Патент на изобретение №2221798
|
||||||||||||||||||||||||||
(54) ИМИДАЗОНАФТИРИДИНЫ, ФАРМАЦЕВТИЧЕСКАЯ КОМПОЗИЦИЯ НА ИХ ОСНОВЕ, СПОСОБ СТИМУЛЯЦИИ БИОСИНТЕЗА ЦИТОКИНА И ПРОМЕЖУТОЧНЫЕ ВЕЩЕСТВА
(57) Реферат: Изобретение относится к новым имидазонафтиридинам формул (I) и (II), в которых А представляет собой =N-CR=CR-CR=, =CR-N=CR-CR=, =CR-CR=N=CR или = CR-CR= CR-N= ; B представляет собой -NR-C(R)2-C(R)2-С(R)2, C(R)2-NR-C(R)2-C(R)2, -C(R)2-C(R)2-NR-C(R)2 или C(R)2-C(R)2-C(R)2-NR, где R – водород, R1 – водород, незамещенный или замещенный С1-20-алкил, С1-20-алкилен-NR3-Q-X-R4, где Q – представляет -СО или -SO2-, Х – простая связь, -О- или -NR3 и R4 – арил, гетероарил, гетероциклил или С1-20-алкил или С2-20-алкенил. Другие значения радикалов представлены в формуле изобретения. Соединения формул (I) и (II) стимулируют биосинтез цитокинов, таких как интерферон и фактор некроза опухоли, и могут быть использованы в медицине. Изобретение также относится к фармацевтическим композициям и промежуточным соединениям. 10 с. 10 з.п. ф-лы, 5 табл. ![]()
Текст описания в факсимильном виде (см. графическую часть)а
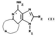
Формула изобретения 1. Соединение формулы I
где А представляет собой =N-CR=CR-CR=; -CR-N=CR-CR; =CR-CR=N-CR= или =CR-CR=CR-N=;
R1 выбран из группы, состоящей из водорода; C1-20-алкила, незамещенного или замещенного одним или более заместителями, выбранными из группы, состоящей из арила; -O-C1-20алкила; -O-(C1-20алкил)0-1-арила; -N(R3)2; -ОН; -С1-20алкилен-NR3-Q-X-R4, где Q представляет собой -СО- или -SO2-; Х – простая связь, -O- или NR3; R4 – арил, гетероарил, гетероциклил или –C1-20-алкил или С2-20алкенил, незамещенные или замещенные одним или более заместителями, выбранными из группы, состоящей из арила; гетероарила; гетероциклила; -O-С1-20алкила; -O-(С1-20алкил)0-1-арила; -С1-20алкоксикарбонила; -S(O)0-2-(С1-20алкил)0-1-гетероарила; -N(R3)2; -NR3-CO-O-C1-20алкила; оксогруппы; галогена; -NO2; -ОН;
или R4, представляющего собой
где Y представляет собой -N- или -CR-;
R2 выбран из группы, состоящей из водорода; -C1-10алкила; -С1-10алкил-О-С1-10-алкила; -C1-10алкила, замещенного арилом,
каждый R3 независимо выбран из группы, состоящей из водорода и С1-10алкила;
каждый R представляет собой водород;
или его фармацевтически приемлемая соль.
2. Соединение по п.1, отличающееся тем, что R1 выбран из группы, состоящей из С1-6алкила и С1-6гидроксиалкила.
3. Соединение по п.2, отличающееся тем, что R1 выбран из группы, состоящей из н-бутила, 2-гидрокси-2-метилпропила и 2-метилпропила.
4. Соединение по п.1, отличающееся тем, что R2 выбран из группы, состоящей из С1-6алкила и алкоксиалкила с неразветвленной цепью, в которых алкоксильная составляющая и алкильная составляющая, каждая независимо одна от другой, содержит 1 – 4 атомов углерода.
5. Соединение по п.1, отличающееся тем, что R2 выбран из группы, состоящей из метила, н-бутила, бензила, этоксиметила.
6. Соединение по п.1, отличающееся тем, что R1 представляет собой -С1-20алкил-NR3-Q-X-R4.
7. Соединение по п.6, отличающееся тем, что R4 представляет собой
8. Соединение по п.1, отличающееся тем, что А представляет собой =СН-СН=CH-N=.
