Патент на изобретение №2221804
|
||||||||||||||||||||||||||
(54) КРЕМНИЙСОДЕРЖАЩИЕ ПРОИЗВОДНЫЕ АСКОРБИНОВОЙ КИСЛОТЫ
(57) Реферат: Описывается соединение, представляющее собой кремнийсодержащее производное аскорбиновой кислоты, характеризующееся тем, что образовано силиконовой цепью или представляет собой силан, включающий по меньшей мере один радикал А следующей формулы: ![]() в которой по меньшей мере один из радикалов L обозначает двухвалентный радикал, позволяющий присоединять А к кремнийсодержащей цепи. Техническим результатом является применение их в качестве антиоксиданта и/или препятствующего образованию свободных радикалов компонента в особенности для лечения стресса-оксиданта, лечения последствий воздействия солнечных лучей и для предохранения от старения. 4 с. и 17 з.п ф-лы. Текст описания в факсимильном виде (см. графический материал)$ Формула изобретения 1. Соединение, представляющее собой кремнийсодержащее производное аскорбиновой кислоты, характеризующееся тем, что оно либо образовано силиконовой цепью, включающей по меньшей мере одну структурную единицу формулы (1)
либо представляет собой силан, отвечающий следующей формуле (2):
в которых R означает линейный, циклический или разветвленный, насыщенный или ненасыщенный, возможно частично или полностью галогенированный углеводородный радикал с 1-30 атомами углерода или триметилсилилоксигруппу формулы – О-Si(CH3)3;
а означает 1 или 2;
R’1R’2R’3, одинаковые или разные, выбирают из линейных или разветвленных (С1-С8)-алкильных радикалов, линейных или разветвленных (С1-С8)-алкенильных радикалов или триметилсилилоксигруппы;
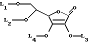
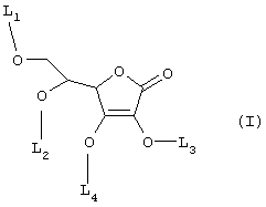
А означает радикал следующей формулы (I):
в которой L1, L2, L3 и L4 означают атом водорода или двухвалентный радикал формулы (а) или (а’), позволяющий присоединять радикал А к кремнийсодержащей цепи, при условии, что по меньшей мере один из радикалов L1, L2, L3 и L4 означает вышеуказанный двухвалентный радикал следующей формулы (а) или (а’):
в которых V – означает линейный или разветвленный, насыщенный или ненасыщенный двухвалентный углеводородный радикал с 1-6 атомами углерода, возможно замещенный гидроксилом, или линейным, или разветвленным, насыщенным или ненасыщенным (С2-С8)- алкоксилом;
R1 означает атом водорода, гидроксил, или линейный, или разветвленный, насыщенный или ненасыщенный углеводородный радикал с 1-8 атомами углерода;
р означает 0 или 1;
q означает 0 или 1;
учитывая, что сумма (p+q) отлична от 0.
2. Соединение по п.1, в котором только один из радикалов L1, L2, L3 и L4 обозначает двухвалентный радикал формулы (а) или (а’).
3. Соединение по п.1, в котором силиконовая цепь включает по меньшей мере одну структурную единицу формулы (1а):
и/или по меньшей мере одну структурную единицу формулы (1b):
и, в случае необходимости, по меньшей мере еще одну другую структурную единицу, например, (ди) алкилсилоксанового типа формулы (1с)
4. Соединение по любому из пп.1-3, отличающееся одной из следующих формул (3) или (4):
в которых радикалы В, одинаковые или разные, выбирают из радикалов R и А;
r означает целое число, составляющее от 0 до 50 включительно, предпочтительно от 0 до 5;
s означает целое число, составляющее от 0 до 20 включительно, предпочтительно выбираемое из 0, 1 или 2,
при условии, что если s=0, тогда по меньшей мере один из двух радикалов В означает А;
u означает целое число, составляющее от 1 до 6 включительно, предпочтительно выбираемое из 1 или 2;
t означает целое число, составляющее от 0 до 9 включительно, предпочтительно выбираемое из 2, 3 или 4;
при этом сумма (t+u) составляет от 3 до 10 включительно, предпочтительно 3, 4, 5 или 6.
