Патент на изобретение №2221794
|
||||||||||||||||||||||||||
(54) АРИЛПИПЕРАЗИНОВЫЕ ПРОИЗВОДНЫЕ, СПОСОБЫ ИХ ПОЛУЧЕНИЯ, ФАРМАЦЕВТИЧЕСКАЯ КОМПОЗИЦИЯ НА ИХ ОСНОВЕ И СПОСОБЫ ЛЕЧЕНИЯ
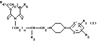
(57) Реферат: Изобретение относится к новым арилпиперазиновым производным общей формулы I ![]() и их фармацевтически приемлемым солям, сложным эфирам, где Y представляет О; Q представляет СН; X, Z и Z’ каждый независимо представляют СН или N; m=0-1; n=0-4; R1 и R2 независимо выбирают из Н, F, Cl, Br, OCH3, OC2H5, OCH2CF3, СН3, С2Н5, СF3, изопропилокси; R3 представляет Н; R4 и R5 представляют Н или фенил, за исключением того, что R1 представляет Н, R2 представляет Н, Cl или CF3, R3, R4 и R5=Н, Y=0, и Q=CH, если m=0 и n=1; и также за исключением того, что R1 представляет Н, R2 представляет OCH3, R3, R4 и R5=H, Y=0, Q=CH, если m=0 и n=2. Изобретение также относится к способам получения этих соединений, фармацевтической композиции на их основе, обладающей уроселективной антогонистической активностью в отношении к 1-адренорецепторам, и способам лечения доброкачественной гипертрофии предстательной железы, сосудистых заболеваний, застойной сердечной недостаточности и гипертензии. Технический результат – получение новых соединений, обладающих ценными фармацевтическими свойствами. 8 с. и 14 з.п. ф-лы, 6 табл.
Текст описания в факсимильном виде (см. графический материал)
Формула изобретения 1. Арилпиперазиновые производные, имеющие структуру общей формулы I
и их фармацевтически приемлемые соли, сложные эфиры,
где Y представляет О;
Q представляет СН;
X, Z и Z’ каждый независимо представляют СН или N;
m=0-1;
n=0-4;
R1 и R2 независимо выбирают из Н, F, Cl, Вr, ОСН3, OC2H5, ОСН2СF3, СН3, С2Н5, СF3, изопропилокси;
R3 представляет Н;
R4 и R5 представляют Н или фенил,
за исключением того, что R1 представляет Н; R2 представляет Н, Сl или СF3;
R3, R4 и R5 – Н; Y – O и Q – CH, если m=0 и n=1, и также за исключением того, что R1 представляет Н; R2 представляет ОСН3; R3, R4 и R5 – H, Y – O; Q – CH, если m=0 и n=2.
2. Арилпиперазиновые производные по п.1, имеющие структуру формулы II
где n, X, Z, Z’, R1, R2 и R3 являются такими, как они были определены для формулы I;
m’=1 или 2, за исключением того, что R1 представляет Н; R2 представляет Н, Cl или СF3 и F3 представляет Н, если m’=1 и n=1, и также за исключением того, что R1 представляет Н, R2 представляет ОСН3 и R3 представляет Н, если m’=1 и n=2.
