Патент на изобретение №2221799
|
||||||||||||||||||||||||||
(54) АНТАГОНИСТЫ КОРТИКОТРОПИН-РИЛИЗИНГ ФАКТОРА
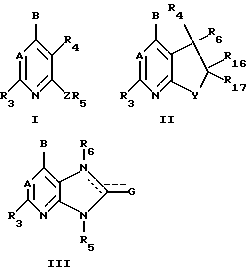
(57) Реферат: Изобретение относится к новым соединениям общих формул I, II, III ![]() или их фармацевтически приемлемым солям, в которых пунктирными линиями обозначены необязательные двойные связи; A – -CR7 или N; В – -NR1R2, -CR1R2R11, -C(= CR2R12)R1, -NHCHR1R2, -ОСHR1R2, -SCHR1R2, -CHR2OR12, -CHR2SR12, -C(S)R2 или -C(O)R2, N-этил-2,2,2-трифторацетамид; G – кислород, сера, NH, NH3, водород, метокси, этокси, трифторметокси, метил, этил, тиометокси, NH2, NHCH3, N(СН3)2 или трифторметил; Y-N; Z – NH, О, S, -N(C1-C2 алкил) или -C(R13R14), где R13 и R14 независимо друг от друга представляют собой водород, трифторметил или метил, либо один из элементов R13 и R14 является цианогруппой, а другой – водородом или метилом; R1 – C1-С6 алкил, который может быть необязательно замещен одним или двумя заместителями R8, независимо друг от друга выбираемыми из группы, включающей гидрокси, фтор, хлор, бром, йод, CF3, C1-C4 алкокси, -O-CO-(C1-C4 алкил), где (C1-C4) алкильные части вышеуказанных групп R1 могут необязательно иметь одну углерод-углеродную двойную или тройную связь; R2 – C1-C12 алкил, арил или -(C1-C4 алкилен)арил, где арилом является фенил, нафтил; R3 – метил, этил, фтор, хлор, бром, йод, циано, метокси, OCF3, метилтио, метилсульфонил, СН2ОН или CH2OCH3; R4 – водород, C1-C4 алкил, фтор, хлор, бром, йод, С1-С4 алкокси, трифторметокси, -СН2OCH3, -СН2OCH2СН3, -СН2СН2OCH3, -CF3, амино, нитро, -NH(C1-C4 алкил), -N(СН3)2, -NHCOCH3, -NHCONHCH3, гидрокси, -CO(C1-С4 алкил), -СНО, СООН, циано или -COO(C1-C4 алкил), где C1-C4 алкил может быть замещен одним заместителем, выбираемым из группы, включающей гидрокси, амино, -NHCOCH3, -NH(C1-C2 алкил), -N(C1-C2 алкил)2, фтор, хлор, циано, нитро; R5 – фенил, нафтил, пиридил, пиримидил, где каждая из вышеуказанных групп R5 замещена одним-тремя заместителями, которые независимо друг от друга выбирают из фтора, хлора, C1-С6 алкила или C1-С6 алкоксила, или одним заместителем, выбираемым из группы, включающей гидрокси, йод, бром, формил, циано, нитро, трифторметил, амино, -(C1-С6 алкил)O(С1-С6) алкил, и где C1-C4 алкильная и C1-C4 алкильная части вышеуказанных групп R5 могут быть необязательно замещены одной гидроксигруппой; R6 – водород или C1-С6 алкил; R7 – водород, метил; R11 – водород, гидрокси, фтор или метокси; R12 – водород или C1-C4 алкил и R16 и R17 независимо друг от друга представляют собой водород, гидрокси, метил, этил, метокси или этокси, за исключением того, что оба элемента R16 и R17 не могут одновременно быть метокси или этокси; либо R16 и R17 вместе образуют оксо (=O) группу; при условии, что если G является атомом кислорода, серы, NH или NCH3, то он присоединяется двойной связью к пятичленному кольцу формулы III, и далее при условии, что R6 отсутствует, если атом азота, с которым он связан, присоединяется двойной связью к смежному атому углерода в кольце. Соединения являются антагонистами кортикотропин-рилизинг фактора, что позволяет использовать их в фармацевтической композиции. Описаны способы получения этих соединений. 9 с. и 17 з.п.ф-лы. Текст описания в факсимильном виде (см. графическую часть)а Формула изобретения 1. Соединения I, II или III
или их фармацевтически приемлемая соль,
в которой пунктирными линиями обозначены необязательные двойные связи;
A – -CR7 или N;
В – -NR1R2, -CR1R2R11, -C(=CR2R12)R1, -NHCHR1R2, -OCHR1R2, -SCHR1R2, -CHR2OR12, -CHR2SR12, -C(S)R2 или -C(O)R2, N-этил-2,2,2-трифторацетамид;
G – кислород, сера, NH, NН3, водород, метокси, этокси, трифторметокси, метил, этил, тиометокси, NH2, NНСН3, N(СН3)2 или трифторметил;
Y – N;
Z – NH, О, S, -N(C1-C2 алкил) или -C(R13R14), где R13 и R14 независимо друг от друга представляют собой водород, трифторметил или метил либо один из элементов R13 и R14 является цианогруппой, а другой – водородом или метилом;
R1 – C1-С6 алкил, который может быть необязательно замещен одним или двумя заместителями R8, независимо друг от друга выбираемыми из группы, включающей гидрокси, фтор, хлор, бром, йод, СF3, C1-C4 алкокси, -O-CO-(C1-C4 алкил), где (C1-C4) алкильные части вышеуказанных групп R1 могут необязательно иметь одну углерод-углеродную двойную или тройную связь;
R2 – C1-C12 алкил, арил или -(C1-C4 алкилен)арил, где арилом является фенил, нафтил;
R3 – метил, этил, фтор, хлор, бром, йод, циано, метокси, ОСF3, метилтио, метилсульфонил, CH2OH или СН2ОСН3;
R4 – водород, C1-C4 алкил, фтор, хлор, бром, йод, C1-C4 алкокси, трифторметокси, -СН2ОСН3, -СН2OСН2СН3, -СН2СН2OСН3, -СF3, амино, нитро, -NH(C1-C4 алкил), -N(СН3)2, -NHCOCH3, -NHCONHCH3, гидрокси, -CO(C1-C4 алкил), -СНО, СООН, циано или -COO(C1-C4 алкил), где C1-C4 алкил может быть замещен одним заместителем, выбираемым из группы, включающей гидрокси, амино, -NНСОСН3, -NH(C1-C2 алкил), -N(C1-C2 алкил)2, фтор, хлор, циано, нитро;
R5 – фенил, нафтил, пиридил, пиримидил, где каждая из вышеуказанных групп R5 замещена одним – тремя заместителями, которые независимо друг от друга выбирают из фтора, хлора, C1-С6-алкила или C1-С6-алкоксила, или одним заместителем, выбираемым из группы, включающей гидрокси, йод, бром, формил, циано, нитро, трифторметил, амино, -(C1-С6 алкил)O(С1-С6) алкил, и где C1-C4 алкильная и C1-C4 алкильная части вышеуказанных групп R5 могут быть необязательно замещены одной гидроксигруппой;
R6 – водород или C1-С6 алкил;
R7 – водород, метил;
R11 – водород, гидрокси, фтор или метокси;
R12 – водород или C1-C4 алкил;
R16 и R17 независимо друг от друга представляют собой водород, гидрокси, метил, этил, метокси или этокси, за исключением того, что оба элемента R16 и R17 не могут одновременно быть метокси или этокси, либо R16 и R17 вместе образуют оксо (=O) группу;
при условии, что, если G является атомом кислорода, серы, NH или NCH3, то он присоединяется двойной связью к пятичленному кольцу формулы III, и далее при условии, что R6 отсутствует, если атом азота, с которым он связан, присоединяется двойной связью к смежному атому углерода в кольце.