5. Соединение по любому из пп.1-4, в котором радикалы R, одинаковые или разные, выбирают из линейных, циклических или разветвленных, насыщенных или ненасыщенных углеводородных радикалов с 1-18 атомами углерода и линейных или разветвленных, насыщенных или ненасыщенных, частично галогенированных, в частности фторированных углеводородных радикалов с 1-8 атомами углерода, и более предпочтительно – из линейных или разветвленных (С1-С10)-алкильных радикалов, в частности метильного радикала; фенильного радикала; линейных или разветвленных фторированных (С1-С8)-алкильных радикалов, в частности 3,3,3-трифторпропильного радикала.
6. Соединение по любому из пп.1-5, в котором радикалы R’1, R’2, R’3, одинаковые или разные, выбирают из линейных или разветвленных (С1-С6)-алкильных радикалов, в частности метильного или этильного радикала, и триметилсилилоксигруппы.
7. Соединение по любому из пп.1-6, в котором двухвалентные радикалы, соответствующие формулам (а) или (а’), выбирают из линейных или разветвленных, насыщенных или ненасыщенных, возможно гидроксилированных двухвалентных углеводородных радикалов с 1-6 атомами углерода, таких, как метиленовый (-СН2-), этиленовый (-СН2-СН2-), пропиленовый (-СН2-СН2-СН2-), н-бутиленовый (-СН2-СН2-СН2-СН2-), изобутиленовый (-СН2-СН(СН3)-СН2-) радикалы; радикалы -СН=СН-СН2-, -СН=С(СН3)-СН2-, -СН=СН-СН(СН3)- и -СН2-СН(ОН)-СН2-.
8. Соединение по любому из пп.1-7, выбираемые из:
-5-(1,2-дигидроксиэтил)-3-гидрокси-4-(3-[1,3,3,3,-тетраметил-1-[(триметилсилил)окси] дисилоксанил]пропилокси)-5Н-фуран-2-она;
-5-(1,2-дигидроксиэтил)-4-гидрокси-3-(3-[1,3,3,3,-тетраметил-1-[(триметилсилил)окси] дисилоксанил]пропилокси)-5Н-фуран-2-она;
-5-(1,2-дигидроксиэтил)-3-гидрокси-4-[2-метил-3-[1,3,3,3,-тетраметил-1-[(триметилсилил)окси]дисилоксанил]пропилокси)-5Н-фуран-2-она;
-5-(1,2-дигидроксиэтил)-4-гидрокси-3-[2-метил-3-[1,3,3,3,-тетраметил-1-[(триметилсилил)окси]дисилоксанил]пропилокси)-5Н-фуран-2-она;
-5-(1,2-дигидроксиэтил)-4-[3-[3-[2-метил-3-[1,3,3,3,-тетраметил-1-[(триметилсилил)окси]дисилоксанил]пропилокси)-2-гидрокси]пропилокси]-3- гидрокси-5Н-фуран-2-она;
-5-(1,2-дигидроксиэтил)-3-[3-[3-[2-метил-3-[1,3,3,3,-тетраметил-1-[(триметилсилил)окси]дисилоксанил]пропилокси)-2-гидрокси]пропилокси]-4- гидрокси-5Н-фуран-2-она;
-5-(1,2-дигидроксилэтил)-3-гидрокси-4-триметилсиланилметокси-5Н-фуран-2-она;
-5-(1,2-дигидроксиэтил)-4-гидрокси-3-(3-триметилсиланил-метокси)-5Н-фуран-2-она;
-5-(1,2-дигидроксиэтил)-3-гидрокси-4-(3-триметилсиланил-пропокси)-5Н-фуран-2-она и
-5-(1,2-дигидроксиэтил)-4-гидрокси-3-(3-триметилсиланил-пропокси)-5Н-фуран-2-она.
9. Соединения по любому из пп.1-8 в качестве антиоксиданта и/или агента, препятствующего образованию свободных радикалов.
10. Соединения по пп.1-8 для использования в косметической или фармацевтической композиции.
