Патент на изобретение №2150401
|
||||||||||||||||||||||||||
(54) ГЛИССЕР
(57) Реферат: Изобретение относится к судостроению и касается создания глиссирующих судов. Глиссер имеет корпус с палубой и двумя бортами, а также движительную и управляющую системы. Корпус выполнен с плоским днищем. Оно состоит из равнобедренно-треугольной головной части и прямоугольной задней части. Корпус имеет одну или несколько направляющих волн, пару отражателей брызг волн, каюту и надстройку. Направляющие волн выдавлены вертикально вверх в днище вдоль всей его длины между днищем и палубой. Осевые линии оснований направляющих волн симметрично параллельны осевой линии днища. При одной направляющей центральная линия плоскости ее основания совпадает с осевой линией днища. Продольное сечение каждой из направляющих выполнено с наклонной верхней линией, у которой передняя часть опущена, а задняя поднята. Отражатель брызг может иметь более низкую переднюю и более высокую заднюю часть. Отражатели брызг представляют собой наклонные перегородки. Эти перегородки вставлены в поверхности бортов или выдавлены на бортах с образованием с ними единого целого ниже палубы, но выше указанного днища. В статическом положении корпуса глиссера наинизшая точка переднего конца отражателя брызг расположена на ватерлинии или ниже ее. Плоскость основания направляющей волн может быть выполнена с расширенной задней и суженной передней частями или в виде удлиненного прямоугольника. Технический результат реализации изобретения заключается в улучшении эксплуатационных характеристик глиссера. 10 з.п.ф-лы, 26 ил. Данное изобретение относится к катерам и кораблям, а более конкретно – к глиссирующему судну. Обычное судно водоизмещающего типа обладает лучшей остойчивостью и пригодно для грузов разного тоннажа. Однако с возрастанием перевозимого груза увеличивается и осадка корпуса судна и, как результат, – гидродинамическое сопротивление при движении судна, что приводит к повышенному потреблению мощности. Поэтому увеличение скорости и улучшение ходовых качеств судна являются затруднительными. Судно на подводных крыльях устраняет значительную часть гидродинамического сопротивления, скорость его возрастает. Однако его грузовместимость и мореходные качества низки. Надводное судно, например судно на воздушной подушке, устраняет гидродинамическое сопротивление, скорость его возрастает. Однако оно не может использовать гидродинамическую плавучесть для поддержания большого веса. Кроме того, создание динамичной воздушной подушки требует значительного потребления мощности. В частности, его преимущество исчезает при воздействии бокового ветра. Обычный глиссерный катер с мелкой осадкой при глиссировании увеличивает свою скорость. С глубоко- или мелкосидящим корпусом с V-образными обводами его устойчивость на курсе и поперечная остойчивость улучшаются. Однако его корпус с углом килеватости вызывает возрастание гидродинамического сопротивления из-за увеличения смоченной поверхности днища и всплеска по обоим бортам. Кроме того, его тенденция к движению под углом к воде с задранным носом и опущенной кормой еще более увеличивает гидродинамическое сопротивление, что порождает стремление к подпрыгиванию и килевой качке на большом ходу или на бурном море. Некоторые модернизированные глиссеры с мелкосидящими корпусами с V-образными обводами или с частично глубокосидящим V-образным днищем обладают некоторыми достоинствами, например, защищенные патентами США NN 5265554, 5016552, 5231949, 4722294 и т.д. Однако их ходовые качества остаются в рамках глиссеров с V-образным днищем, а улучшения незначительны. Кортиковый катер является одним из глиссеров, превосходящих обычные катера по скорости и способности преодоления бурных волн, однако ему не хватает устойчивости на курсе и маневренности из-за совершенно треугольного плоского днища корпуса. Отличительные признаки изобретения Целью создания предлагаемого настоящим изобретением глиссера является устранение недостатков, присущих катерам и судам известного в настоящее время технического уровня, и улучшение характеристик катера или судна. Корпус содержит днище 1, два борта 2, палубу 3, одну или несколько направляющих волн 4, пару отражателей брызг волн 5, каюту и надстройку. Плоское днище 1 состоит из равнобедренно-треугольной головной части и прямоугольной задней. Между днищем 1 и палубой 3 вертикально вверх в днище вдоль всей его длины выдавлены одна или несколько направляющих волн 4. Каждая из направляющих волн открыта внизу, спереди и сзади. Их поперечное сечение имеет форму или или , продольное сечение имеет вид , верхняя линия которого имеет наклон вниз к передней части. Направляющие волн 4 симметрично параллельны осевой линии днища. Если выполняется только одна направляющая волн, центральная линия ее основной плоскости совпадает с осевой линией днища. Пара отражателей брызг волн 5 в виде отражательных перегородок с опущенной передней частью и приподнятой задней частью, образующими наклон, вставлены или выдавлены заодно в каждом борту ниже палубы 3 над днищем 1. Снабженный вышеописанными конструкционными элементами корпус может создавать поле гидродинамического потока и соответствующую достаточную гидродинамическую плавучесть с хорошим расчетным распределением для движения судна. Благодаря этому корпусу снижается гидродинамическое сопротивление и увеличивается скорость с одновременным использованием достигнутой гидродинамической плавучести для повышения грузовместимости, удовлетворяющей различному тоннажу груза, значительно улучшаются многие собственные эксплуатационные характеристики, а также обеспечивается сверхкритическое состояние функционирования при движении по спокойным или бурным водам. Носовая часть корпуса может иметь следующую конструкцию: угол нижней части носа срезан с наклонным изгибом вниз и назад от передней оконечности палубы к переднему краю днища. Выше ватерлинии в статическом положении корпуса бортовая стенка криволинейно разваливается вверх по обеим сторонам от осевой линии корпуса. Носовая часть корпуса также может быть иного типа.
Корма может иметь уступ. При перемещении судна в положении водоизмещения на малом ходу уступ закрывается крышкой уступа, образующей плавную обтекаемую заднюю часть кормы для снижения гидродинамического сопротивления. При выходе корпуса из воды и движении в состоянии глиссирования крышку можно снять. Уступ открывается, увеличивая таким образом скорость глиссера. Корма может иметь обтекаемую форму без уступа или иную.
У глиссера с корпусом, имеющим вышеописанные признаки данного изобретения, движительная и управляющая система в соответствии с изобретением могут иметь следующую компоновку: в задней части корпуса на внутренней стороне обоих бортов под палубой 3 в пространстве между палубой 3 и ватерлинией при глиссирующем положении судна одна или несколько гидрореактивных движительных установок 6 размещаются вблизи поверхности воды. Водометы устанавливаются в конце кормы. Каждый из немного выступающих за корму рулей 7 соответствует одному водомету. При глиссирующем положении судна водометы и рули находятся у поверхности воды, но выше ее.
Отличительные признаки корпуса в соответствии с данным изобретением способны обеспечить отличные мореходные качества. Кроме того, имеющий признаки данного изобретения корпус может также быть снабжен гребным винтом или другими движительными и управляющими системами. Изобретение применимо к разным типам малых, средних, а также больших катеров и судов в различных целях.
Каждая из фиг. 1 – 16-2 изображает только одну часть конструкции корпуса под палубой глиссера в соответствии с изобретением. Направленные вертикально вверх стрелки на каждой соответствующей фигуре обозначают дополнительные подъемные силы благодаря направляющим волн. Симметрично наклоненные внутрь стрелки на бортах обозначают дополнительную силу за счет отражателей брызг волн. Симметрично наклоненные внутрь или наружу стрелки в пространстве внутри обоих бортов обозначают дополнительную силу, создаваемую направляющими волн.