3. Соединение по п.1, выбранное из:
1-[4-(4-фторфенил)пиперазин-1-ил]-3-(2,5-диоксопирролидин-1-ил)пропана или его гидрохлоридной соли;
1-[4-(2-метоксифенил)пиперазин-1-ил]-3-(2,5-диоксопирролидин-1-ил)пропана или его гидрохлоридной соли;
1-[4-(2-пиридил)пиперазин-1-ил]-3-(2,5-диоксопирролидин-1-ил)пропана или его гидрохлоридной соли;
1-[4-(2-пиримидил)пиперазин-1-ил]-3-(2,5-диоксопирролидин-1-ил)пропана или его гидрохлоридной соли;
1-[4-(3,4-диметилфенил)пиперазин-1-ил]-3-(2,5-диоксопирролидин-1-ил)пропана или его гидрохлоридной соли;
1-[4-(2-метоксифенил)пиперазин-1-ил]-2-(2,5-диоксопирролидин-1-ил)этана или его гидрохлоридной соли;
1-[4-(3-метоксифенил)пиперазин-1-ил]-3-(2,5-диоксопирролидин-1-ил)пропана или его гидрохлоридной соли;
1-[4-(4-метоксифенил)пиперазин-1-ил]-3-(2,5-диоксопирролидин-1-ил)пропана или его гидрохлоридной соли;
1-[4-(2-метоксифенил) пиперазин-1-ил]-3-(2,6-диоксопиперидин-1-ил)пропана или его гидрохлоридной соли;
1-[4-(4-фторфенил) пиперазин-1-ил]-3-(2,6-диоксопиперидин-1-ил)пропана или его гидрохлоридной соли;
1-[4-(4-хлорфенил) пипераэин-1-ил]-3-(2,6-диоксопиперидин-1-ил)пропана или его гидрохлоридной соли;
1-[4-(3-трифторметилфенил)пиперазин-1-ил]-3-[2,6-диоксопиперидин-1-ил)пропана или его гидрохлоридной соли;
1-[4-(2-фторфенил)пипераэин-1-ил]-3-(2,6-диоксопиперидин-1-ил)пропана или его гидрохлоридной соли;
1-[4-(2-метилфенил) пиперазин-1-ил]-3-(2,6-диоксопиперидин-1-ил)пропана или его гидрохлоридной соли;
1-[4-(2-пиридил)пиперазин-1-ил]-3-(2,6-диоксопиперидин-1-ил)пропана или его гидрохлоридной соли;
1-[4-(3-хлорфенил)пиперазин-1-ил]-3-(2,6-диоксопиперидин-1-ил)пропана или его гидрохлоридной соли;
1-[4-(3,4-диметилфенил)пиперазин-1-ил]-3-(2,6-диоксопиперидин-1-ил)пропана или его гидрохлоридной соли;
1-[4-(2-пиримидил)пиперазин-1-ил]-3-(2,6-диоксопиперидин-1-ил)пропана или его гидрохлоридной соли;
1-[4-(3-метоксифенил)пиперазин-1-ил]-3-(2,6-диоксопиперидин-1-ил)пропана или его гидрохлоридной соли;
1-[4-(4-метоксифенил)пиперазин-1-ил]-3-(2,6-диоксопиперидин-1-ил)пропана или его гидрохлоридной соли;
1-[4-(2-метоксифенил)пиперазин-1-ил]-4-(2,6-диоксопиперидин-1-ил)бутана или его гидрохлоридной соли;
1-[4-(2-метоксифенил)пиперазин-1-ил]-3-[2,5-диоксо-3-фенилпирролидин-1-ил]пропана или его гидрохлоридная соль;
1-[4-(фенил)пиперидин-1-ил]-3-[2,5-диоксопирролидин-1-ил]пропана или его гидрохлоридной соли.
4. Фармацевтическая композиция, обладающая пролонгированной уроселективной антогонистической активностью в отношении к 1-адренорецепторам, включающая соединение по п.1 и его фармацевтически приемлемые соли.
5. Способ осуществления селективного антагонизма 1-адренергических рецепторов у млекопитающего, включающий введение указанному млекопитающему соединения, имеющего структуру формулы I
и его фармацевтически приемлемых солей, сложных эфиров,
где Y представляет О;
Q представляет СН;
X, Z и Z’ каждый независимо представляют СН или N;
m=0-1;
n=0-4;
R1 и R2 независимо выбирают из Н, F, Сl, Вr, ОСН3, OC2H5, ОСН2СF3, СН3, С2Н5, СF3, изопропилокси;
R3 представляет Н;
R4 и R5 представляют Н или фенил, за исключением того, что R1 представляет Н; R2 представляет Н, Сl или СF3; R3, R4 и R5 – Н; Y = O и Q – CH, если m=0 и n=1, и также за исключением того, что R1 представляет Н; R2 представляет ОСН3; R3, R4 и R5 – H; Y – O; Q – CH, если m=0 и n=2.