11. Соединения по любому из пп.1-8 для использования в косметической композиции, предназначенной для лечения окислительного стресса и/или лечения последствий воздействия солнечных лучей и/или для предохранения от старения, в частности, кожи, волос, ресниц, бровей и/или ногтей.
12. Соединения по любому из пп.1-8 для получения фармацевтической композиции, предназначенной для лечения окислительного стресса и/или лечения последствий воздействия солнечного или ионизирующего излучения и/или для предохранения от старения, в частности, кожи, волос, ресниц, бровей и/или ногтей, и/или для лечения последствий от применения некоторых лекарственных средств – генераторов свободных радикалов.
13. Способ получения соединений формул (2) и (4), описанных в п.1, путем реакции гидросилирования соответствующего силоксанового или силанового производного, представленного одной из следующих формул (5-7):
в которых R означает линейный, циклический или разветвленный, насыщенный или ненасыщенный, возможно частично или полностью галогенированный углеводородный радикал с 1-30 атомами углерода или триметилсилилоксигруппу формулы -О-Si(CH3)3;
R’1, R’2, R’3, одинаковые или разные, выбирают из линейных или разветвленных (С1-С8)-алкильных радикалов, линейных или разветвленных (С1-С8)-алкенильных радикалов или триметилсилилоксигруппы;
r означает целое число, составляющее от 0 до 50 включительно, предпочтительно от 0 до 5;
s означает целое число, составляющее от 0 до 20 включительно, предпочтительно выбираемое из 0,1 или 2;
u означает целое число, составляющее от 1 до 6 включительно, предпочтительно выбираемое из 1 или 2;
t означает целое число, составляющее от 0 до 9 включительно, предпочтительно выбираемое из 2,3 или 4;
при этом сумма (t+u) составляет от 3 до 10 включительно, предпочтительно 3,4,5 или 6,
B’, одинаковые или разные, выбирают из радикалов R и атома водорода,
при условии, что если s=0, тогда по меньшей мере один из радикалов B’ означает атом водорода;
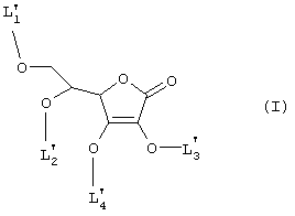
с органическим производным аскорбиновой кислоты, выбираемым среди соединений следующей формулы (I’):
в которой L’1, L’2, L’3 и L’4 означают бензилоксигруппы или отвечают одной из двух следующих формул (b) и (b’):
в которых V означает линейный или разветвленный, насыщенный или ненасыщенный двухвалентный углеводородный радикал с 1-6 атомами углерода, возможно замещенный гидроксилом, или линейным, или разветвленным, насыщенным или ненасыщенным (С2-С8)-алкоксилом;
R1 означает атом водорода, гидроксил, или линейный, или разветвленный, насыщенный или ненасыщенный углеводородный радикал с 1-8 атомами углерода;
р означает 0 или 1;
причем радикалы L’1 и L’2, кроме того, вместе с остатком аскорбиновой кислоты могут образовывать диоксиметиленовый цикл, замещенный по меньшей мере одной (С1-С6)-алкильной группой, или фенильной группой, или двумя алкильными или фенильнми группами;
при условии, что по меньшей мере один из радикалов L’1, L’2, L’3 и L’4 означает радикал (b) или (b’);
с последующим удалением защитной группы из полученного соединения, например, путем кислотного гидролиза изопропилиденов и/или дибензилирования путем каталитического гидрирования.
14. Способ по п.13, в котором диоксиметиленовый цикл замещен по меньшей мере одной метильной, этильной или фенильной группой.
