Патент на изобретение №2150463
|
||||||||||||||||||||||||||
(54) СОЛИ-(4-ОКСИ-3,5-ДИ-ТРЕТ-БУТИЛФЕНИЛ)-ПРОПИОНОВОЙ КИСЛОТЫ В КАЧЕСТВЕ СТАБИЛИЗАТОРОВ ПОЛИВИНИЛХЛОРИДОВ И СПОСОБ ИХ ПОЛУЧЕНИЯ
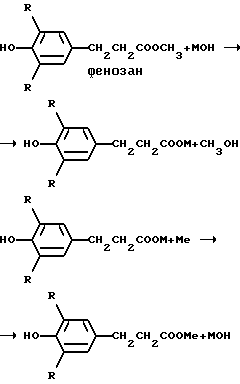
(57) Реферат: Изобретение относится к металлоорганической химии, а именно к новым соединениям, конкретно к солям (4-окси-3,5-ди-трет-бутилфенил)-пропионовой кислоты общей формулы ![]() где R = C(CH3)3, Me – металл, выбранный из группы: Zn, Ba, Ca, Cd, Al, Sn, Mg, Cr+3, Mn+2, n – валентность металла, n = 2 – 4, которые могут найти применение в качестве стабилизатора полимеров и присадок к маслам. Цель изобретения – синтез новых солей (4-окси-3,5-ди-трет-бутилфенил)-пропионовой кислоты и расширение ассортимента термостабилизаторов для поливинилхлорида. Поставленная цель достигается получением нового химического вещества указанной формулы. 2 с. и 1 з.п. ф-лы, 8 табл. Изобретение относится к металлоорганической химии, а именно к новым соединениям, конкретно к солям (4-окси-3,5-ди-трет-бутилфенил)-пропионовой кислоты общей формулы: ![]() где R = C(CH3)3); Me – металл, выбранный из группы: Zn, Ba, Ca, Cd, Al, Sn, Mg, Cr+3, Mn+2; n – валентность металла; n = 2 – 4, которые могут найти применение в качестве стабилизаторов полимеров и присадок к маслам. Соединения данной структуры и их свойства не описаны ни в патентной, ни в научно-технической литературе. Наиболее близким соединением по структурной формуле является калиевая соль (4-гидрокси-3,5-дитретбутилфенил)-пропионовой кислоты, имеющая структуру: ![]() где R = C(CH3)3, которая используется в медицине в качестве противострессового и противоожогового средства, и в сельском хозяйстве в качестве ростового вещества [Aging 1990, V. 2, N. 2, p. 125 – 153]. В настоящее время в качестве стабилизаторов поливинилхлорида используют стеараты металлов [Патент РФ N 2029760, МПК C 07 C 219/10, 1992 г.], но они не обеспечивают достаточную термостабильность поливинилхлоридов. Цель изобретения – синтез новых солей (4-гидрокси- 3,5-ди-трет-бутилфенил)-пропионовой кислоты (фенозановой), и расширение ассортимента термостабилизаторов для поливинилхлорида. Поставленная цель достигается новой химической формулой вещества: ![]() где R = C(CH3)3); Me – металл, выбранный из группы: Zn, Ba, Ca, Cd, Al, Sn, Mg, Cr+3, Mn+2; n – валентность металла; n = 2 – 4, которые получают взаимодействием метилового эфира – (4-гидрокси-3,5-ди-трет-бутилфенил)-пропионовой кислоты с гидроксидом щелочного металла в среде водного и/или спиртового раствора при температуре 25 – 100oC и давлении 1 – 4 атм при мольном соотношении эфир : щелочь равном 1 : 1,0 – 1,1, с последующим взаимодействием полученной щелочной соли пропионовой кислоты с неорганической солью соответствующего металла, при мольном соотношении соль пропионовой кислоты : неорганическая соль равном 1 : 1,0 – 1,05 в водной среде и/или алифатическом C1 – C4 спирте при температуре 45 – 100oC. В качестве неорганической соли соответствующего металла используют соли соляной, серной или азотной кислот. Получение нового соединения описывается следующим уравнением реакции: ![]() где: R = C(CH3)3); M – K, Na, Li; Me – металл, выбранный из группы: Zn, Ba, Ca, Cd, Al, Sn, Mg, Cr+3, Mn+2; n = 2 – 4 Структура полученных солей пропионовой кислоты подтверждается данными элементного анализа, ИК- и ПМР-спектроскопии. Наличие таких отличительных признаков, как использование в качестве сырья на первой стадии фенозана для получения K (Li, Na) солей, на второй стадии – продуктов первой стадии, которые сами по себе могут найти применение [Aging 1990, V. 2, N. 2, p. 125 – 153], т.