Патент на изобретение №2221776
|
||||||||||||||||||||||||||
(54) N, N-ДИМЕТИЛ-N-АЛКИЛ-N-[АЛКОКСИПОЛИ(ЭТИЛЕНОКСИ)КАРБОНИЛМЕТИЛ]АММОНИЙ ХЛОРИДЫ, ОБЛАДАЮЩИЕ ФУНГИСТАТИЧЕСКОЙ И БАКТЕРИЦИДНОЙ АКТИВНОСТЬЮ, А ТАКЖЕ СВОЙСТВАМИ ПРИСАДОК, РЕГУЛИРУЮЩИХ ВЯЗКОУПРУГИЕ СВОЙСТВА АССОЦИИРОВАННЫХ МУЛЬТИКОМПОНЕНТНЫХ НЕФТЯНЫХ СИСТЕМ, И СПОСОБ ИХ ПОЛУЧЕНИЯ
(57) Реферат: Изобретение относится к новым N,N-диметил-N-алкил-N-[алкоксиполи(этиленокси)карбонилметил] аммоний хлоридам общей формулы (1), где R1, R2 – алифатический углеводородный радикал, содержащий 10-16 атомов углерода; n – средняя степень оксиэтилирования, равная 3, обладающим фунгистатической и бактерицидной активностью, а также являющимся присадками, регулирующими вязкоупругие свойства ассоциированных мультикомпонентных нефтяных систем. Изобретение также относится к способу получения соединений формулы (1) взаимодействием монохлоруксусной кислоты с алкоксиполиэтиленгликолем общей формулы R1O(CH2CH2O)nH, где R1 – алифатический углеводородный радикал, содержащий 10-16 атомов углерода. 2 с. и 2 з.п. ф-лы, 3 табл.
Изобретение относится к органической химии, а именно к синтезу не известных ранее четвертичных аммониевых соединений типа N-алкоксиполи(этиленокси)карбонилметил] аммоний хлоридов, обладающих фунгистатической и бактерицидной активностью, а также являющихся присадками, регулирующими вязкоупругие свойства ассоциированных мультикомпонентных нефтяных систем, которые могут быть использованы для борьбы с грибковыми и бактериальными поражениями в медицине, ветеринарии и сельском хозяйстве, а также для улучшения реологических свойств нефтяных дисперсий в нефтяной и нефтехимической промышленности.
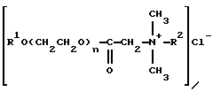
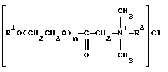
Особенностью предлагаемых аммониевых соединений является то, что они содержат алкоксиполи(этиленокси)карбонилметиловые радикалы формулы![]() включающие сложноэфирные, полиоксиэтильные и алкилоксильные фрагменты, где алкилами являются длинноцепочечные углеводородные радикалы. Известны четвертичные аммониевые соединения типа N, N,N-триэтил-N-[алкилоксикарбонилметил] аммоний хлоридов общей формулы
Известны четвертичные аммониевые соединения, содержащие полиоксиэтильные фрагменты, общей формулы![]() [Стефанович Е. В. , Гершенович А.И., Чернявская М.А. и др. Применение алкилди-
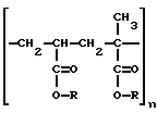
Наиболее близкими по структуре к предлагаемым соединениям являются N-[изононилфеноксиполи(этиленокси)карбонилметил]аммоний хлориды, общей формулы![]() [Пат. 1531416 РФ, МКИ С 07 С 87/30, Фахретдинов П.С., Романов Г.В. и др. Способ получения ингибиторов коррозии углеродистых сталей в минерализованных сероводородсодержащих водных средах, проявляющих фунгистатическое, бактериостатическое и дезинфицирующее действие]. Известно, что целый ряд четвертичных аммониевых соединений обладает фунгистатической и бактерицидной активностью. Так, например, четвертичное аммониевое соединение, используемое в медицине под названием “этоний”, содержащее в своей структуре сложноэфирные группировки с длинноцепочечными алкилами и являющееся N,N,NI,NI-тeтpaмeтил-N,NI-ди[(aлкилoкcикapбoнилмeтил)aммoний]этилeн дихлоридом, формулы ![]() обладает бактериостатической и бактерицидной активностью [Машковский М. Д. Лекарственные средства. Изд. 12-е. Часть 2. М.: Медицина, 1993, С.4765]. Недостатком этого препарата является его невысокая бактерицидная активность и отсутствие фунгистатического и фунгицидного действия. Наиболее близким к предлагаемым нами аммониевым соединениям по назначению является “Препарат Ф-761”, представляющий собой четвертичное аммониевое соединение типа – N,N-[диметил-N-алкил-N-[изононилфеноксиполи(этиленокси)карбонилметил]аммоний хлорид фракции C10-C16 формулы ![]() где R – алифатический углеводородный радикал, содержащий 10-16 атомов углерода; n – средняя степень оксиэтилирования, равная 10; обладающий бактеристатической, бактерицидной и фунгистатической активностью (структурный аналог) [Пат. 1531416 РФ, МКИ С 07 С 87/30, Фахретдинов П. С., Романов Г.