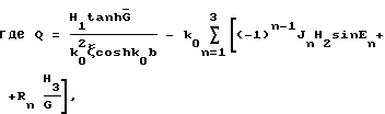
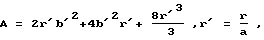
На фиг. 1 показана боковая вертикальная проекция корпуса глиссера в соответствии с изобретением;на фиг. 2 – горизонтальный вид снизу корпуса, изображенного на фиг. 1; на фиг. 3 – фронтальная вертикальная проекция корпуса, изображенного на фиг. 1; на фиг. 4 – задняя вертикальная проекция корпуса, изображенного на фиг. 1 (как видно из фиг. 4 и 3, оба отражателя брызг волн 5 выдавлены по одному в каждом борту 2, составляя с ним одно целое); фиг. 4-1 и 4-2 являются фронтальной и задней вертикальными проекциями корпуса, изображенного на фиг. 1 соответственно, где пара отражателей брызг волн 5 встроена в поверхность каждого борта 2; на фиг. 4-3 – задняя вертикальная проекция поля гидродинамического потока, создаваемого изображенным на фиг. 1 корпусом при движении судна; на фиг. 4-4 – задняя вертикальная проекция поля потока при -типе поперечного сечения направляющих волн;на фиг. 4-5 и 4-6 – поперечные разрезы направляющих волн при -типе поперечного сечения, где h – максимальная высота сечения, 2r – ширина основной плоскости направляющей волн, – длина дуги боковины, – длина дуги верха;на фиг. 4-7 – главная горизонтальная проекция направляющей волн при r < r”; на фиг. 5 – плоский топологический чертеж днища 1; на фиг. 6-1, 6-2, 6-3 и 6-4 – соответственно боковая вертикальная, задняя горизонтальная, фронтальная вертикальная и задняя вертикальная проекции корпуса с парой направляющих волн 4 и отражателями брызг волн 5, вдавленными по одному в каждом борту 2 и составляющими с ним одно целое; фиг. 6-5 и 6-6 являются фронтальной и задней вертикальными проекциями корпуса, изображенного на фиг. 6-1 соответственно, где пара отражателей брызг волн 5 встроена в поверхность каждого борта 2; на фиг. 6-7 и 6-8 – задние вертикальные проекции поля гидродинамического потока, создаваемого движущимся корпусом с парой направляющих волн 4 с -и -типами поперечного сечения соответственно;на фиг. 7-1 – горизонтальный вид снизу корпуса с тремя направляющими волн 4; на фиг. 7-2 – задняя вертикальная проекция поля гидродинамического потока, создаваемого движущимся корпусом с тремя направляющими волн одинакового наклона и высоты; на фиг. 7-3 и 7-4 – задние вертикальные проекции поля гидродинамического потока, создаваемого движущимся корпусом с тремя направляющими волн разного наклона и высоты; на фиг. 8-1, 8-2 и 8-3 – соответственно горизонтальный вид снизу, фронтальная и задняя вертикальные проекции корпуса с расширенной направляющей волн; на фиг. 8-4 – задняя вертикальная проекция поля гидродинамического потока, создаваемого корпусом с расширенной направляющей волн при движении судна; на фиг. 9-1, 9-2 и 9-3 – соответственно горизонтальный вид снизу, фронтальная и задняя вертикальные проекции корпуса с направляющей волн большой ширины; на фиг. 9-4 – задняя вертикальная проекция поля гидродинамического потока, создаваемого корпусом с направляющей волн большой ширины при движении судна; на фиг. 10 – схема динамического равновесия при движении судна; на фиг. 11 – вид сбоку дополнительной гидродинамической силы, обеспечиваемой направляющими волн в создаваемом корпусом поле гидродинамического потока, где – угол наклона верхней линии направляющей волн к плоскости днища, L0 – дополнительная подъемная сила, F0 – дополнительная осевая сила;на фиг. 12-1 – эскизная карта боковой проекции, изображающей положение и зависимость глиссера с обычным корпусом относительно окружающего бурного моря, где стрелки указывают направление продвижения судна; Фиг. 12 – 2 – эскизная карта боковой проекции, изображающей положение и зависимость глиссера с имеющим признаки данного изобретения корпусом относительно окружающего бурного моря; на фиг. 13-1, 13-2 и 13-3 – соответственно боковая вертикальная проекция, горизонтальный вид снизу и задняя вертикальная проекция корпуса с направляющей волн 4 и подвижной жесткой или полужесткой крышкой уступа на корме; на фиг. 14-1, 14-2 и 14-3 – соответственно боковая вертикальная проекция, горизонтальный вид снизу и задняя вертикальные проекция корпуса с направляющей волн 4 и гибкой крышкой уступа на корме; на фиг. 15-1, 15-2 – соответственно горизонтальный вид снизу и задняя вертикальная проекция корпуса с парой направляющих волн 4 и подвижной жесткой или полужесткой крышкой уступа на корме (боковая вертикальная проекция корпуса аналогична фиг. 13-1); на фиг. 16-1, 16-2 – соответственно горизонтальный вид снизу и задняя вертикальная проекция корпуса с парой направляющих волн 4 и гибкой крышкой уступа на корме (боковая вертикальная проекция корпуса аналогична фиг. 14-1); на фиг. 17 – боковая вертикальная проекция глиссера, воплощающего данное изобретение; на фиг. 18 – горизонтальный вид снизу; на фиг. 19 – горизонтальный вид сверху, при взгляде примерно с плоскости палубы глиссера; на Фиг. 20 и 21 – фронтальная и задняя вертикальные проекции на фиг. 17 соответственно; на фиг. 22 – продольное сечение гидрореактивной движительной системы; на фиг. 23 – боковая вертикальная проекция транспортного катера, принадлежащего к серии глиссеров, спроектированных на основе отличительных признаков настоящего изобретения; на фиг. 24 – схематическая горизонтальная проекция сравнения радиуса поворота глиссера данного изобретения (с острым носом) и радиуса поворота обычного судна (с тупым носом) в повороте; на фиг. 25-1, 25-2, 25-3 – соответственно боковая вертикальная проекция, горизонтальный вид снизу, горизонтальный вид сверху при взгляде примерно с плоскости палубы катера данного изобретения, имеющего пару направляющих волн 4 и гидрореактивную движительную установку 6; фиг. 25-4, 25-6 и 25-5, 25-7 являются соответственно фронтальной и задней вертикальными проекциями катера, изображенного на фиг. 25-1, где на фиг. 25-4, 25-5 – отражатели брызг волн выдавлены в бортах, а на фиг. 25-6 и 25-7 – отражатели встроены в поверхности бортов; на фиг. 26-1, 26-2, 26-3 – соответственно боковая вертикальная проекция, горизонтальный вид снизу, горизонтальный вид сверху при взгляде примерно с плоскости палубы катера, на котором в качестве движительной системы установлены один или два подвесных двигателя; фиг. 26-4, 26-6 и 26-5, 26-7 являются соответственно фронтальной и задней вертикальными проекциями катера, изображенного на фиг. 26-1, где на фиг. 26-4, 26-5 пара отражателей брызг волн вдавлена по одному в каждом борту, а на фиг. 26-6 и 26-7 – отражатели встроены по одному в поверхность каждого борта. Описание предпочтительного варианта воплощения изобретения Как видно из фиг. 1 – 4, часть предлагаемого данным изобретением корпуса ниже плоскости палубы содержит днище 1, два борта 2, палубу 3, направляющие волн 4, пару отражателей брызг волн 5. Днище 1 состоит из равнобедренно-треугольной головной части и прямоугольной задней; для фиг. 5 особый размер днища 1 определяется следующим образом. Начало координат О находится на осевой линии днища 1 и является средней точкой суммарной длины 2a днища 1, OX – ордината, OZ – абсцисса; l – длина проекции обеих равносторонних длин S треугольной части днища 1 на оси ОХ, длина прямоугольной части в направлении ОХ равна t, ширина в направлении оси OZ равна 2b. O1 – координата центра гидродинамической плавучести, O2 – координата центра тяжести судна. Особые размеры l, 2b, t определяются в соответствии с конструктивными требованиями и выражениями (1), (2): В выражении (1) L = 2 U2a2Psin , (L – гидродинамическая плавучесть),![]() ![]() ![]() ![]() ![]() ![]() В выражении (2) (X – расстояние между точкой О и центром O1 гидродинамической плавучести),![]() – плотность воды; U – скорость судна; – угол атаки плоскости днища к горизонтали при движении судна; W1 – собственный вес; W2 – вес груза; М – момент силы подъемного давления p(x, z) на плоскость днища относительно средней точки О осевой линии днища; 1 – угол атаки плоскости днища к горизонтали в статическом положении судна, обычно принимаемый за 5o, а также определяемый по допустимой статической осадке конца кормы, длине судна и другим факторам, если центр тяжести судна находится выше направленной линии суммарного упора, учет 1 становится ненужным; 0,1 k0 1 (или определяется конструктивными требованиями); g – ускорение свободного падения; – половина осадки конца кормы (определяется конструктивными требованиями). В состоянии глиссирования судна L = W1 + W2.
