Патент на изобретение №2221782
|
||||||||||||||||||||||||||
(54) ЗАМЕЩЕННЫЕ ЦИКЛИЧЕСКИЕ АМИНОВЫЕ ИНГИБИТОРЫ МЕТАЛЛОПРОТЕАЗ
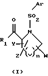
(57) Реферат: Изобретение относится к замещенным циклическим аминовым соединениям формулы (I) ![]() где Ar представляет тиенил, замещенный пиридином, фенил незамещенный или замещенный галогеном, гидрокси, алкокси, C1-C4 алкилом, фенилокси, NO2 или фенилом; R1 представляет NHOR2, где R2 представляет водород; W представляет один или несколько атомов водорода; Y представляет независимо один или несколько членов группы, состоящей из гидрокси, SR3, алкокси, NR6R7, где R6 и R7 независимо выбраны из водорода, алкила, пиридилалкила, SO2R8, COR9, или R6 и R7 могут быть объединены с образованием кольца, содержащего азот, с которым они связаны, формулы где Y’ означает СН2, О, SO2; R3 представляет водород, алкил, арил, бензотиазолил, пиразинил, N-метилимидазолил; R8 представляет C1-C4 алкил, фенил; R9 представляет водород, алкил, фенил; Z представляет водород; n = 1, и его оптический изомер, диастереомер, или энантиомер, или его фармацевтически приемлемая соль. Соединения I являются ингибиторами металлопротеаз, что позволяет использовать их для предупреждения и лечения заболевания, связанного с повышенной активностью металлопротеаз. 3 с. и 8 з.п. ф-лы, 15 табл. Текст описания в факсимильном виде (см. графическую часть)сФормула изобретения 1. Замещенные циклические аминовые соединения, имеющие структуру, соответствующую формуле (I)
где Ar представляет тиенил, замещенный пиридином, фенил незамещенный или замещенный галогеном, гидрокси, алкокси, C1-C4алкилом, фенилокси, NO2 или фенилом;
R1 представляет NHOR2, где R2 представляет водород;
W представляет один или несколько атомов водорода;
Y представляет независимо один или несколько членов группы, состоящей из гидрокси, SR3, алкокси, NR6R7, где R6 и R7 независимо выбраны из водорода, алкила, пиридилалкила, SO2R8, COR9, или R6 и R7 могут быть объединены с образованием кольца, содержащего азот, с которым они связаны, формулы
где Y’ означает СН2, О, SO2;
R3 представляет водород, алкил, арил, бензотиазолил, пиразинил, N-метилимидазолил;
R8 представляет C1-C4алкил, фенил;
R9 представляет водород, алкил, фенил;
Z представляет водород;
n равно 1,
и его оптический изомер, диастереомер, или энантиомер, или его фармацевтически приемлемая соль.
2. Соединение по п.1, которое имеет структуру
где Ar представляет тиенил, замещенный пиридином, фенил незамещенный или замещенный галогеном, гидрокси, алкокси, C1-C4алкилом, фенилокси, NO2 или фенилом;
R1 представляет NHOR2, где R2 представляет водород;
W представляет один или несколько атомов водорода;
Y представляет независимо один или несколько членов группы, состоящей из гидрокси, SR3, алкокси, NR6R7, где R6 и R7 независимо выбраны из водорода, алкила, пиридилалкила, SO2R8, COR9, или R6 и R7 могут быть объединены с образованием кольца, содержащего азот, с которым они связаны, формулы
где Y’ означает СН2, О, SO2;
R3 представляет водород, алкил, арил, бензотиазолил, пиразинил, N-метилимидазолил;
R8 представляет C1-C4алкил, фенил;
R9 представляет водород, алкил, фенил;
Z представляет водород;
n равно 1,
и его оптический изомер, диастереомер, или энантиомер, или его фармацевтически приемлемая соль.
3. Соединение по любому из предшествующих пунктов, в котором Ar представляет фенил, незамещенный или замещенный галогеном, гидрокси, алкокси, C1-C4алкилом, фенилокси, NO2 или фенилом.
4. Соединение по любому из предшествующих пунктов, в котором Ar представляет фенил, замещенный гидрокси, алкокси, NO2 или галогеном.