е. на обеих стадиях получаются полезные продукты, отсутствие каких-либо стоков позволяет сделать заключение, что предложенный способ обладает такими критериями изобретения, как новизна и изобретательский уровень. Выход солей металлов фенозановой кислоты в данном процессе составляет 94 – 98%, процесс протекает в технологичных условиях, позволяющих использовать данный способ в промышленности. Возможность получить одновременно два очень нужных продукта с наименьшими затратами, исключающими жидкие стоки, универсальность метода, позволяющие синтезировать целую гамму продуктов в одном реакторе и по одной схеме подтверждают промышленную применимость данного способа. Способ осуществляют следующим образом. В железный эмалированный реактор, снабженный механической мешалкой с затвором, обратным холодильником, термометром и краном-дозатором загружают растворитель, метиловый эфир -(4-окси-3,5-ди-трет-бутилфенил)-пропионовой кислоты. Затем включают перемешивание и растворяют фенозан, при необходимости греют реакционную смесь до полного растворения. После чего в течение 15 – 45 мин дозируют отдельно приготовленный раствор K (Na или Li) щелочи в колбу, через кран-дозатор при мольном соотношении метиловый эфир -(4-окси-3,5-ди-трет-бутилфенол)-пропионовой кислоты : K (Na или Li) щелочь равном 1,0 : 1,0 – 1,1. После чего в этот же реактор через кран-дозатор дозируют водный (водно-спиртовый) раствор стехиометрически необходимого количества желаемой соли металла в течение 15 – 90 мин, в зависимости от консистенции реакционной смеси, количества растворителя и температуры проведения реакции. Выдерживают реакционную смесь после окончания дозировки раствора соли металла еще 30 – 60 мин при интенсивном перемешивании. После чего выпавший осадок соли отфильтровывают от растворителя, который направляют на узел регенерации или на факел, а осадок промывают водой от солей K (Na или Li) и сушат. Получают готовый продукт. В случае использования хлоридов металлов промывную воду продукта, содержащего хлорид натрия, можно использовать для коагуляции латексов, а растворитель направляют на регенерацию и после отделения солей Na (K, Li) можно использовать повторно. Исходные реагенты должны соответствовать следующим требованиям: KOH – ТУ 6-09-301-74 NaOH – ГОСТ 4328-77 LiOH – ТУ 6-09-3763-85 ZnCl2 – ГОСТ 4529-78 BaCl2 – ГОСТ 4108-72 CaCl2 – ТУ 6-09-4578-81 SnCl2 – ТУ 6-09-3182-82 CdCl2 – ГОСТ 4330 -76 AlCl3 – ГОСТ 3759-75 SnCl2 – ТУ 6-09-3084-83 Pb(NO3)2 – ГОСТ 4236-77 Mg(NO3)2 – ГОСТ 11088-75 Mn(NO3)2 – ТУ-609-01-208-78 Cr(NO3)3 – ГОСТ 4471-78 MnSO4 – ТУ 6-09-01-208-78 Al2(SO4)3 – ГОСТ 3758-75 Сущность способа подтверждается следующими примерами: Пример 1 Первая стадия: 264 г (1 моль) метилового эфира -(4-окси-3,5-ди-трет-бутилфенил)-пропионовой кислоты растворяют в 1,0 л метилового спирта. При интенсивном перемешивании в течение 40 – 45 мин дозируют с постоянной скоростью или небольшими порциями спиртовый (водно-спиртовый или водный) раствор K (Na или Li) гидроокиси, стехиометрически рассчитанное количество – 40 – 44 г (1,0 – 1,1 моль). Выход K (Na или Li) соли метилата -(4-окси-3,5-ди-трет-бутилфенил)-пропионовой кислоты количественный. Вторая стадия: В водно-спиртовый раствор с первой стадии, содержащий 303 г (1 моль) метил -(4-окси-3,5-ди-трет-бутилфенил)-пропионовой кислоты, дозируют водный (водно-спиртовый или спиртовый) раствор BaCl2 (0,5 моль – 0,51 моль) 54,1 – 54,6 г, при интенсивном перемешивании реакционной смеси и нагреве до температуры 50 – 120oC в течение 30 – 90 мин, после окончания дозировки смесь выдерживают в течение 30 – 60 мин и затем охлаждают до нормальной температуры 20 – 25oC, после чего выпавший осадок соли бария фильтруют от растворителя, отмывают водой от ионов хлора и сушат. Образуется 305,5 г бариевой соли фенозановой кислоты, которая может быть использована как стабилизатор поливинилсодержащих композиций. Выход бариевой соли фенозановой кислоты составляет 91,8% от теоретического. Фильтрат после отделения от целевого продукта разгоняется с целью отгонки и возвращения в рецикл растворителя (метанола или другого алифатического спирта), а водный слой, содержащий хлорид натрия, используется для коагуляции латексов. Пример 2 – 28 (Представлены в таблице 1). Осуществляют аналогично описанному в примере 1. В данных примерах используют различные спирты, соли металлов или их кристаллогидраты. Данные по взятым для реакции веществам, условия проведения процесса, выход целевого продукта и других характеристики приведены в нижеследующих таблицах: в таблице 1 – условия проведения синтеза и целевой продукт; в таблице 2 – tпл. или tразл. и элементный состав. Испытания вновь полученных продуктов в качестве стабилизаторов и пластификаторов проводили по известным методикам в сравнении с серийным – стеаратом кальция. В качестве объекта исследования была использована пленка ПВХ марки “OH” и лента ПВХ липкая. Пример N 29 (контр.): на вальцах готовят смесь согласно стандартной рецептуре, мас.