Патент на изобретение №2150265
|
||||||||||||||||||||||||||
(54) КОСМЕТИЧЕСКАЯ ДЕТЕРГЕНТНАЯ КОМПОЗИЦИЯ, СПОСОБ МЫТЬЯ И КОНДИЦИОНИРОВАНИЯ КЕРАТИНОВЫХ МАТЕРИАЛОВ
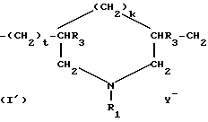
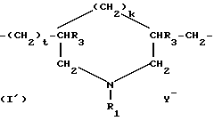
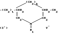
(57) Реферат: Изобретение относится к косметическим композициям для мытья и кондиционирования волос. Косметическая детергентная композиция содержит в косметически приемлемой среде моющую основу, включающую, по крайней мере, одно анионное поверхностно-активное вещество алкилэфирсульфатного типа и, по крайней мере, одно поверхностно-активное вещество алкилбетаинового типа и кондиционирующую систему, включающую, по крайней мере, один катионный диметилдиаллиламмониевый полимер, и по крайней мере, один аминированный силикон, а также способ мытья и кондиционирования волос путем нанесения эффективного количества композиции на намоченные волосы. Композиция обеспечивает мягкость волос, расчесывание, придание объема волосам и обладает хорошей моющей способностью. 2 с. и 11 з.п. ф-лы, 1 табл. Изобретение относится к новым косметическим композициям с улучшенными свойствами, предназначенным одновременно для очищения и кондиционирования кератиновых материалов и содержащим, в косметически приемлемом носителе, моющую основу, образованную поверхностно-активными веществами с детергентной способностью, в которой также находятся, в качестве компонентов с кондиционирующим действием, катионные полимеры в сочетании с аминированными силиконами. Изобретение также относится к использованию вышеуказанных композиций для вышеуказанного косметического применения. Для очищения и/или мытья кожи или волос обычно используют детергентные композиции на основе главным образом классических, особенно типа анионных, неионных и/или амфотерных, однако более предпочтительно типа анионных, поверхностно-активных веществ. Эти композиции наносят на кожу или намоченные волосы, и образовавшаяся путем массажа или растирания руками пена, после промывки водой, позволяет удалять различные загрязнения, первоначально присутствующие на коже или волосах. Эти композиции-базы, безусловно, обладают хорошей моющей способностью, однако присущие им собственные косметические свойства остаются довольно слабыми, особенно из-за того, что относительно агрессивный характер такой очищающей обработки может приводить к более или менее заметным повреждениям по всей длине капиллярного волокна, связанным в особенности с постепенным удалением липидов или протеинов, содержащихся внутри или на поверхности этого волокна. Таким образом, для улучшения косметических свойств вышеуказанных детергентных композиций и, более конкретно, таких, которые предназначены для нанесения на чувствительные волосы (то есть волосы, которые повреждаются или становятся ломкими, особенно под химическим воздействием атмосферных агентов и/или средств ухода за волосами, как перманенты, окраски или обесцвечивания), в настоящее время в эти композиции обычно вводят дополнительные косметические компоненты, так называемые компоненты с кондиционирующим действием, предназначенные главным образом для восстановления после или ограничения пагубных или нежелательных воздействий, вызываемых различными способами обработки, которым периодически подвергаются капиллярные волокна. Эти компоненты с кондиционирующим действием, разумеется, могут также улучшать косметические свойства натуральных волос. Компонентами с кондиционирующим действием, в высшей степени обычно используемыми на сегодняшний день в шампунях, являются катионные полимеры, силиконы и/или силиконовые производные, которые на деле придают вымытым сухим или влажным волосам легкость расчесывания, мягкость и разглаживание, которые отчетливо усилены по сравнению с тем, чего можно достигать при использовании соответствующих очищающих композиций без этих компонентов. С целью достижения косметических воздействий силиконов по всей длине капиллярного волокна в случае чувствительных волос предпочтительно используют сочетания силиконов с катионными полимерами. Однако и несмотря на недавно достигнутые успехи в области шампуней на основе катионных полимеров и силиконов, эти шампуни в действительности не являются полностью удовлетворительными, так что в настоящее время еще существует большая потребность в новых продуктах, обладающих лучшими