2. Соединение по п.1, где В – -NR1R2, -NHCHR1R2, -SCHR1R2 или -OCHR1R2; R1 – C1-С6 алкил, который может быть необязательно замещен одним заместителем, выбираемым из гидроксила, фтора, СF3 или C1-C2 алкоксильной группы, и R2 – бензил или C1-С6 алкил.
3. Соединение по п.1, где R1 – C1-С6 алкил, который может быть замещен фтором, СF3, гидрокси или С1-С2 алкоксилом и может иметь одну углерод-углеродную двойную или тройную связь.
4. Соединение по п.1, где R2 – C1-C4 алкил.
5. Соединение по п.1, где R3 – метил, хлор или метокси.
6. Соединение по п.1, где R4 – метил, -СН2ОН, циано, трифторметокси, метокси, хлор, трифторметил, -СООСН3, -СН2OСН3-СН2Сl, -CH2F, этил, амино или нитро.
7. Соединение по п.1, где R5 – фенил, замещенный двумя или тремя заместителями.
8. Соединение по п.1, где R6 – водород, метил или этил.
9. Соединение по п.1, где R5 – пиридил, замещенный двумя или тремя заместителями.
10. Соединение по п.7, где указанные заместители выбирают независимо друг от друга из группы, включающей фтор, хлор, 1-C4 алкокси, трифторметил, C1-С6 алкил, который может быть необязательно замещен одной гидроксильной группой.
11. Соединение по п.9, где указанные заместители выбирают независимо друг от друга из группы, включающей фтор, хлор, 1-C4 алкокси, трифторметил, C1-С6 алкил, который может быть необязательно замещен одной гидроксильной группой.
12. Соединение по п.1, которым является 2-(4-бром-2,6-диметилфенокси)-4-(1-этилпропокси)-3,6-диметилпиридин;
2-(4-этил-2,6-диметилфенокси)-4-(1-этилпропокси)-3,6-диметилпиридин;
3-этил-4-(1-этилпропокси)-6-метил-2-(2,4,6-триметилфенокси)пиридин;
2-(2,6-диметил-4-пропилфенокси)-4-(1-этилпропокси)-3,6-диметилпиридин;
4-(1-этилпропокси)-2-(4-метокси-2,6-диметилфенокси)-3,6-диметилпиридин;
2-(4-этокси-2,6-диметилфенокси)-4-(1-этилпропокси)-3,6-диметилпиридин;
2-(4-хлор-2,6-диметилфенокси)-4-(1-этилпропокси)-3,6-диметилпиридин;
4-(1-метоксиметилпропокси)-3,6-диметил-2-(2,4,6-триметилфенокси)пиридин;
[3,6-диметил-2-(2,4,6-триметилфенокси)пиридин-4-ил]диэтиламин;
[3,6-диметил-2-(2,4,6-триметилфенокси)пиридин-4-ил]этилпропиламин;
бутил-[3,6-диметил-2-(2,4,6-триметилфенокси)пиридин-4-ил]этиламин;
бутил-[2-(4-хлор-2,6-диметилфенокси)-3,6-диметилпиридин-4-ил]этиламин;
сложный метиловый эфир 4-(1-этилпропиламино)-6-метил-2-(2,4,6-триметилфенокси)никотиновой кислоты;
4-(1-этилпропиламино)-6-метил-2-(2,4,6-триметилфенокси)пиридин-3-ил]метанол;
[2-(4-хлор-2,6-диметилфенокси)-3,6-диметилпиридин-4-ил]этил-пропиламин;
1-(этилпропил)-[6-метил-3-нитро-2-(2,4,6-триметилфенокси)пиридин-4-ил]амин;
N4-(1-этилпропил)-6-метил-3-нитро-N2-(2,4,6-триметилфенил)пиридин-2,4-диамин;
N4-(1-этилпропил)-6-метил-2-(2,4,6-триметилфенокси)пиридин-3,4-диамин;
3,6-диметил-2-(2,4,6-триметилфенокси)пиридин-4-ил]-этил-(2,2,2-трифторэтил)амин;
N4-(1-этилпропил)-6-метил-N2-(2,4,6-триметилфенил)пиридин-2,3,4-триамин;
[3-хлорметил-6-метил-2-(2,4,6-триметилфенокси)пиридин-4-ил]-(1-этилпропил)амин;
[3,6-диметил-2-(2,4,6-триметилфенокси)пиридин-4-ил]-1-(1-этилпропил)амин;
(1-этилпропил)-[2-метил-5-нитро-6-(2,4,6-триметилпиридин-3-илокси)пиримидин-4-ил]амин;
(1-этилпропил)-[3-метоксиметил-6-метил-2-(2,4,6-триметилфенокси)пиридин-4-ил]амин;
[2-(4-хлор-2,6-диметилфенокси)-3,6-диметилпиридин-4-ил]диэтиламин;
4-(1-этилпропокси)-3,6-диметил-2-(2,4,6-триметилфенокси)пиридин;
N-бутил-[2,5-диметил-7-(2,4,6-триметилфенил)-6,7-дигидро-5Н-пирроло-[2,3-d]пиримидин-4-ил]этиламин;
4-(бутилэтиламино)-2,5-диметил-7-(2,4,6-триметилфенил)-5,7-дигидропирроло[2,3-d]3пиримидин-6-он;
(1-этилпропил)-[5-метил-3-(2,4,6-триметилфенил)-3Н-имидазо[4,5-b]пиридин-7-ил]амин;
[2,5-диметил-3-(2,4,6-триметилфенил)-3Н-имидазо[4,5-b]пири-дин-7-ил]-(1-этилпропил)амин;
N4-(1-этилпpoпил)-6,N3-димeтил-2-(2,4,6-тpимeтилфeнoкcи)пиpидин-3,4-диaмин;
N4-(1-этилпpoпил)-6,N3,N3-тpимeтил-2-[2,4,6-тpимeтилфeнoкcи)пиpидин-3,4-диaмин;
6-(1-этилпропокси)-2-метил-N4-(2,4,6-триметилфенил)пиримидин-4,5-диамин;
[4-(1-этилпропокси)-3,6-диметилпиридин-2-ил]-(2,4,6-триметил-фенил)амин;
6-(этилпропиламино)-2,7-диметил-9-(2,4,6-триметилфенил)-7,9-дигидропурин-8-он;
или фармацевтически приемлемая соль одного из вышеуказанных соединений.