ч.: ПВХ – 100, ДОФ – 52, силикат свинца – 3, стеарат кальция – 3. В рецептуру ленты липкой, ионоляты кальция вводили в количестве 0,5 мас. ч. на 100 мас.ч. ПВХ, вместо 3 мас.ч. серийного стеарата кальция. Пример N 30: на вальцах готовят смесь согласно рецептуре, мас.ч.: ПВХ – 100, ДОФ – 52, силикат свинца – 6, ионолята кальция – 0,5. В измененную рецептуру добавляют стеарин. Пример N 31: на вальцах готовят смесь согласно рецептуре, мас.ч.: ПВХ – 100,ДОФ – 52,силикат свинца – 6,ионолят кальция – 0,5,стеарин – 0,4. Испытания ленты ПВХ липкой проводили согласно ТУ-6-01-0203314-122-91. Рецептуры и результаты испытаний рецептур с ионолятом кальция приведены в таблице 3′. Провели также испытания для композиции пленки ПВХ липкой с ионолятами свинца, заменив в рецептуре вместо стеарата кальция и силикагеля свинца на выше описанные ионоляты свинца. Испытания проводили согласно выше приведенной ТУ и рецептуры и результаты испытаний с ионолятами свинца приведены в таблицах 4 и 5. Были также проведены испытания с рецептурами пленки марки “OH” технической, физико-механические константы испытанных композиций приведены в таблице 6 и 7 соответственно. Провели испытания по возможности использовать ионоляты свинца в композициях кабельного пластиката марки 0-40. Результаты приведены в таблице 8. На основании приведенных данных можно сделать выводы: полученные соли фенозановой кислоты являются новыми в металлоорганической химии и могут быть использованы в рецептурах пленки ПВХ марки “OH” и ленте ПВХ липкой и в кабельных пластикатах. заменив серийный стеарат кальция. Формула изобретения
![]() где R – C(CH3)3; Ме – металл, выбранный из группы: Zn, Ba, Ca, Cd, Al, Sn, Mg, Cr+3, Mn+2; n – валентность металла, n = 2 – 4, в качестве стабилизаторов поливинилхлоридов. 2. Способ получения солей (4-окси-3,5-ди-трет-бутилфенил)-пропионовой кислоты общей формулы где R – C(CH3)3;Ме – металл, выбранный из группы: Zn, Ba, Ca, Cd, Al, Sn, Mg, Cr+3, Mn+2; n – валентность металла, n = 2 – 4, отличающийся тем, что метиловый эфир (4-гидрокси-3,5-ди-трет-бутилфенил)-пропионовой кислоты подвергают взаимодействию с гидроксидом щелочного металла в среде водного и/или спиртового раствора при температуре 25 – 100oC и давлении 1 – 4 атм при мольном соотношении эфир : щелочь, равном 1 : 1,0 – 1,1, с последующим взаимодействием полученной щелочной соли пропионовой кислоты с неорганической солью соответствующего металла, при мольном соотношении соль пропионовой кислоты : неорганическая соль, равном 1 : 1,0 – 1,05, в водной среде и/или алифатическом C1 – C4 спирте при температуре 45 – 100oC. 3. Способ по п.2, отличающийся тем, что в качестве неорганической соли соответствующего металла используют соли соляной, серной или азотной кислот. РИСУНКИ
PC4A – Регистрация договора об уступке патента Российской Федерации на изобретение
Прежний патентообладатель:
(73) Патентообладатель:
Дата и номер государственной регистрации перехода исключительного права: 03.10.2006 № РД0012696
Извещение опубликовано: 10.11.2006 БИ: 31/2006
QB4A Регистрация лицензионного договора на использование изобретения
Лицензиар(ы): Закрытое акционерное общество “Управление активами”
Вид лицензии*: ИЛ
Лицензиат(ы): Открытое акционерное общество “Стерлитамакский нефтехимический завод”
Договор № РД0036101 зарегистрирован 16.05.2008
Извещение опубликовано: 27.06.2008 БИ: 18/2008
* ИЛ – исключительная лицензия НИЛ – неисключительная лицензия
QC4A Государственная регистрация расторжения зарегистрированного договора
Дата и номер государственной регистрации расторгаемого договора:
Вид договора: лицензионный
Лицо(а), передающее(ие) исключительное право:
Лицо, приобретающее право использования:
Дата и номер государственной регистрации расторжения договора: 21.12.2010 РД0074435
Дата публикации: 10.02.2011
PC4A Государственная регистрация договора об отчуждении исключительного права
Дата и номер государственной регистрации договора: 17.03.2011 № РД0077972
Лицо(а), передающее(ие) исключительное право:
(73) Патентообладатель(и):
Адрес для переписки:
Дата публикации: 27.04.2011
|
||||||||||||||||||||||||||







где R – C(CH3)3;