характеристиками в отношении одного или нескольких вышеупомянутых косметических свойств. Настоящее изобретение направлено на удовлетворение такой потребности. Так, в результате проводимых в значительном объеме по этому вопросу научно-исследовательских работ заявитель в настоящее время совершенно неожиданно нашел, что, используя (А) специфическую моющую основу и (Б) кондиционирующую систему, включающую, по крайней мере, один особый катионный полимер и, по крайней мере, один аминированный силикон, такие, как указанные ниже, можно получать детергентные композиции с превосходными косметическими свойствами, в особенности в отношении расчесывания, мягкости, гибкости и объема обработанных волос, сохраняя при этом их собственную хорошую моющую способность. Таким образом, согласно настоящему изобретению, в настоящее время предлагаются новые детергентные композиции, содержащие, в косметически приемлемой среде, (А) моющую основу, включающую, по крайней мере, одно анионное поверхностно-активное вещество алкилэфирсульфатного типа и, по крайней мере, одно амфотерное поверхностно-активное вещество алкилбетаинового типа с 8-20 атомами углерода в алкильной части, и (Б) кондиционирующую систему, содержащую, по крайней мере, один аминированный силикон и, по крайней мере, один катионный полимер, выбираемый среди гомополимеров, включающих в качестве основной составляющей цепи звенья, отвечающие формулам (I) и/или (I’): ![]() ![]() где k и t равны 0 или 1; сумма (k + t) равна 1; R3 означает атом водорода или метильный радикал; R1 и R2, независимо друг от друга, означают алкил с 1-22 атомами углерода, гидроксиалкил, в котором алкил содержит предпочтительно 1-5 атомов углерода, низший амидоалкил с 1-5 атомами углерода, или R1 и R2 вместе с атомом азота, с которым они связаны, могут означать гетероциклические группы, такие как пиперидинил или морфолинил; Y– означает анион, такой как бром-анион, хлор-анион, ацетат, борат, цитрат, тартрат, бисульфат, бисульфит, сульфат, фосфат. Предметом изобретения является также использование в косметике вышеуказанных композиций для очищения, кондиционирования кератиновых материалов, таких как волосы и кожа. Композиции могут быть использованы, например, для очищения от декоративной косметики кератиновых материалов, таких как кожа (например, лица, шеи или губ), ресницы, брови. Другие характеристики, аспекты и преимущества изобретения еще более подробно поясняются в нижеследующем описании, так же как в конкретных примерах, предназначенных для иллюстрации и не ограничивающих объема охраны изобретения. Как указано выше, основными компонентами, входящими в состав средств для волос согласно изобретению, являются (А) моющая основа, (Б) кондиционирующая система, включающая (i) по крайней мере, один аминированный силикон и (ii) по крайней мере, один особый катионный полимер. А – Моющая основа Композиции согласно изобретению обязательно содержат моющую основу, обычно водную, включающую одно или несколько анионных поверхностно-активных веществ алкилэфирсульфатного типа и одно или несколько поверхностно-активных амфотерных веществ алкилбетаинового типа с 8-20 атомами углерода в алкильной части. Минимальное количество моющей основы является точно таким, которого достаточно для придания конечной композиции удовлетворительной моющей и/или детергентной способности, и слишком значительные количества моющей основы в действительности не дают никаких дополнительных преимуществ. Таким образом, согласно изобретению, моющая основа может составлять 2-50 мас. %, предпочтительно 10-35 мас.% и еще более предпочтительно 12-25 мас.%, в расчете на общую массу конечной композиции. (i) Анионное поверхностно-активное вещество (анионные поверхностно-активные вещества) алкилэфирсульфатного типа Анионные поверхностно-активные вещества алкилэфирсульфатного типа, используемые индивидуально или в виде смесей в рамках настоящего изобретения, представляют собой соли (в частности, щелочные соли, особенно соли натрия, соли аммония, соли аминов, соли аминоспиртов или соли магния) алкилэфирсульфатов, алкиламидоэфирсульфатов, алкиларилэфирсульфатов; алкилэфирсульфосукцинаты, причем алкильный или ацильный радикал всех этих различных соединений содержит предпочтительно 8-24 атома углерода, а арильный радикал предпочтительно означает фенил или бензил. Среднее число этиленоксидных или пропиленоксидных групп может достигать особенно 2-50 и более предпочтительно 2-10. Из этих анионных поверхностно-активных веществ предпочтительно используют соли алкилэфирсульфатов с 8-14 атомами углерода и более предпочтительно таковые с 12-14 атомами углерода. Эти соли включают особенно 2-5 этиленоксидных групп. Анионные поверхностно-активные вещества обычно находятся в количествах 1-50 мас.