5. Соединение по любому из предшествующих пунктов, в котором Y представляет независимо один или несколько членов группы, состоящей из гидрокси, алкокси, NR6R7, где R6 и R7 независимо выбраны из водорода, алкила, пиридилалкила, SO2R8, COR9.
6. Соединение по любому из предшествующих пунктов, в котором Y представляет независимо один или несколько членов группы, состоящей из гидрокси и NR6R7, где R6 и R7 независимо выбраны из водорода, алкила, пиридилалкила, SO2R8, COR9.
7. Соединение по любому из предшествующих пунктов, которое выбрано из:
(1N)-4-метоксифенилсульфонил-(2R)-N-гидроксикарбоксамидо-(4S)-гидроксипирролидина;
(1N)-4-метоксифенилсульфонил-(2S)-N-гидроксикарбоксамидо-(4R)-гидроксипирролидина;
(1N)-4-метоксифенилсульфонил-(2S)-N-гидроксикарбоксамидо-(4S)-гидроксипирролидина;
(1N)-4-метоксифенилсульфонил-(2R)-N-гидроксикарбоксамидо-(4S)-метоксипирролидина;
(1N)-4-метоксифенилсульфонил-(2 R)-N-гидроксикарбоксамидо-(4S)-(2-меркаптобензотиазолил)пирролидина;
(1N)-4-метоксифенилсульфонил-(2R)-N-гидроксикарбоксамидо-(4R)-(2-меркаптобензотиазолил)пирролидина;
(1N)-4-метоксифенилсульфонил-(2R)-N-гидроксикарбоксамидо-(4S)-[(1N)-метил-2-меркаптоимидазолил]пирролидина;
(1N)-4-метоксифенилсульфонил-(2R)-N-гидроксикарбоксамидо-(4R)-[(1N)-метил-2-меркаптоимидазолил]пирролидина;
(1N)-4-метоксифенилсульфонил-(2R)-N-гидроксикарбоксамидо-(4S)-феноксипирролидина;
(1N)-4-метоксифенилсульфонил-(2R)-N-гидроксикарбоксамидо-(4S)-меркаптофенилпирролидина;
(1N)-4-метоксифенилсульфонил-(2R)-N-гидроксикарбоксамидо-(4S)-(н-гексиламино)пирролидина;
(1N)-4-метоксифенилсульфонил-(2R)-гидроксикарбоксамидо-(4S)-тиопирролидина;
(±)-(1N)-4-метоксифенилсульфонил-(2R)-N-гидроксикарбоксамидо-(3S)-фенилпирролидина;
(1N)-4-мeтилфeнилcульфoнил-(2R)-N-гидpoкcикapбoкcaмидo-(4S)-гидроксипирролидина;
(1N)-3,4-диметоксифенилсульфонил-(2R)-N-гидроксикарбоксамидо-(4R)-гидроксипирролидина;
(1N)-(2-нитро-4-метоксифенилсульфонил)-(2R)-N-гидроксикарбоксамидо-(4R)-гидроксипирролидина;
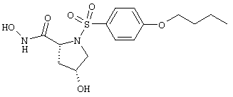
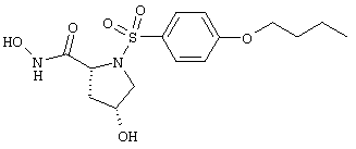
(1N)-4-н-бутоксифенилсульфонил-(2R)-N-гидроксикарбоксамидо-(4R)-гидроксипирролидина;
(1N)-4-н-бутоксифенилсульфонил-(2R)-N-гидроксикарбоксамидо-(4S)-гидроксипирролидина;
(1N)-4-н-бутоксифенилсульфонил-(2R)-N-гидроксикарбоксамидо-(4S)-(2-меркаптобензотиазолил)пирролидина;
(1N)-(2-нитро-4-метоксифенилсульфонил)-(2R)-N-гидроксикарбоксамидо-(4S)-(2-меркаптобензотиазолил)пирролидина.