В данном изобретении днище 1 спроектировано как плоское основание, содержащее равнобедренный треугольник и прямоугольник, но не как V-образное днище, соответственно и нос также имеет острую форму, но корма широкая. Угол основания форштевня срезан по дуге, радиус кривизны которой R (фиг. 1), так что при глиссировании судна несущая поверхность на носу очень мала. При вхождении форштевня в волны возмущения из-за ударов корпуса о встречную волну не велики; при дальнейшем рассекании судном волн может возникнуть небольшой момент сил дифферента на корму. Однако этот момент сил дифферента на корму устраняется моментом сил дифферента на нос, образуемого благодаря большой несущей поверхности на корме. Кроме того, на носу под палубой 3 бакс срезан (фиг. 1), а нижняя часть бортов почти вертикальна (фиг. 3, 4, 4-1, 4-2), что в большой мере снижает чувствительность реагирования на волны. Обеспечивается важное условие гладкого рассекания судном бурных волн, по которым оно движется (фиг. 12-2). Передняя часть днища 1 выполнена в форме равнобедренного треугольника, удобной для рассекания бурных волн. Задняя часть днища 1 выполнена в форме прямоугольника, выгодной для увеличения полезного пространства корпуса и соответствующего перемещения вперед центра O1 гидродинамической плавучести L, т.е., с учетом расположения суммарной осевой силы F и суммарного сопротивления RT, для помещения O1 в наилучшем интервале при помощи регулирования в проекте величин s, t, b. Как и для регулирования положения O2 при эксплуатации: при направленном против часовой стрелки моменте сил суммарной осевой силы, суммарного сопротивления и гидродинамической плавучести относительно центра O2 тяжести судна, – O1 немного впереди O2 (фиг. 10A); если момент сил направлен по часовой стрелке, – O1 немного сзади (фиг. 10B). В результате при движении судна может быть создан отличный угол атаки глиссирования.
Для уменьшения гидродинамического сопротивления, увеличения дополнительной подъемной силы и осевой силы и улучшения различных характеристик при эксплуатации судна между днищем 1 и палубой 3 вертикально вверх в днище 1 вдоль всей его длины выдавлены одна или несколько направляющих волн 4. Каждая из направляющих волн 4 представляет собой желоб, имеющий поперечное сечение с дугообразной, треугольной или -образной верхней частью и продольное сечение в виде . В статическом положении судна выдавленное вертикальное вверх в днище 1 углубление переднего конца желоба находится на ватерлинии. У судов с более глубокой осадкой в статическом положении вогнутость может располагаться немного ниже ватерлинии в соответствии с конструктивными требованиями. Осевые линии оснований желобов симметрично параллельны осевой линии днища. Если выполняется только одна направляющая волн, центральная линия ее основания совпадает с осевой линией днища 1 (фиг. 1, 2, 4, 6-2, 6-4, 7-1, 7-2). У верхней линии направляющей волн 4 задняя часть выше, а передняя – ниже, за счет чего образуется угол наклона к днищу 1 (фиг. 1, 2, 11).
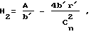
Угол наклона и ширина 2r основной плоскости направляющей волн 4 определяются в соответствии с конструктивными требованиями и выражениями (3), (4):В выражении (3), F0= 4 U2a2Qsin sin , (F0 – дополнительная осевая сила, создаваемая направляющей волн),![]() ![]() ![]() В выражении (4), L0= 4 U2a2Qsin cos , (L0 – дополнительная подъемная сила, создаваемая направляющей волн).
В этом процессе корпус постепенно поднимается из воды за счет достаточно сильной гидродинамической плавучести, созданной его собственным движением, и переходит в состояние глиссирования; возле форштевня проталкиваемая движущимся корпусом вода частично входит в направляющую волн 4 и плавно вытекает из нее на корме. Таким образом понижается высота волнения поверхности воды около форштевня, соответственно намного уменьшается гидродинамическое сопротивление. При взгляде с основной плоскости днища 1 (фиг. 2) видны двойные пластины скольжения с расстоянием между ними 2r. Часть проталкиваемой воды должна хлынуть в пространство шириной 2r, а другая часть устремляется наружу обеих пластин. Следовательно, вблизи обоих бортов 2 высота волнения поверхности воды, вызванного проталкиваемой днищем 1 водой к обоим бортам 2, понижается благодаря тому, что часть воды хлынула в направляющую волн 4. Таким образом снижаются потеря энергии и гидродинамическое сопротивление. Хлынувшая в направляющую волн 4 вода не только уменьшает гидродинамическое сопротивление, но и создает дополнительный подъем и момент силы поперечной остойчивости (фиг. 4-3, 6-7 и т.д.). Таким образом, улучшаются устойчивость на курсе, поперечная остойчивость и маневренность судна. У верха направляющей волн 4 задняя часть выше, а передняя – ниже, образуя угол наклона к днищу 1, за счет чего дополнительная сила создает часть передней осевой силы (фиг. 11). Это приводит к дальнейшему увеличению скорости судна. Как видно из поперечного сечения на фиг. 2, 3 и 4, длина вогнутой дуги превосходит 2r, т. е. установка направляющей волн 4 увеличивает смоченную поверхность днища 1, что может привести к возрастанию фрикционного сопротивления. Практически же при правильном выборе угла наклона верхней линии создаваемая направляющей волн 4 дополнительная осевая сила намного превосходит увеличившееся фрикционное сопротивление. Кроме того, понижение высоты волнения поверхности воды вблизи форштевня и обоих бортов 2 существенно уменьшает гидродинамическое сопротивление. Преимущества направляющей волн 4 в снижении сопротивления и увеличении осевой силы и подъемной силы очевидны.
Поперечное сечение направляющей волн 4 может иметь форму (фиг. 9-4, 4-4, 4-5, 4-6) и < r (фиг. 4 – 5), в этом случае при переходе корпуса в состояние глиссирования вода устремляется вверх и катится по дуге (фиг. 4-6), следовательно, дуга не смачивается. Поэтому при установке направляющей волн 4 фактически благодаря уменьшению смачиваемой поверхности уменьшается фрикционное сопротивление воды, таким образом скорость судна возрастает еще больше. Для днища 1 с большим а : b основная плоскость направляющей волн 4 может быть выполнена в показанной на фиг. 4-7 форме. Но ее сужение должно быть ограничено в узком диапазоне с целью большего понижения высоты волнения поверхности воды вблизи обоих бортов 2, но без возникновения в желобе вихрей и турбулентного потока. Это может быть приемлемым только если снижение сопротивления и увеличение осевой силы имеют преимущество по сравнению с длинной прямоугольной основной плоскостью, что устанавливается по результатам проверки вычислений и экспериментов.
