Патент на изобретение №2221783
|
||||||||||||||||||||||||||
(54) ЗАМЕЩЕННЫЕ БЕНЗАМИДЫ
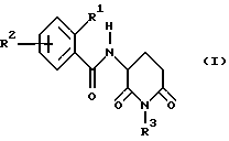
(57) Реферат: Изобретение относится к новым бензамидам ф-лы (I) ![]() где R1 представляет группу COOR4, где R4 – неразветвленный или разветвленный C1-С6-алкил, или CONR5R6, где R5 и R6 – C1-С6-алкил или вместе с атомом азота обозначают пирролидиновое, пиперидиновое, гексаметилениминное или морфолиновое кольцо, 2 представляет хлор, фтор, CF3, C1-С3-алкил или водород, R3 представляет гидроксильную группу, C1-С6-алкил или -алкоксил или группу CH2-NR5R6, где R5 и R6 имеют вышеуказанные значения. Соединения формулы (I) обладают иммуномодулирующей активностью и могут быть использованы в медицине. 1 з.п. ф-лы, 2 табл. Текст описания в факсимильном виде (см. графический материал)н Формула изобретения 1. Замещенные бензамиды формулы I
в которой R1 представляет собой группу формулы СОOR4, где R4 представляет собой прямоцепной либо разветвленный алкильный остаток с 1-6 С-атомами, или группу формулы CONR5R6, где R5 и R6 имеют идентичные либо разные значения и обозначают алкильную группу с 1-6 С-атомами (прямоцепную либо разветвленную) или вместе с N-атомом обозначают пирролидиновое, пиперидиновое, гексаметилениминное либо морфолиновое кольцо,
R2 обозначает хлор, фтор, CF3, алкильный остаток с 1-3 С-атомами или водород и
R3 представляет собой гидроксильную группу, алкильный либо алкоксильный остаток с 1-6 С-атомами (прямоцепной либо разветвленный и необязательно замещенный ОН-, алкоксильной, сложноэфирной группой или амидной группой с разомкнутой цепью либо циклической амидной группой с 1-6 С-атомами) или остаток CH2-NR5R6, где R5 и R6 имеют указанные выше значения.
2. Замещенный бензамид формулы I по п.1, отличающийся тем, что R1 представляет собой группу формулы COOR4, в которой R4 представляет собой прямоцепной либо разветвленный алкильный остаток с 1-6 С-атомами, или группу формулы CONR5R6, в которой R5 и R6 вместе с N-атомом обозначают морфолиновое кольцо, R2 является водородом, а R3 представляет собой гидроксильную группу или остаток CH2-NR5R6, в котором R5 и R6 вместе с N-атомом обозначают морфолиновое кольцо.
РИСУНКИ
|
||||||||||||||||||||||||||


в которой R1 представляет собой группу формулы СОOR4, где R4 представляет собой прямоцепной либо разветвленный алкильный остаток с 1-6 С-атомами, или группу формулы CONR5R6, где R5 и R6 имеют идентичные либо разные значения и обозначают алкильную группу с 1-6 С-атомами (прямоцепную либо разветвленную) или вместе с N-атомом обозначают пирролидиновое, пиперидиновое, гексаметилениминное либо морфолиновое кольцо,
R2 обозначает хлор, фтор, CF3, алкильный остаток с 1-3 С-атомами или водород и
R3 представляет собой гидроксильную группу, алкильный либо алкоксильный остаток с 1-6 С-атомами (прямоцепной либо разветвленный и необязательно замещенный ОН-, алкоксильной, сложноэфирной группой или амидной группой с разомкнутой цепью либо циклической амидной группой с 1-6 С-атомами) или остаток CH2-NR5R6, где R5 и R6 имеют указанные выше значения.
2. Замещенный бензамид формулы I по п.1, отличающийся тем, что R1 представляет собой группу формулы COOR4, в которой R4 представляет собой прямоцепной либо разветвленный алкильный остаток с 1-6 С-атомами, или группу формулы CONR5R6, в которой R5 и R6 вместе с N-атомом обозначают морфолиновое кольцо, R2 является водородом, а R3 представляет собой гидроксильную группу или остаток CH2-NR5R6, в котором R5 и R6 вместе с N-атомом обозначают морфолиновое кольцо.