8. Соединение по любому из пп.1-3, которое выбрано из:
(1N)-4-феноксифенилсульфонил-(2R)-N-гидроксикарбоксамидо-(4R)-гидроксипирролидина:
(1N)-4-н-бутоксифенилсульфонил-(2R)-N-гидроксикарбоксамидо-(4R)-гидроксипирролидина:
(1N)-4-н-бутоксифенилсульфонил-(2R)-N-гидроксикарбоксамидо-(4S)-гидроксипирролидина:
(1N)-4-н-бутоксифенилсульфонил-(2R)-N-гидроксикарбоксамидо-(4S)-морфолинопирролидина:
9. Соединение по любому из предшествующих пунктов для изготовления фармацевтической композиции, ингибирующей металлопротеазы.
10. Способ предупреждения или лечения заболевания, связанного с повышенной активностью металлопротеаз у млекопитающего, путем введения эффективного количества соединения по любому из пп.1-9.
11. Способ ингибирования металлопротеазы при лечении скелетно-мышечного заболевания или кахексии путем введения млекопитающему, нуждающемуся в таком лечении, эффективного количества ингибитора металлопротеаз по любому из пп.1-9.
РИСУНКИ
MM4A – Досрочное прекращение действия патента СССР или патента Российской Федерации на изобретение из-за неуплаты в установленный срок пошлины за поддержание патента в силе
Дата прекращения действия патента: 23.08.2006
Извещение опубликовано: 20.12.2007 БИ: 35/2007
|
||||||||||||||||||||||||||


где Ar представляет тиенил, замещенный пиридином, фенил незамещенный или замещенный галогеном, гидрокси, алкокси, C1-C4алкилом, фенилокси, NO2 или фенилом;
R1 представляет NHOR2, где R2 представляет водород;
W представляет один или несколько атомов водорода;
Y представляет независимо один или несколько членов группы, состоящей из гидрокси, SR3, алкокси, NR6R7, где R6 и R7 независимо выбраны из водорода, алкила, пиридилалкила, SO2R8, COR9, или R6 и R7 могут быть объединены с образованием кольца, содержащего азот, с которым они связаны, формулы
где Y’ означает СН2, О, SO2;
R3 представляет водород, алкил, арил, бензотиазолил, пиразинил, N-метилимидазолил;
R8 представляет C1-C4алкил, фенил;
R9 представляет водород, алкил, фенил;
Z представляет водород;
n равно 1,
и его оптический изомер, диастереомер, или энантиомер, или его фармацевтически приемлемая соль.
2. Соединение по п.1, которое имеет структуру
где Ar представляет тиенил, замещенный пиридином, фенил незамещенный или замещенный галогеном, гидрокси, алкокси, C1-C4алкилом, фенилокси, NO2 или фенилом;
R1 представляет NHOR2, где R2 представляет водород;
W представляет один или несколько атомов водорода;
Y представляет независимо один или несколько членов группы, состоящей из гидрокси, SR3, алкокси, NR6R7, где R6 и R7 независимо выбраны из водорода, алкила, пиридилалкила, SO2R8, COR9, или R6 и R7 могут быть объединены с образованием кольца, содержащего азот, с которым они связаны, формулы
где Y’ означает СН2, О, SO2;
R3 представляет водород, алкил, арил, бензотиазолил, пиразинил, N-метилимидазолил;
R8 представляет C1-C4алкил, фенил;
R9 представляет водород, алкил, фенил;
Z представляет водород;
n равно 1,
и его оптический изомер, диастереомер, или энантиомер, или его фармацевтически приемлемая соль.
3. Соединение по любому из предшествующих пунктов, в котором Ar представляет фенил, незамещенный или замещенный галогеном, гидрокси, алкокси, C1-C4алкилом, фенилокси, NO2 или фенилом.
4. Соединение по любому из предшествующих пунктов, в котором Ar представляет фенил, замещенный гидрокси, алкокси, NO2 или галогеном.
5. Соединение по любому из предшествующих пунктов, в котором Y представляет независимо один или несколько членов группы, состоящей из гидрокси, алкокси, NR6R7, где R6 и R7 независимо выбраны из водорода, алкила, пиридилалкила, SO2R8, COR9.
6. Соединение по любому из предшествующих пунктов, в котором Y представляет независимо один или несколько членов группы, состоящей из гидрокси и NR6R7, где R6 и R7 независимо выбраны из водорода, алкила, пиридилалкила, SO2R8, COR9.