13. Фармацевтическая композиция, обладающая антагонистической активностью в отношении кортикотропин-рилизинг фактора, отличающаяся тем, что включает соединение по п.1 в эффективном для этого количестве и фармацевтически приемлемый носитель.
14. Способ антагонистического воздействия на кортикотропин-рилизинг фактор, отличающийся тем, что используют соединение по п.1 в эффективной для этого концентрации.
15. Соединение формулы X, XI или IV
в котором R7 – водород, метил;
D – хлор, гидрокси или циано;
R19 – метил или этил;
R5 – фенил или пиридил, замещенный двумя или тремя заместителями, которые независимо друг от друга выбирают из 1-C4 алкила, хлора и брома, за исключением того, что лишь один такой заместитель может быть бромом;
R4 – водород, C1-C4 алкил, фтор, хлор, бром, йод, C1-C4 алкокси, трифторметокси, -СН2ОСН3, -СН2OСН2СН3, -СН2СН2OСН3, амино, нитро, -NH(C1-C4 алкил), -N(CH3)2, -NHCOCH3, -NHCONHCH3, гидрокси, -CO(C1-C4 алкил), -СНО, циано или -COO(C1-C4 алкил), где C1-C4 алкил может быть замещен одним заместителем, выбираемым из группы, включающей гидрокси, амино, -NHCOCH3, -NH(C1-C2 алкил), -N(C1-C2 алкил)2, -COO(C1-C4 алкил), -CO(C1-C4 алкил), C1-С3 алкокси, C1-С3 тиоалкил, фтор, хлор, циано и нитро;
А – N, СН или ССН3;
Z – О, NH, N(СН3)3, S или СН2 при условии, что, если А является СН или ССН3, то Z должен быть О или S.
16. Соединение по п.15 формулы XI, в которой R7 – водород или метил, a R4 – водород, C1-C4 алкил, хлор или циано.
17. Соединение формулы
в которой R19 – метил или этил;
R1 – водород, C1-C4 алкил, фтор, хлор, бром, йод, C1-C4 алкокси, трифторметокси, -СН2OСН3, -СН3OСН2СН3, -СН2С2OСН3, -СН2СF3, амино, нитро, -NH(C1-C4 алкил), -N(СН3)2, -NHCOCH3, -NHCONHCH3, гидрокси, -CO(C1-C4 алкил), -СНО, СООН, циано или -СОО(С1-С4)алкил, где C1-C4 алкил может быть замещен одним заместителем, выбираемым из группы, включающей гидрокси, амино, -NH(C1-C2 алкил), -N(C1-C2 алкил)2, фтор, хлор, циано;
А – N СН или ССН3;
В” – -NR1R2, -CR1R2R11, -C(=CR2R12)R1, -NHCHR1R2, -OCHR1R2, -CHR2OR12,
при условии, что, если А представляет собой СН или ССН3, то В” означает -NR1R2, -NHR1R2 -OCHR1R2 или циано и R4 является электронодефицитной группой, такой, как NO2, -COO(C1-C4 алкил), -С(=O)СН3, -СООН или циано.
18. Соединение по п.17, где В” представляет собой -NR1R2 и А представляет собой -СН или ССН3.
19. Способ получения соединения формулы I:
или его фармацевтически приемлемой соли,
в которой A- -CR7 или N;
В – -NR1R2, -NHCHR1R2, -OCHR1R2, или -SCHR1R2;
Z – NH, O, S, -N(C1-C2 алкил) или -C(R13R14), где R13 и R14 независимо друг от друга могут представлять собой водород, трифторметил или метил либо один из элементов R13 и R14 является цианогруппой, а другой – водородом или метилом;
R1 – C1-С6 алкил, который может быть необязательно замещен одним или двумя заместителями R8, независимо друг от друга выбираемыми из группы, включающей гидрокси, фтор, хлор, бром, йод, СF3 и C1-C4 алкокси;
R3 – C1-C12 алкил, арил или -(C1-C4 алкилен)арил, где арилом является фенил, нафтил;
R3 – метил или этил;
R4 – водород, C1-C4 алкил, фтор, хлор, бром, йод, C1-C4 алкокси, трифторметокси, -СН2 ОСН3, -СН2OСН2СН3, -СН2СН2OСН3, -СН2СF3, СF3, амино, нитро, -NH(C1-C4 алкил), -N(СН3)2, -NHCOCH3, -NHCONHCH3, гидрокси, -CO(C1-C4 алкил), -СНО, циано или -COO(C1-C4 алкил), где C1-C4 алкил может быть замещен одним заместителем, выбираемым из группы, включающей гидрокси, амино, -NHCOCH3, -NH(C1-C2 алкил), -N(C1-C2 алкил)2, фтор, хлор, циано и нитро;
R5 – фенил или пиридил, замещенный одним – тремя заместителями, которые независимо друг от друга выбирают из фтора, хлора, C1-С6 алкила и C1-С6 алкоксила, или одним заместителем, выбираемым из группы, включающей гидрокси, йод, бром, формил, циано, нитро, трифторметил, амино, -(C1-С6 алкил)O(С1-С6)алкил, -NHCH3, -N(CH3)2, -COOH, -COO(C1-C4 алкил), -CO(C1-C4 алкил), где C1-C4 алкильная и C1-С6 алкильная части вышеуказанных групп R5 могут быть необязательно замещены одной гидроксигруппой;
R7 – водород или метил;
или фармацевтически приемлемой соли такого соединения, включающий взаимодействие в присутствии основания соединения формулы IV
в которой R19 – метил или этил;
D – хлор;
A, Z, R4 и R5 имеют указанные выше значения,
с соединениями формулы
ВН,
в которой В имеет указанные выше значения;
и последующее необязательное превращение соединения формулы I, полученного в результате осуществления такой реакции, в его фармацевтически приемлемую соль.