На средних и больших суднах в соответствии с требованиями можно устанавливать многочисленные направляющие волн 4 (фиг. 6-2, 6-4, 7-1, 7-2 или более), расширенную или очень широкую направляющую волн 4 (фиг. 8-1, 8-2, 8-3; фиг. 9-1, 9-2, 9-3). На средних и малых судах можно устанавливать одну, две или три направляющие волн 4 (фиг. 18, 20, 21, фиг. 25-1,…, 25-7, фиг. 26-1,…, 26-7, фиг. 7-1,…, 7-4). При установке двух или более направляющих волн 4 наклоны их верхних линий (или высота, ширина) могут быть как совершенно одинаковыми (фиг. 7-2, 6-4, 6-6), так и различными (фиг. 7 – 3, 7 – 4). Если наклоны (или высота, ширина) различны, направляющие волн 4 с одинаковыми наклонами (или высотой, шириной) должны быть спарены и расположены симметрично по обеим сторонам осевой линии корпуса. Высоту и угол наклона направляющей волн 4 целесообразно увеличить. Увеличение высоты и наклона пары направляющих волн 4, симметрично параллельных осевой линии корпуса, придает воплощающему данное изобретение корпусу как свойства многокорпусного судна, так и преимущества над обычным многокорпусным судном. При нечетном количестве направляющих волн 4 увеличение высоты и наклона одной направляющей волн с совпадением осевой линии основной плоскости с осевой линией днища последний функционирует как катамаран, обладая преимуществами над катамараном обычным. Поскольку направляющие волн 4 с большей высотой и наклоном не только разделяют, но и крепко связывают обе боковины корпуса, обеспечиваются дополнительная подъемная сила и осевая сила, что невозможно для современных обычных катамаранов и многокорпусных судов в движении. Эти преимущества полезны для увеличения скорости и устойчивостей судна. Поэтому для приобретения характеристик катамаранов или многокорпусных судов можно применять конструкции корпуса в соответствии с данным изобретением. Если верхняя линия направляющей волн 4 образована двумя или более ломаными линиями, их соединение сглаживается дугой.
Таким образом, установка направляющих волн 4 позволяет снизить гидродинамическое сопротивление корпуса, и кроме того, создать дополнительную подъемную силу и осевую силу, а следовательно, повысить скорость, устойчивость на курсе и поперечную остойчивость, а также улучшить маневренность, эластичность и мореходные качества и понизить чувствительность реагирования при рассекании бурного моря.
Предлагаемая изобретением вогнутая направляющая волн 4 может быть применена независимо в частично V-образном днище или в днище иной конфигурации. В этом случае за принимается наклон его верхней линии по отношению к плоскости проекции днища, однако берется как угол атаки плоскости проекции днища к горизонтали при движении, а 1 – угол атаки в статическом положении судна. В таком случае характеристики судна с установленными направляющими волн 4 можно частично улучшить, но не в такой совершенной степени, как при плоском днище.
Из фиг. 1, 3 и 4 видно, что на носу и корме каждого борта 2 установлена пара отражателей брызг волн 5. Отражатель брызг волн 5 с опущенной передней частью и поднятой задней частью образует наклон к днищу 1. согласован с углом , его конкретное значение определяется в соответствии с конструкцией и углом . Наинизшая точка переднего конца отражателя брызг волн 5 расположена на ватерлинии в статическом положении корпуса, у корпуса с более глубокой осадкой она может быть немного ниже ватерлинии в соответствии с конструкцией. Отражатель брызг волн 5 может быть выполнен в виде дугообразной перегородки, перегородки -типа или -типа, встроенной по одной в каждый борт 2 в соответствующем месте и образующей с бортом 2 одно целое (фиг. 4-1, 4-2, 6-5, 6-6), или выдавленной. Таким образом поднимающиеся вдоль бортов 2 волны и всплески скатываются вниз по поверхности отражателей брызг волн 5 (фиг. 4-3, 6-7), что не только уменьшает смоченную поверхность обоих бортов 2, снижая этим гидрофрикционное сопротивление, но также и создает дополнительную подъемную силу и осевую силу. Кроме того, отражатели брызг волн 5 могут снижать или почти полностью ликвидировать помехи в виде брызг и всплесков в поле видения пассажиров при эксплуатации судна.
Корпус предлагаемого изобретением глиссера может иметь уступ на корме (фиг. 1, 6-1). При перемещении судна в положении водоизмещения на малом ходу уступ должен быть закрыт крышкой уступа 8, образующей плавную обтекаемую заднюю часть кормы для обеспечения беспрепятственного вытекания воды из кормы, что снижает гидродинамическое сопротивление на корме. При подъеме корпуса из воды и переходе в состояние глиссирования крышку уступа 8 можно снять – уступ открывается. Теперь поток корпуса отделен от корпуса за уступом, следовательно, смоченная площадь корпуса снижается, что приводит к значительному уменьшению сопротивления и дальнейшему увеличению скорости судна. Крышка уступа 8 может быть жесткой, полужесткой или гибкой. Жесткая крышка, изготовленная из тонкого листового металла, при движении судна на малом ходу вытягивается при помощи трансмиссионного механизма и закрывает уступ. При переходе судна в состояние глиссирования крышка уступа 8 снимается и уступ открывается. Полужесткая крышка уступа 8 изготавливается из жесткой металлической пластины и эластичного резинового чехла; жесткая пластина вытягивается или втягивается при помощи трансмиссионного механизма, а эластичный резиновый чехол – посредством сжатого воздуха (фиг. 13-1, 13-2, 13-3, 15-1, 15-2). Гибкая крышка уступа 8 изготавливается из эластичного резинового материала, наполняется и открывается воздухом. При перемещении судна в положении водоизмещения уступ закрыт. При переходе судна в состояние глиссирования крышка уступа 8 складывается и убирается, открывая уступ (фиг. 14-1, 14-2, 14-3, 16-1, 16-2). Для малых катеров с мелкой осадкой в статическом положении крышка уступа 8 не нужна. Корма может быть обтекаемой формы без уступа или иного типа.
В носовой части корпуса под палубой 3 угол бакса срезан с наклонным изгибом вниз и назад от передней оконечности палубы к переднему краю днища. Это приводит к перемещению несущей поверхности днища 1 назад, вследствие чего значительно увеличивается способность судна плавно скользить по бурному морю. Выше ватерлинии в статическом положении корпуса бортовая стенка криволинейно развалена вверх под палубой 3 по обеим сторонам от осевой линии корпуса. Это не только расширяет полезную площадь палубы 3, но и предотвращает зарывание судна во встречные волны. Носовая часть корпуса может иметь и другую форму.
Для днища 1 переход между равнобедренно-треугольной и прямоугольной частью сглаживается дугой (фиг. 18, 25-2, 26-2). Для различных применений могут быть сооружены соответствующие каюта и надстройка. Если плоскость палубы имеет специальное назначение, планировка соответствующей ее зоны может быть выполнена в соответствии с практическими потребностями.
На базе корпуса, имеющего вышеописанные признаки данного изобретения, предлагается следующая схема движительной системы и управления: в задней части корпуса, на внутренней стороне обоих бортов под палубой 3, в пространстве между палубой 3 и ватерлинией при глиссирующем положении судна, одна или несколько гидрореактивных движительных установок 6 размещаются вблизи поверхности воды (фиг. 18, 19, 25-2, 25-3); водометные сопла 9 устанавливаются в конце кормы; впускные отверстия для воды 10 устанавливаются в соответствующих местах днища 1; здесь надо выдерживать необходимое расстояние между впускным отверстием для воды 10 и направляющей волн 4, носом, концом кормы, обоими бортами 2, чтобы не допустить попадания воздуха во впускное отверстие для воды 10. Кроме того, сведены к минимуму трактовая и локальная потери напора воды в тракте входа воды 11 (фиг. 22). Ускорение воды может быть достигнуто при помощи водяного насоса или иным способом. Каждый из немного выступающих за корму рулей 7 соответствует одному водометному соплу. Реактивная струя воды воздействует на поверхность рулей, заставляя судно совершать поворот или останавливаться. Рули 7 установлены на корме, их вращающаяся ось 12 соединена с рулевой машиной для управления рулями 7. Конструкция руля 7 может быть таковой, что он поднимается или опускается вдоль вращающейся оси 12, т.е. когда руль 7 не работает, его можно извлечь вверх из реактивной струи воды, а при повороте или остановке судна – опустить при помощи соединения ласточкиным хвостом в реактивную струю воды. При глиссирующем положении судна водометное сопло 9 и соответствующий руль 7 находятся выше, у поверхности воды. При такой компоновке одно из преимуществ состоит в сведении к минимуму сопротивления на корме, другое же преимущество заключается в значительном повышении маневренности, эластичности и мореходных качеств судна. Судно гибко поворачивается на поверхности глиссирования с наименьшим гидродинамическим сопротивлением и малым радиусом поворота (фиг. 24) под действием поворотного момента сил руля 7. Направляющая волн 4 повышает поперечную остойчивость судна при повороте с мелкой осадкой. Поэтому судно, особенно малый катер, с отличительными признаками данного изобретения может плавно идти по глубоководной реке или морю, бурным водам, равно как и по мелководью, сильному и быстрому течению или подводным рифам.
