Патент на изобретение №2221767
|
||||||||||||||||||||||||||
(54) СПОСОБ СОВМЕСТНОГО ПОЛУЧЕНИЯ 1,3-ДИАЛКИЛ-1,5-ПЕНТАНДИОЛА И 1,4-ДИАЛКИЛ-1,5-ПЕНТАНДИОЛА
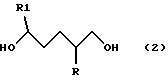
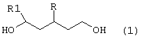
(57) Реферат: Изобретение относится к новому способу совместного получения 1,3-диалкил-1,5-пентандиола формулы (1) и 1,4-диалкил-1,5-пентандиола формулы (2), где значения R и R1 в формулах (1) и (2) одинаковые и выбираются из R=н-С4Н9, н-С6Н13; R1=СН3, н-С3Н7, которые могут применяться в фармацевтической, косметической, текстильной, пищевой, лакокрасочной отраслях промышленности, а также в производстве антифризов, гидравлических жидкостей, взрывчатых эфиров азотной кислоты. Проводят в атмосфере инертного газа взаимодействие -олефина общей формулы , где R=н-C4H9, н-С6Н13, с триэтилалюминием в присутствии катализатора цирконацендихлорида Cp2ZrCl2 в мольном соотношении : AlEt3: Cp2ZrCl2=10:(10-14):(0,3-0,7) при комнатной температуре, затем охлаждение реакционной смеси, добавление катализатора – однохлористой меди и альдегида формулы R1CHO, где R1=СН3, н-С3Н7, в мольном соотношении CuCl: R1CHO= (0,8-1,2): (10-14) и перемешивание при комнатной температуре с последующим окислением реакционной массы и гидролизом. Общий выход 1,3-триалкил-1,5-пентандиола (1) и 1,4-триалкил-1,5-пентандиола (2) составляет 42-64%. 1 табл.
![]()
Текст описания в факсимильном виде (см. графический материал)х
Формула изобретения Способ совместного получения 1,3-диалкил-1,5-пентандиола и 1,4-диалкил-1,5-пентандиола общей формулы
где значения R и R1 в формулах (1) и (2) одинаковые и выбираются из R=н-С4Н9, н-С6Н13; R1=CH3, н-С3Н7,
отличающийся тем, что проводят в атмосфере инертного газа взаимодействие -олефина общей формулы
где R=н-C4H9, н-С3Н13,
с триэтилалюминием в присутствии катализатора цирконацендихлорида Cp2ZrCl2 в мольном соотношении
при комнатной температуре, затем охлаждение реакционной смеси, добавление катализатора – однохлористой меди и альдегида формулы
R1CHO,
где R1=CH3, н-С3Н7,
в мольном соотношении CuCl:R1CHO=(0,8-1,2):(10-14) и перемешивание при комнатной температуре с последующим окислением реакционной массы и гидролизом.
РИСУНКИ
MM4A Досрочное прекращение действия патента Российской Федерации на изобретение из-за неуплаты в установленный срок пошлины за поддержание патента в силе
Дата прекращения действия патента: 05.09.2004
Извещение опубликовано: 27.05.2006 БИ: 15/2006
|
||||||||||||||||||||||||||

-олефина общей формулы
, где R=н-C4H9, н-С6Н13, с триэтилалюминием в присутствии катализатора цирконацендихлорида Cp2ZrCl2 в мольном соотношении
: AlEt3: Cp2ZrCl2=10:(10-14):(0,3-0,7) при комнатной температуре, затем охлаждение реакционной смеси, добавление катализатора – однохлористой меди и альдегида формулы R1CHO, где R1=СН3, н-С3Н7, в мольном соотношении CuCl: R1CHO= (0,8-1,2): (10-14) и перемешивание при комнатной температуре с последующим окислением реакционной массы и гидролизом. Общий выход 1,3-триалкил-1,5-пентандиола (1) и 1,4-триалкил-1,5-пентандиола (2) составляет 42-64%. 1 табл.

Текст описания в факсимильном виде (см. графический материал)х
где значения R и R1 в формулах (1) и (2) одинаковые и выбираются из R=н-С4Н9, н-С6Н13; R1=CH3, н-С3Н7,
отличающийся тем, что проводят в атмосфере инертного газа взаимодействие
где R=н-C4H9, н-С3Н13,
с триэтилалюминием в присутствии катализатора цирконацендихлорида Cp2ZrCl2 в мольном соотношении
при комнатной температуре, затем охлаждение реакционной смеси, добавление катализатора – однохлористой меди и альдегида формулы
R1CHO,
где R1=CH3, н-С3Н7,
в мольном соотношении CuCl:R1CHO=(0,8-1,2):(10-14) и перемешивание при комнатной температуре с последующим окислением реакционной массы и гидролизом.