6. Способ по п.5, где указанное соединение имеет структуру формулы II
где n, X, Z, Z’, R1, R2 и R3 являются такими, как они были определены для формулы I;
m’=1 или 2, за исключением того, что R1 представляет Н; R2 представляет Н, Cl или СF3 и F3 представляет Н, если m’=1 и n=1, и также за исключением того, что R1 представляет Н, R2 представляет ОСН3 и R3 представляет Н, если m’=1 и n=2.
7. Способ по п.6, где указанным соединением является 1-[4-(2-метоксифенил)пиперазин-1-ил]-3-(2,5-диоксопирролидин-1-ил) пропан или его гидрохлоридная соль.
8. Способ по п.6, где указанным соединением является 1-[4-(2-метоксифенил)пиперазин-1-ил]-3-(2,6-диоксопирролидин-1-ил) пропан или его гидрохлоридная соль.
9. Способ лечения доброкачественной гипертрофии предстательной железы у млекопитающего, включающий введение указанному млекопитающему соединения, имеющего структуру формулы I
и его фармацевтически приемлемых солей, сложных эфиров,
где Y представляет О;
Q представляет СН;
X, Z и Z’ каждый независимо представляют СН или N;
m=0-1;
n=0-4;
R1 и R2 независимо выбирают из Н, F, Сl, Вr, ОСН3, OC2H5, ОСН2СF3, СН3, С2Н5, СF3, изопропилокси;
R3 представляет Н;
R4 и R5 представляют Н или фенил, за исключением того, что R1 представляет Н;
R2 представляет Н, Сl или СF3; R3, R4 и R5 – Н, Y – O и Q – CH, если m=0 и n=1, и также за исключением того, что R1 представляет Н; R2 представляет ОСН3; R3, R4 и R5 – H, Y – O, Q=CH, если m=0 и n=2.
10. Способ по п.9, где указанное соединение имеет структуру формулы II
где n, X, Z, Z’, R1, R2 и R3 являются такими, как они были определены для формулы I;
m’=1 или 2, за исключением того, что R1 представляет Н; R2 представляет Н, Cl или СF3 и F3 представляет Н, если m’=1 и n=1, и также за исключением того, что R1 представляет Н, R2 представляет ОСН3 и R3 представляет Н, если m’=1, и n=2.
11. Способ по п.10, где указанным соединением является 1-[4-(2-метоксифенил)пиперазин-1-ил]-3-(2,5-диоксопирролидин-1-ил) пропан или его гидрохлоридная соль.
12. Способ по п.10, где указанным соединением является 1-[4-(2-метоксифенил)пиперазин-1-ил]-3-(2,6-диоксопиперидин-1-ил) пропан или его гидрохлоридная соль.
13. Способ лечения сосудистого заболевания, застойной сердечной недостаточности или гипертензии у млекопитающего, включающий введение указанному млекопитающему соединения, имеющего структуру формулы I
и его фармацевтически приемлемых солей, сложных эфиров,
где Y представляет О;
Q представляет СН;
X, Z и Z’ каждый независимо представляют СН или N;
m=0-1;
n=0-4;
R1 и R2 независимо выбирают из Н, F, Сl, Вr, ОСН3, OC2H5, ОСН2СF3, СН3, С2Н5, СF3, изопропилокси;
R3 представляет Н;
R4 и R5 представляют Н или фенил, за исключением того, что R1 представляет Н; R2 представляет Н, Сl или СF3; R3, R4 и R5 – Н, Y – O и Q – CH, если m=0 и n=1, и также за исключением того, что R1 представляет Н; R2 представляет ОСН3; R3, R4 и R5 – H, Y – O; Q – CH, если m=0 и n=2.
14 Способ по п.13 где указанное соединение имеет структуру формулы II
где n, X, Z, Z’, R1, R2 и R3 являются такими, как они были определены для формулы I;
m’=1 или 2, за исключением того, что R1 представляет Н; R2 представляет Н, Cl или СF3 и F3 представляет Н, если m’=1 и n=1, и также за исключением того, что R1 представляет Н; R2 представляет ОСН3 и R3 представляет Н, если m’=1, и n=2.
15. Способ по п.14, где указанным соединением является 1-[4-(2-метоксифенил)пиперазин-1-ил]-3-(2,5-диоксопирролидин-1-ил) пропан или его гидрохлоридная соль.