Говоря конкретно, предлагаемый данным изобретением корпус глиссера включает днище 1, состоящее из равнобедренно-треугольной головной части и прямоугольной задней части. Это максимально повышает коэффициент подъемной силы, сводит к минимуму смачиваемую площадь и соответствующее фрикционное сопротивление, уменьшает поверхность подъема на носу, увеличивает ее на корме. Соответственно, дифферент становится малым. Кроме того, направляющая волн 4 обеспечивает понижение высоты волнения поверхности воды у носа и бортов 2, создаются дополнительная подъемная сила и осевая сила. Все это повышает гидродинамическую плавучесть при достаточной прочности и хорошем распределении, ускоряя подъем корпуса из воды и начало глиссирования, что позволяет достичь желаемой скорости, лучшей устойчивости на курсе, поперечной остойчивости и высокой маневренности, эластичности, мореходных качеств. Кроме того, не реагирующий на волны корпус способен плавно идти по волнам и обеспечивать безопасную и комфортабельную поездку по бурному или неспокойному морю, равно как и достаточно большую грузовместимость. Следовательно, судно с отличительными признаками данного изобретения способно плавно идти по бурным водам и достигать сверхкритического рабочего состояния (фиг. 12-2).
В итоге предлагаемый изобретением глиссер при использовании той же мощности и при равной нагрузке обладает гораздо большей скоростью по сравнению с судами водоизмещающего типа, а также лучшими другими характеристиками. Грузовместимость предлагаемого изобретением глиссера гораздо выше, чем у судов на подводных крыльях, воздушной подушке и существующих обычных глиссеров, по сравнению с которыми другие характеристики предлагаемого изобретением, глиссера также лучше. Соответственно, корпус предлагаемого изобретением глиссера имеет преимущества почти над всеми корпусами обычных судов, так как предлагаемый изобретением корпус обладает низким потреблением мощности, большим контролируемым диапазоном изменения скорости и грузовместимости, а также плавностью, безопасностью и эластичностью в эксплуатации.
Промышленная применимостьПример применения 1. В соответствии с отличительными признаками данного изобретения сконструирован рейсовый катер (фиг. 17, 18, 19, 20, 21, 22). Корпус содержит плоское днище 1, состоящее из равнобедренно-треугольной головной части и прямоугольной задней. Вертикально вверх в днище 1 вдоль всей его длины выдавлена направляющая волн 4 с верхней линией под углом наклона , поперечным сечением формы , продольным сечением формы и шириной 2r плоскости основания. Пара отражателей брызг волн 5 встроены по одному в каждом борту. На корме установлена полужесткая крышка уступа 8. Симметрично параллельно осевой линии корпуса расположена пара гидрореактивных движительных установок 6. Пара рулей 7 и силовых агрегатов 17 установлены по одному на каждую соответствующую гидрореактивную движительную установку 6. Водометные сопла 9 находятся в конце кормы. При глиссировании судна водометное сопло 9 и рули 7 находятся у поверхности воды, но выше ее. Установлена пара впускных отверстий для воды 10, по одному с каждой стороны осевой линии корпуса. Надстройка 13 имеет обтекаемую форму. В пассажирской каюте 14 находится сиденье рулевого 15, несколько пассажирских мест. Машинный отсек 16 расположен в соответствующем месте задней части корпуса. В машинном отсеке 16 установлены два силовых агрегата 17. Гидрореактивная движительная установка 6 соединена с соответствующим силовым агрегатом 17. На надстройке установлен подволок 18, посередине которого поставлена мачта корабля 19. Катер обладает вышеописанными характеристиками в соответствии с данным изобретением.
Пример 2. В соответствии с отличительными признаками данного изобретения сконструирован катер (фиг. 25-1, 25-2, 25-3, 25-4, 25-5, 25-6, 25-7) с плоским днищем 1, состоящим из равнобедренного треугольника и прямоугольника. Пара направляющих волн 4 установлена симметрично, по одной с каждой стороны осевой линии днища 1. Пара отражателей брызг волн 5 встроены по одному в каждом борту. Установлены сиденье рулевого 15, пассажирская каюта 14 и сиденье 20 на пять мест. Гидрореактивная движительная установка 6, силовой агрегат 17 и руль 7 имеют среднее расположение параллельно осевой линии корпуса. Впускное отверстие для воды 10 находится на осевой линии днища. Водометное сопло 9 и руль 7 расположены у поверхности воды, но выше ее при глиссировании судна. На носу установлено ветровое стекло 21. Катер – открытый, может быть снабжен подвижным подволоком, развертываемым для накрытия каюты при необходимости и убираемым за ненужностью. Осадка этого катера особенно мелка, он может плавно и безопасно ходить по внутренним рекам или озерам с отмелями.
Пример 3. В соответствии с отличительными признаками данного изобретения при описанной в примере 2 компоновке в пассажирской каюте 14 установлено пассажирское сиденье 20 на 7 мест. Может включать одиночный движитель, устанавливаемый в конце кормы с фундаментом 22 подвесного двигателя. В конце кормы может быть установлен также двойной движитель с двумя фундаментами 23 подвесных двигателей. Подвесной двигатель используется в качестве движителя, как видно из фиг. 26-1, 26-2, 26-3, 26-4, 26-5, 26-6, 26-7.
На основе корпуса, имеющего вышеописанные признаки данного изобретения, в соответствии с различными применениями может быть принято гидрореактивное движение, винтовой движитель или другие движительные и управляющие системы, установлены соответствующие каюта, палуба и надстройка. Могут быть сконструированы и построены рейсовый катер (фиг. 23), спасательное судно, сторожевой эскортный и разные другие типы малых катеров, многочисленные средние и большие суда. Они способны развивать скорость в расчетном диапазоне, а также высокую расчетную скорость, обладают отличными устойчивостью на курсе, поперечной остойчивостью, мореходными качествами, могут достигать сверхкритического рабочего состояния и плавно рассекать бурные воды в движении (фиг. 12-2), а также очень маневренны при изменении направления движения с малыми радиусами поворота (фиг. 24). Характеристики глиссера с предлагаемым изобретением корпусом значительно лучше, чем у существующих катеров и кораблей.
Предлагаемый данным изобретением глиссер может найти непосредственное применение в судостроительной промышленности.
Вышеописанные примеры не ограничены каким-либо конкретным вариантом воплощения изобретения, являются лишь иллюстративными. Подробно описан и раскрыт предпочтительный вариант воплощения изобретения и несколько примеров его применения; очевидно, что возможны изменения и модификации, ведущие к появлению других вариантов воплощения корпуса, а некоторые отличительные признаки изобретения могут быть использованы в разных комбинациях без отступления от сущности и объема изобретения в формуле изобретения.
Формула изобретения
или или , а продольное сечение выполнено с наклонной верхней линией, у которой передняя часть опущена, а задняя часть поднята, при этом значения длины l, являющейся проекцией равных сторон длиной S треугольной части днища на ось OX, длины t прямоугольной части в направлении оси OX и ширины 2b в направлении оси OZ определены в соответствии с выражениямиL = 2 U2a2Psin , (1)![]() ![]() ![]() ![]() Bn= GCn, ![]() ![]() ![]() ![]() ![]() ![]() ![]() L – гидродинамическая плавучесть, равная W1+W2 при глиссировании судна; W1 – собственный вес судна; W2 – вес груза, ![]() ![]() О – точка начала координат, размещенная на осевой линии днища и являющаяся средней точкой общей смоченной длины 2а днища; X – расстояние между средней точкой О осевой линии днища и центром O1 гидродинамической плавучести; OX – ордината; OZ – абсцисса; – плотность воды;U – скорость судна; – угол атаки упомянутого днища к горизонтали при движении судна;М – момент силы подъемного давления на плоскость днища относительно средней точки осевой линии, 0,1 k0 1,g – ускорение свободного падения; – половина осадки конца кормы.
