Патент на изобретение №2221787
|
||||||||||||||||||||||||||
(54) ПРОИЗВОДНЫЕ 3-ГИДРОКСИ-4-АРИЛ-5-ОКСОПИРАЗОЛИНА, ОБЛАДАЮЩИЕ ГЕРБИЦИДНЫМ ДЕЙСТВИЕМ, КОМПОЗИЦИЯ И СПОСОБ БОРЬБЫ С НЕЖЕЛАТЕЛЬНОЙ РАСТИТЕЛЬНОСТЬЮ
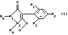
(57) Реферат: Описываются производные 3-гидрокси-4-арил-5-оксопиразолина формулы I ![]() в которой R1, R2 и R3 каждый независимо друг от друга обозначает атом галогена, C1-C4алкил, С2-С4алкенил, С2-С4алкинил, C1-С6алкокси; R4 и R5 совместно образуют группу -C-R14(R15)-C-R16(R17)-О-C-R18(R19)-C-R20(R21)-(Z2), в которой каждый из R14, R15, R16, R17, R18, R19, R20, R21 независимо друг от друга обозначает атом водорода или C1-C4алкил или где алкиленовое кольцо связано мостиком по месту кольцевого атома группы Z2; G обозначает водородный атом, -С(Х1)R30, -С(Х2)-Х3-R31; Х1, Х2 и Х3 каждый независимо друг от друга обозначает атом кислорода; a R30 и R31 каждый независимо друг от друга обозначает C1-С5алкил, а также соли и диастереоизомеры соединения формулы I и гербицидная композиция, содержащая соединение формулы I, способ борьбы с нежелательной растительностью. Описывается также гербицидная композиция селективного действия, включающая смесь гербицидно-эффективного количества соединения формулы I и эффективного количества являющегося антагонистом для гербицидов либо соединения формулы (X) ![]() либо соединения формулы (XI) ![]() либо соединения формулы (XII) ![]() либо соединения формулы (XVIII) ![]() Представлен также способ селективной борьбы с сорняками который включает обработку сельскохозяйственных культур гербицидно-эффективным количеством соединения (I) и эффективным количеством антагониста для гербицидов защитного агента формулы X, XI, XII, XVIII. 5 с. 10 з.п.ф-лы, 27 табл. Текст описания в факсимильном виде (см. графическую часть)а Формула изобретения 1. Производные 3-гидрокси-4-арил-5-оксопиразолина формулы I
в которой R1, R2 и R3 каждый независимо друг от друга обозначает атом галогена, С1-С4алкил, С2-С4алкенил, С2-С4алкинил, С3-С6циклоалкил, С1-С6алкокси, С1-С4алкилкарбонил и СН2ОН;
R4 и R5 совместно образуют группу -C-R14(R15)-C-R16(R17)-O-C-R18(R19)-C-R20(R21)- (Z2), в которой каждый из R14, R15, R16, R17, R18, R19, R20 и R21 независимо друг от друга обозначает атом водорода или С1-С4алкил, где алкиленовое кольцо связано мостиком по месту кольцевого атома группы Z2;
G обозначает водородный атом, -С(Х1)-R30, -C(X2)-X3-R31;
Х1, Х2 и Х3 каждый независимо друг от друга обозначает атом кислорода;
R30 и R31 каждый независимо друг от друга обозначает С1-С5алкил, а также соли и диастереоизомеры соединения формулы I.
2. Соединение по п.1, у которого G обозначает водородный атом.
3. Соединение по п.1, у которого один кольцевой атом группы 2 связан мостиковой связью с помощью алкиленового кольца, которое вместе с углеродными атомами группы Z2 включает 2-6 углеродных атомов и может прерываться кислородным атомом.
4. Соединение по п.1, у которого каждый из R1, R2 и R3 независимо друг от друга обозначает атом галогена, С1-С4алкил, С2-С4алкенил, С2-С4алкинил или С1-С6алкокси.
5. Соединение по п.1, у которого R2 обозначает атом галогена, метил, этил или этинил.
6. Соединение по п.1, у которого G обозначает группу -C(X1)-R30 или -C(X2)-(X3)-R31, у которой каждый из Х1, Х2 и Х3 обозначает атом кислорода, а каждый из R30 и R31 независимо друг от друга обозначает С1-С5алкил.
7. Соединение по п.1, у которого каждый из R1 и R3 независимо друг от друга обозначает метил, этил, изопропил, винил, аллил, этинил, метокси, атом брома.
8. Соединение по п.1, у которого каждый из R30 и R31 и R36 независимо друг от друга обозначает водородный атом, С1-С5алкил.