16. Способ по п.14, где указанным соединением является 1-[4-(2-метоксифенил)пиперазин-1-ил]-3-(2,6-диоксопиперидин-1-ил) пропан или его гидрохлоридная соль.
17. Способ получения соединения, имеющего структуру формулы
и его фармацевтически приемлемых солей, сложных эфиров,
где Y представляет О;
Q представляет СН;
X, Z и Z’ каждый независимо представляют СН или N;
m=0-1;
n=0-4;
R1 и R2 независимо выбирают из Н, F, Сl, Вr, ОСН3, OC2H5, ОСН2СF3, СН3, С2Н5, СF3, изопропилокси;
R3 представляет Н;
R4 и R5 представляют Н или фенил, за исключением того, что R1 представляет Н; R2 представляет Н, Сl или СF3; R3, R4 и R5 – Н, Y – O и Q – CH, если m=0 и n=1, и также за исключением того, что R1 представляет Н; R2 представляет ОСН3; R3, R4 и R5 – H, Y – O; Q – CH, если m=0 и n=2,
который включает взаимодействие соединения, имеющего структуру формулы III’
с соединением, имеющим структуру формулы IV
с получением соединения формулы I.
18. Способ по п.17 для получения соединения, имеющего структуру формулы II
где n, X, Z, Z’, R1, R2 и R3 являются такими, как они были определены для формулы I;
m’=1 или 2, за исключением того, что R1 представляет Н; R2 представляет Н, Cl или СF3 и F3 представляет Н, если m’=1 и n=1, и также за исключением того, что R1 представляет Н; R2 представляет ОСН3 и R3 представляет Н, если m’=1 и n=2,
который включает взаимодействие соединения, имеющего структуру формулы III
с указанным соединением формулы IV.
19. Способ получения соединения, имеющего структуру формулы
его фармацевтически приемлемых солей, сложных эфиров,
где Y представляет О;
Q представляет СН;
X, Z и Z’ каждый независимо представляют СН или N;
m=0-1;
n=0-4;
R1 и R2 независимо выбирают из Н, F, Сl, Вr, ОСН3, OC2H5, ОСН2СF3, СН3, С2Н5, СF3, изопропилокси;
R3 представляет Н;
R4 и R5 представляют Н или фенил, за исключением того, что R1 представляет Н; R2 представляет Н, Сl или СF3; R3, R4 и R5 – Н, Y – O и Q – CH, если m=0 и n=1, и также за исключением того, что R1 представляет Н; R2 представляет ОСН3; R3, R4 и R5 – H, Y – O, Q – CH, если m=0 и n=2,
который включает взаимодействие соединения, имеющего структуру формулы VI’
с соединением, имеющим структуру формулы V
с получением соединения формулы I.
20. Способ по п.19 для получения соединения, имеющего структуру формулы II
где n, X, Z, Z’, R1, R2 и R3 являются такими, как они были определены для формулы I;
m’=1 или 2, за исключением того, что R1 представляет Н; R2 представляет Н, Cl или СF3 и F3 представляет Н, если m’=1 и n=1, и также за исключением того, что R1 представляет Н; R2 представляет ОСН3 и R3 представляет Н, если m’=1, и n=2,
который включает взаимодействие соединения, имеющего структуру формулы VI
с указанным соединением формулы V.
21. Способ получения соединения, имеющего структуру формулы
его фармацевтически приемлемых солей, сложных эфиров,
где Y представляет О;
Q представляет СН;
X, Z и Z’ каждый независимо представляют СН или N;
m=0-1;
n=0-4;
R1 и R2 независимо выбирают из Н, F, Сl, Вr, ОСН3, OC2H5, ОСН2СF3, СН3, С2Н5, СF3, изопропилокси;
R3 представляет Н;
R4 и R5 представляют Н или фенил, за исключением того, что R1 представляет Н; R2 представляет Н, Сl или СF3; R3, R4 и R5 – Н, Y – O и Q – CH, если m=0 и n=1, и также за исключением того, что R1 представляет Н; R2 представляет ОСН3; R3, R4 и R5 – H, Y – O, Q – CH, если m=0 и n=2,
который включает взаимодействие соединения, имеющего структуру формулы VII’
с соединением, имеющим структуру формулы VIII
с получением соединения формулы I.
