиламино-пропановых соединений формулы I с Х, представляющим собой Cl, по пп.1 – 3, заключающийся в том, что соединение формулы I, в которой Х обозначает ОН, подвергают взаимодействию с тионилхлоридом. 8. Способ получения 1-фенил-3-диметиламино-пропановых соединений формулы I, в которой Х обозначает OCOR6-группу с R6, представляющим собой C1-3-алкил, по пп. 1 – 3, заключающийся в том, что соединение формулы I, в которой Х обозначает ОН, подвергают взаимодействию с хлорангидридом кислоты Cl-COR6. 9. 1-Фенил-3-диметиламино-пропановые соединения формулы I по пп.1 – 3, отличающийся тем, что они обладают болеутоляющей активностью. 10. Болеутоляющее лекарственное средство, отличающееся тем, что оно содержит в качестве активного вещества 1-фенил-3-диметиламино-пропановое соединение формулы I по пп.1 – 3. РИСУНКИ
|
||||||||||||||||||||||||||

– положении аминогруппой, а в Chem. Abstr. 54. 20963 с (1960) и в Chem. Abstr. 63. 6912e (1965) представлены фенил-диметиламино-пропанолы с паразамещенным фенильным остатком. Эти соединения также обладают болеутоляющими свойствами. В отличие от них описанные в заявке Германии DE 3242922 3-диметиламино-пропан-1-олы с 2 фенильными остатками действуют как антидепрессивные средства. Описанные в Journ. Pharm. Sci. 57, 1487 (1968) 1-фенил-пропан-1-олы характеризуются в зависимости от находящегося всегда в 

– диметиламинокетон формулы II








]KDT = -31,8o (c=0,99; метанол)





































