Патент на изобретение №2221775
|
||||||||||||||||||||||||||
(54) N-[АЛКОКСИПОЛИ(ЭТИЛЕНОКСИ)КАРБОНИЛМЕТИЛ]АММОНИЙ ХЛОРИДЫ, ОБЛАДАЮЩИЕ СВОЙСТВАМИ ПРИСАДОК, РЕГУЛИРУЮЩИХ ВЯЗКОУПРУГИЕ СВОЙСТВА АССОЦИИРОВАННЫХ МУЛЬТИКОМПОНЕНТНЫХ НЕФТЯНЫХ СИСТЕМ, СПОСОБ ИХ ПОЛУЧЕНИЯ И ПРИМЕНЕНИЯ
(57) Реферат: Изобретение относится к новым N-[Алкоксиполи(этиленокси)карбонилметил] аммоний хлоридам общей формулы (1), которые могут быть использованы в нефтяной и нефтехимической промышленности, где R – алифатический углеводородный радикал, содержащий 12-16 атомов углерода; n – средняя степень оксиэтилирования, равная 3-4; R1=R2 = -СН2СН2ОН; R3 представляет собой группу формулы (2), где R4 – алифатический углеводородный радикал, содержащий 15-25 атомов углерода, обладающие свойствами присадок, регулирующих вязкоупругие свойства ассоциированных мультикомпонентных нефтяных систем. Изобретение также относится к способу получения соединений формулы (1) и к способу регулирования вязкоупругих свойств ассоциированных мультикомпонентных нефтяных систем путем введения присадки 5-25%-ного раствора соединений формулы (1). 3 с.п. ф-лы, 1 табл. ![]()
Текст описания в факсимильном виде (см. графический материал)е
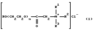
Формула изобретения 1. N-[Алкоксиполи(этиленокси)карбонилметил]аммоний хлориды общей формулы
где R – алифатический углеводородный радикал, содержащий 12-16 атомов углерода;
n – средняя степень оксиэтилирования, равная 3-4;
R1=R2=-CH2CH2OH;
где R4 – алифатический углеводородный радикал, содержащий 15-25 атомов углерода,
обладающие свойствами присадок, регулирующих вязкоупругие свойства ассоциированных мультикомпонентных нефтяных систем.
2. Способ получения соединений по п.1, отличающийся тем, что проводят взаимодействие монохлоруксусной кислоты с алкоксиполиэтиленгликолями общей формулы
RO(CH2CH2O)nH,
где R – алифатический углеводородный радикал, содержащий 12-16 атомов углерода;
n – средняя степень оксиэтилирования, равная 3-4,
в присутствии кислотного катализатора, такого, как катионообменная смола КУ-2-8 в H+ форме, в среде кипящего ароматического растворителя, например, толуола, с азеотропным удалением образовавшейся воды и последующей обработкой полученного продукта при нагревании аминами общей формулы
где R1=R2=-СН2СН2ОН;
где R4 – алифатический углеводородный радикал, содержащий 15-25 атомов углерода.
3. Способ регулирования вязкоупругих свойств ассоциированных мультикомпонентных нефтяных систем путем введения присадки, отличающийся тем, что в качестве присадки используют 5-25%-ный раствор соединений по п.1 формулы в органических растворителях, например, ароматических углеводородах.
РИСУНКИ
MM4A Досрочное прекращение действия патента Российской Федерации на изобретение из-за неуплаты в установленный срок пошлины за поддержание патента в силе
Дата прекращения действия патента: 09.04.2005
Извещение опубликовано: 27.05.2006 БИ: 15/2006
|
||||||||||||||||||||||||||


Текст описания в факсимильном виде (см. графический материал)е
где R – алифатический углеводородный радикал, содержащий 12-16 атомов углерода;
n – средняя степень оксиэтилирования, равная 3-4;
R1=R2=-CH2CH2OH;
где R4 – алифатический углеводородный радикал, содержащий 15-25 атомов углерода,
обладающие свойствами присадок, регулирующих вязкоупругие свойства ассоциированных мультикомпонентных нефтяных систем.
2. Способ получения соединений по п.1, отличающийся тем, что проводят взаимодействие монохлоруксусной кислоты с алкоксиполиэтиленгликолями общей формулы
RO(CH2CH2O)nH,
где R – алифатический углеводородный радикал, содержащий 12-16 атомов углерода;
n – средняя степень оксиэтилирования, равная 3-4,
в присутствии кислотного катализатора, такого, как катионообменная смола КУ-2-8 в H+ форме, в среде кипящего ароматического растворителя, например, толуола, с азеотропным удалением образовавшейся воды и последующей обработкой полученного продукта при нагревании аминами общей формулы
где R1=R2=-СН2СН2ОН;
где R4 – алифатический углеводородный радикал, содержащий 15-25 атомов углерода.
3. Способ регулирования вязкоупругих свойств ассоциированных мультикомпонентных нефтяных систем путем введения присадки, отличающийся тем, что в качестве присадки используют 5-25%-ный раствор соединений по п.1 формулы в органических растворителях, например, ароматических углеводородах.