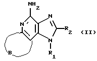
9. Соединение формулы II
где В представляет собой -NR-C(R)2-C(R)2-(C)R2-; -C(R)2-NR-C(R)2-C(R)2-; -C(R)2-C(R)2-NR-C(R)2– или -C(R)2-C(R)2-C(R)2-NR-;
R1 выбран из группы, состоящей из водорода; -С1-20алкила незамещенного или замещенного одним или более заместителями, выбранными из группы, состоящей из арила; -O-С1-20алкила; -O-(С1-20алкил)0-1-арила; -N(R3)2; -ОН; -С1-20алкилен -NR3-Q-X-R4, где Q представляет собой -СО- или -SO2-; Х – простая связь, -О или –NR3-; R4 – арил, гетероциклил или -С1-20алкил или С2-20алкенил, незамещенные или замещенные одним или более заместителями, выбранными из группы, состоящей из арила; гетероциклила; -O-С1-20алкила; -O-(C1-20алкил)0-1-арила; -С1-20алкоксикарбонила; -N(R3)2; -NR3-CO-O-C1-20алкила; оксогруппы; галогена; -NO2; -ОН;
или R4, представляющего собой
где Y представляет собой -N- или -CR-;
R2 выбран из группы, состоящей из водорода; -C1-10алкила; -С1-10алкил-O-С1-10-алкила; -С1-10алкила, замещенного арилом;
каждый R3 независимо выбран из группы, состоящей из водорода и С1-10алкила;
каждый R представляет собой водород;
или его фармацевтически приемлемая соль.
10. Соединение по п.9, отличающееся тем, что R1 выбран из группы, состоящей из С1-6алкила и C1-6гидроксиалкила.
11. Соединение по п.10, отличающееся тем, что R1 выбран из группы, состоящей, из н-бутила, 2-гидрокси-2-метилпропила и 2-метилпропила.
12. Соединение по п.9, отличающееся тем, что R2 выбран из группы, состоящей из метила, н-бутила, бензила, этоксиметила.
13. Фармацевтическая композиция, обладающая активностью при стимуляции биосинтеза цитокина и содержащая фармацевтически эффективное количество соединения по п.1 или 9 и фармацевтически приемлемый носитель.
14. Способ стимуляции биосинтеза цитокина в организме животного, заключающийся во введении в организм животного эффективного количества соединения по п.1 или 9.
15. Соединение формулы
где А представляет собой =N-CR=CR-CR=; =CR-N=CR-CR=; =CR-CR=N-CR= или =CR-CR=CR-N=;
R1 выбран из группы, состоящей из – водорода и -C1-20алкила;
R2 выбран из группы, состоящей из водорода и -С1-10алкила;
а каждый R представляет собой водород;
или его фармацевтически приемлемая соль.
16. Соединение формулы:
R1 выбран из группы, состоящей из водорода; -С1-20алкила, незамещенного или замещенного одним или более заместителями, выбранными из группы, состоящей из арила; -O-С1-20алкила; -O-(C1-20алкил)0-1-арила; -ОН; и -NR3-CO-O-C1-20алкила;
R2 выбран из группы, состоящей из водорода; -C1-10алкила; -С1-10алкил-О-С1-10-алкила и -С1-10алкила, замещенного арилом, и каждый R и R3 представляет собой водород;
или фармацевтически приемлемая соль.
17. Соединение формулы
где R1 выбран из группы, состоящей из водорода; -С1-20алкила, незамещенного или замещенного одним или более заместителями, выбранными из группы, состоящей из арила; -O-С1-20алкила; -O-(C1-20алкил)0-1-арила; -ОН; и -NR3-CO-O-C1-20алкила;
R2 выбран из группы, состоящей из водорода; -С1-10алкила; -С1-10алкил-O-С1-10-алкила и -С1-10алкила, замещенного – арилом;
каждый R и R3 представляют собой водород;
или фармацевтически приемлемая соль.
18. Соединение формулы
где А представляет собой =N-CR=CR-CR=; =CR-N=CR-CR=; =CR-CR=N-CR= или =CR-CR=CR-N=;
R7 представляет собой ОН, галоген или NHR1, R1 выбран из группы, состоящей из водорода и -С1-20алкила;
R8 представляет собой Н, NO2 или NН2;
а каждый R представляет собой водород;
или его фармацевтически приемлемая соль.
19. Соединение формулы
где А представляет собой =N-CR=CR-CR=; =CR-N=CR-CR=; =CR-CR=N-CR или =CR-CR=CR-N=, где R представляет собой водород;
R9 представляет собой водород или C1-10алкил.
20. Соединение формулы
где R1 выбран из группы, состоящей из -С1-20алкила, незамещенного или замещенного одним или более заместителями, выбранными из группы, состоящей из арила; -O-C1-20алкила; -O-(C1-20алкил)0-1-арила и -ОН;
-С1-20алкилен-NR3-Q-X-R4, где R3 представляет собой водород, Q представляет собой -СО-; Х – простая связь или -О-; R4 представляет собой C1-20алкил, каждый R и R3 представляют собой водород;
R10 представляет собой –NO2 или -NH2;
или его фармацевтически приемлемая соль.