%, предпочтительно 1-20 мас.%, в расчете на общую массу композиции. (ii) Амфотерное поверхностно-активное вещество (амфотерные поверхностно-активные вещества) Согласно изобретению, амфотерные поверхностно-активные вещества нужно выбирать среди алкилбетаинов с 8-20 атомами углерода в алкильной части формулы ![]() в которой R означает линейный или разветвленный алкильный радикал с 8-20 атомами углерода, предпочтительно с 10-14 атомами углерода и более предпочтительно с 12-14 атомами углерода. В особенности предпочтительно используют кокобетаин (на основе жирных кислот кокосового масла), выпускаемый в продажу фирмой ХЕНКЕЛЬ под названием DEHYTON AB 30. Амфотерные поверхностно-активные вещества обычно находятся в количествах 1-50 мас.%, предпочтительно 5-20 мас.%, в расчете на общую массу композиции. Б – Кондиционирующая система (i) Аминированные силиконы Согласно существенной характеристике детергентных композиций согласно изобретению, эти последние содержат, кроме того, по крайней мере, один аминированный силикон. В вышеприведенном и нижеследующем тексте данного описания под силиконом или полисилоксаном, в соответствии с общим значением, понимают любой кремнийорганический полимер или олигомер с линейной или циклической структурой, разветвленный или сшитый и с изменяемой молекулярной массой, получаемые путем полимеризации и/или поликонденсации надлежащим образом функционализированных силанов и образованные в основном повторением основных звеньев, в которых атомы кремния связаны между собой атомами кислорода (силоксановая связь Si-O-Si ), причем незамещенные или замещенные углеводородные радикалы непосредственно связаны через атом углерода с вышеуказанными атомами кремния. Наиболее обычными углеводородными радикалами являются алкильные радикалы особенно с 1-10 атомами углерода и, в частности, метил, фторалкильные радикалы, арильные радикалы и, в частности, фенил, а также алкенильные радикалы и, в частности, винил; другими типами радикалов, которые могут быть связаны либо непосредственно, либо через посредство углеводородного радикала, с силоксановой цепью являются особенно водород, галогены и, в частности, хлор, бром или фтор, тиолы, алкоксильные радикалы, полиоксиалкиленовые радикалы (или радикалы простых полиэфиров) и, в частности, полиоксиэтиленовые и/или полиоксипропиленовые радикалы, гидроксильные или гидроксиалкильные радикалы, амидогруппы, ацилокси- или ацилоксиалкильные радикалы, амфотерные или бетаиновые группы, анионные группы, такие как карбоксилатные, тиогликолятные, сульфосукцинатные, тиосульфатные, фосфатные и сульфатные группы, причем этот перечень не нужно понимать как исчерпывающий (так называемые “органомодифицированные силиконы”).
Согласно изобретению, аминированным силиконом называют любой силикон, содержащий, по крайней мере, одну первичную, вторичную, третичную аминогруппу или четвертичную аммониевую группу. Так, можно назвать следующие аминированные силиконы:(а) полисилоксаны, называемые, согласно словарю Ассоциации по парфюмерно-косметическим товарам и душистым веществам, “амодиметиконы” и отвечающие формуле (II): ![]() в которой x’ и у’ означают целые числа, зависящие от молекулярной массы, обычно такие, что вышеуказанная средневесовая молекулярная масса составляет примерно от 5000 до 500000; (б) аминированные силиконы, отвечающие формуле (III): R’aG3-a-Si(OSiG2)n– (OSiGbR’2-b)m-O-SiG3-a-R’a (III) в которой G означает атом водорода или фенил, гидроксил или алкил с 1-8 атомами углерода, например, метил; a означает число 0 или целое число от 1 до 3, в особенности 0; b означает нуль или 1, и в особенности 1; m и n означают такие числа, чтобы сумма (n + m) могла изменяться особенно от 1 до 2000, и в особенности от 50 до 150, причем n может означать число от 0 до 1999, и особенно от 49 до 149, а m может означать число от 1 до 2000, и особенно от 1 до 10; R’ означает одновалентный радикал формулы -CqH2qL, в котором q означает число от 2 до 8 и L означает кватернизованную