В. и др. Способ получения ингибиторов коррозии углеродистых сталей в минерализованных сероводородсодержащих водных средах, проявляющих фунгистатическое, бактериостатическое и дезинфицирующее действие]. Недостатком препарата Ф-761 является его недостаточно высокая бактерицидная активность и очень слабая фунгистатическая активность в отношении плесневых грибов (например, Aspergillus niger) и возбудителя аскофероза пчел (Ascophaera apis). Известно, что нефти, битумы, нефтяные и битумные эмульсии являются сложными мультикомпонентными, ассоциированными системами, содержащими огромное количество компонентов. Особое значение в таких системах имеют смолистые и асфальтеновые вещества, для которых наиболее характерны различные межмолекулярные взаимодействия, суммарное действие которых является стэкинг-взаимодействием с образованием стопкообразных упаковок. В этих стопкообразных упаковках плоских молекул, ареновые фрагменты, карбоксильные и аминогруппы взаимодействуют между собой, что приводит к формированию пачечной кристаллообразной структуры из 4-6 слоев. Ванадилпорфириновые и никельпорфириновые комплексы не только являются составной частью молекул асфальтенов, но и выполняют связующую роль в процессе образования трехмерной структуры асфальтенов. Асфальтены являются перекрестно связанными или ассоциированными конденсированными мультикомпонентными системами, включающими индивидуальные молекулы с ароматическими, нафтеновыми и порфириновыми циклами, а также с гетероциклами. Эти элементы соединяются мостиками или связями, образуя комплексы, ассоциаты и мультиструктуры нефтяной дисперсии. Наличие парафинов уже при незначительном количестве приводит к заметному образованию пространственной структуры коагуляционного или кристаллизационного типа. Структура иммобилизирует жидкую фазу, и соответствующие нефти, нефтяные эмульсии, битумы и битумные эмульсии приобретают свойства гелеобразных ассоциированных мультикомпонентных систем с аномальными свойствами. Данные системы, являясь неньютоновскими жидкостями, меняют реологические свойства в зависимости от скорости течения, напряжения сдвига и температуры. Вязкости и температуры застывания ассоциированных мультикомпонентных систем являются аномально высокими. Их добыча, подготовка и транспортировка из-за аномалии вязкости, тиксотропии и других реологических особенностей, а также высокой температуры застывания значительно затруднена. Особенно затруднена в этих условиях прокачка нефтяных систем из-за необходимости использовать чрезвычайно высокие давления в трубопроводах. В нефтяной промышленности для перекачивания тяжелых, высоковязких нефтей используют присадки, влияющие на движение нефти. Известно, что в качестве такой присадки используют присадку ДН-1, являющуюся сополимером эфиров акриловой и метакриловой кислот, общей формулы: ![]() где R – алкил C18-C24 Известно, что присадкой, широко используемой в промышленности (базовый объект), является присадка ЭВА-3, представляющая собой сополимер этилена с винилацетатом общей формулы:
Недостатком присадки ЭВА-3 (базового объекта) является ее недостаточная эффективность как средства, снижающего вязкость высокопарафинистых нефтей при низких температурах, так как наибольшее снижение вязкости в 2,5 раза она обеспечивает при дозировках 0,2% и температуре ввода в нефть 363К. В связи с тем, что транспортировка нефтей производится значительную часть года при более низких температурах, особенно в условиях Крайнего Севера, эффективность присадки ЭВА-3 является недостаточной.
Известные присадки, регулирующие вязкоупругие свойства ассоциированных мультикомпонентных нефтяных систем, относятся к классу полимерных соединений и не являются структурными аналогами предлагаемых N,N-диметил-N-алкил-N-[алкоксиполи(этиленокси)карбонилметил]аммоний хлоридов.
Целью изобретения являются новые N,N-диметил-N-алкил-N-[алкоксиполи(этиленокси)карбонилметил] аммоний хлориды, обладающие фунгистатической и бактерицидной активностью, а также являющиеся присадками, регулирующими вязкоупругие свойства ассоциированных мультикомпонентных нефтяных систем, и способ их получения.