22. Способ по п.21 для получения соединения, имеющего структуру формулы II
где n, X, Z, Z’, R1, R2 и R3 являются такими, как они были определены для формулы I;
m’=1 или 2, за исключением того, что R1 представляет Н; R2 представляет Н, Cl или СF3 и F3 представляет Н, если m’=1 и n=1, и также за исключением того, что R1 представляет Н; R2 представляет ОСН3 и R3 представляет Н, если m’=1, и n=2,
где указанный способ включает взаимодействие соединения, имеющего структуру формулы VII
с указанным соединением формулы VIII.
РИСУНКИ
MM4A – Досрочное прекращение действия патента СССР или патента Российской Федерации на изобретение из-за неуплаты в установленный срок пошлины за поддержание патента в силе
Дата прекращения действия патента: 17.07.2006
Извещение опубликовано: 20.12.2007 БИ: 35/2007
|
||||||||||||||||||||||||||


1-адренорецепторам, и способам лечения доброкачественной гипертрофии предстательной железы, сосудистых заболеваний, застойной сердечной недостаточности и гипертензии. Технический результат – получение новых соединений, обладающих ценными фармацевтическими свойствами. 8 с. и 14 з.п. ф-лы, 6 табл.
Текст описания в факсимильном виде (см. графический материал)
и их фармацевтически приемлемые соли, сложные эфиры,
где Y представляет О;
Q представляет СН;
X, Z и Z’ каждый независимо представляют СН или N;
m=0-1;
n=0-4;
R1 и R2 независимо выбирают из Н, F, Cl, Вr, ОСН3, OC2H5, ОСН2СF3, СН3, С2Н5, СF3, изопропилокси;
R3 представляет Н;
R4 и R5 представляют Н или фенил,
за исключением того, что R1 представляет Н; R2 представляет Н, Сl или СF3;
R3, R4 и R5 – Н; Y – O и Q – CH, если m=0 и n=1, и также за исключением того, что R1 представляет Н; R2 представляет ОСН3; R3, R4 и R5 – H, Y – O; Q – CH, если m=0 и n=2.
2. Арилпиперазиновые производные по п.1, имеющие структуру формулы II
где n, X, Z, Z’, R1, R2 и R3 являются такими, как они были определены для формулы I;
m’=1 или 2, за исключением того, что R1 представляет Н; R2 представляет Н, Cl или СF3 и F3 представляет Н, если m’=1 и n=1, и также за исключением того, что R1 представляет Н, R2 представляет ОСН3 и R3 представляет Н, если m’=1 и n=2.
3. Соединение по п.1, выбранное из:
1-[4-(4-фторфенил)пиперазин-1-ил]-3-(2,5-диоксопирролидин-1-ил)пропана или его гидрохлоридной соли;
1-[4-(2-метоксифенил)пиперазин-1-ил]-3-(2,5-диоксопирролидин-1-ил)пропана или его гидрохлоридной соли;
1-[4-(2-пиридил)пиперазин-1-ил]-3-(2,5-диоксопирролидин-1-ил)пропана или его гидрохлоридной соли;
1-[4-(2-пиримидил)пиперазин-1-ил]-3-(2,5-диоксопирролидин-1-ил)пропана или его гидрохлоридной соли;
1-[4-(3,4-диметилфенил)пиперазин-1-ил]-3-(2,5-диоксопирролидин-1-ил)пропана или его гидрохлоридной соли;
1-[4-(2-метоксифенил)пиперазин-1-ил]-2-(2,5-диоксопирролидин-1-ил)этана или его гидрохлоридной соли;
1-[4-(3-метоксифенил)пиперазин-1-ил]-3-(2,5-диоксопирролидин-1-ил)пропана или его гидрохлоридной соли;
1-[4-(4-метоксифенил)пиперазин-1-ил]-3-(2,5-диоксопирролидин-1-ил)пропана или его гидрохлоридной соли;
