Патент на изобретение №2221785
|
||||||||||||||||||||||||||
(54) ГЕТЕРОЦИКЛИЧЕСКОЕ ПРОИЗВОДНОЕ, ФАРМАЦЕВТИЧЕСКАЯ КОМПОЗИЦИЯ, ЕГО СОДЕРЖАЩАЯ, И ПРОМЕЖУТОЧНЫЙ ПРОДУКТ
(57) Реферат: Описываются новые гетероциклические соединения общей формулы I ![]() где R означает циано или нитрогруппу; R1 – атом водорода, атом галогена, циано, галоген(низший)алкил, низший алкил или R6-A-; R2 и R3 независимо означают атом водорода или низшую алкильную группу; R4 -атом водорода, низший алкил, -С(O)низший алкил, R3 – низший алкил, фенил (низший)алкил-О-, -С(O)-O-(низший)алкил, фенил, нафтил, фуранил, тиенил, пиридил, пиразинил, тиазолил, пиримидинил, изоксазолил, хинолил, бензофуразанил, бензоимидазолил, бензотмазолил, тетразолил, тетрагидрофуранил, морфолинил, тиоморфолинил или циклоалкил, которые могут быть замещены; R6 – низший алкил, возможно замещенный группой низший алкил-O-, N(R9)R10, где R9 и R10 вместе с атомом азота, к которому они присоединены, образуют морфолинил; k означает 1, 2, 3 и n означает 1; m означает 1 или 0; р означает 0,1 или 2; А -атом кислорода или NR8, где R8 – водород или низший алкил; Х -С(=O)- или -S(O)2-; Z1 и Z2 независимо означают СН или N; Y – простая связь, низший алкилен, -С(=O)-, при условии, что когда R5 – низший алкил, Y означает группу, иную, чем низший алкилен; или их соли, фармацевтическая композиция, их содержащая, и промежуточный продукт. Описываемые соединения могут найти применение в качестве антиандрогенных средств. 4 с. и 3 з.п.ф-лы, 13 табл. Текст описания в факсимильном виде (см. графическую часть)а Формула изобретения 1. Гетероциклическое производное, представленное следующей общей формулой (I), или его соль:
в которой R представляет собой циано или нитрогруппу,
R1 представляет собой атом водорода, атом галогена или циано, галогеннизшийалкил, низший алкил, R6-A-;
R2, R3 могут быть одинаковыми или различными, и означать атом водорода или низшую алкильную группу;
R4 представляет собой атом водорода, низший алкил, -С(О)- низший алкил;
R5 представляет собой низший алкил, фенилнизшийалкил-O-, С(О)-O-низшийалкил или фенил, нафтил, фуранил, тиенил, пиридил, пиразинил, тиазолил, пиримидинил, изоксазолил, хинолил, бензофуразанил, бензоимидазолил, бензотиазолил, тетразолил, тетрагидрофуранил, морфолинил, тиоморфолинил или циклоалкил, которые могут иметь группу-заместитель, выбранную из группы, включающей: атом галогена, галогеннизшийалкил, низший алкил, низший алкил-O, низший алкил-S-, низший алкил-S(О)-, низший алкил-S(O)2, сульфамоил, который может быть замещен одной или двумя низшими алкильными группами, галогеннизшийалкил-O-, циано, нитро, оксо, низший алкил-С(О)-, амино, который может быть замещен одной или двумя низшими алкильными группами или группой низший алкил-С(=O)- или низший алкил-O-С(=O)-, фенил-O-, фенил-С(О)-, амино-O-, карбамоил (который может быть замещен низшей алкильной группой), карбоксил, низший алкил-O-С(=O)-, морфолинил, морфолиноалкил-O-, имидазолил, циклопропил и ОН-группу;
R6 представляет собой низший алкил, который может быть замещен группой низший алкил-O-, N(R9)R10, где R9 и R10 вместе с атомом азота, к которому они присоединены, образуют морфолинил;
k означает 1, 2, 3;
n означает 1;
m означает 1 или 0;
р означает 0, 1 или 2;
А представляет собой атом кислорода или NR8, где R8 означает водород или низший алкил;
Х представляет собой -С(=O)- или -S(O)2-;
Z1 и Z2 могут быть одинаковыми или различными, и каждый означает СН или N;
Y представляет собой простую связь, низший алкилен, -С(=O)-, при условии, что когда R5 представляет собой низшую алкильную группу, Y представляет собой группу, иную, чем низший алкилен;
при условии, что (1) когда R1 представляет собой атом водорода, по меньшей мере один из R2 и R3 представляет собой низший алкил, (2) когда R представляет собой нитрогруппу, k означает 2 и m означает 0, по меньшей мере один из R2 и R3 представляет собой низший алкил, и (3) когда R представляет собой цианогруппу, Z1 представляет собой атом азота, Х представляет собой -С(=O)-, а n означает 1, k означает 2, и m означает 0, и R5 представляет собой метильную группу, то R1 представляет собой группу, иную, чем атом фтора.