20. Способ получения соединения формулы I
или его фармацевтически приемлемой соли,
в которой
A – -CR7 или N;
В – -NR1R2, -CR1R2R11, -C(=CR2R12)R1, -NHCHR1R2, -OCHR1R2, -SCHR1R2, -CHR2OR12, -CHR2SR12, -C(S)R2 или -C(O)R2;
Z – NH, O, S, -N(C1-C2 алкил) или -C(R13R14), где R13 и R14 независимо друг от друга представляют собой водород, трифторметил или метил либо один из элементов R13 и R14 является цианогруппой, а другой – водородом или метилом;
R1 – C1-С6 алкил, который может быть необязательно замещен одним или двумя заместителями R8, независимо друг от друга выбираемыми из группы, включающей гидрокси, фтор, хлор, бром, йод, СF3, C1-C4 алкокси, где C1-С6 алкил и C1-C4 алкильная часть C1-C4 алкоксильной группы могут необязательно иметь одну углерод-углеродную двойную или тройную связь;
R2 – C1-C12 алкил, арил или -(C1-C4 алкилен)арил, где арилом является фенил, нафтил;
R3 – метил, этил;
R4 – водород, C1-C4 алкил, фтор, хлор, бром, йод, C1-C4 алкокси, трифторметокси, -СН2OСН3, -СН2OСН2СН3, -СН2СН2OСН3, СF3, амино, нитро, -NH(C1-C4 алкил), -N(CH3)2, -NНСОСН3, -NHCONHCH3, гидрокси, -CO(C1-C4 алкил), -СНО, циано или -COO(C1-C4 алкил), где C1-C4 алкил может быть замещен одним заместителем, выбираемым из группы, включающей гидрокси, амино, -NНСОСН3, -NH(C1-C2 алкил), -N(C1-C2 алкил)2, фтор, хлор, циано и нитро;
R5 – фенил или пиридил, замещенный одним – тремя заместителями, которые независимо друг от друга выбирают из фтора, хлора, C1-С6 алкила и C1-С6 алкоксила, или одним заместителем, выбираемым из группы, включающей гидрокси, йод, бром, формил, циано, нитро, трифторметил, амино, -(C1-С6 алкил)O(С1-С6)алкил и где C1-C4 алкильная и C1-С6 алкильная части вышеуказанных групп R5 могут быть необязательно замещены одной гидроксигруппой;
R7 – водород или метил;
при условии, что, если А представляет собой СН или ССН3, то R4 является электронодефицитной группой, такой, как NO2, -COO(C1-C4 алкил), -С(=O)СН3, -СООН или CN;
или его фармацевтически приемлемой соли такого соединения, включающий взаимодействие соединения формулы XII
в которой R19 – метил или этил;
А – N, СН или ССН3, причем, если А является N, то В” и R4 имеют значения, указанные выше для В и R4, а если А представляет собой СН или ССН3, то В” означает -NR1R2, -OCHR1R2 и R4 является электронодефицитной группой, такой, как NO2, -COO(C1-C4 алкил), -С(=O)СН3, -СООН или CN;
с соединением формулы
R5ZH,
в которой R5 и Z имеют указанные выше значения,
и последующее необязательное превращение соединения формулы I, получаемого в результате осуществления такой реакции, в его фармацевтически приемлемую соль.
21. Способ по п.20, где R4 является нитрогруппой как в соединении формулы I, так и в соединении формулы XII.
22. Способ получения соединения формулы IV
в которой R19 – метил или этил;
D – хлор;
A – -CR7 или N;
Z – NH, О, S, -N(C1-C2 алкил) или -C(R13R14), где R13 и R14 независимо друг от друга представляют собой водород, трифторметил или метил либо один из элементов R13 и R14 является цианогруппой, а другой – водородом или метилом;
R4 – водород, C1-C4 алкил, фтор, хлор, бром, йод, C1-C4 алкокси, трифторметокси, -СН2OСН3, -СН2OСН2СН3, -СН2СН2OСН3, -СН2СF3, СF3, амино, нитро, -NH(C1-C4 алкил), -N(CH3)2, -NНСОСН3, -NHCONHCH3, гидрокси, -CO(C1-C4 алкил), -СНО, циано или -COO(C1-C4 алкил), где C1-C4 алкил может быть замещен одним заместителем, выбираемым из группы, включающей гидрокси, амино, -NНСОСН3, -NH(C1-C2 алкил), -N(C1-C2 алкил)2, фтор, хлор, циано и нитро;
R5 – фенил или пиридил, замещенный одним – тремя заместителями, выбираемыми независимо друг от друга из фтора, хлора, C1-С6 алкила и C1-С6 алкоксила, или одним заместителем, выбираемым из группы, включающей гидрокси, йод, бром, формил, циано, нитро, трифторметил, амино, -(C1-С6 алкил)O(С1-С6)алкил, -NНСН3, -N(CH3)2, -СООН, -COO(C1-C4 алкил), -CO(C1-C4 алкил), где C1-C4 алкильная и C1-С6 алкильная части вышеуказанных групп R5 могут быть необязательно замещены одной гидроксигруппой;
включающий взаимодействие с треххлористым фосфором соединения формулы X
в которой R19, R4 и R5 имеют указанные выше значения;
R7 представляет собой водород, метил.