1-[4-(2-метоксифенил) пиперазин-1-ил]-3-(2,6-диоксопиперидин-1-ил)пропана или его гидрохлоридной соли;
1-[4-(4-фторфенил) пиперазин-1-ил]-3-(2,6-диоксопиперидин-1-ил)пропана или его гидрохлоридной соли;
1-[4-(4-хлорфенил) пипераэин-1-ил]-3-(2,6-диоксопиперидин-1-ил)пропана или его гидрохлоридной соли;
1-[4-(3-трифторметилфенил)пиперазин-1-ил]-3-[2,6-диоксопиперидин-1-ил)пропана или его гидрохлоридной соли;
1-[4-(2-фторфенил)пипераэин-1-ил]-3-(2,6-диоксопиперидин-1-ил)пропана или его гидрохлоридной соли;
1-[4-(2-метилфенил) пиперазин-1-ил]-3-(2,6-диоксопиперидин-1-ил)пропана или его гидрохлоридной соли;
1-[4-(2-пиридил)пиперазин-1-ил]-3-(2,6-диоксопиперидин-1-ил)пропана или его гидрохлоридной соли;
1-[4-(3-хлорфенил)пиперазин-1-ил]-3-(2,6-диоксопиперидин-1-ил)пропана или его гидрохлоридной соли;
1-[4-(3,4-диметилфенил)пиперазин-1-ил]-3-(2,6-диоксопиперидин-1-ил)пропана или его гидрохлоридной соли;
1-[4-(2-пиримидил)пиперазин-1-ил]-3-(2,6-диоксопиперидин-1-ил)пропана или его гидрохлоридной соли;
1-[4-(3-метоксифенил)пиперазин-1-ил]-3-(2,6-диоксопиперидин-1-ил)пропана или его гидрохлоридной соли;
1-[4-(4-метоксифенил)пиперазин-1-ил]-3-(2,6-диоксопиперидин-1-ил)пропана или его гидрохлоридной соли;
1-[4-(2-метоксифенил)пиперазин-1-ил]-4-(2,6-диоксопиперидин-1-ил)бутана или его гидрохлоридной соли;
1-[4-(2-метоксифенил)пиперазин-1-ил]-3-[2,5-диоксо-3-фенилпирролидин-1-ил]пропана или его гидрохлоридная соль;
1-[4-(фенил)пиперидин-1-ил]-3-[2,5-диоксопирролидин-1-ил]пропана или его гидрохлоридной соли.
4. Фармацевтическая композиция, обладающая пролонгированной уроселективной антогонистической активностью в отношении к
и его фармацевтически приемлемых солей, сложных эфиров,
где Y представляет О;
Q представляет СН;
X, Z и Z’ каждый независимо представляют СН или N;
m=0-1;
n=0-4;
R1 и R2 независимо выбирают из Н, F, Сl, Вr, ОСН3, OC2H5, ОСН2СF3, СН3, С2Н5, СF3, изопропилокси;
R3 представляет Н;
R4 и R5 представляют Н или фенил, за исключением того, что R1 представляет Н; R2 представляет Н, Сl или СF3; R3, R4 и R5 – Н; Y = O и Q – CH, если m=0 и n=1, и также за исключением того, что R1 представляет Н; R2 представляет ОСН3; R3, R4 и R5 – H; Y – O; Q – CH, если m=0 и n=2.
6. Способ по п.5, где указанное соединение имеет структуру формулы II
где n, X, Z, Z’, R1, R2 и R3 являются такими, как они были определены для формулы I;
m’=1 или 2, за исключением того, что R1 представляет Н; R2 представляет Н, Cl или СF3 и F3 представляет Н, если m’=1 и n=1, и также за исключением того, что R1 представляет Н, R2 представляет ОСН3 и R3 представляет Н, если m’=1 и n=2.
7. Способ по п.6, где указанным соединением является 1-[4-(2-метоксифенил)пиперазин-1-ил]-3-(2,5-диоксопирролидин-1-ил) пропан или его гидрохлоридная соль.
8. Способ по п.6, где указанным соединением является 1-[4-(2-метоксифенил)пиперазин-1-ил]-3-(2,6-диоксопирролидин-1-ил) пропан или его гидрохлоридная соль.