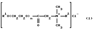
Разработанные нами N,N-диметил-N-алкил-N-[алкоксиполи (этиленокси)карбонилметил] аммоний хлориды содержат одновременно сложноэфирные, полиоксиэтильные и алкилоксильные фрагменты, где алкилами являются длинноцепочечные углеводородные радикалы, и имеют общую формулу![]() где R1, R2 – длинноцепочечный алифатический углеводородный радикал, содержащий 10-16 атомов углерода; n – средняя степень оксиэтилирования, равная 3; являются новыми, не известными ранее соединениями, обладающими фунгистатической и бактерицидной активностью, а также являющиеся присадками, регулирующими вязкоупругие свойства ассоциированных мультикомпонентных нефтяных систем. Заявляемые соединения превосходят по бактерицидной активности структурный аналог – “Препарат Ф-761” и базовый объект (широко используемый в практике бактерицид)- глутаровый альдегид. Установлено, что минимальные бактерицидные концентрации (МБЦК) предлагаемых соединений составляют: а) в отношениии Staphylococcus aureus – МБЦК составляет 0,03% при экспозиции 0,5 ч, в то время, как для препарата Ф-761 МБЦК составляет 0,5% при экспозиции 2 ч, а для глутарового альдегида МБЦК составляет 0,3% (по действующему веществу) при экспозиции 2 ч; б) в отношении Escherichia coli – МБЦК составляет 0,03% при экспозиции 0,5 ч, в то время, как для препарата Ф-761 МБЦК составляет 1,0% при экспозиции 2 ч, а для глутарового альдегида МБЦК составляет 0,3% (по действующему веществу) при экспозиции 2 ч; в) в отношении Salmonella pullorum-gallinarum – МБЦК составляет 0,03% при экспозиции 0,5 ч, в то время, как для препарата Ф-761 МБЦК составляет 1,0% при экспозиции 2 ч, а для глутарового альдегида МБЦК составляет 0,3% (по действующему веществу) при экспозиции 2 ч. Таким образом, преимущества предлагаемых соединений очевидны – они проявляют бактерицидное действие при более низких концентрациях и при меньшем времени выдерживания (экспозиции), чем структурный аналог – “Препарат Ф-761” и базовый объект – глутаровый альдегид. Предлагаемые нами новые N,N-диметил-N-алкил-N-[алкоксиполи-(этиленокси)карбонилметил] аммоний хлориды превосходят по фунгистатической активности структурный аналог – “Препарат Ф-761” и базовый объект (широко используемое в практике фунгистатическое средство) – препаративную форму трихлорбензоксазолона (ТХБЗ). Установлено, что минимальные фунгистатические концентрации (МФСК) предлагаемых соединений составляют: а) в отношениии Aspergillus niger для предлагаемых соединений МФСК составляет 0,00125%, в то время, как для препарата Ф-761 МФСК составляет 0,05%, а для базового объекта – препаративной формы трихлорбензоксазолона МФСК составляет 0,025%; б) в отношении Ascophaera apis (возбудителя аскофероза – болезни расплода пчел) для предлагаемых соединений составляют 0,00125%, в то время, как для препарата Ф-761 МФСК составляет 0,025%, а для базового объекта – препаративной формы трихлорбензоксалона МФСК составляет 0,01%. Таким образом, преимущества предлагаемых N, N-диметил-N-алкил-N-[алкоксиполи(этиленокси)карбонилметил] аммоний хлоридов очевидны – они проявляют более высокую фунгистатическую активность, чем структурный аналог – “Препарат Ф-761” и базовый объект – “Препаративная форма трихлорбензоксазолона (ТХБЗ)”. Предлагаемые нами N,N-диметил-N-алкил-N-[алкоксиполи(этиленокси)карбонилметил] аммоний хлориды являются более эффективными присадками, регулирующими вязкоупругие свойства мультикомпонентных нефтяных систем, чем базовый объект – присадка “ЭВА-3”, так как предложенные присадки в дозировках 0,033-0,165 вес.% (0,33 0,165 кг на 1 т нефтяной системы) при температуре 278К и скоростях сдвига 4-20 с-1 обеспечивают индекс эффективности присадок Jэф=1,5-3,0 (т.е. уменьшение вязкости исходной нефтяной системы в 1,5-3,0 раза). При сравнении полученных результатов по эффективности предлагаемых присадок, с присадкой ЭВА-3 (базовый объект) следует отметить, что предлагаемые присадки по эффективности превосходят присадку ЭВА-3, так как: – присадка ЭВА-3 проявляет достаточную эффективность при высоких температурах (363К), в то время как предлагаемые присадки обеспечивают такую же, или выше, эффективность при температуре всего 278К; – присадка ЭВА-3 проявляет достаточную эффективность при дозировке 0,2 вес. %, в то время как предлагаемые присадки обеспечивают такую же эффективность при дозировках 0,033-0,165 вес.