7. Соединение по любому из предшествующих пунктов, которое выбрано из:
(1N)-4-метоксифенилсульфонил-(2R)-N-гидроксикарбоксамидо-(4S)-гидроксипирролидина;
(1N)-4-метоксифенилсульфонил-(2S)-N-гидроксикарбоксамидо-(4R)-гидроксипирролидина;
(1N)-4-метоксифенилсульфонил-(2S)-N-гидроксикарбоксамидо-(4S)-гидроксипирролидина;
(1N)-4-метоксифенилсульфонил-(2R)-N-гидроксикарбоксамидо-(4S)-метоксипирролидина;
(1N)-4-метоксифенилсульфонил-(2 R)-N-гидроксикарбоксамидо-(4S)-(2-меркаптобензотиазолил)пирролидина;
(1N)-4-метоксифенилсульфонил-(2R)-N-гидроксикарбоксамидо-(4R)-(2-меркаптобензотиазолил)пирролидина;
(1N)-4-метоксифенилсульфонил-(2R)-N-гидроксикарбоксамидо-(4S)-[(1N)-метил-2-меркаптоимидазолил]пирролидина;
(1N)-4-метоксифенилсульфонил-(2R)-N-гидроксикарбоксамидо-(4R)-[(1N)-метил-2-меркаптоимидазолил]пирролидина;
(1N)-4-метоксифенилсульфонил-(2R)-N-гидроксикарбоксамидо-(4S)-феноксипирролидина;
(1N)-4-метоксифенилсульфонил-(2R)-N-гидроксикарбоксамидо-(4S)-меркаптофенилпирролидина;
(1N)-4-метоксифенилсульфонил-(2R)-N-гидроксикарбоксамидо-(4S)-(н-гексиламино)пирролидина;
(1N)-4-метоксифенилсульфонил-(2R)-гидроксикарбоксамидо-(4S)-тиопирролидина;
(±)-(1N)-4-метоксифенилсульфонил-(2R)-N-гидроксикарбоксамидо-(3S)-фенилпирролидина;
(1N)-4-мeтилфeнилcульфoнил-(2R)-N-гидpoкcикapбoкcaмидo-(4S)-гидроксипирролидина;
(1N)-3,4-диметоксифенилсульфонил-(2R)-N-гидроксикарбоксамидо-(4R)-гидроксипирролидина;
(1N)-(2-нитро-4-метоксифенилсульфонил)-(2R)-N-гидроксикарбоксамидо-(4R)-гидроксипирролидина;
(1N)-4-н-бутоксифенилсульфонил-(2R)-N-гидроксикарбоксамидо-(4R)-гидроксипирролидина;
(1N)-4-н-бутоксифенилсульфонил-(2R)-N-гидроксикарбоксамидо-(4S)-гидроксипирролидина;
(1N)-4-н-бутоксифенилсульфонил-(2R)-N-гидроксикарбоксамидо-(4S)-(2-меркаптобензотиазолил)пирролидина;
(1N)-(2-нитро-4-метоксифенилсульфонил)-(2R)-N-гидроксикарбоксамидо-(4S)-(2-меркаптобензотиазолил)пирролидина.
8. Соединение по любому из пп.1-3, которое выбрано из:
(1N)-4-феноксифенилсульфонил-(2R)-N-гидроксикарбоксамидо-(4R)-гидроксипирролидина:
(1N)-4-н-бутоксифенилсульфонил-(2R)-N-гидроксикарбоксамидо-(4R)-гидроксипирролидина:
(1N)-4-н-бутоксифенилсульфонил-(2R)-N-гидроксикарбоксамидо-(4S)-гидроксипирролидина:
(1N)-4-н-бутоксифенилсульфонил-(2R)-N-гидроксикарбоксамидо-(4S)-морфолинопирролидина:
9. Соединение по любому из предшествующих пунктов для изготовления фармацевтической композиции, ингибирующей металлопротеазы.
10. Способ предупреждения или лечения заболевания, связанного с повышенной активностью металлопротеаз у млекопитающего, путем введения эффективного количества соединения по любому из пп.1-9.
11. Способ ингибирования металлопротеазы при лечении скелетно-мышечного заболевания или кахексии путем введения млекопитающему, нуждающемуся в таком лечении, эффективного количества ингибитора металлопротеаз по любому из пп.1-9.