23. Способ получения соединения формулы X
в которой R19 – метил или этил;
Z – О, S или -C(R13R14), где R13 и R14 независимо друг от друга представляют собой водород, трифторметил или метил либо один из элементов R13 и R14 является цианогруппой, а другой – водородом или метилом;
R4 – водород, C1-C4 алкил, фтор, хлор, бром, йод, C1-C4 алкокси, трифторметокси, -СН2OСН3, -СН2ОСН2СН3, -СН2СН2OСН3, -СF3, амино, нитро, -NH(C1-C4 алкил), -N(СН3)2, -NHCOCH3, -NHCONHCH3, гидрокси, -CO(C1-C4 алкил), -СНО, циано или -COO(C1-C4алкил), где C1-C4 алкил может быть замещен одним заместителем, выбираемым из группы, включающей гидрокси, амино, -NНСОСН3, -NH(C1-C2 алкил), -N(C1-C2 алкил)2, фтор, хлор, циано и нитро;
R5 – фенил или пиридил, замещенный одним – тремя заместителями, которые независимо друг от друга выбирают из фтора, хлора, C1-С6 алкила и C1-С6 алкоксила, или одним заместителем, выбираемым из группы, включающей гидрокси, йод, бром, формил, циано, нитро, трифторметил, амино, -(C1-С6 алкил)О(С1-С6) алкил, -NHCH3, -N(СН3)2, -СООН, -COO(C1-C4 алкил), -СО(С1-С4 алкил), где C1-C4 алкильная и C1-С6 алкильная части вышеуказанных групп R5 могут быть необязательно замещены одной гидроксигруппой,
включающий взаимодействие в присутствии основания соединения формулы XI
в которой R4, R7 и R19 имеют указанные выше значения,
с соединением формулы R5OH или R5SH,
где R5 имеет указанные выше значения.
24. Соединение по п.1, которое представляет собой N-[3,6-диметил-2-(2,4,6-триметилфенокси)пиридин-4-ил]-N-этил-2,2,2-трифторацетамид.
25. Композиция по п.13, отличающаяся тем, что в качестве соединения по п.1 она включает N-[3,6-диметил-2-(2,4,6-триметилфенокси)пиридин-4-ил]-N-этил-2,2,2-трифторацетамид.
26. Способ по п.14, отличающийся тем, что в качестве соединения по п.1 используют N-[3,6-диметил-2-(2,4,6-триметилфенокси)пиридин-4-ил]-N-этил-2,2,2-трифторацетамид.
РИСУНКИ
TK4A – Поправки к публикациям сведений об изобретениях в бюллетенях “Изобретения (заявки и патенты)” и “Изобретения. Полезные модели”
Страница: 713
Напечатано: (57) 19. …R3 112
Следует читать: (57) 19. …R2 112
Номер и год публикации бюллетеня: 12-2004 Номер и год публикации бюллетеня: 42-2004
Извещение опубликовано: 27.04.2004
MM4A Досрочное прекращение действия патента Российской Федерации на изобретение из-за неуплаты в установленный срок пошлины за поддержание патента в силе
Дата прекращения действия патента: 07.06.2005
Извещение опубликовано: 20.10.2006 БИ: 29/2006
|
||||||||||||||||||||||||||


или их фармацевтически приемлемая соль,
в которой пунктирными линиями обозначены необязательные двойные связи;
A – -CR7 или N;
В – -NR1R2, -CR1R2R11, -C(=CR2R12)R1, -NHCHR1R2, -OCHR1R2, -SCHR1R2, -CHR2OR12, -CHR2SR12, -C(S)R2 или -C(O)R2, N-этил-2,2,2-трифторацетамид;
G – кислород, сера, NH, NН3, водород, метокси, этокси, трифторметокси, метил, этил, тиометокси, NH2, NНСН3, N(СН3)2 или трифторметил;
Y – N;
Z – NH, О, S, -N(C1-C2 алкил) или -C(R13R14), где R13 и R14 независимо друг от друга представляют собой водород, трифторметил или метил либо один из элементов R13 и R14 является цианогруппой, а другой – водородом или метилом;
R1 – C1-С6 алкил, который может быть необязательно замещен одним или двумя заместителями R8, независимо друг от друга выбираемыми из группы, включающей гидрокси, фтор, хлор, бром, йод, СF3, C1-C4 алкокси, -O-CO-(C1-C4 алкил), где (C1-C4) алкильные части вышеуказанных групп R1 могут необязательно иметь одну углерод-углеродную двойную или тройную связь;
R2 – C1-C12 алкил, арил или -(C1-C4 алкилен)арил, где арилом является фенил, нафтил;
R3 – метил, этил, фтор, хлор, бром, йод, циано, метокси, ОСF3, метилтио, метилсульфонил, CH2OH или СН2ОСН3;
R4 – водород, C1-C4 алкил, фтор, хлор, бром, йод, C1-C4 алкокси, трифторметокси, -СН2ОСН3, -СН2OСН2СН3, -СН2СН2OСН3, -СF3, амино, нитро, -NH(C1-C4 алкил), -N(СН3)2, -NHCOCH3, -NHCONHCH3, гидрокси, -CO(C1-C4 алкил), -СНО, СООН, циано или -COO(C1-C4 алкил), где C1-C4 алкил может быть замещен одним заместителем, выбираемым из группы, включающей гидрокси, амино, -NНСОСН3, -NH(C1-C2 алкил), -N(C1-C2 алкил)2, фтор, хлор, циано, нитро;
R5 – фенил, нафтил, пиридил, пиримидил, где каждая из вышеуказанных групп R5 замещена одним – тремя заместителями, которые независимо друг от друга выбирают из фтора, хлора, C1-С6-алкила или C1-С6-алкоксила, или одним заместителем, выбираемым из группы, включающей гидрокси, йод, бром, формил, циано, нитро, трифторметил, амино, -(C1-С6 алкил)O(С1-С6) алкил, и где C1-C4 алкильная и C1-C4 алкильная части вышеуказанных групп R5 могут быть необязательно замещены одной гидроксигруппой;
R6 – водород или C1-С6 алкил;
R7 – водород, метил;
R11 – водород, гидрокси, фтор или метокси;
R12 – водород или C1-C4 алкил;
R16 и R17 независимо друг от друга представляют собой водород, гидрокси, метил, этил, метокси или этокси, за исключением того, что оба элемента R16 и R17 не могут одновременно быть метокси или этокси, либо R16 и R17 вместе образуют оксо (=O) группу;
при условии, что, если G является атомом кислорода, серы, NH или NCH3, то он присоединяется двойной связью к пятичленному кольцу формулы III, и далее при условии, что R6 отсутствует, если атом азота, с которым он связан, присоединяется двойной связью к смежному атому углерода в кольце.
2. Соединение по п.1, где В – -NR1R2, -NHCHR1R2, -SCHR1R2 или -OCHR1R2; R1 – C1-С6 алкил, который может быть необязательно замещен одним заместителем, выбираемым из гидроксила, фтора, СF3 или C1-C2 алкоксильной группы, и R2 – бензил или C1-С6 алкил.