% и при значительно меньших температурах. Приведенные данные убедительно показывают, что предлагаемые присадки обладают целым рядом преимуществ перед базовым объектом (присадкой ЭВА-3). Таким образом, предлагаемые нами N,N-диметил-N-алкил-N-[алкоксиполи(этиленокси)карбонилметил] аммоний хлориды проявляют большую фунгистатическую и бактерицидную активность, а также являются более эффективными присадками, регулирующими вязкоупругие свойства мультикомпонентных нефтяных систем, чем соотвествующие структурный аналог и базовые объекты. Известен способ получения четвертичных аммониевых соединений, содержащих сложноэфирные и полиоксиэтиленовые группировки, например, N-[изононилфеноксиполи(этиленокси)карбонилметил]аммоний хлоридов общей формулы ![]() где R1-R2 – СН3, алкил фракции С7-С9; R3 – алкил фракции С7-С9, алкил фракции C10-C16, алкил фракции C15-C18; n=3,10; путем взаимодействия монохлоруксусной кислоты со спиртовой компонентой, которой является изононилфеноксиполиэтиленгликоли общей формулы ![]() где n=3,10; и последующей обработкой аминами общей формулы: ![]() где R1-R2 – СН3, алкил фракции С7-С9; R3 – aлкил фракции С7-С9, алкил фракции C15-C18; [Патент 1531416 РФ, МКИ С 07 С 87/30. Фахретдинов П.С., Романов Г.В. и др. Способ получения ингибиторов коррозии углеродистых сталей в минерализованных сероводородсодержащих водных средах, проявляющих фунгистатическое, бактериостатическое и дезинфицирующее действие]. Для заявляемых нами N,N-диметил-N-алкил-N-[алкоксиполи(этиленокси)карбонилметил] аммоний хлоридов предлагается способ получения соединений взаимодействием монохлоруксусной кислоты с алкоксиполиэтиленгликолем общей формулы R1O(СН2СН2О)nН, где R1 – алифатический углеводородный радикал, содержащий 10-16 атомов углерода; n – средняя степень оксиэтилирования, равная 3. в присутствии кислотных катализаторов, таких, как катионобменнная смола КУ-2-8 в Н+ форме, в среде кипящего растворителя, например, толуола, с азеотропным удалением образовавшейся воды и последующей обработкой полученного продукта при нагревании с N,N-диметил-N-алкиламином, общей формулы: R2N(CH3)2, где R2 – алифатический углеводородный радикал, содержащий 10-16 атомов углерода. Предлагаемый способ получения новых, не известных ранее соединений ряда N,N-диметил-N-алкил-N-[алкоксиполи(этиленокси) карбонилметил] аммоний хлоридов имеет некоторое сходство со способом получения других рядов четвертичных аммониевых соединений, например, N-[изононилфеноксиполи(этиленокси)карбонилметил] аммоний хлоридов [Патент РФ 1531416]. Но и различия этих двух способов получения являются существенными. В известном способе в качестве спиртовой компоненты используют изононилфеноксиполиэтиленгликоли, являющиеся продуктами оксиэтилирования изононилфенола, а в качестве аминосоединений длинноцепочечные алифатические третичные амины типа N,N-диметил-N-алкиламинов фракций C10-C16 и C15-C18, а также длинноцепочечные алифатические N,N,N-триалкиламины фракции С7-С9. В предлагаемом способе в качестве спиртовой компоненты используют алкоксиполиэтиленгликоли, являющиеся продуктами оксиэтилирования длинноцепочечных алифатических спиртов, а в качестве аминосоеди-нений используют длинноцепочечные алифатические третичные амины – N,N-диметил-N-алкиламины фракции C10-C16. Таким образом, предлагаемый способ с использованием в качестве исходных продуктов алкоксиполиэтиленгликолей позволяет получать неизвестный ранее ряд функционально замещенных аммониевых соединений типа N,N-диметил-N-алкил-N-[алкоксиполи(этиленокси)карбонилметил] аммоний хлоридов. Таким образом, предлагаются новые, не известные ранее N,N-диметил-N-алкил-N[алкоксиполи(этиленокси)карбонилметил] аммоний хлориды общей формулы ![]() где R1, R2 – алифатический углеводородный радикал, содержащий 10-16 атомов углерода; n – средняя степень оксиэтилирования, равная 3, обладающие фунгистатической и бактерицидной активностью, а также свойствами присадок, регулирующих вязкоупругие свойства ассоциированных мультикомпонентных нефтяных систем, и способ их получения. Пример 1. N,N-Диметил-N-алкил(С10-С16)-N-[алкокси(С10-C16)поли(этиленокси)карбонилметил] аммоний хлорид со средней степенью оксиэтилирования, равной 3. Смесь 48,44 г (14,5 10-2 г-моля) алкоксиполиэтиленгликолей фракции C10-C16 со средней степенью оксиэтилирования, равной 3; 14,36 г (15,20 10-2 г-моля) монохлоруксусной кислоты; 80 мл толуола и в качестве кислотного катализатора 1,45 г (3% от веса алкоксиполиэтиленгликолей) Н+ формы катионобменной смолы КУ-2-8 кипятят с ловушкой Дина-Старка и обратным холодильником до полного прекращения азеотропного выделения воды. Время реакции 14 ч, отфильтровывают катализатор и из реакционной смеси в вакууме удаляют толуол и не вступившую в реакцию монохлоруксусную кислоту. К остатку добавляют 34,5 г (14,5 10-2 г-моля) N,N-диметил-N-алкиламинов фракции C10-C16 и нагревают при перемешивании и температуре 60-90oС в течение 10 ч.