2. Гетероциклическое производное или его соль по п.1, где R представляет собой цианогруппу.
3. Гетероциклическое производное или его соль по п.2, где R1 представляет собой атом галогена, циано, галогеннизший алкил, по меньшей мере один из R2 и R3 представляет собой низшую алкильную группу, R4 представляет собой атом водорода или низшую алкильную группу; R5 представляет собой фенил, нафтил, фуранил, тиенил, пиридил, пиразинил, тиазолил, пиримидинил, изоксазолил, хинолил, бензофуразанил, бензоимидазолил, бензотиазолил, тетразолил, тетрагидрофуранил, морфолинил, тиоморфолинил или циклоалкил, которые могут содержать группу-заместитель как определено в п.1, k означает 2, n означает 1, m означает 1, X представляет собой -С(=O)-группу, Y представляет собой простую связь; и Z1 или Z2 оба означают СН.
4. Соединение или его соль, выбранное из группы, включающей
(2R,5S)-4-(4-циано-3-трифторметилфенил)-N-(6-метокси-3-пиридил)-2,5-диметилпиперазин-1-карбоксамид,
(2R,5S)-N-(2-аминопиримидин-4-ил)-4-(4-циано-3-трифторметилфенил)-2,5-диметилпиперазин-1-карбоксамид,
(2R,5S)-4-(4-циано-3-трифторметилфенил)-2,5-диметил-N-(6-трифторметил-3-пиридил)пиперазин-1-карбоксамид,
(2R,5S)-4-(4-циано-3-трифторметилфенил)-N-(2-фтор-4-пиридил)-2,5-диметилпиперазин-1-карбоксамид, и
(2R,5S)-N-(2-бром-4-пиридил)-4-(4-циано-3-трифторметилфенил)-2,5-диметилпиперазин-1-карбоксамид.
5. Фармацевтическая композиция, обладающая антиандрогенным действием, которая включает в качестве активного ингредиента производное гетероцикла по п.1 или его соль.
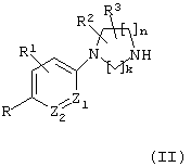
6. Гетероциклическое производное, представленное следующей общей формулой (II), или его соль
в которой группы имеют следующие значения: R представляет собой циано или нитрогруппу,
R1 представляет собой атом водорода, атом галогена, циано, галогеннизший алкил, низший алкил, R6-A-;
R2 и R3 могут быть одинаковыми или различными, и каждый означает атом водорода или низшую алкильную группу;
R6 представляет собой низший алкил, который может быть замещен N(R9)R10-, где R9 и R10 вместе с атомом азота к которому они присоединены могут образовывать морфолинил, или низший алкил-O-;
k означает 2 или 3;
n означает 1;
А представляет собой атом кислорода;
Z1 или Z2 одинаковы или различны и каждый обозначают СН или атом азота,
при условии, что (1) когда Z1=Z2=CH, n означает 1, и k означает 2: (i) когда R представляет собой CN, и R1 представляет собой атом галогена или цианогруппу, по меньшей мере один из R2 и R3 представляет собой группу, иную, чем атом водорода, (ii) когда R представляет собой CN, и R1 представляет собой атом водорода, то оба R2 и R3 не являются атомами водорода, или один из R2 и R3 представляет собой метильную группу, а другой представляет собой группу, которая является иной, чем атом водорода, (iii) когда R представляет собой нитрогруппу и R1 представляет собой метильную группу, метоксигруппу, СF3, по меньшей мере один из R2 и R3 представляет собой группу, которая является иной, чем атом водорода, (iv) когда R представляет собой нитрогруппу, и R1 представляет собой атом водорода, по меньшей мере один из R2 и R3 представляет собой группу, которая является иной, чем атом водорода и метильная группа, (v) когда R и R1 представляют собой нитрогруппу, по меньшей мере один из R2 и R3 представляет собой группу, которая является иной, чем атом водорода и метильная группа; (2) когда Z1=Z2=СH, n означает 1, и k означает 3: когда R представляет собой цианогруппу, и R1 представляет собой атом водорода, или когда R представляет собой нитрогруппу, и R1 представляет собой атом водорода, атом хлора, цианогруппу, трифторметильную или метильную группу, по меньшей мере один из R2 и R3 представляет собой группу, которая является иной, чем атом водорода; (3) когда Z1=N, Z2=СН, n означает 1, и k означает 2: когда R и R1 представляют собой нитрогруппу, по меньшей мере один из R2 и R3 представляет собой группу, которая является иной, чем атом водорода.