3. Соединение по п.1, где R1 – C1-С6 алкил, который может быть замещен фтором, СF3, гидрокси или С1-С2 алкоксилом и может иметь одну углерод-углеродную двойную или тройную связь.
4. Соединение по п.1, где R2 – C1-C4 алкил.
5. Соединение по п.1, где R3 – метил, хлор или метокси.
6. Соединение по п.1, где R4 – метил, -СН2ОН, циано, трифторметокси, метокси, хлор, трифторметил, -СООСН3, -СН2OСН3-СН2Сl, -CH2F, этил, амино или нитро.
7. Соединение по п.1, где R5 – фенил, замещенный двумя или тремя заместителями.
8. Соединение по п.1, где R6 – водород, метил или этил.
9. Соединение по п.1, где R5 – пиридил, замещенный двумя или тремя заместителями.
10. Соединение по п.7, где указанные заместители выбирают независимо друг от друга из группы, включающей фтор, хлор, 1-C4 алкокси, трифторметил, C1-С6 алкил, который может быть необязательно замещен одной гидроксильной группой.
11. Соединение по п.9, где указанные заместители выбирают независимо друг от друга из группы, включающей фтор, хлор, 1-C4 алкокси, трифторметил, C1-С6 алкил, который может быть необязательно замещен одной гидроксильной группой.
12. Соединение по п.1, которым является 2-(4-бром-2,6-диметилфенокси)-4-(1-этилпропокси)-3,6-диметилпиридин;
2-(4-этил-2,6-диметилфенокси)-4-(1-этилпропокси)-3,6-диметилпиридин;
3-этил-4-(1-этилпропокси)-6-метил-2-(2,4,6-триметилфенокси)пиридин;
2-(2,6-диметил-4-пропилфенокси)-4-(1-этилпропокси)-3,6-диметилпиридин;
4-(1-этилпропокси)-2-(4-метокси-2,6-диметилфенокси)-3,6-диметилпиридин;
2-(4-этокси-2,6-диметилфенокси)-4-(1-этилпропокси)-3,6-диметилпиридин;
2-(4-хлор-2,6-диметилфенокси)-4-(1-этилпропокси)-3,6-диметилпиридин;
4-(1-метоксиметилпропокси)-3,6-диметил-2-(2,4,6-триметилфенокси)пиридин;
[3,6-диметил-2-(2,4,6-триметилфенокси)пиридин-4-ил]диэтиламин;
[3,6-диметил-2-(2,4,6-триметилфенокси)пиридин-4-ил]этилпропиламин;
бутил-[3,6-диметил-2-(2,4,6-триметилфенокси)пиридин-4-ил]этиламин;
бутил-[2-(4-хлор-2,6-диметилфенокси)-3,6-диметилпиридин-4-ил]этиламин;
сложный метиловый эфир 4-(1-этилпропиламино)-6-метил-2-(2,4,6-триметилфенокси)никотиновой кислоты;
4-(1-этилпропиламино)-6-метил-2-(2,4,6-триметилфенокси)пиридин-3-ил]метанол;
[2-(4-хлор-2,6-диметилфенокси)-3,6-диметилпиридин-4-ил]этил-пропиламин;
1-(этилпропил)-[6-метил-3-нитро-2-(2,4,6-триметилфенокси)пиридин-4-ил]амин;
N4-(1-этилпропил)-6-метил-3-нитро-N2-(2,4,6-триметилфенил)пиридин-2,4-диамин;
N4-(1-этилпропил)-6-метил-2-(2,4,6-триметилфенокси)пиридин-3,4-диамин;
3,6-диметил-2-(2,4,6-триметилфенокси)пиридин-4-ил]-этил-(2,2,2-трифторэтил)амин;
N4-(1-этилпропил)-6-метил-N2-(2,4,6-триметилфенил)пиридин-2,3,4-триамин;
[3-хлорметил-6-метил-2-(2,4,6-триметилфенокси)пиридин-4-ил]-(1-этилпропил)амин;
[3,6-диметил-2-(2,4,6-триметилфенокси)пиридин-4-ил]-1-(1-этилпропил)амин;
(1-этилпропил)-[2-метил-5-нитро-6-(2,4,6-триметилпиридин-3-илокси)пиримидин-4-ил]амин;
(1-этилпропил)-[3-метоксиметил-6-метил-2-(2,4,6-триметилфенокси)пиридин-4-ил]амин;
[2-(4-хлор-2,6-диметилфенокси)-3,6-диметилпиридин-4-ил]диэтиламин;
4-(1-этилпропокси)-3,6-диметил-2-(2,4,6-триметилфенокси)пиридин;
N-бутил-[2,5-диметил-7-(2,4,6-триметилфенил)-6,7-дигидро-5Н-пирроло-[2,3-d]пиримидин-4-ил]этиламин;
4-(бутилэтиламино)-2,5-диметил-7-(2,4,6-триметилфенил)-5,7-дигидропирроло[2,3-d]3пиримидин-6-он;
(1-этилпропил)-[5-метил-3-(2,4,6-триметилфенил)-3Н-имидазо[4,5-b]пиридин-7-ил]амин;
[2,5-диметил-3-(2,4,6-триметилфенил)-3Н-имидазо[4,5-b]пири-дин-7-ил]-(1-этилпропил)амин;
N4-(1-этилпpoпил)-6,N3-димeтил-2-(2,4,6-тpимeтилфeнoкcи)пиpидин-3,4-диaмин;
N4-(1-этилпpoпил)-6,N3,N3-тpимeтил-2-[2,4,6-тpимeтилфeнoкcи)пиpидин-3,4-диaмин;
6-(1-этилпропокси)-2-метил-N4-(2,4,6-триметилфенил)пиримидин-4,5-диамин;
[4-(1-этилпропокси)-3,6-диметилпиридин-2-ил]-(2,4,6-триметил-фенил)амин;
6-(этилпропиламино)-2,7-диметил-9-(2,4,6-триметилфенил)-7,9-дигидропурин-8-он;
или фармацевтически приемлемая соль одного из вышеуказанных соединений.
13. Фармацевтическая композиция, обладающая антагонистической активностью в отношении кортикотропин-рилизинг фактора, отличающаяся тем, что включает соединение по п.1 в эффективном для этого количестве и фармацевтически приемлемый носитель.
14. Способ антагонистического воздействия на кортикотропин-рилизинг фактор, отличающийся тем, что используют соединение по п.1 в эффективной для этого концентрации.