2. Глиссер по п.1, отличающийся тем, что направляющая волн представляет собой желоб, имеющий поперечное сечение с -образной, или -образной, или -образной верхней частью и продольное сечение с верхней линией, у которой задняя часть выше, а передняя – ниже для формирования угла наклона к днищу, ширина основания желоба равна 2r, в статическом положении вогнутость передней части выдавленного вертикально вверх в днище желоба расположена на ватерлинии или немного ниже, упомянутые угол и ширина 2r определены в соответствии с выражениямиF0= 4 U2a2Qsin sin , (3)где F0 – дополнительная гидродинамическая осевая сила, создаваемая направляющей волн; ![]() H1= 4r +Ak20,![]() ![]() ![]() ![]() L0= 4 U2a2Qsin cos , (4)где L0 – дополнительная подъемная сила, создаваемая направляющей волн. 3. Глиссер по п.1, отличающийся тем, что на каждом борту установлено по одному отражателю брызг, имеющему более низкую переднюю и более высокую заднюю часть, при этом упомянутые отражатели брызг представляют собой наклонные перегородки, вставленные в поверхности бортов или выдавленные на бортах с образованием с ними единого целого ниже палубы, но выше указанного днища, при этом в статическом положении корпуса судна наинизшая точка переднего конца отражателя брызг расположена на ватерлинии или ниже ее. 4. Глиссер по п.1, отличающийся тем, что плоскость основания направляющей волн выполнена с расширенной задней и суженной передней частями или в виде удлиненного прямоугольника. 5. Глиссер по п. 1, отличающийся тем, что движительная и управляющая система содержит гидрореактивную движительную установку, силовой агрегат и руль, либо несколько таких установок с их силовыми агрегатами и рулями, в пространстве между палубой и ватерлинией при глиссирующем положении судна в задней части корпуса на внутренних сторонах обоих бортов под палубой вблизи поверхности воды установлены одна или несколько гидрореактивных движительных установок, чья осевая линия расположена в середине и параллельно осевой линии корпуса, при установке только одной гидрореактивной движительной установки, или чьи осевые линии расположены симметрично параллельно осевой линии корпуса при установке пары или более гидрореактивных движительных установок, и которые закреплены посредством соединительной детали, водометы установлены в конце кормы, по одному рулю установлено рядом с каждым соответствующим водометом, рули закреплены на корме при помощи жесткой детали, вращающаяся ось руля соединена с рулевой машиной, руль выполнен с возможностью подъема или спуска вдоль вращающейся оси, и при нерабочем руле обеспечена возможность его подъема вверх из реактивной струи воды, а при повороте или остановке судна – спуска при помощи соединения ласточкиным хвостом в реактивную струю воды, в машинном отсеке установлен силовой агрегат в виде дизельной или иной энергетической установки, продольная осевая линия впускного отверстия для воды совпадает с осевой линией днища при одной гидрореактивной движительной установке, или осевые линии впускных отверстий для воды симметрично параллельны осевой линии днища при паре или большем количестве гидрореактивных движительных установок. 6. Глиссер по п.1, отличающийся тем, что движительная и управляющая система является винтовой. 7. Глиссер по п.1, отличающийся тем, что корма корпуса судна выполнена с уступом. 8. Глиссер по п. 1, отличающийся тем, что переход между треугольной и прямоугольной частями днища соединен сглаживающей дугой. 9. Глиссер по п.1, отличающийся тем, что при различных величинах высот, наклонов верхних линий и ширин направляющих волн эти направляющие волн с одинаковыми их величинами спарены и расположены симметрично по обеим сторонам от осевой линии корпуса. 10. Глиссер по п.1, отличающийся тем, что верхняя линия направляющей волн выполнена в виде двух или более ломаных линий, при этом соединения между соседними участками ломаных линий выполнены по сглаживающей дуге. 11. Глиссер по п.1, отличающийся тем, что корма корпуса выполнена обтекаемой формы. Приоритет по пунктам: 13.08.94 по пп. 1-3 и 7-10; 30.06.95 по пп.4 и 11; 02.03.95 по пп.5 и 6. РИСУНКИ
MM4A Досрочное прекращение действия патента из-за неуплаты в установленный срок пошлины за
Дата прекращения действия патента: 01.07.2008
Дата публикации: 20.01.2011
|
||||||||||||||||||||||||||

или
или
, продольное сечение имеет вид
, верхняя линия которого имеет наклон вниз к передней части. Направляющие волн 4 симметрично параллельны осевой линии днища. Если выполняется только одна направляющая волн, центральная линия ее основной плоскости совпадает с осевой линией днища. Пара отражателей брызг волн 5 в виде отражательных перегородок с опущенной передней частью и приподнятой задней частью, образующими наклон, вставлены или выдавлены заодно в каждом борту ниже палубы 3 над днищем 1. Снабженный вышеописанными конструкционными элементами корпус может создавать поле гидродинамического потока и соответствующую достаточную гидродинамическую плавучесть с хорошим расчетным распределением для движения судна. Благодаря этому корпусу снижается гидродинамическое сопротивление и увеличивается скорость с одновременным использованием достигнутой гидродинамической плавучести для повышения грузовместимости, удовлетворяющей различному тоннажу груза, значительно улучшаются многие собственные эксплуатационные характеристики, а также обеспечивается сверхкритическое состояние функционирования при движении по спокойным или бурным водам. Носовая часть корпуса может иметь следующую конструкцию: угол нижней части носа срезан с наклонным изгибом вниз и назад от передней оконечности палубы к переднему краю днища. Выше ватерлинии в статическом положении корпуса бортовая стенка криволинейно разваливается вверх по обеим сторонам от осевой линии корпуса. Носовая часть корпуса также может быть иного типа.
Корма может иметь уступ. При перемещении судна в положении водоизмещения на малом ходу уступ закрывается крышкой уступа, образующей плавную обтекаемую заднюю часть кормы для снижения гидродинамического сопротивления. При выходе корпуса из воды и движении в состоянии глиссирования крышку можно снять. Уступ открывается, увеличивая таким образом скорость глиссера. Корма может иметь обтекаемую форму без уступа или иную.
У глиссера с корпусом, имеющим вышеописанные признаки данного изобретения, движительная и управляющая система в соответствии с изобретением могут иметь следующую компоновку: в задней части корпуса на внутренней стороне обоих бортов под палубой 3 в пространстве между палубой 3 и ватерлинией при глиссирующем положении судна одна или несколько гидрореактивных движительных установок 6 размещаются вблизи поверхности воды. Водометы устанавливаются в конце кормы. Каждый из немного выступающих за корму рулей 7 соответствует одному водомету. При глиссирующем положении судна водометы и рули находятся у поверхности воды, но выше ее.
Отличительные признаки корпуса в соответствии с данным изобретением способны обеспечить отличные мореходные качества. Кроме того, имеющий признаки данного изобретения корпус может также быть снабжен гребным винтом или другими движительными и управляющими системами. Изобретение применимо к разным типам малых, средних, а также больших катеров и судов в различных целях.
Каждая из фиг. 1 – 16-2 изображает только одну часть конструкции корпуса под палубой глиссера в соответствии с изобретением. Направленные вертикально вверх стрелки на каждой соответствующей фигуре обозначают дополнительные подъемные силы благодаря направляющим волн. Симметрично наклоненные внутрь стрелки на бортах обозначают дополнительную силу за счет отражателей брызг волн. Симметрично наклоненные внутрь или наружу стрелки в пространстве внутри обоих бортов обозначают дополнительную силу, создаваемую направляющими волн.