9. Способ лечения доброкачественной гипертрофии предстательной железы у млекопитающего, включающий введение указанному млекопитающему соединения, имеющего структуру формулы I
и его фармацевтически приемлемых солей, сложных эфиров,
где Y представляет О;
Q представляет СН;
X, Z и Z’ каждый независимо представляют СН или N;
m=0-1;
n=0-4;
R1 и R2 независимо выбирают из Н, F, Сl, Вr, ОСН3, OC2H5, ОСН2СF3, СН3, С2Н5, СF3, изопропилокси;
R3 представляет Н;
R4 и R5 представляют Н или фенил, за исключением того, что R1 представляет Н;
R2 представляет Н, Сl или СF3; R3, R4 и R5 – Н, Y – O и Q – CH, если m=0 и n=1, и также за исключением того, что R1 представляет Н; R2 представляет ОСН3; R3, R4 и R5 – H, Y – O, Q=CH, если m=0 и n=2.
10. Способ по п.9, где указанное соединение имеет структуру формулы II
где n, X, Z, Z’, R1, R2 и R3 являются такими, как они были определены для формулы I;
m’=1 или 2, за исключением того, что R1 представляет Н; R2 представляет Н, Cl или СF3 и F3 представляет Н, если m’=1 и n=1, и также за исключением того, что R1 представляет Н, R2 представляет ОСН3 и R3 представляет Н, если m’=1, и n=2.
11. Способ по п.10, где указанным соединением является 1-[4-(2-метоксифенил)пиперазин-1-ил]-3-(2,5-диоксопирролидин-1-ил) пропан или его гидрохлоридная соль.
12. Способ по п.10, где указанным соединением является 1-[4-(2-метоксифенил)пиперазин-1-ил]-3-(2,6-диоксопиперидин-1-ил) пропан или его гидрохлоридная соль.
13. Способ лечения сосудистого заболевания, застойной сердечной недостаточности или гипертензии у млекопитающего, включающий введение указанному млекопитающему соединения, имеющего структуру формулы I
и его фармацевтически приемлемых солей, сложных эфиров,
где Y представляет О;
Q представляет СН;
X, Z и Z’ каждый независимо представляют СН или N;
m=0-1;
n=0-4;
R1 и R2 независимо выбирают из Н, F, Сl, Вr, ОСН3, OC2H5, ОСН2СF3, СН3, С2Н5, СF3, изопропилокси;
R3 представляет Н;
R4 и R5 представляют Н или фенил, за исключением того, что R1 представляет Н; R2 представляет Н, Сl или СF3; R3, R4 и R5 – Н, Y – O и Q – CH, если m=0 и n=1, и также за исключением того, что R1 представляет Н; R2 представляет ОСН3; R3, R4 и R5 – H, Y – O; Q – CH, если m=0 и n=2.
14 Способ по п.13 где указанное соединение имеет структуру формулы II
где n, X, Z, Z’, R1, R2 и R3 являются такими, как они были определены для формулы I;
m’=1 или 2, за исключением того, что R1 представляет Н; R2 представляет Н, Cl или СF3 и F3 представляет Н, если m’=1 и n=1, и также за исключением того, что R1 представляет Н; R2 представляет ОСН3 и R3 представляет Н, если m’=1, и n=2.
15. Способ по п.14, где указанным соединением является 1-[4-(2-метоксифенил)пиперазин-1-ил]-3-(2,5-диоксопирролидин-1-ил) пропан или его гидрохлоридная соль.
16. Способ по п.14, где указанным соединением является 1-[4-(2-метоксифенил)пиперазин-1-ил]-3-(2,6-диоксопиперидин-1-ил) пропан или его гидрохлоридная соль.