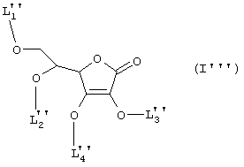
15. Способ получения силановых производных формулы (2) путем введения во взаимодействие производного формулы (1”’)
в которой L”1, L”2, L”3 и L”4 означают бензилоксигруппы, атом водорода; причем радикалы L”1 и L”2, кроме того, вместе с остатком аскорбиновой кислоты могут образовывать диоксиметиленовый цикл, замещенный по меньшей мере одной (С1-С6)-алкильной группой, или фенильной группой, или двумя алкильными или фенильными группами, при условии, что по меньшей мере один из радикалов L’1, L’2, L’3 и L’4 означает атом водорода,
с силановым производным следующей формулы (8)
в которой Hal означает атом галогена;
V означает линейный или разветвленный, насыщенный или ненасыщенный двухвалентный углеводородный радикал с 1-6 атомами углерода, возможно замещенный гидроксилом, или линейным, или разветвленным, насыщенным или ненасыщенным (С2-С8)-алкоксилом;
R1 означает атом водорода, гидроксил, или линейный, или разветвленный, насыщенный или ненасыщенный углеводородный радикал с 1-8 атомами углерода;
R’1, R’2, R’3, одинаковые или разные, выбирают из линейных или разветвленных (С1-С8)-алкильных радикалов, линейных или разветвленных (С1-С8)-алкенильных радикалов или триметилсилилоксигруппы;
р означает 0 или 1;
q означает 0 или 1;
учитывая, что сумма (p+q) отлична от 0.
16. Способ по п.15, в котором диоксиметиленовый цикл замещен по меньшей мере одной метильной, этильной или фенильной группой.
17. Способ по п.15, в котором Hal означает атом хлора или иода.
18. Косметическая или фармацевтическая композиция, включающая косметически или фармацевтически приемлемую среду и, по меньшей мере, одно соединение по любому из пп.1-8 в количестве от 0,1 до 10% от общей массы композиции.
19. Композиция по п.18, в которой соединение по любому из пп.1-8 содержится в количестве от 0,5 до 5% от общей массы композиции.
20. Композиция по п.18 или 19, находящаяся в форме композиции для нанесения на кожу тела и/или лица, и/или на волосы, ресницы, брови и/или ногти.
21. Композиция по п.18 или 19, находящаяся в виде защитной композиции для эпидермиса человека или волос против ультрафиолетового излучения (противосолнечные композиции); в виде косметической композиции для защиты или лечения или ухода за волосами, в частности, в форме шампуня, лосьона, геля или ополаскивателя, для нанесения до или после использования шампуня, до или после окраски или обесцвечивания волос, до, во время или после перманентной завивки или распрямления волос; в виде лосьона или геля, предназначенного для укладки волос или ухода за полосами; в виде лосьона или геля для расчесывания или укладки волос; в виде лака для волос, состава для перманентной завивки или распрямления волос, состава для окраски или обесцвечивания волос; в виде композиции для ухода за кожей тела и/или лица, такой, как крем для обработки эпидермиса, дневной крем, ночной крем, крем от морщин, увлажняющий крем, крем для рук или ног; в виде композиции для макияжа ресниц, бровей, волос, тела или лица, такой, как тональное средство, помада для губ, тени для век, румяна, косметический карандаш, называемый еще “подводка для век”, тушь для ресниц, окрашивающий гель, лак для ногтей.
РИСУНКИ
MM4A Досрочное прекращение действия патента Российской Федерации на изобретение из-за неуплаты в установленный срок пошлины за поддержание патента в силе
Дата прекращения действия патента: 30.09.2004
Извещение опубликовано: 20.04.2006 БИ: 11/2006
|
||||||||||||||||||||||||||


либо представляет собой силан, отвечающий следующей формуле (2):
в которых R означает линейный, циклический или разветвленный, насыщенный или ненасыщенный, возможно частично или полностью галогенированный углеводородный радикал с 1-30 атомами углерода или триметилсилилоксигруппу формулы – О-Si(CH3)3;
а означает 1 или 2;
R’1R’2R’3, одинаковые или разные, выбирают из линейных или разветвленных (С1-С8)-алкильных радикалов, линейных или разветвленных (С1-С8)-алкенильных радикалов или триметилсилилоксигруппы;
А означает радикал следующей формулы (I):
в которой L1, L2, L3 и L4 означают атом водорода или двухвалентный радикал формулы (а) или (а’), позволяющий присоединять радикал А к кремнийсодержащей цепи, при условии, что по меньшей мере один из радикалов L1, L2, L3 и L4 означает вышеуказанный двухвалентный радикал следующей формулы (а) или (а’):
в которых V – означает линейный или разветвленный, насыщенный или ненасыщенный двухвалентный углеводородный радикал с 1-6 атомами углерода, возможно замещенный гидроксилом, или линейным, или разветвленным, насыщенным или ненасыщенным (С2-С8)- алкоксилом;
R1 означает атом водорода, гидроксил, или линейный, или разветвленный, насыщенный или ненасыщенный углеводородный радикал с 1-8 атомами углерода;
р означает 0 или 1;
q означает 0 или 1;
учитывая, что сумма (p+q) отлична от 0.
