Патент на изобретение №2221789
|
||||||||||||||||||||||||||
(54) ЗАМЕЩЕННЫЕ СУЛЬФОНИЛЦИАНАМИДЫ И ФАРМАЦЕВТИЧЕСКАЯ ПРЕПАРАТИВНАЯ ФОРМА
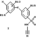
(57) Реферат: Описывают замещенные сульфонилцианамиды общей формулы (I), где Х означает R(1) – алкил с 1, 2, 3, 4, 5, 6, 7 или 8 С-атомами или СаН2а-фенил, причем фенильная часть не замещена, а = 0; R(2) и R(3) независимо друг от друга C1, CO-R(24), R(24) – водород, OR (26); R-(26) – алкил с 1, 2, 3, 4, 5, 6, 7 или 8 С-атомами или R(2) и R(3) независимо друг от друга -SOf-R(37); R(37) – алкил с 1, 2, 3, 4, 5, 6, 7 или 8 С-атомами; f = 0; Y – CR(16)R(17), SO2; R(16) – водород; R(17) – водород; R(13), R(14), R(15) – водород. Описывается фармацевтическая препаративная форма, являющаяся ингибитором натрийзависимого бикарбонат/хлоридного обмена, содержащая эффективное количество соединения формулы (1). Технический результат – соединения являются ингибиторами натрийзависимого бикарбонат/хлоридного обмена. 2 с. и 2.з.п. ф-лы.
Текст описания в факсимильном виде (см. графический материал)л
Формула изобретения 1. Замещенные сульфонилцианамиды общей формулы (I)
в которой Х означает
R(1) – алкил с 1, 2, 3, 4, 5, 6, 7 или 8 С-атомами или СаН2а-фенил, причем фенильная часть незамещена, а = 0;
R(2) и R(3) – независимо друг от друга Cl, CO-R(24), R(24) – водород, OR(26), R(26) – алкил с 1, 2, 3, 4, 5, 6, 7 или 8 С-атомами, или R(2) и R(3) независимо друг от друга -SOf-R(37), R(37) алкил с1, 2, 3, 4, 5, 6, 7 или 8 С-атомами, f = 0;
Y -CR(16)R(17), SO2, R(16) – водород, R(17) – водород;
R(13), R(14), R(15) – независимо друг от друга водород.
2. Замещенные сульфонилцианамиды общей формулы (I) по п.1, в которой Х означает
R(1) – алкил с 1, 2, 3 или 4 С-атомами или CaH2a-фенил, причем фенильная часть незамещена, а = 0;
R(2) и R(3) – независимо друг от друга Cl, CO-R(24), R(24) – водород, OR(26), R(26) – алкил с 1, 2, 3 или 4 С-атомами, или R(2) и R(3) – независимо друг от друга -SOf-R(37), R(37) – алкил с 1, 2, 3 или 4 С-атомами, f = 0;
Y -CR(16)R(17), SO2, R(16) – водород, R(17) – водород, R(13), R(14), R(15) – независимо друг от друга водород.
3. Замещенные сульфонилцианамиды общей формулы (I) по п.1 или 2, в качестве ингибитора натрийзависимого бикарбонат/хлоридного обмена.
4. Фармацевтическая препаративная форма, являющаяся ингибитором натрийзависимого бикарбонат/хлоридного обмена, отличающаяся тем, что она содержит эффективное количество соединения формулы (I).
РИСУНКИ
PD4A – Изменение наименования обладателя патента Российской Федерации на изобретение
(73) Новое наименование патентообладателя:
Извещение опубликовано: 27.12.2005 БИ: 36/2005
MM4A – Досрочное прекращение действия патента СССР или патента Российской Федерации на изобретение из-за неуплаты в установленный срок пошлины за поддержание патента в силе
Дата прекращения действия патента: 01.05.2007
Извещение опубликовано: 20.07.2010 БИ: 20/2010
|
||||||||||||||||||||||||||

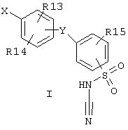
R(1) – алкил с 1, 2, 3, 4, 5, 6, 7 или 8 С-атомами или СаН2а-фенил, причем фенильная часть не замещена, а = 0; R(2) и R(3) независимо друг от друга C1, CO-R(24), R(24) – водород, OR (26); R-(26) – алкил с 1, 2, 3, 4, 5, 6, 7 или 8 С-атомами или R(2) и R(3) независимо друг от друга -SOf-R(37); R(37) – алкил с 1, 2, 3, 4, 5, 6, 7 или 8 С-атомами; f = 0; Y – CR(16)R(17), SO2; R(16) – водород; R(17) – водород; R(13), R(14), R(15) – водород. Описывается фармацевтическая препаративная форма, являющаяся ингибитором натрийзависимого бикарбонат/хлоридного обмена, содержащая эффективное количество соединения формулы (1). Технический результат – соединения являются ингибиторами натрийзависимого бикарбонат/хлоридного обмена. 2 с. и 2.з.п. ф-лы.
Текст описания в факсимильном виде (см. графический материал)л
в которой Х означает
R(1) – алкил с 1, 2, 3, 4, 5, 6, 7 или 8 С-атомами или СаН2а-фенил, причем фенильная часть незамещена, а = 0;
R(2) и R(3) – независимо друг от друга Cl, CO-R(24), R(24) – водород, OR(26), R(26) – алкил с 1, 2, 3, 4, 5, 6, 7 или 8 С-атомами, или R(2) и R(3) независимо друг от друга -SOf-R(37), R(37) алкил с1, 2, 3, 4, 5, 6, 7 или 8 С-атомами, f = 0;
Y -CR(16)R(17), SO2, R(16) – водород, R(17) – водород;
R(13), R(14), R(15) – независимо друг от друга водород.
2. Замещенные сульфонилцианамиды общей формулы (I) по п.1, в которой Х означает
R(1) – алкил с 1, 2, 3 или 4 С-атомами или CaH2a-фенил, причем фенильная часть незамещена, а = 0;
R(2) и R(3) – независимо друг от друга Cl, CO-R(24), R(24) – водород, OR(26), R(26) – алкил с 1, 2, 3 или 4 С-атомами, или R(2) и R(3) – независимо друг от друга -SOf-R(37), R(37) – алкил с 1, 2, 3 или 4 С-атомами, f = 0;
Y -CR(16)R(17), SO2, R(16) – водород, R(17) – водород, R(13), R(14), R(15) – независимо друг от друга водород.
3. Замещенные сульфонилцианамиды общей формулы (I) по п.1 или 2, в качестве ингибитора натрийзависимого бикарбонат/хлоридного обмена.
4. Фармацевтическая препаративная форма, являющаяся ингибитором натрийзависимого бикарбонат/хлоридного обмена, отличающаяся тем, что она содержит эффективное количество соединения формулы (I).