РИСУНКИ
TK4A – Поправки к публикациям сведений об изобретениях в бюллетенях “Изобретения (заявки и патенты)” и “Изобретения. Полезные модели”
Страница: 710
Напечатано: (57) 1. …
Следует читать: (57) 1. …
Номер и год публикации бюллетеня: 2-2004
Код раздела: FG4A
Извещение опубликовано: 10.08.2004 БИ: 22/2004
TK4A – Поправки к публикациям сведений об изобретениях в бюллетенях “Изобретения (заявки и патенты)” и “Изобретения. Полезные модели”
Страница: 710
Напечатано: 15. …
Следует читать: 15. …
Номер и год публикации бюллетеня: 2-2004
Код раздела: FG4A
Извещение опубликовано: 10.08.2004 БИ: 22/2004
RH4A – Выдача дубликата патента Российской Федерации на изобретение
Дата выдачи дубликата: 30.11.2007
Наименование лица, которому выдан дубликат:
Извещение опубликовано: 10.01.2008 БИ: 01/2008
PC4A – Регистрация договора об уступке патента Российской Федерации на изобретение
(73) Патентообладатель(и):
(73) Патентообладатель:
Дата и номер государственной регистрации перехода исключительного права: 26.06.2008 № РД0037806
Извещение опубликовано: 10.08.2008 БИ: 22/2008
|
||||||||||||||||||||||||||


Текст описания в факсимильном виде (см. графическую часть)а
где А представляет собой =N-CR=CR-CR=; -CR-N=CR-CR; =CR-CR=N-CR= или =CR-CR=CR-N=;
R1 выбран из группы, состоящей из водорода; C1-20-алкила, незамещенного или замещенного одним или более заместителями, выбранными из группы, состоящей из арила; -O-C1-20алкила; -O-(C1-20алкил)0-1-арила; -N(R3)2; -ОН; -С1-20алкилен-NR3-Q-X-R4, где Q представляет собой -СО- или -SO2-; Х – простая связь, -O- или NR3; R4 – арил, гетероарил, гетероциклил или –C1-20-алкил или С2-20алкенил, незамещенные или замещенные одним или более заместителями, выбранными из группы, состоящей из арила; гетероарила; гетероциклила; -O-С1-20алкила; -O-(С1-20алкил)0-1-арила; -С1-20алкоксикарбонила; -S(O)0-2-(С1-20алкил)0-1-гетероарила; -N(R3)2; -NR3-CO-O-C1-20алкила; оксогруппы; галогена; -NO2; -ОН;
или R4, представляющего собой
где Y представляет собой -N- или -CR-;
R2 выбран из группы, состоящей из водорода; -C1-10алкила; -С1-10алкил-О-С1-10-алкила; -C1-10алкила, замещенного арилом,
каждый R3 независимо выбран из группы, состоящей из водорода и С1-10алкила;
каждый R представляет собой водород;
или его фармацевтически приемлемая соль.
2. Соединение по п.1, отличающееся тем, что R1 выбран из группы, состоящей из С1-6алкила и С1-6гидроксиалкила.
3. Соединение по п.2, отличающееся тем, что R1 выбран из группы, состоящей из н-бутила, 2-гидрокси-2-метилпропила и 2-метилпропила.
4. Соединение по п.1, отличающееся тем, что R2 выбран из группы, состоящей из С1-6алкила и алкоксиалкила с неразветвленной цепью, в которых алкоксильная составляющая и алкильная составляющая, каждая независимо одна от другой, содержит 1 – 4 атомов углерода.
5. Соединение по п.1, отличающееся тем, что R2 выбран из группы, состоящей из метила, н-бутила, бензила, этоксиметила.
6. Соединение по п.1, отличающееся тем, что R1 представляет собой -С1-20алкил-NR3-Q-X-R4.
7. Соединение по п.6, отличающееся тем, что R4 представляет собой
8. Соединение по п.1, отличающееся тем, что А представляет собой =СН-СН=CH-N=.