На фиг. 1 показана боковая вертикальная проекция корпуса глиссера в соответствии с изобретением;
-типе поперечного сечения направляющих волн;
-типе поперечного сечения, где h – максимальная высота сечения, 2r – ширина основной плоскости направляющей волн,
– длина дуги боковины,
– длина дуги верха;
-и
-типами поперечного сечения соответственно;
– угол наклона верхней линии направляющей волн к плоскости днища, L0 – дополнительная подъемная сила, F0 – дополнительная осевая сила;
U2a2Psin
, (L – гидродинамическая плавучесть),





(X – расстояние между точкой О и центром O1 гидродинамической плавучести),
k0
– половина осадки конца кормы (определяется конструктивными требованиями). В состоянии глиссирования судна L = W1 + W2.
В данном изобретении днище 1 спроектировано как плоское основание, содержащее равнобедренный треугольник и прямоугольник, но не как V-образное днище, соответственно и нос также имеет острую форму, но корма широкая. Угол основания форштевня срезан по дуге, радиус кривизны которой R (фиг. 1), так что при глиссировании судна несущая поверхность на носу очень мала. При вхождении форштевня в волны возмущения из-за ударов корпуса о встречную волну не велики; при дальнейшем рассекании судном волн может возникнуть небольшой момент сил дифферента на корму. Однако этот момент сил дифферента на корму устраняется моментом сил дифферента на нос, образуемого благодаря большой несущей поверхности на корме. Кроме того, на носу под палубой 3 бакс срезан (фиг. 1), а нижняя часть бортов почти вертикальна (фиг. 3, 4, 4-1, 4-2), что в большой мере снижает чувствительность реагирования на волны. Обеспечивается важное условие гладкого рассекания судном бурных волн, по которым оно движется (фиг. 12-2). Передняя часть днища 1 выполнена в форме равнобедренного треугольника, удобной для рассекания бурных волн. Задняя часть днища 1 выполнена в форме прямоугольника, выгодной для увеличения полезного пространства корпуса и соответствующего перемещения вперед центра O1 гидродинамической плавучести L, т.е., с учетом расположения суммарной осевой силы F и суммарного сопротивления RT, для помещения O1 в наилучшем интервале при помощи регулирования в проекте величин s, t, b. Как и для регулирования положения O2 при эксплуатации: при направленном против часовой стрелки моменте сил суммарной осевой силы, суммарного сопротивления и гидродинамической плавучести относительно центра O2 тяжести судна, – O1 немного впереди O2 (фиг. 10A); если момент сил направлен по часовой стрелке, – O1 немного сзади (фиг. 10B). В результате при движении судна может быть создан отличный угол атаки глиссирования.
Для уменьшения гидродинамического сопротивления, увеличения дополнительной подъемной силы и осевой силы и улучшения различных характеристик при эксплуатации судна между днищем 1 и палубой 3 вертикально вверх в днище 1 вдоль всей его длины выдавлены одна или несколько направляющих волн 4. Каждая из направляющих волн 4 представляет собой желоб, имеющий поперечное сечение с дугообразной, треугольной или
-образной верхней частью и продольное сечение в виде
. В статическом положении судна выдавленное вертикальное вверх в днище 1 углубление переднего конца желоба находится на ватерлинии. У судов с более глубокой осадкой в статическом положении вогнутость может располагаться немного ниже ватерлинии в соответствии с конструктивными требованиями. Осевые линии оснований желобов симметрично параллельны осевой линии днища. Если выполняется только одна направляющая волн, центральная линия ее основания совпадает с осевой линией днища 1 (фиг. 1, 2, 4, 6-2, 6-4, 7-1, 7-2). У верхней линии направляющей волн 4 задняя часть выше, а передняя – ниже, за счет чего образуется угол наклона 


(фиг. 9-4, 4-4, 4-5, 4-6) и
к днищу 1.
-типа или
-типа, встроенной по одной в каждый борт 2 в соответствующем месте и образующей с бортом 2 одно целое (фиг. 4-1, 4-2, 6-5, 6-6), или выдавленной. Таким образом поднимающиеся вдоль бортов 2 волны и всплески скатываются вниз по поверхности отражателей брызг волн 5 (фиг. 4-3, 6-7), что не только уменьшает смоченную поверхность обоих бортов 2, снижая этим гидрофрикционное сопротивление, но также и создает дополнительную подъемную силу и осевую силу. Кроме того, отражатели брызг волн 5 могут снижать или почти полностью ликвидировать помехи в виде брызг и всплесков в поле видения пассажиров при эксплуатации судна.
Корпус предлагаемого изобретением глиссера может иметь уступ на корме (фиг. 1, 6-1). При перемещении судна в положении водоизмещения на малом ходу уступ должен быть закрыт крышкой уступа 8, образующей плавную обтекаемую заднюю часть кормы для обеспечения беспрепятственного вытекания воды из кормы, что снижает гидродинамическое сопротивление на корме. При подъеме корпуса из воды и переходе в состояние глиссирования крышку уступа 8 можно снять – уступ открывается. Теперь поток корпуса отделен от корпуса за уступом, следовательно, смоченная площадь корпуса снижается, что приводит к значительному уменьшению сопротивления и дальнейшему увеличению скорости судна. Крышка уступа 8 может быть жесткой, полужесткой или гибкой. Жесткая крышка, изготовленная из тонкого листового металла, при движении судна на малом ходу вытягивается при помощи трансмиссионного механизма и закрывает уступ. При переходе судна в состояние глиссирования крышка уступа 8 снимается и уступ открывается. Полужесткая крышка уступа 8 изготавливается из жесткой металлической пластины и эластичного резинового чехла; жесткая пластина вытягивается или втягивается при помощи трансмиссионного механизма, а эластичный резиновый чехол – посредством сжатого воздуха (фиг. 13-1, 13-2, 13-3, 15-1, 15-2). Гибкая крышка уступа 8 изготавливается из эластичного резинового материала, наполняется и открывается воздухом. При перемещении судна в положении водоизмещения уступ закрыт. При переходе судна в состояние глиссирования крышка уступа 8 складывается и убирается, открывая уступ (фиг. 14-1, 14-2, 14-3, 16-1, 16-2). Для малых катеров с мелкой осадкой в статическом положении крышка уступа 8 не нужна. Корма может быть обтекаемой формы без уступа или иного типа.
В носовой части корпуса под палубой 3 угол бакса срезан с наклонным изгибом вниз и назад от передней оконечности палубы к переднему краю днища. Это приводит к перемещению несущей поверхности днища 1 назад, вследствие чего значительно увеличивается способность судна плавно скользить по бурному морю. Выше ватерлинии в статическом положении корпуса бортовая стенка криволинейно развалена вверх под палубой 3 по обеим сторонам от осевой линии корпуса. Это не только расширяет полезную площадь палубы 3, но и предотвращает зарывание судна во встречные волны. Носовая часть корпуса может иметь и другую форму.
Для днища 1 переход между равнобедренно-треугольной и прямоугольной частью сглаживается дугой (фиг. 18, 25-2, 26-2). Для различных применений могут быть сооружены соответствующие каюта и надстройка. Если плоскость палубы имеет специальное назначение, планировка соответствующей ее зоны может быть выполнена в соответствии с практическими потребностями.