9. Гербицидная композиция, которая включает гербицидно эффективное количество соединения формулы I на инертном носителе.
10. Композиция по п.9, которая включает вводимые в емкость для распыления адъюванты.
11. Способ борьбы с нежелательной растительностью, в котором эти растения или место их произрастания обрабатывают гербицидно эффективным количеством действующего соединения формулы I или композиции, которая включает это действующее соединение.
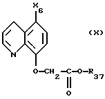
12. Гербицидная композиция селективного действия, которая в дополнение к обычным инертным вспомогательным компонентам для приготовления композиции, включает в качестве действующего вещества смесь а) гербицидно эффективного количества соединения формулы I и б) эффективного количества являющегося антагонистом для гербицидов либо соединения формулы X
в которой R37 обозначает водородный атом, С1-С6алкил или С1-С6алкокси- или С3-С6алкенилоксизамещенный С1-С8алкил;
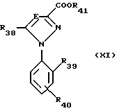
Х6 обозначает атом водорода или хлора, либо соединения формулы XI
в которой E обозначает азотный атом или метин;
R38 обозначает –ССl3, фенил или галозамещенный фенил;
R39 и R40 каждый независимо друг от друга обозначает атом водорода или галогена;
R41 обозначает С1-С4алкил,
либо соединения формулы XII
в которой R44 и R45 каждый независимо друг от друга обозначает атом водорода или галогена,
R46, R47 и R48 каждый независимо друг от друга обозначает С1-С4алкил,
либо соединения формулы XVIII
в которой R103 обозначает водородный атом, С1-С6алкил, С3-С6циклоалкил, С3-С6алкенил, С3-С6алкинил;
каждый из R104, R105 и R106 независимо друг от друга обозначает водородный атом, C1-С6алкил, С3-С6циклоалкил или С1-С6алкокси, при условии, что значения одного из заместителей R104, R105 и R106 отличны от водородного атома.
13. Композиция по п.12, которая включает эффективное количество являющегося антагонистом для гербицидов либо соединения формулы Х
в которой R37 обозначает водородный атом, С1-С8алкил или С1-С6алкокси- или С3-С6алкенилоксизамещенный С1-С8алкил, a X6 обозначает атом водорода или хлора, либо соединения формулы XI
в которой E обозначает азотный атом или метин;
R38 обозначает –ССl3, фенил или галозамещенный фенил;
R39 и R40 каждый независимо друг от друга обозначает атом водорода или галогена;
R41 обозначает С1-С4алкил,
либо соединения формулы XII
в которой R44 и R45 каждый независимо друг от друга обозначает атом водорода или галогена,
R46, R47 и R48 каждый независимо друг от друга обозначает С1-С4алкил.
14. Композиция по п.12, которая включает вводимые в емкость для распыления адъюванты.
15. Способ селективной борьбы с сорняками и травами среди сельскохозяйственных культур, который включает обработку этих сельскохозяйственных культур, их семян или рассады или участка, на котором их выращивают, гербицидно эффективным количеством гербицида формулы I и эффективным количеством являющегося антагонистом для гербицидов защитного агента формулы X, XI, XII и XVIII.
Приоритет по пунктам:
11.03.1999 по пп.1, 12, 14, 15;
13.03.1998 по пп.2, 9, 11, 13;
08.12.1998 по пп.3-8, 10.
РИСУНКИ
ND4A Продление срока действия патента Российской Федерации на изобретение
Дата, до которой продлен срок действия: 12.03.2024
пп. 1, 3-10, 12-14
Извещение опубликовано: 10.09.2010 БИ: 25/2010
|
||||||||||||||||||||||||||






в которой R1, R2 и R3 каждый независимо друг от друга обозначает атом галогена, С1-С4алкил, С2-С4алкенил, С2-С4алкинил, С3-С6циклоалкил, С1-С6алкокси, С1-С4алкилкарбонил и СН2ОН;
R4 и R5 совместно образуют группу -C-R14(R15)-C-R16(R17)-O-C-R18(R19)-C-R20(R21)- (Z2), в которой каждый из R14, R15, R16, R17, R18, R19, R20 и R21 независимо друг от друга обозначает атом водорода или С1-С4алкил, где алкиленовое кольцо связано мостиком по месту кольцевого атома группы Z2;
G обозначает водородный атом, -С(Х1)-R30, -C(X2)-X3-R31;
Х1, Х2 и Х3 каждый независимо друг от друга обозначает атом кислорода;
R30 и R31 каждый независимо друг от друга обозначает С1-С5алкил, а также соли и диастереоизомеры соединения формулы I.