15. Соединение формулы X, XI или IV
в котором R7 – водород, метил;
D – хлор, гидрокси или циано;
R19 – метил или этил;
R5 – фенил или пиридил, замещенный двумя или тремя заместителями, которые независимо друг от друга выбирают из 1-C4 алкила, хлора и брома, за исключением того, что лишь один такой заместитель может быть бромом;
R4 – водород, C1-C4 алкил, фтор, хлор, бром, йод, C1-C4 алкокси, трифторметокси, -СН2ОСН3, -СН2OСН2СН3, -СН2СН2OСН3, амино, нитро, -NH(C1-C4 алкил), -N(CH3)2, -NHCOCH3, -NHCONHCH3, гидрокси, -CO(C1-C4 алкил), -СНО, циано или -COO(C1-C4 алкил), где C1-C4 алкил может быть замещен одним заместителем, выбираемым из группы, включающей гидрокси, амино, -NHCOCH3, -NH(C1-C2 алкил), -N(C1-C2 алкил)2, -COO(C1-C4 алкил), -CO(C1-C4 алкил), C1-С3 алкокси, C1-С3 тиоалкил, фтор, хлор, циано и нитро;
А – N, СН или ССН3;
Z – О, NH, N(СН3)3, S или СН2 при условии, что, если А является СН или ССН3, то Z должен быть О или S.
16. Соединение по п.15 формулы XI, в которой R7 – водород или метил, a R4 – водород, C1-C4 алкил, хлор или циано.
17. Соединение формулы
в которой R19 – метил или этил;
R1 – водород, C1-C4 алкил, фтор, хлор, бром, йод, C1-C4 алкокси, трифторметокси, -СН2OСН3, -СН3OСН2СН3, -СН2С2OСН3, -СН2СF3, амино, нитро, -NH(C1-C4 алкил), -N(СН3)2, -NHCOCH3, -NHCONHCH3, гидрокси, -CO(C1-C4 алкил), -СНО, СООН, циано или -СОО(С1-С4)алкил, где C1-C4 алкил может быть замещен одним заместителем, выбираемым из группы, включающей гидрокси, амино, -NH(C1-C2 алкил), -N(C1-C2 алкил)2, фтор, хлор, циано;
А – N СН или ССН3;
В” – -NR1R2, -CR1R2R11, -C(=CR2R12)R1, -NHCHR1R2, -OCHR1R2, -CHR2OR12,
при условии, что, если А представляет собой СН или ССН3, то В” означает -NR1R2, -NHR1R2 -OCHR1R2 или циано и R4 является электронодефицитной группой, такой, как NO2, -COO(C1-C4 алкил), -С(=O)СН3, -СООН или циано.
18. Соединение по п.17, где В” представляет собой -NR1R2 и А представляет собой -СН или ССН3.
19. Способ получения соединения формулы I:
или его фармацевтически приемлемой соли,
в которой A- -CR7 или N;
В – -NR1R2, -NHCHR1R2, -OCHR1R2, или -SCHR1R2;
Z – NH, O, S, -N(C1-C2 алкил) или -C(R13R14), где R13 и R14 независимо друг от друга могут представлять собой водород, трифторметил или метил либо один из элементов R13 и R14 является цианогруппой, а другой – водородом или метилом;
R1 – C1-С6 алкил, который может быть необязательно замещен одним или двумя заместителями R8, независимо друг от друга выбираемыми из группы, включающей гидрокси, фтор, хлор, бром, йод, СF3 и C1-C4 алкокси;
R3 – C1-C12 алкил, арил или -(C1-C4 алкилен)арил, где арилом является фенил, нафтил;
R3 – метил или этил;
R4 – водород, C1-C4 алкил, фтор, хлор, бром, йод, C1-C4 алкокси, трифторметокси, -СН2 ОСН3, -СН2OСН2СН3, -СН2СН2OСН3, -СН2СF3, СF3, амино, нитро, -NH(C1-C4 алкил), -N(СН3)2, -NHCOCH3, -NHCONHCH3, гидрокси, -CO(C1-C4 алкил), -СНО, циано или -COO(C1-C4 алкил), где C1-C4 алкил может быть замещен одним заместителем, выбираемым из группы, включающей гидрокси, амино, -NHCOCH3, -NH(C1-C2 алкил), -N(C1-C2 алкил)2, фтор, хлор, циано и нитро;
R5 – фенил или пиридил, замещенный одним – тремя заместителями, которые независимо друг от друга выбирают из фтора, хлора, C1-С6 алкила и C1-С6 алкоксила, или одним заместителем, выбираемым из группы, включающей гидрокси, йод, бром, формил, циано, нитро, трифторметил, амино, -(C1-С6 алкил)O(С1-С6)алкил, -NHCH3, -N(CH3)2, -COOH, -COO(C1-C4 алкил), -CO(C1-C4 алкил), где C1-C4 алкильная и C1-С6 алкильная части вышеуказанных групп R5 могут быть необязательно замещены одной гидроксигруппой;
R7 – водород или метил;
или фармацевтически приемлемой соли такого соединения, включающий взаимодействие в присутствии основания соединения формулы IV
в которой R19 – метил или этил;
D – хлор;
A, Z, R4 и R5 имеют указанные выше значения,
с соединениями формулы
ВН,
в которой В имеет указанные выше значения;
и последующее необязательное превращение соединения формулы I, полученного в результате осуществления такой реакции, в его фармацевтически приемлемую соль.