2. Соединение по п.1, в котором только один из радикалов L1, L2, L3 и L4 обозначает двухвалентный радикал формулы (а) или (а’).
3. Соединение по п.1, в котором силиконовая цепь включает по меньшей мере одну структурную единицу формулы (1а):
и/или по меньшей мере одну структурную единицу формулы (1b):
и, в случае необходимости, по меньшей мере еще одну другую структурную единицу, например, (ди) алкилсилоксанового типа формулы (1с)
4. Соединение по любому из пп.1-3, отличающееся одной из следующих формул (3) или (4):
в которых радикалы В, одинаковые или разные, выбирают из радикалов R и А;
r означает целое число, составляющее от 0 до 50 включительно, предпочтительно от 0 до 5;
s означает целое число, составляющее от 0 до 20 включительно, предпочтительно выбираемое из 0, 1 или 2,
при условии, что если s=0, тогда по меньшей мере один из двух радикалов В означает А;
u означает целое число, составляющее от 1 до 6 включительно, предпочтительно выбираемое из 1 или 2;
t означает целое число, составляющее от 0 до 9 включительно, предпочтительно выбираемое из 2, 3 или 4;
при этом сумма (t+u) составляет от 3 до 10 включительно, предпочтительно 3, 4, 5 или 6.
5. Соединение по любому из пп.1-4, в котором радикалы R, одинаковые или разные, выбирают из линейных, циклических или разветвленных, насыщенных или ненасыщенных углеводородных радикалов с 1-18 атомами углерода и линейных или разветвленных, насыщенных или ненасыщенных, частично галогенированных, в частности фторированных углеводородных радикалов с 1-8 атомами углерода, и более предпочтительно – из линейных или разветвленных (С1-С10)-алкильных радикалов, в частности метильного радикала; фенильного радикала; линейных или разветвленных фторированных (С1-С8)-алкильных радикалов, в частности 3,3,3-трифторпропильного радикала.
6. Соединение по любому из пп.1-5, в котором радикалы R’1, R’2, R’3, одинаковые или разные, выбирают из линейных или разветвленных (С1-С6)-алкильных радикалов, в частности метильного или этильного радикала, и триметилсилилоксигруппы.
7. Соединение по любому из пп.1-6, в котором двухвалентные радикалы, соответствующие формулам (а) или (а’), выбирают из линейных или разветвленных, насыщенных или ненасыщенных, возможно гидроксилированных двухвалентных углеводородных радикалов с 1-6 атомами углерода, таких, как метиленовый (-СН2-), этиленовый (-СН2-СН2-), пропиленовый (-СН2-СН2-СН2-), н-бутиленовый (-СН2-СН2-СН2-СН2-), изобутиленовый (-СН2-СН(СН3)-СН2-) радикалы; радикалы -СН=СН-СН2-, -СН=С(СН3)-СН2-, -СН=СН-СН(СН3)- и -СН2-СН(ОН)-СН2-.