9. Соединение формулы II
где В представляет собой -NR-C(R)2-C(R)2-(C)R2-; -C(R)2-NR-C(R)2-C(R)2-; -C(R)2-C(R)2-NR-C(R)2– или -C(R)2-C(R)2-C(R)2-NR-;
R1 выбран из группы, состоящей из водорода; -С1-20алкила незамещенного или замещенного одним или более заместителями, выбранными из группы, состоящей из арила; -O-С1-20алкила; -O-(С1-20алкил)0-1-арила; -N(R3)2; -ОН; -С1-20алкилен -NR3-Q-X-R4, где Q представляет собой -СО- или -SO2-; Х – простая связь, -О или –NR3-; R4 – арил, гетероциклил или -С1-20алкил или С2-20алкенил, незамещенные или замещенные одним или более заместителями, выбранными из группы, состоящей из арила; гетероциклила; -O-С1-20алкила; -O-(C1-20алкил)0-1-арила; -С1-20алкоксикарбонила; -N(R3)2; -NR3-CO-O-C1-20алкила; оксогруппы; галогена; -NO2; -ОН;
или R4, представляющего собой
где Y представляет собой -N- или -CR-;
R2 выбран из группы, состоящей из водорода; -C1-10алкила; -С1-10алкил-O-С1-10-алкила; -С1-10алкила, замещенного арилом;
каждый R3 независимо выбран из группы, состоящей из водорода и С1-10алкила;
каждый R представляет собой водород;
или его фармацевтически приемлемая соль.
10. Соединение по п.9, отличающееся тем, что R1 выбран из группы, состоящей из С1-6алкила и C1-6гидроксиалкила.
11. Соединение по п.10, отличающееся тем, что R1 выбран из группы, состоящей, из н-бутила, 2-гидрокси-2-метилпропила и 2-метилпропила.
12. Соединение по п.9, отличающееся тем, что R2 выбран из группы, состоящей из метила, н-бутила, бензила, этоксиметила.
13. Фармацевтическая композиция, обладающая активностью при стимуляции биосинтеза цитокина и содержащая фармацевтически эффективное количество соединения по п.1 или 9 и фармацевтически приемлемый носитель.
14. Способ стимуляции биосинтеза цитокина в организме животного, заключающийся во введении в организм животного эффективного количества соединения по п.1 или 9.
15. Соединение формулы
где А представляет собой =N-CR=CR-CR=; =CR-N=CR-CR=; =CR-CR=N-CR= или =CR-CR=CR-N=;
R1 выбран из группы, состоящей из – водорода и -C1-20алкила;
R2 выбран из группы, состоящей из водорода и -С1-10алкила;
а каждый R представляет собой водород;
или его фармацевтически приемлемая соль.
16. Соединение формулы:
R1 выбран из группы, состоящей из водорода; -С1-20алкила, незамещенного или замещенного одним или более заместителями, выбранными из группы, состоящей из арила; -O-С1-20алкила; -O-(C1-20алкил)0-1-арила; -ОН; и -NR3-CO-O-C1-20алкила;
R2 выбран из группы, состоящей из водорода; -C1-10алкила; -С1-10алкил-О-С1-10-алкила и -С1-10алкила, замещенного арилом, и каждый R и R3 представляет собой водород;
или фармацевтически приемлемая соль.
17. Соединение формулы
где R1 выбран из группы, состоящей из водорода; -С1-20алкила, незамещенного или замещенного одним или более заместителями, выбранными из группы, состоящей из арила; -O-С1-20алкила; -O-(C1-20алкил)0-1-арила; -ОН; и -NR3-CO-O-C1-20алкила;
R2 выбран из группы, состоящей из водорода; -С1-10алкила; -С1-10алкил-O-С1-10-алкила и -С1-10алкила, замещенного – арилом;
каждый R и R3 представляют собой водород;
или фармацевтически приемлемая соль.
18. Соединение формулы
где А представляет собой =N-CR=CR-CR=; =CR-N=CR-CR=; =CR-CR=N-CR= или =CR-CR=CR-N=;
R7 представляет собой ОН, галоген или NHR1, R1 выбран из группы, состоящей из водорода и -С1-20алкила;
R8 представляет собой Н, NO2 или NН2;
а каждый R представляет собой водород;
или его фармацевтически приемлемая соль.
19. Соединение формулы
где А представляет собой =N-CR=CR-CR=; =CR-N=CR-CR=; =CR-CR=N-CR или =CR-CR=CR-N=, где R представляет собой водород;
R9 представляет собой водород или C1-10алкил.
20. Соединение формулы
где R1 выбран из группы, состоящей из -С1-20алкила, незамещенного или замещенного одним или более заместителями, выбранными из группы, состоящей из арила; -O-C1-20алкила; -O-(C1-20алкил)0-1-арила и -ОН;
-С1-20алкилен-NR3-Q-X-R4, где R3 представляет собой водород, Q представляет собой -СО-; Х – простая связь или -О-; R4 представляет собой C1-20алкил, каждый R и R3 представляют собой водород;
R10 представляет собой –NO2 или -NH2;
или его фармацевтически приемлемая соль.