7. Гетероциклическое производное по п.6, в качестве промежуточного соединения для получения соединения по п.1.
РИСУНКИ
MM4A Досрочное прекращение действия патента Российской Федерации на изобретение из-за неуплаты в установленный срок пошлины за поддержание патента в силе
Дата прекращения действия патента: 22.09.2005
Извещение опубликовано: 20.10.2006 БИ: 29/2006
|
||||||||||||||||||||||||||


в которой R представляет собой циано или нитрогруппу,
R1 представляет собой атом водорода, атом галогена или циано, галогеннизшийалкил, низший алкил, R6-A-;
R2, R3 могут быть одинаковыми или различными, и означать атом водорода или низшую алкильную группу;
R4 представляет собой атом водорода, низший алкил, -С(О)- низший алкил;
R5 представляет собой низший алкил, фенилнизшийалкил-O-, С(О)-O-низшийалкил или фенил, нафтил, фуранил, тиенил, пиридил, пиразинил, тиазолил, пиримидинил, изоксазолил, хинолил, бензофуразанил, бензоимидазолил, бензотиазолил, тетразолил, тетрагидрофуранил, морфолинил, тиоморфолинил или циклоалкил, которые могут иметь группу-заместитель, выбранную из группы, включающей: атом галогена, галогеннизшийалкил, низший алкил, низший алкил-O, низший алкил-S-, низший алкил-S(О)-, низший алкил-S(O)2, сульфамоил, который может быть замещен одной или двумя низшими алкильными группами, галогеннизшийалкил-O-, циано, нитро, оксо, низший алкил-С(О)-, амино, который может быть замещен одной или двумя низшими алкильными группами или группой низший алкил-С(=O)- или низший алкил-O-С(=O)-, фенил-O-, фенил-С(О)-, амино-O-, карбамоил (который может быть замещен низшей алкильной группой), карбоксил, низший алкил-O-С(=O)-, морфолинил, морфолиноалкил-O-, имидазолил, циклопропил и ОН-группу;
R6 представляет собой низший алкил, который может быть замещен группой низший алкил-O-, N(R9)R10, где R9 и R10 вместе с атомом азота, к которому они присоединены, образуют морфолинил;
k означает 1, 2, 3;
n означает 1;
m означает 1 или 0;
р означает 0, 1 или 2;
А представляет собой атом кислорода или NR8, где R8 означает водород или низший алкил;
Х представляет собой -С(=O)- или -S(O)2-;
Z1 и Z2 могут быть одинаковыми или различными, и каждый означает СН или N;
Y представляет собой простую связь, низший алкилен, -С(=O)-, при условии, что когда R5 представляет собой низшую алкильную группу, Y представляет собой группу, иную, чем низший алкилен;
при условии, что (1) когда R1 представляет собой атом водорода, по меньшей мере один из R2 и R3 представляет собой низший алкил, (2) когда R представляет собой нитрогруппу, k означает 2 и m означает 0, по меньшей мере один из R2 и R3 представляет собой низший алкил, и (3) когда R представляет собой цианогруппу, Z1 представляет собой атом азота, Х представляет собой -С(=O)-, а n означает 1, k означает 2, и m означает 0, и R5 представляет собой метильную группу, то R1 представляет собой группу, иную, чем атом фтора.
2. Гетероциклическое производное или его соль по п.1, где R представляет собой цианогруппу.