8. Соединение по любому из пп.1-7, выбираемые из:
-5-(1,2-дигидроксиэтил)-3-гидрокси-4-(3-[1,3,3,3,-тетраметил-1-[(триметилсилил)окси] дисилоксанил]пропилокси)-5Н-фуран-2-она;
-5-(1,2-дигидроксиэтил)-4-гидрокси-3-(3-[1,3,3,3,-тетраметил-1-[(триметилсилил)окси] дисилоксанил]пропилокси)-5Н-фуран-2-она;
-5-(1,2-дигидроксиэтил)-3-гидрокси-4-[2-метил-3-[1,3,3,3,-тетраметил-1-[(триметилсилил)окси]дисилоксанил]пропилокси)-5Н-фуран-2-она;
-5-(1,2-дигидроксиэтил)-4-гидрокси-3-[2-метил-3-[1,3,3,3,-тетраметил-1-[(триметилсилил)окси]дисилоксанил]пропилокси)-5Н-фуран-2-она;
-5-(1,2-дигидроксиэтил)-4-[3-[3-[2-метил-3-[1,3,3,3,-тетраметил-1-[(триметилсилил)окси]дисилоксанил]пропилокси)-2-гидрокси]пропилокси]-3- гидрокси-5Н-фуран-2-она;
-5-(1,2-дигидроксиэтил)-3-[3-[3-[2-метил-3-[1,3,3,3,-тетраметил-1-[(триметилсилил)окси]дисилоксанил]пропилокси)-2-гидрокси]пропилокси]-4- гидрокси-5Н-фуран-2-она;
-5-(1,2-дигидроксилэтил)-3-гидрокси-4-триметилсиланилметокси-5Н-фуран-2-она;
-5-(1,2-дигидроксиэтил)-4-гидрокси-3-(3-триметилсиланил-метокси)-5Н-фуран-2-она;
-5-(1,2-дигидроксиэтил)-3-гидрокси-4-(3-триметилсиланил-пропокси)-5Н-фуран-2-она и
-5-(1,2-дигидроксиэтил)-4-гидрокси-3-(3-триметилсиланил-пропокси)-5Н-фуран-2-она.
9. Соединения по любому из пп.1-8 в качестве антиоксиданта и/или агента, препятствующего образованию свободных радикалов.
10. Соединения по пп.1-8 для использования в косметической или фармацевтической композиции.
11. Соединения по любому из пп.1-8 для использования в косметической композиции, предназначенной для лечения окислительного стресса и/или лечения последствий воздействия солнечных лучей и/или для предохранения от старения, в частности, кожи, волос, ресниц, бровей и/или ногтей.
12. Соединения по любому из пп.1-8 для получения фармацевтической композиции, предназначенной для лечения окислительного стресса и/или лечения последствий воздействия солнечного или ионизирующего излучения и/или для предохранения от старения, в частности, кожи, волос, ресниц, бровей и/или ногтей, и/или для лечения последствий от применения некоторых лекарственных средств – генераторов свободных радикалов.
13. Способ получения соединений формул (2) и (4), описанных в п.1, путем реакции гидросилирования соответствующего силоксанового или силанового производного, представленного одной из следующих формул (5-7):
в которых R означает линейный, циклический или разветвленный, насыщенный или ненасыщенный, возможно частично или полностью галогенированный углеводородный радикал с 1-30 атомами углерода или триметилсилилоксигруппу формулы -О-Si(CH3)3;
R’1, R’2, R’3, одинаковые или разные, выбирают из линейных или разветвленных (С1-С8)-алкильных радикалов, линейных или разветвленных (С1-С8)-алкенильных радикалов или триметилсилилоксигруппы;
r означает целое число, составляющее от 0 до 50 включительно, предпочтительно от 0 до 5;
s означает целое число, составляющее от 0 до 20 включительно, предпочтительно выбираемое из 0,1 или 2;
u означает целое число, составляющее от 1 до 6 включительно, предпочтительно выбираемое из 1 или 2;
t означает целое число, составляющее от 0 до 9 включительно, предпочтительно выбираемое из 2,3 или 4;
при этом сумма (t+u) составляет от 3 до 10 включительно, предпочтительно 3,4,5 или 6,
B’, одинаковые или разные, выбирают из радикалов R и атома водорода,
при условии, что если s=0, тогда по меньшей мере один из радикалов B’ означает атом водорода;
с органическим производным аскорбиновой кислоты, выбираемым среди соединений следующей формулы (I’):
в которой L’1, L’2, L’3 и L’4 означают бензилоксигруппы или отвечают одной из двух следующих формул (b) и (b’):
в которых V означает линейный или разветвленный, насыщенный или ненасыщенный двухвалентный углеводородный радикал с 1-6 атомами углерода, возможно замещенный гидроксилом, или линейным, или разветвленным, насыщенным или ненасыщенным (С2-С8)-алкоксилом;
R1 означает атом водорода, гидроксил, или линейный, или разветвленный, насыщенный или ненасыщенный углеводородный радикал с 1-8 атомами углерода;
р означает 0 или 1;
причем радикалы L’1 и L’2, кроме того, вместе с остатком аскорбиновой кислоты могут образовывать диоксиметиленовый цикл, замещенный по меньшей мере одной (С1-С6)-алкильной группой, или фенильной группой, или двумя алкильными или фенильнми группами;
при условии, что по меньшей мере один из радикалов L’1, L’2, L’3 и L’4 означает радикал (b) или (b’);
с последующим удалением защитной группы из полученного соединения, например, путем кислотного гидролиза изопропилиденов и/или дибензилирования путем каталитического гидрирования.