При прохождении реакции в реакционной смеси происходит постепенное исчезновение свободных аминов (контролируемых потенциометрическим титрованием спиртовым раствором соляной кислоты), исчезновение ковалентного хлора (контролируемого полосой валентных колебаний v(C-Cl)=550 см-1 в ИК-спектрах) и появление ионного хлора (контролируемого потенциометрическим титрованием раствором AgNO3).
Выход 91,02 г (96,8% от теор.) светло-желтой массы, nд 70=l,4579.
ИК-спектр: v(С-Oа циклич)=1122 см-1, v(C-Oац етатн)=1204 см-1, v(C=O)=1750 см-1; v(O-H)=3254-3481 см-1.
Пример 2. N,N-Диметил-N-алкил(С12)-N-[алкоксиполи(этиленокси)-карбонилметил]аммоний хлорид со средней степенью оксиэтилирования, равной 3.
Получено аналогично примеру 1 из 68,0 г (20,5 10-2 г-моля) алкоксиполиэтиленгликолей фракции C12-C14 со средней степенью оксиэтилирования, равной 3; 21,73 г (23,0 10-2 г-моля) монохлоруксусной кислоты; 100 мл толуола; 2,1 г H+ формы катионообменной смолы КУ-2-8 (в качестве катализатора) и 43,7 г (20,5 10-2 г-моля) N,N-диметил-N-додециламина. Выход 124,0 г (97,3% от теор.) светло-желтой массы, nд 70=14583.
ИК-спектр: v(С-O ацикл)= 1129 см-1, v(C-Oац етатн)=1210 см-1, v(C=O)=1748 см-1; v(O-H)=3250-3490 см-1.
Пример 3. Определение бактерицидной активности и токсичности соединений.
Бактерицидную активность синтезированных веществ изучали в отношении представителей грамположительной группы бактерий – Staphylococcus aureus шт. Р-209 и грамотрицательной группы – Escherichia coli шт. 7904 и Salmonella pullorum-gallinarum шт. 24 КЕТ по общепринятой в бактериологии методике [Методы экспериментальной химиотерапии/Под ред. Першина Г.Н., М.: Медицина, 1973, с. 318-320; Ведьмина Е.А., Фурер Н.М. Руководство по микробиологии, клинике и эпидемиологии инфекционных болезней, М.: Медицина, 1964, с.608-610] . Пользуясь оптическим методом стандарта мутности, готовили взвесь микроорганизмов в физиологическом растворе с бактериальной нагрузкой 500000 микробных тел в 1 мл. Бактериальную взвесь разливали в пробирки, содержащие определенные концентрации исследуемых препаратов. Контрольные опыты содержали вместо исследуемых препаратов такое же количество стерильного физиологического раствора. Экспозиция при этом составляла 0,5; 1,0; 1,5; 2,0; 3,0 ч. По истечении срока экспозиции, как опытные, так и контрольные материалы, высеивались на элективные питательные среды: E.coli – на среду Сабуро; St. aureus – на солевой агар; Salmonella pul.-gal. – на среду Плоскирева, инкубацию которых проводили в термостате при 37oС. Наблюдение за посевами вели в течение 7 суток. Результаты исследований представлены в таблице 1.
В качестве эталонов сравнения бактерицидной активности использовали:а) Структурный аналог – “Препарат Ф-761”, представляющий собой N,N-диметил-N-алкил-N-[изононилфеноксиполи(этиленокси)карбонилметил] аммоний хлорид фракции C10-C16, формулы: ![]() где R – алифатический углеводородный радикал, содержащий 10-16 атомов углерода; n=10; [Патент 1531416 РФ, МКИ С 07 С 87/30. Фахретдинов П.С., Романов Г.В. и др. Способ получения ингибиторов коррозии углеродистых сталей в минерализованных сероводородсодержащих водных средах, проявляющих фунгистатическое, бактериостатическое и дезинфицирующее действие]. б) базовый объект (широко применяемый в практике бактерицид) – глутаровый альдегид [Ветеринарные препараты. Под ред. Третьякова А.Д., М.: Агропромиздат, 1988, С.68-72]. Данные табл.1 свидетельствуют о высокой бактерицидной активности заявляемых N,N-диметил-N-алкил-N-[алкоксиполи (этиленокси) карбонилметил] аммоний хлоридов. Так, в отношении представителя группы грамположительных бактерий – Staphylococcus aureus шт.Р-209 для предлагаемых соединений минимальные бактерицидные концентрации (МБЦК) составляют 0,03% при экспозиции 0,5 ч, в то время как для структурного аналога – “Препарата Ф-761” МБЦК составляет 0,5% при экспозиции 2 ч, а для базового объекта – глутарового альдегида МБЦК составляет 0,3% (по действующему веществу) при экспозиции 2 ч. В отношении представителя группы грамотрицательных бактерий Escherichia coli шт.7904 для предлагаемых соединений МБЦК составляют 0,03% при экспозиции 0,5 ч, в то время как для структурного аналога – “Препарата Ф-761” МБЦК составляет 1,0% при экспозиции 2 ч, а для базового объекта – глутарового альдегида МБЦК составляет 0,3% (по действующему веществу) при экспозиции 2 ч. В отношении Salmonella pullorum-galinarum шт.24 КЕТ для заявляемых соединений МБЦК составляют 0,03% при экспозиции 2 ч, в то время как для структурного аналога – препарата Ф-761 МБЦК составляет 1,0% при экспозиции 2 ч, а для базового объекта – глутарового альдегида МБЦК составляет 0,3% (по действующему веществу) при экспозиции 2 ч. Таким