На базе корпуса, имеющего вышеописанные признаки данного изобретения, предлагается следующая схема движительной системы и управления: в задней части корпуса, на внутренней стороне обоих бортов под палубой 3, в пространстве между палубой 3 и ватерлинией при глиссирующем положении судна, одна или несколько гидрореактивных движительных установок 6 размещаются вблизи поверхности воды (фиг. 18, 19, 25-2, 25-3); водометные сопла 9 устанавливаются в конце кормы; впускные отверстия для воды 10 устанавливаются в соответствующих местах днища 1; здесь надо выдерживать необходимое расстояние между впускным отверстием для воды 10 и направляющей волн 4, носом, концом кормы, обоими бортами 2, чтобы не допустить попадания воздуха во впускное отверстие для воды 10. Кроме того, сведены к минимуму трактовая и локальная потери напора воды в тракте входа воды 11 (фиг. 22). Ускорение воды может быть достигнуто при помощи водяного насоса или иным способом. Каждый из немного выступающих за корму рулей 7 соответствует одному водометному соплу. Реактивная струя воды воздействует на поверхность рулей, заставляя судно совершать поворот или останавливаться. Рули 7 установлены на корме, их вращающаяся ось 12 соединена с рулевой машиной для управления рулями 7. Конструкция руля 7 может быть таковой, что он поднимается или опускается вдоль вращающейся оси 12, т.е. когда руль 7 не работает, его можно извлечь вверх из реактивной струи воды, а при повороте или остановке судна – опустить при помощи соединения ласточкиным хвостом в реактивную струю воды. При глиссирующем положении судна водометное сопло 9 и соответствующий руль 7 находятся выше, у поверхности воды. При такой компоновке одно из преимуществ состоит в сведении к минимуму сопротивления на корме, другое же преимущество заключается в значительном повышении маневренности, эластичности и мореходных качеств судна. Судно гибко поворачивается на поверхности глиссирования с наименьшим гидродинамическим сопротивлением и малым радиусом поворота (фиг. 24) под действием поворотного момента сил руля 7. Направляющая волн 4 повышает поперечную остойчивость судна при повороте с мелкой осадкой. Поэтому судно, особенно малый катер, с отличительными признаками данного изобретения может плавно идти по глубоководной реке или морю, бурным водам, равно как и по мелководью, сильному и быстрому течению или подводным рифам.
Говоря конкретно, предлагаемый данным изобретением корпус глиссера включает днище 1, состоящее из равнобедренно-треугольной головной части и прямоугольной задней части. Это максимально повышает коэффициент подъемной силы, сводит к минимуму смачиваемую площадь и соответствующее фрикционное сопротивление, уменьшает поверхность подъема на носу, увеличивает ее на корме. Соответственно, дифферент становится малым. Кроме того, направляющая волн 4 обеспечивает понижение высоты волнения поверхности воды у носа и бортов 2, создаются дополнительная подъемная сила и осевая сила. Все это повышает гидродинамическую плавучесть при достаточной прочности и хорошем распределении, ускоряя подъем корпуса из воды и начало глиссирования, что позволяет достичь желаемой скорости, лучшей устойчивости на курсе, поперечной остойчивости и высокой маневренности, эластичности, мореходных качеств. Кроме того, не реагирующий на волны корпус способен плавно идти по волнам и обеспечивать безопасную и комфортабельную поездку по бурному или неспокойному морю, равно как и достаточно большую грузовместимость. Следовательно, судно с отличительными признаками данного изобретения способно плавно идти по бурным водам и достигать сверхкритического рабочего состояния (фиг. 12-2).
В итоге предлагаемый изобретением глиссер при использовании той же мощности и при равной нагрузке обладает гораздо большей скоростью по сравнению с судами водоизмещающего типа, а также лучшими другими характеристиками. Грузовместимость предлагаемого изобретением глиссера гораздо выше, чем у судов на подводных крыльях, воздушной подушке и существующих обычных глиссеров, по сравнению с которыми другие характеристики предлагаемого изобретением, глиссера также лучше. Соответственно, корпус предлагаемого изобретением глиссера имеет преимущества почти над всеми корпусами обычных судов, так как предлагаемый изобретением корпус обладает низким потреблением мощности, большим контролируемым диапазоном изменения скорости и грузовместимости, а также плавностью, безопасностью и эластичностью в эксплуатации.
Промышленная применимость
, продольным сечением
формы и шириной 2r плоскости основания. Пара отражателей брызг волн 5 встроены по одному в каждом борту. На корме установлена полужесткая крышка уступа 8. Симметрично параллельно осевой линии корпуса расположена пара гидрореактивных движительных установок 6. Пара рулей 7 и силовых агрегатов 17 установлены по одному на каждую соответствующую гидрореактивную движительную установку 6. Водометные сопла 9 находятся в конце кормы. При глиссировании судна водометное сопло 9 и рули 7 находятся у поверхности воды, но выше ее. Установлена пара впускных отверстий для воды 10, по одному с каждой стороны осевой линии корпуса. Надстройка 13 имеет обтекаемую форму. В пассажирской каюте 14 находится сиденье рулевого 15, несколько пассажирских мест. Машинный отсек 16 расположен в соответствующем месте задней части корпуса. В машинном отсеке 16 установлены два силовых агрегата 17. Гидрореактивная движительная установка 6 соединена с соответствующим силовым агрегатом 17. На надстройке установлен подволок 18, посередине которого поставлена мачта корабля 19. Катер обладает вышеописанными характеристиками в соответствии с данным изобретением.
Пример 2. В соответствии с отличительными признаками данного изобретения сконструирован катер (фиг. 25-1, 25-2, 25-3, 25-4, 25-5, 25-6, 25-7) с плоским днищем 1, состоящим из равнобедренного треугольника и прямоугольника. Пара направляющих волн 4 установлена симметрично, по одной с каждой стороны осевой линии днища 1. Пара отражателей брызг волн 5 встроены по одному в каждом борту. Установлены сиденье рулевого 15, пассажирская каюта 14 и сиденье 20 на пять мест. Гидрореактивная движительная установка 6, силовой агрегат 17 и руль 7 имеют среднее расположение параллельно осевой линии корпуса. Впускное отверстие для воды 10 находится на осевой линии днища. Водометное сопло 9 и руль 7 расположены у поверхности воды, но выше ее при глиссировании судна. На носу установлено ветровое стекло 21. Катер – открытый, может быть снабжен подвижным подволоком, развертываемым для накрытия каюты при необходимости и убираемым за ненужностью. Осадка этого катера особенно мелка, он может плавно и безопасно ходить по внутренним рекам или озерам с отмелями.
Пример 3. В соответствии с отличительными признаками данного изобретения при описанной в примере 2 компоновке в пассажирской каюте 14 установлено пассажирское сиденье 20 на 7 мест. Может включать одиночный движитель, устанавливаемый в конце кормы с фундаментом 22 подвесного двигателя. В конце кормы может быть установлен также двойной движитель с двумя фундаментами 23 подвесных двигателей. Подвесной двигатель используется в качестве движителя, как видно из фиг. 26-1, 26-2, 26-3, 26-4, 26-5, 26-6, 26-7.
На основе корпуса, имеющего вышеописанные признаки данного изобретения, в соответствии с различными применениями может быть принято гидрореактивное движение, винтовой движитель или другие движительные и управляющие системы, установлены соответствующие каюта, палуба и надстройка. Могут быть сконструированы и построены рейсовый катер (фиг. 23), спасательное судно, сторожевой эскортный и разные другие типы малых катеров, многочисленные средние и большие суда. Они способны развивать скорость в расчетном диапазоне, а также высокую расчетную скорость, обладают отличными устойчивостью на курсе, поперечной остойчивостью, мореходными качествами, могут достигать сверхкритического рабочего состояния и плавно рассекать бурные воды в движении (фиг. 12-2), а также очень маневренны при изменении направления движения с малыми радиусами поворота (фиг. 24). Характеристики глиссера с предлагаемым изобретением корпусом значительно лучше, чем у существующих катеров и кораблей.
Предлагаемый данным изобретением глиссер может найти непосредственное применение в судостроительной промышленности.
Вышеописанные примеры не ограничены каким-либо конкретным вариантом воплощения изобретения, являются лишь иллюстративными. Подробно описан и раскрыт предпочтительный вариант воплощения изобретения и несколько примеров его применения; очевидно, что возможны изменения и модификации, ведущие к появлению других вариантов воплощения корпуса, а некоторые отличительные признаки изобретения могут быть использованы в разных комбинациях без отступления от сущности и объема изобретения в формуле изобретения.
или
или
, а продольное сечение выполнено с наклонной верхней линией, у которой передняя часть опущена, а задняя часть поднята, при этом значения длины l, являющейся проекцией равных сторон длиной S треугольной части днища на ось OX, длины t прямоугольной части в направлении оси OX и ширины 2b в направлении оси OZ определены в соответствии с выражениями












-образной, или
-образной, или
-образной верхней частью и продольное сечение с верхней линией, у которой задняя часть выше, а передняя – ниже для формирования угла 
+Ak20,