14. Способ по п.13, в котором диоксиметиленовый цикл замещен по меньшей мере одной метильной, этильной или фенильной группой.
15. Способ получения силановых производных формулы (2) путем введения во взаимодействие производного формулы (1”’)
в которой L”1, L”2, L”3 и L”4 означают бензилоксигруппы, атом водорода; причем радикалы L”1 и L”2, кроме того, вместе с остатком аскорбиновой кислоты могут образовывать диоксиметиленовый цикл, замещенный по меньшей мере одной (С1-С6)-алкильной группой, или фенильной группой, или двумя алкильными или фенильными группами, при условии, что по меньшей мере один из радикалов L’1, L’2, L’3 и L’4 означает атом водорода,
с силановым производным следующей формулы (8)
в которой Hal означает атом галогена;
V означает линейный или разветвленный, насыщенный или ненасыщенный двухвалентный углеводородный радикал с 1-6 атомами углерода, возможно замещенный гидроксилом, или линейным, или разветвленным, насыщенным или ненасыщенным (С2-С8)-алкоксилом;
R1 означает атом водорода, гидроксил, или линейный, или разветвленный, насыщенный или ненасыщенный углеводородный радикал с 1-8 атомами углерода;
R’1, R’2, R’3, одинаковые или разные, выбирают из линейных или разветвленных (С1-С8)-алкильных радикалов, линейных или разветвленных (С1-С8)-алкенильных радикалов или триметилсилилоксигруппы;
р означает 0 или 1;
q означает 0 или 1;
учитывая, что сумма (p+q) отлична от 0.
16. Способ по п.15, в котором диоксиметиленовый цикл замещен по меньшей мере одной метильной, этильной или фенильной группой.
17. Способ по п.15, в котором Hal означает атом хлора или иода.
18. Косметическая или фармацевтическая композиция, включающая косметически или фармацевтически приемлемую среду и, по меньшей мере, одно соединение по любому из пп.1-8 в количестве от 0,1 до 10% от общей массы композиции.
19. Композиция по п.18, в которой соединение по любому из пп.1-8 содержится в количестве от 0,5 до 5% от общей массы композиции.
20. Композиция по п.18 или 19, находящаяся в форме композиции для нанесения на кожу тела и/или лица, и/или на волосы, ресницы, брови и/или ногти.
21. Композиция по п.18 или 19, находящаяся в виде защитной композиции для эпидермиса человека или волос против ультрафиолетового излучения (противосолнечные композиции); в виде косметической композиции для защиты или лечения или ухода за волосами, в частности, в форме шампуня, лосьона, геля или ополаскивателя, для нанесения до или после использования шампуня, до или после окраски или обесцвечивания волос, до, во время или после перманентной завивки или распрямления волос; в виде лосьона или геля, предназначенного для укладки волос или ухода за полосами; в виде лосьона или геля для расчесывания или укладки волос; в виде лака для волос, состава для перманентной завивки или распрямления волос, состава для окраски или обесцвечивания волос; в виде композиции для ухода за кожей тела и/или лица, такой, как крем для обработки эпидермиса, дневной крем, ночной крем, крем от морщин, увлажняющий крем, крем для рук или ног; в виде композиции для макияжа ресниц, бровей, волос, тела или лица, такой, как тональное средство, помада для губ, тени для век, румяна, косметический карандаш, называемый еще “подводка для век”, тушь для ресниц, окрашивающий гель, лак для ногтей.