образом, предлагаемые N,N-диметил-N-алкил-N-[алкоксиполи(этиленокси)карбонилметил]аммоний хлориды по бактерицидной активности превосходят структурный аналог и базовый объект. Токсичность предлагаемых соединений определяют на белых мышах при пероральном введении водных растворов с вычислением ЛД50 и ее доверительных границ по методу Литчфилда и Уилкоксона. Результаты приведены в табл.1. Как видно из полученных данных, для исследованных соединений ЛД50 составляют 1890-1960 мг/кг, что позволяет их отнести к умеренно токсичным веществам 3-го класса опасности по ГОСТ 12.1.007. Пример 4. Определение фунгистатической активности. Фунгистатическую активность в отношении представителя плесневых грибов – Aspergillus niger шт. ВУ-5 и возбудителя аскофероза пчел (болезни расплода пчел) – Ascophaera apis шт. ВГ-8 определяют по общепринятой в микробиологической практике методике серийных разведений на жидкой среде Сабуро [Методы экспериментальной химиотерапии/Под ред. Першина Г.Н., М.: Медицина, 1973; Ведьмина Е.А., Фурер Н.М. Руководство по микробиологии, клинике и эпидемиологии инфекционных болезней. М.: Медицина, 1964]. Грибковая нагрузка в опытах составляет 200000 грибковых тел в 1 мл. Наблюдения проводят в условиях термостатирования при температуре 37oС в течение 14 дней. Чувствительность к препарату определяют его минимальной дозой, при которой роста гриба не наблюдается. В контрольном же опыте наблюдается обильный рост грибов. Результаты исследований приведены в табл.2. В качестве эталонов сравнения фунгистатической активности использовали: а) структурный аналог – “Препарат Ф-761”, строение которого приведено выше; б) базовый объект (широко применяемый в практике фунгистатик) – препаративная форма трихлорбензоксазолона (ТХБЗ), формулы ![]() [Жуков А.А. Биологические свойства гриба Ascophaera apis и меры борьбы с аскоферозом пчел. Дисс. на соиск. уч. ст. канд. наук, М., 1995]. Данные таблицы 2 свидетельствуют о высокой фунгистатической активности заявляемых N, N-диметил-N-алкил-N-[алкоксиполи(этиленокси)-карбонилметил] аммоний хлоридов. Так, в отношении очень устойчивого гриба – представителя плесневых грибов Aspergillus niger шт.ВУ-5 для предлагаемых соединений минимальные фунгистатические концентрации (МФСК) составляют 0,00125%, в то время как для структурного аналога – “Препарат Ф-761” МФСК составляет 0,05%, а для базового объекта – препаративной формы трихлорбензоксалона МФСК составляет 0,025%. В отношении возбудителя аскофероза (болезни расплода пчел) Ascophaera apis шт.ВГ-8 для заявляемых соединений МФСК составляют 0,00125%, в то время как для структурного аналога – “Препарат Ф-761” МФСК составляет 0,025%, а для базового объекта – препаративной формы трихлорбензоксазолона МФСК составляет 0,01%. Представленные данные подтверждают преимущества предлагаемых N,N-диметил-N-алкил-N-[алкоксиполи(этиленокси) карбонилметил] аммоний хлоридов по фунгистатической активности перед структурным аналогом и базовым объектом. Пример 5. Испытание синтезированных веществ в качестве присадок, регулирующих вязкоупругие свойства. Нефти, нефтяные эмульсии, битумы и битумные эмульсии являются мультикомпонентными, ассоциированными неньютоновскими системами, что связано с их неоднородной структурой, зависящей от общего содержания асфальто-смолистых веществ, парафинов и воды, а также от их соотношения. Для оценки синтезированных веществ в качестве присадок, регулирующих вязкоупругие свойства, в качестве ассоциированной, мультикомпонентной нефтяной системы использовали нефть Нурлатского месторождения со следующими характеристиками, %: Парафинов – 6,78 Асфальтенов – 8,4 Смол бензольных – 25,2 Смол спирто-бензольных – 6,4 Масел – 60,0 Для исследуемых присадок готовят их 5, 10, 15, 25%-ные растворы в толуоле и вводят в исходную Нурлатскую нефть в дозировках присадок от 0,033 до 0,165 вес.%. Реологические исследования исходной нефти и нефти с присадками проводили на приборе “Реотест 2” [Белкин И.М., Виноградов А.И. “Ротационные приборы”, М., Машиностроение, 1968]. В ходе исследований определялась динамическая вязкость исходной нефти и нефти с присадками при различных скоростях деформирования (течения) или так называемой скорости сдвига при температуре 278К. Температура 278К выбрана как наиболее характеризующая, те условия, в которых приходится транспортировать высоковязкие и аномальные нефти. Полученные результаты при скоростях сдвига 4, 8, 10 и 20 с-1 приведены в табл. 3. Для наглядного сравнения регулирующих свойств присадок рассчитаны индексы эффективности присадок по формуле: Jэф = н/ пр,где Jэф – индекс эффективности присадок; н – динамическая вязкость исходной нефти, Па с; пр – динамическая вязкость нефти с добавкой, Па с.