17. Способ получения соединения, имеющего структуру формулы
и его фармацевтически приемлемых солей, сложных эфиров,
где Y представляет О;
Q представляет СН;
X, Z и Z’ каждый независимо представляют СН или N;
m=0-1;
n=0-4;
R1 и R2 независимо выбирают из Н, F, Сl, Вr, ОСН3, OC2H5, ОСН2СF3, СН3, С2Н5, СF3, изопропилокси;
R3 представляет Н;
R4 и R5 представляют Н или фенил, за исключением того, что R1 представляет Н; R2 представляет Н, Сl или СF3; R3, R4 и R5 – Н, Y – O и Q – CH, если m=0 и n=1, и также за исключением того, что R1 представляет Н; R2 представляет ОСН3; R3, R4 и R5 – H, Y – O; Q – CH, если m=0 и n=2,
который включает взаимодействие соединения, имеющего структуру формулы III’
с соединением, имеющим структуру формулы IV
с получением соединения формулы I.
18. Способ по п.17 для получения соединения, имеющего структуру формулы II
где n, X, Z, Z’, R1, R2 и R3 являются такими, как они были определены для формулы I;
m’=1 или 2, за исключением того, что R1 представляет Н; R2 представляет Н, Cl или СF3 и F3 представляет Н, если m’=1 и n=1, и также за исключением того, что R1 представляет Н; R2 представляет ОСН3 и R3 представляет Н, если m’=1 и n=2,
который включает взаимодействие соединения, имеющего структуру формулы III
с указанным соединением формулы IV.
19. Способ получения соединения, имеющего структуру формулы
его фармацевтически приемлемых солей, сложных эфиров,
где Y представляет О;
Q представляет СН;
X, Z и Z’ каждый независимо представляют СН или N;
m=0-1;
n=0-4;
R1 и R2 независимо выбирают из Н, F, Сl, Вr, ОСН3, OC2H5, ОСН2СF3, СН3, С2Н5, СF3, изопропилокси;
R3 представляет Н;
R4 и R5 представляют Н или фенил, за исключением того, что R1 представляет Н; R2 представляет Н, Сl или СF3; R3, R4 и R5 – Н, Y – O и Q – CH, если m=0 и n=1, и также за исключением того, что R1 представляет Н; R2 представляет ОСН3; R3, R4 и R5 – H, Y – O, Q – CH, если m=0 и n=2,
который включает взаимодействие соединения, имеющего структуру формулы VI’
с соединением, имеющим структуру формулы V
с получением соединения формулы I.
20. Способ по п.19 для получения соединения, имеющего структуру формулы II
где n, X, Z, Z’, R1, R2 и R3 являются такими, как они были определены для формулы I;
m’=1 или 2, за исключением того, что R1 представляет Н; R2 представляет Н, Cl или СF3 и F3 представляет Н, если m’=1 и n=1, и также за исключением того, что R1 представляет Н; R2 представляет ОСН3 и R3 представляет Н, если m’=1, и n=2,
который включает взаимодействие соединения, имеющего структуру формулы VI
с указанным соединением формулы V.
21. Способ получения соединения, имеющего структуру формулы
его фармацевтически приемлемых солей, сложных эфиров,
где Y представляет О;
Q представляет СН;
X, Z и Z’ каждый независимо представляют СН или N;
m=0-1;
n=0-4;
R1 и R2 независимо выбирают из Н, F, Сl, Вr, ОСН3, OC2H5, ОСН2СF3, СН3, С2Н5, СF3, изопропилокси;
R3 представляет Н;
R4 и R5 представляют Н или фенил, за исключением того, что R1 представляет Н; R2 представляет Н, Сl или СF3; R3, R4 и R5 – Н, Y – O и Q – CH, если m=0 и n=1, и также за исключением того, что R1 представляет Н; R2 представляет ОСН3; R3, R4 и R5 – H, Y – O, Q – CH, если m=0 и n=2,
который включает взаимодействие соединения, имеющего структуру формулы VII’
с соединением, имеющим структуру формулы VIII
с получением соединения формулы I.
22. Способ по п.21 для получения соединения, имеющего структуру формулы II
где n, X, Z, Z’, R1, R2 и R3 являются такими, как они были определены для формулы I;
m’=1 или 2, за исключением того, что R1 представляет Н; R2 представляет Н, Cl или СF3 и F3 представляет Н, если m’=1 и n=1, и также за исключением того, что R1 представляет Н; R2 представляет ОСН3 и R3 представляет Н, если m’=1, и n=2,
где указанный способ включает взаимодействие соединения, имеющего структуру формулы VII
с указанным соединением формулы VIII.