3. Гетероциклическое производное или его соль по п.2, где R1 представляет собой атом галогена, циано, галогеннизший алкил, по меньшей мере один из R2 и R3 представляет собой низшую алкильную группу, R4 представляет собой атом водорода или низшую алкильную группу; R5 представляет собой фенил, нафтил, фуранил, тиенил, пиридил, пиразинил, тиазолил, пиримидинил, изоксазолил, хинолил, бензофуразанил, бензоимидазолил, бензотиазолил, тетразолил, тетрагидрофуранил, морфолинил, тиоморфолинил или циклоалкил, которые могут содержать группу-заместитель как определено в п.1, k означает 2, n означает 1, m означает 1, X представляет собой -С(=O)-группу, Y представляет собой простую связь; и Z1 или Z2 оба означают СН.
4. Соединение или его соль, выбранное из группы, включающей
(2R,5S)-4-(4-циано-3-трифторметилфенил)-N-(6-метокси-3-пиридил)-2,5-диметилпиперазин-1-карбоксамид,
(2R,5S)-N-(2-аминопиримидин-4-ил)-4-(4-циано-3-трифторметилфенил)-2,5-диметилпиперазин-1-карбоксамид,
(2R,5S)-4-(4-циано-3-трифторметилфенил)-2,5-диметил-N-(6-трифторметил-3-пиридил)пиперазин-1-карбоксамид,
(2R,5S)-4-(4-циано-3-трифторметилфенил)-N-(2-фтор-4-пиридил)-2,5-диметилпиперазин-1-карбоксамид, и
(2R,5S)-N-(2-бром-4-пиридил)-4-(4-циано-3-трифторметилфенил)-2,5-диметилпиперазин-1-карбоксамид.
5. Фармацевтическая композиция, обладающая антиандрогенным действием, которая включает в качестве активного ингредиента производное гетероцикла по п.1 или его соль.
6. Гетероциклическое производное, представленное следующей общей формулой (II), или его соль
в которой группы имеют следующие значения: R представляет собой циано или нитрогруппу,
R1 представляет собой атом водорода, атом галогена, циано, галогеннизший алкил, низший алкил, R6-A-;
R2 и R3 могут быть одинаковыми или различными, и каждый означает атом водорода или низшую алкильную группу;
R6 представляет собой низший алкил, который может быть замещен N(R9)R10-, где R9 и R10 вместе с атомом азота к которому они присоединены могут образовывать морфолинил, или низший алкил-O-;
k означает 2 или 3;
n означает 1;
А представляет собой атом кислорода;
Z1 или Z2 одинаковы или различны и каждый обозначают СН или атом азота,
при условии, что (1) когда Z1=Z2=CH, n означает 1, и k означает 2: (i) когда R представляет собой CN, и R1 представляет собой атом галогена или цианогруппу, по меньшей мере один из R2 и R3 представляет собой группу, иную, чем атом водорода, (ii) когда R представляет собой CN, и R1 представляет собой атом водорода, то оба R2 и R3 не являются атомами водорода, или один из R2 и R3 представляет собой метильную группу, а другой представляет собой группу, которая является иной, чем атом водорода, (iii) когда R представляет собой нитрогруппу и R1 представляет собой метильную группу, метоксигруппу, СF3, по меньшей мере один из R2 и R3 представляет собой группу, которая является иной, чем атом водорода, (iv) когда R представляет собой нитрогруппу, и R1 представляет собой атом водорода, по меньшей мере один из R2 и R3 представляет собой группу, которая является иной, чем атом водорода и метильная группа, (v) когда R и R1 представляют собой нитрогруппу, по меньшей мере один из R2 и R3 представляет собой группу, которая является иной, чем атом водорода и метильная группа; (2) когда Z1=Z2=СH, n означает 1, и k означает 3: когда R представляет собой цианогруппу, и R1 представляет собой атом водорода, или когда R представляет собой нитрогруппу, и R1 представляет собой атом водорода, атом хлора, цианогруппу, трифторметильную или метильную группу, по меньшей мере один из R2 и R3 представляет собой группу, которая является иной, чем атом водорода; (3) когда Z1=N, Z2=СН, n означает 1, и k означает 2: когда R и R1 представляют собой нитрогруппу, по меньшей мере один из R2 и R3 представляет собой группу, которая является иной, чем атом водорода.
7. Гетероциклическое производное по п.6, в качестве промежуточного соединения для получения соединения по п.1.