Патент на изобретение №2222452
|
||||||||||||||||||||||||||
(54) СПОСОБ ОПРЕДЕЛЕНИЯ СОПРОТИВЛЕНИЙ РЕЛЬСОВОЙ НИТИ И БАЛЛАСТА РЕЛЬСОВОЙ ЛИНИИ
(57) Реферат: Изобретение относится к области железнодорожной автоматики и может быть использовано для контроля состояния рельсовых линий, входящих в состав рельсовых цепей синусоидального тока. В нормальном режиме измеряются действующие значения напряжений и токов и их начальные фазы в начале и конце рельсовой линии По измеренным последовательно вычисляются затем комплексное сопротивление рельсовой нити длиной один километр и комплексное сопротивление балласта на один километр длины Технический результат – возможность определения сопротивлений рельсовой нити и балласта без прерывания работы рельсовой цепи.
Текст описания в факсимильном виде (см. графическую часть)л
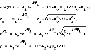
Формула изобретения Способ определения сопротивлений рельсовой нити и балласта рельсовой линии длиной l км, входящей в состав рельсовой цепи синусоидального тока, в которой в нормальном режиме измеряются действующие значения напряжений и токов и их начальные фазы в начале и конце рельсовой линии отличающийся тем, что по измеренным последовательно вычисляются
затем
комплексное сопротивление рельсовой нити длиной 1 км и комплексное сопротивление балласта на 1 км длины
РИСУНКИ
MM4A Досрочное прекращение действия патента Российской Федерации на изобретение из-за неуплаты в установленный срок пошлины за поддержание патента в силе
Дата прекращения действия патента: 20.11.2005
Извещение опубликовано: 10.11.2006 БИ: 31/2006
|
||||||||||||||||||||||||||

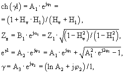
По измеренным
последовательно вычисляются
затем
комплексное сопротивление рельсовой нити длиной один километр
и комплексное сопротивление балласта на один километр длины
Технический результат – возможность определения сопротивлений рельсовой нити и балласта без прерывания работы рельсовой цепи.
Текст описания в факсимильном виде (см. графическую часть)л
отличающийся тем, что по измеренным
последовательно вычисляются
затем
комплексное сопротивление рельсовой нити длиной 1 км
и комплексное сопротивление балласта на 1 км длины