Индекс эффективности присадок Jэф показывает, во сколько раз динамическая вязкость нефтяной системы с добавками исследуемых присадок отличается от динамической вязкости исходной нефтяной системы без добавки присадки. При этом, индекс эффективности Jэф для исходной нефти без добавки присадки будет равен 1,00. Значения индекса эффективности Jэф более единицы свидетельствует о действии, уменьшающем вязкость и улучшении реологических свойств нефтяной системы после добавления присадки. Чем больше единицы величины индекса эффективности присадки Jэф, тем выше способность присадки улучшить реологические свойства ассоциированных мультикомпонентных нефтяных систем.
Величины индексов эффективности присадок Jэф при различных их дозировках приведены в табл.3.
Эти величины индексов эффективности присадок Jэф показывают, что предлагаемые присадки являются высокоэффективными присадками, регулирующими вязкоупругие свойства ассоциированных мультикомпонентных нефтяных систем в сторону улучшения их реологических характеристик. Так, предложенные присадки в дозировках 0,033-0,165 вес. % (0,33-0,165 кг на 1 т нефтяной системы) при температуре 278К и скоростях сдвига 4-20 с-1 обеспечивают индекс эффективности присадок Jэф=1,4-3,0 (т.е. уменьшение вязкости исходной нефтяной системы в 1,4-3,0 раза). При сравнении полученных результатов по эффективности предлагаемых присадок, с присадкой ЭВА-3 (базовый объект) следует отметить, что предлагаемые присадки по эффективности превосходят присадку ЭВА-3, так как:– присадка ЭВА-3 проявляет достаточную эффективность при высоких температурах (363К), в то время как предлагаемые присадки обеспечивают такую же, или выше, эффективность при температуре всего 278К; – присадка ЭВА-3 проявляет достаточную эффективность при дозировке 0,2 вес. %, в то время как предлагаемые присадки обеспечивают такую же эффективность при дозировках 0,033-0,165 вес.% и при значительно меньших температурах. Приведенные данные убедительно показывают, что предлагаемые присадки обладают целым рядом преимуществ перед присадкой ЭВА-3 (базовым объектом). Таким образом, заявляемые N,N-диметил-N-алкил-N-[алкоксиполи(этиленокси)карбонилметил] аммоний хлориды являются новыми соединениями и способ их получения также является новым. Представленные данные по бактерицидности, фунгистатической активности, способности регулировать вязкоупругие свойства ассоциированных мультикомпонентных нефтяных систем заявляемых N,N-диметил-N-алкил-N-[алкоксиполи(этиленокси)карбонилметил] аммоний хлоридов показывают их высокую эффективность и явные преимущества перед другими существующими решениями. Заявляемые соединения могут быть использованы в качестве активной основы бактерицидных и фунгистатических средств в медицине, ветеринарии и сельском хозяйстве, а также в качестве присадок для улучшения реологических свойств нефтяных систем в нефтяной и нефтехимической промышленности. Предлагаемый способ получения N,N-диметил-N-алкил-N-[алкоксиполи(этиленокси)карбонилметил] аммоний хлоридов является несложным, не требующим специальных условий и оборудования и может быть осуществлен практически на любом химическом производстве. Формула изобретения 1. N,N-диметил-N-алкил-N-[алкоксиполи(этиленокси)карбонилметил]аммоний хлориды общей формулы
где R1, R2 – алифатический углеводородный радикал, содержащий 10-16 атомов углерода;
n – средняя степень оксиэтилирования, равная 3.
2. Соединения по п.1, обладающие фунгистатической и бактерицидной активностью.
3. Соединения по п.1 в качестве присадок, регулирующих вязкоупругие свойства ассоциированных мультикомпонентных нефтяных систем.