20. Способ получения соединения формулы I
или его фармацевтически приемлемой соли,
в которой
A – -CR7 или N;
В – -NR1R2, -CR1R2R11, -C(=CR2R12)R1, -NHCHR1R2, -OCHR1R2, -SCHR1R2, -CHR2OR12, -CHR2SR12, -C(S)R2 или -C(O)R2;
Z – NH, O, S, -N(C1-C2 алкил) или -C(R13R14), где R13 и R14 независимо друг от друга представляют собой водород, трифторметил или метил либо один из элементов R13 и R14 является цианогруппой, а другой – водородом или метилом;
R1 – C1-С6 алкил, который может быть необязательно замещен одним или двумя заместителями R8, независимо друг от друга выбираемыми из группы, включающей гидрокси, фтор, хлор, бром, йод, СF3, C1-C4 алкокси, где C1-С6 алкил и C1-C4 алкильная часть C1-C4 алкоксильной группы могут необязательно иметь одну углерод-углеродную двойную или тройную связь;
R2 – C1-C12 алкил, арил или -(C1-C4 алкилен)арил, где арилом является фенил, нафтил;
R3 – метил, этил;
R4 – водород, C1-C4 алкил, фтор, хлор, бром, йод, C1-C4 алкокси, трифторметокси, -СН2OСН3, -СН2OСН2СН3, -СН2СН2OСН3, СF3, амино, нитро, -NH(C1-C4 алкил), -N(CH3)2, -NНСОСН3, -NHCONHCH3, гидрокси, -CO(C1-C4 алкил), -СНО, циано или -COO(C1-C4 алкил), где C1-C4 алкил может быть замещен одним заместителем, выбираемым из группы, включающей гидрокси, амино, -NНСОСН3, -NH(C1-C2 алкил), -N(C1-C2 алкил)2, фтор, хлор, циано и нитро;
R5 – фенил или пиридил, замещенный одним – тремя заместителями, которые независимо друг от друга выбирают из фтора, хлора, C1-С6 алкила и C1-С6 алкоксила, или одним заместителем, выбираемым из группы, включающей гидрокси, йод, бром, формил, циано, нитро, трифторметил, амино, -(C1-С6 алкил)O(С1-С6)алкил и где C1-C4 алкильная и C1-С6 алкильная части вышеуказанных групп R5 могут быть необязательно замещены одной гидроксигруппой;
R7 – водород или метил;
при условии, что, если А представляет собой СН или ССН3, то R4 является электронодефицитной группой, такой, как NO2, -COO(C1-C4 алкил), -С(=O)СН3, -СООН или CN;
или его фармацевтически приемлемой соли такого соединения, включающий взаимодействие соединения формулы XII
в которой R19 – метил или этил;
А – N, СН или ССН3, причем, если А является N, то В” и R4 имеют значения, указанные выше для В и R4, а если А представляет собой СН или ССН3, то В” означает -NR1R2, -OCHR1R2 и R4 является электронодефицитной группой, такой, как NO2, -COO(C1-C4 алкил), -С(=O)СН3, -СООН или CN;
с соединением формулы
R5ZH,
в которой R5 и Z имеют указанные выше значения,
и последующее необязательное превращение соединения формулы I, получаемого в результате осуществления такой реакции, в его фармацевтически приемлемую соль.
21. Способ по п.20, где R4 является нитрогруппой как в соединении формулы I, так и в соединении формулы XII.
22. Способ получения соединения формулы IV
в которой R19 – метил или этил;
D – хлор;
A – -CR7 или N;
Z – NH, О, S, -N(C1-C2 алкил) или -C(R13R14), где R13 и R14 независимо друг от друга представляют собой водород, трифторметил или метил либо один из элементов R13 и R14 является цианогруппой, а другой – водородом или метилом;
R4 – водород, C1-C4 алкил, фтор, хлор, бром, йод, C1-C4 алкокси, трифторметокси, -СН2OСН3, -СН2OСН2СН3, -СН2СН2OСН3, -СН2СF3, СF3, амино, нитро, -NH(C1-C4 алкил), -N(CH3)2, -NНСОСН3, -NHCONHCH3, гидрокси, -CO(C1-C4 алкил), -СНО, циано или -COO(C1-C4 алкил), где C1-C4 алкил может быть замещен одним заместителем, выбираемым из группы, включающей гидрокси, амино, -NНСОСН3, -NH(C1-C2 алкил), -N(C1-C2 алкил)2, фтор, хлор, циано и нитро;
R5 – фенил или пиридил, замещенный одним – тремя заместителями, выбираемыми независимо друг от друга из фтора, хлора, C1-С6 алкила и C1-С6 алкоксила, или одним заместителем, выбираемым из группы, включающей гидрокси, йод, бром, формил, циано, нитро, трифторметил, амино, -(C1-С6 алкил)O(С1-С6)алкил, -NНСН3, -N(CH3)2, -СООН, -COO(C1-C4 алкил), -CO(C1-C4 алкил), где C1-C4 алкильная и C1-С6 алкильная части вышеуказанных групп R5 могут быть необязательно замещены одной гидроксигруппой;
включающий взаимодействие с треххлористым фосфором соединения формулы X
в которой R19, R4 и R5 имеют указанные выше значения;
R7 представляет собой водород, метил.
23. Способ получения соединения формулы X
в которой R19 – метил или этил;
Z – О, S или -C(R13R14), где R13 и R14 независимо друг от друга представляют собой водород, трифторметил или метил либо один из элементов R13 и R14 является цианогруппой, а другой – водородом или метилом;
R4 – водород, C1-C4 алкил, фтор, хлор, бром, йод, C1-C4 алкокси, трифторметокси, -СН2OСН3, -СН2ОСН2СН3, -СН2СН2OСН3, -СF3, амино, нитро, -NH(C1-C4 алкил), -N(СН3)2, -NHCOCH3, -NHCONHCH3, гидрокси, -CO(C1-C4 алкил), -СНО, циано или -COO(C1-C4алкил), где C1-C4 алкил может быть замещен одним заместителем, выбираемым из группы, включающей гидрокси, амино, -NНСОСН3, -NH(C1-C2 алкил), -N(C1-C2 алкил)2, фтор, хлор, циано и нитро;
R5 – фенил или пиридил, замещенный одним – тремя заместителями, которые независимо друг от друга выбирают из фтора, хлора, C1-С6 алкила и C1-С6 алкоксила, или одним заместителем, выбираемым из группы, включающей гидрокси, йод, бром, формил, циано, нитро, трифторметил, амино, -(C1-С6 алкил)О(С1-С6) алкил, -NHCH3, -N(СН3)2, -СООН, -COO(C1-C4 алкил), -СО(С1-С4 алкил), где C1-C4 алкильная и C1-С6 алкильная части вышеуказанных групп R5 могут быть необязательно замещены одной гидроксигруппой,
включающий взаимодействие в присутствии основания соединения формулы XI
в которой R4, R7 и R19 имеют указанные выше значения,
с соединением формулы R5OH или R5SH,
где R5 имеет указанные выше значения.
24. Соединение по п.1, которое представляет собой N-[3,6-диметил-2-(2,4,6-триметилфенокси)пиридин-4-ил]-N-этил-2,2,2-трифторацетамид.
25. Композиция по п.13, отличающаяся тем, что в качестве соединения по п.1 она включает N-[3,6-диметил-2-(2,4,6-триметилфенокси)пиридин-4-ил]-N-этил-2,2,2-трифторацетамид.
26. Способ по п.14, отличающийся тем, что в качестве соединения по п.1 используют N-[3,6-диметил-2-(2,4,6-триметилфенокси)пиридин-4-ил]-N-этил-2,2,2-трифторацетамид.