2. Соединение по п.1, у которого G обозначает водородный атом.
3. Соединение по п.1, у которого один кольцевой атом группы 2 связан мостиковой связью с помощью алкиленового кольца, которое вместе с углеродными атомами группы Z2 включает 2-6 углеродных атомов и может прерываться кислородным атомом.
4. Соединение по п.1, у которого каждый из R1, R2 и R3 независимо друг от друга обозначает атом галогена, С1-С4алкил, С2-С4алкенил, С2-С4алкинил или С1-С6алкокси.
5. Соединение по п.1, у которого R2 обозначает атом галогена, метил, этил или этинил.
6. Соединение по п.1, у которого G обозначает группу -C(X1)-R30 или -C(X2)-(X3)-R31, у которой каждый из Х1, Х2 и Х3 обозначает атом кислорода, а каждый из R30 и R31 независимо друг от друга обозначает С1-С5алкил.
7. Соединение по п.1, у которого каждый из R1 и R3 независимо друг от друга обозначает метил, этил, изопропил, винил, аллил, этинил, метокси, атом брома.
8. Соединение по п.1, у которого каждый из R30 и R31 и R36 независимо друг от друга обозначает водородный атом, С1-С5алкил.
9. Гербицидная композиция, которая включает гербицидно эффективное количество соединения формулы I на инертном носителе.
10. Композиция по п.9, которая включает вводимые в емкость для распыления адъюванты.
11. Способ борьбы с нежелательной растительностью, в котором эти растения или место их произрастания обрабатывают гербицидно эффективным количеством действующего соединения формулы I или композиции, которая включает это действующее соединение.
12. Гербицидная композиция селективного действия, которая в дополнение к обычным инертным вспомогательным компонентам для приготовления композиции, включает в качестве действующего вещества смесь а) гербицидно эффективного количества соединения формулы I и б) эффективного количества являющегося антагонистом для гербицидов либо соединения формулы X
в которой R37 обозначает водородный атом, С1-С6алкил или С1-С6алкокси- или С3-С6алкенилоксизамещенный С1-С8алкил;
Х6 обозначает атом водорода или хлора, либо соединения формулы XI
в которой E обозначает азотный атом или метин;
R38 обозначает –ССl3, фенил или галозамещенный фенил;
R39 и R40 каждый независимо друг от друга обозначает атом водорода или галогена;
R41 обозначает С1-С4алкил,
либо соединения формулы XII
в которой R44 и R45 каждый независимо друг от друга обозначает атом водорода или галогена,
R46, R47 и R48 каждый независимо друг от друга обозначает С1-С4алкил,
либо соединения формулы XVIII
в которой R103 обозначает водородный атом, С1-С6алкил, С3-С6циклоалкил, С3-С6алкенил, С3-С6алкинил;
каждый из R104, R105 и R106 независимо друг от друга обозначает водородный атом, C1-С6алкил, С3-С6циклоалкил или С1-С6алкокси, при условии, что значения одного из заместителей R104, R105 и R106 отличны от водородного атома.
13. Композиция по п.12, которая включает эффективное количество являющегося антагонистом для гербицидов либо соединения формулы Х
в которой R37 обозначает водородный атом, С1-С8алкил или С1-С6алкокси- или С3-С6алкенилоксизамещенный С1-С8алкил, a X6 обозначает атом водорода или хлора, либо соединения формулы XI
в которой E обозначает азотный атом или метин;
R38 обозначает –ССl3, фенил или галозамещенный фенил;
R39 и R40 каждый независимо друг от друга обозначает атом водорода или галогена;
R41 обозначает С1-С4алкил,
либо соединения формулы XII
в которой R44 и R45 каждый независимо друг от друга обозначает атом водорода или галогена,
R46, R47 и R48 каждый независимо друг от друга обозначает С1-С4алкил.
14. Композиция по п.12, которая включает вводимые в емкость для распыления адъюванты.
15. Способ селективной борьбы с сорняками и травами среди сельскохозяйственных культур, который включает обработку этих сельскохозяйственных культур, их семян или рассады или участка, на котором их выращивают, гербицидно эффективным количеством гербицида формулы I и эффективным количеством являющегося антагонистом для гербицидов защитного агента формулы X, XI, XII и XVIII.
Приоритет по пунктам:
11.03.1999 по пп.1, 12, 14, 15;
13.03.1998 по пп.2, 9, 11, 13;
08.12.1998 по пп.3-8, 10.