4. Способ получения соединений по п.1, отличающийся тем, что включает взаимодействие монохлоруксусной кислоты с алкоксиполиэтиленгликолем общей формулы
R1O(CH2CH2O)nH,
где R1 – алифатический углеводородный радикал, содержащий 10-16 атомов углерода;
n – средняя степень оксиэтилирования, равная 3,
в присутствии кислотных катализаторов таких, как катионообменная смола КУ-2-8 в H+ форме, в среде кипящего растворителя, например, толуола, с азеотропным удалением образовавшейся воды и последующей обработкой полученного продукта при нагревании с N,N-диметил-N-алкиламином общей формулы
R2N(CH3)2,
где R2 – алифатический углеводородный радикал, содержащий 10-16 атомов углерода.
РИСУНКИ
MM4A Досрочное прекращение действия патента Российской Федерации на изобретение из-за неуплаты в установленный срок пошлины за поддержание патента в силе
Дата прекращения действия патента: 09.04.2005
Извещение опубликовано: 27.05.2006 БИ: 15/2006
|
||||||||||||||||||||||||||

Изобретение относится к органической химии, а именно к синтезу не известных ранее четвертичных аммониевых соединений типа N-алкоксиполи(этиленокси)карбонилметил] аммоний хлоридов, обладающих фунгистатической и бактерицидной активностью, а также являющихся присадками, регулирующими вязкоупругие свойства ассоциированных мультикомпонентных нефтяных систем, которые могут быть использованы для борьбы с грибковыми и бактериальными поражениями в медицине, ветеринарии и сельском хозяйстве, а также для улучшения реологических свойств нефтяных дисперсий в нефтяной и нефтехимической промышленности.
Особенностью предлагаемых аммониевых соединений является то, что они содержат алкоксиполи(этиленокси)карбонилметиловые радикалы формулы
Известны четвертичные аммониевые соединения, содержащие полиоксиэтильные фрагменты, общей формулы
Наиболее близкими по структуре к предлагаемым соединениям являются N-[изононилфеноксиполи(этиленокси)карбонилметил]аммоний хлориды, общей формулы



Недостатком присадки ЭВА-3 (базового объекта) является ее недостаточная эффективность как средства, снижающего вязкость высокопарафинистых нефтей при низких температурах, так как наибольшее снижение вязкости в 2,5 раза она обеспечивает при дозировках 0,2% и температуре ввода в нефть 363К. В связи с тем, что транспортировка нефтей производится значительную часть года при более низких температурах, особенно в условиях Крайнего Севера, эффективность присадки ЭВА-3 является недостаточной.
Известные присадки, регулирующие вязкоупругие свойства ассоциированных мультикомпонентных нефтяных систем, относятся к классу полимерных соединений и не являются структурными аналогами предлагаемых N,N-диметил-N-алкил-N-[алкоксиполи(этиленокси)карбонилметил]аммоний хлоридов.
Целью изобретения являются новые N,N-диметил-N-алкил-N-[алкоксиполи(этиленокси)карбонилметил] аммоний хлориды, обладающие фунгистатической и бактерицидной активностью, а также являющиеся присадками, регулирующими вязкоупругие свойства ассоциированных мультикомпонентных нефтяных систем, и способ их получения.
Разработанные нами N,N-диметил-N-алкил-N-[алкоксиполи (этиленокси)карбонилметил] аммоний хлориды содержат одновременно сложноэфирные, полиоксиэтильные и алкилоксильные фрагменты, где алкилами являются длинноцепочечные углеводородные радикалы, и имеют общую формулу




10-2 г-моля) алкоксиполиэтиленгликолей фракции C10-C16 со средней степенью оксиэтилирования, равной 3; 14,36 г (15,20

н/
где R1, R2 – алифатический углеводородный радикал, содержащий 10-16 атомов углерода;
n – средняя степень оксиэтилирования, равная 3.
2. Соединения по п.1, обладающие фунгистатической и бактерицидной активностью.
3. Соединения по п.1 в качестве присадок, регулирующих вязкоупругие свойства ассоциированных мультикомпонентных нефтяных систем.
4. Способ получения соединений по п.1, отличающийся тем, что включает взаимодействие монохлоруксусной кислоты с алкоксиполиэтиленгликолем общей формулы
R1O(CH2CH2O)nH,
где R1 – алифатический углеводородный радикал, содержащий 10-16 атомов углерода;
n – средняя степень оксиэтилирования, равная 3,
в присутствии кислотных катализаторов таких, как катионообменная смола КУ-2-8 в H+ форме, в среде кипящего растворителя, например, толуола, с азеотропным удалением образовавшейся воды и последующей обработкой полученного продукта при нагревании с N,N-диметил-N-алкиламином общей формулы
R2N(CH3)2,
где R2 – алифатический углеводородный радикал, содержащий 10-16 атомов углерода.