или некватернизованную аминогруппу, выбираемую среди следующих групп: -NR”-CH2-CH2-N'(R”)2; -N(R”)2; -N+(R”)3A–; -NH+(R”)2A–; -NH2+(R”)A–; -N(R”)-CH2-CH2-N+R”H2A–; в которых R” может означать водород, фенил, бензил или одновалентный насыщенный углеводородный радикал, например, алкильный радикал с 1-20 атомами углерода, и A– означает галоген-анион, такой как, например, фтор-, хлор-, бром- или иод-анион. Соответствующим этому определению продуктом является силикон, называемый “триметилсилиламодиметикон”, отвечающий формуле (IV): ![]() в которой n и m имеют вышеуказанные значения (см. формулу (III)). Такие полимеры описываются, например, в заявке на европейский патент 95238; (в) аминированные силиконы, отвечающие формуле (V): ![]() в которой R5 означает одновалентный углеводородный радикал с 1-18 атомами углерода и, в особенности, алкильный радикал с 1-18 атомами углерода или алкенильный радикал с 2-18 атомами углерода, например, метил; R6 означает двухвалентный углеводородный радикал, особенно алкиленовый радикал с 1-18 атомами углерода, или двухвалентный алкиленокси-радикал с 1-18 атомами углерода, например, с 1-8 атомами углерода, связанный с кремнием связью SiC; Q– означает анион, такой как галотен-анион, особенно хлор-анион, или анион соли органической кислоты (ацетат…); r означает среднестатистическую величину от 2 до 20, в особенности от 2 до 8; s означает среднестатистическую величину от 20 до 200 и в особенности от 20 до 50. Такие аминированные силиконы более предпочтительно описываются в патенте США 4185087. Входящим в этот класс силиконом является силикон, выпускаемый в продажу фирмой Юньон Карбид под названием “Ucar Silicone ALE 56”; (г) силиконы с четвертичными аммониевыми группами формулы (VI): ![]() в которой R7, одинаковые или разные, означают одновалентный углеводородный радикал с 1-18 атомами углерода и в особенности алкильный радикал с 1-18 атомами углерода, алкенильный радикал с 2-18 атомами углерода или цикл, включающий 5 или 6 атомов углерода, например, метил; R6 означает двухвалентный углеводородный радикал, особенно алкиленовый радикал с 1-18 атомами углерода, или двухвалентный алкиленокси-радикал с 1-18 атомами углерода, например, с 1-8 атомами углерода, связанный с кремнием связью SiC; R8, одинаковые или разные, означают атом водорода, одновалентный углеводородный радикал с 1-18 атомами углерода и в особенности алкильный радикал с 1-18 атомами углерода, алкенильный радикал с 2-18 атомами углерода, радикал – R6-NHCOR7; X– означает анион, такой как галоген-анион, особенно хлор-анион, или анион соли органической кислоты (ацетат…); r означает среднестатистическую величину от 2 до 200 и в особенности от 5 до 100. Эти силиконы описываются, например, в заявке на европейский патент 0530974. Входящими в этот класс силиконами являются силиконы, выпускаемые в продажу фирмой ГОЛЬДШМИДТ под названиями ABIL QUAT 3279, ABIL QUAT 3272, ABIL QUAT 3474; (д) аминированные силиконы формулы (VII): ![]() в которой R1, R2, R3 и R4, одинаковые или разные, означают алкильный радикал с 1-4 атомами углерода или фенил; R5 означает алкильный радикал с 1-4 атомами углерода или гидроксил; n означает целое число, изменяющееся в диапазоне от 1 до 5; m означает целое число, изменяющееся в диапазоне от 1 до 5; и где “x” выбирают таким образом, чтобы аминное число составляло от 0,01 до 1 мэкв./г. Согласно изобретению, аминированные силиконы могут находиться в виде масла, водных, спиртовых или водно-спиртовых растворов, в форме дисперсии или эмульсии. В особенности представляющей интерес формой реализации является их использование в виде эмульсии, в особенности в виде микроэмульсий или наноэмульсий. Можно использовать, например, продукт, выпускаемый в продажу фирмой Dow Corning под названием “Emulsion Cationique DC 929”, который включает, кроме амодиметикона, катионное поверхностно-активное вещество – производные жирных кислот сала, называемое (согласно словарю Ассоциации по парфюмерно-косметическим товарам и душистым веществам) Tallowtrimonium, в сочетании с неионным поверхностно-активным веществом, известным под названием “Nonoxynol 10”. Также можно использовать, например, продукт, выпускаемый в продажу фирмой Dow Corning под названием “Emulsion Cationique DC 939”, который включает, кроме амодиметикона, катионное поверхностно-активное вещество – триметилцетиламмонийхлорид – в сочетании с неионным поверхностно-активным веществом – тридецет-12 (trideceth-12). Другим продажным продуктом, используемым согласно изобретению, является продукт, выпускаемый в продажу фирмой Dow Corning под названием “Dow Corning Q2 7224”, включающий, в сочетании с триметилсилиламодиметиконом формулы (IV), неионное поверхностно-активное вещество формулы: C8H17-C6H4-(OCH2CH2)n-OH, где n = 40, называемое еще октоксинол-40, и другое неионное поверхностно-активное вещество формулы: C12H25-(OCH2-CH2)n-OH, где n = 6, называемое еще изолаурет-6 (ixolaureth-6), и гликоль. (ii) Катионный полимер (катионные полимеры): Согласно настоящему изобретению, выражение “катионный полимер” означает любой полимер, содержащий катионные группы и/или группы, ионизируемые до катионных групп. Композиции согласно изобретению, кроме того, обязательно содержат катионный полимер, выбираемый среди гомополимеров, включающих в качестве основной составляющей цепи звенья, отвечающие формулам (I) и (I’): ![]() ![]() в которых k и t равны 0 или 1; сумма (k + t) равна 1; R3 означает атом водорода или метильный радикал; R1 и R2 независимо друг от друга означают алкил с 1-22 атомами углерода, гидроксиалкил, в котором алкильная группа содержит предпочтительно 1-5 атомов углерода, низший аминоалкил с 1-5 атомами углерода, или R1 и R2 вместе с атомом азота, с которым они связаны, могут образовывать гетероциклические группы, такие как пиперидинил или морфолинил; Y– означает анион, такой как бром-, хлор-анион, ацетат, борат, цитрат, тартрат, бисульфат, бисульфит, сульфат, фосфат. Эти полимеры особенно описываются в патенте Франции 2080759, в дополнительном к нему патенте 2190406 или в патентах США 3996146 и 3288770. Предпочтительно, R1 и R2, независимо друг от друга, означают метил или этил, и R3 означает атом водорода. Используемые катионные полимеры обычно имеют средневесовую молекулярную массу около 5000 – 5 106 и предпочтительно около 104 – 5 105.
Из вышеуказанных полимеров более предпочтительно можно назвать гомополимеры диметилдиаллиламмонийхлорида как продукт, выпускаемый в продажу фирмой Калгон под названием “Merquat 100″.
Композиции согласно изобретению содержат вышеуказанные аминированные силиконы в количествах, которые могут составлять 0,05-10 мас.%, предпочтительно 0,1-5 мас. % и еще более предпочтительно 0,2-3 мас.%, в расчете на общую массу композиции.
Согласно изобретению, катионный полимер или катионные полимеры могут составлять 0,001-10 мас.%, предпочтительно 0,005-5 мас.% и еще более предпочтительно 0,01-3 мас.%, в расчете на общую массу конечной композиции.
Наполнителем, или носителем, детергентных композиций согласно изобретению является предпочтительно вода или водно-спиртовой раствор низшего спирта с 1-6 атомами углерода, такого как этанол, изопропанол или бутанол, или смесь воды с алкиленгликолем, как пропиленгликоль и простые эфиры гликоля.
Детергентные композиции согласно изобретению имеют конечное значение pH обычно от 3 до 10, предпочтительно это значение pH составляет от 5,5 до 8. Значение pH можно доводить до желательной величины классически путем добавления в композицию органического или неорганического основания, как, например, аммиак или первичный, вторичный или третичный (поли)амин), такой как моноэтаноламин, диэтаноламин, триэтаноламин, изопропаноламин или пропан-1,3-диамин, или еще путем добавления кислоты, предпочтительно карбоновой кислоты, такой как, например, лимонная кислота.
Композиции согласно изобретению могут содержать, кроме вышеуказанного сочетания, регуляторы вязкости, такие как электролиты или загустители. В особенности можно назвать хлорид натрия, ксилолсульфонат натрия, склероглюканы, ксантановую смолу, алканоламиды жирных кислот, алканоламиды алкилэфирных карбоновых кислот, которые могут быть оксиэтиленированы количеством молей этиленоксида вплоть до 5, как продукт, выпускаемый в продажу фирмой CHEM Y под названием “AMINOL A 15”, сшитые полиакриловые кислоты и сшитые сополимеры акриловой кислоты с алкилакрилатами, содержащими 10-30 атомов углерода в алкильной части. Эти регуляторы вязкости в композициях согласно изобретению используют в количествах, которые могут достигать 10 мас.%, в расчете на общую массу композиции.
Композиции согласно изобретению также могут содержать вплоть до 5% перламутровых добавок или опалесцирующих компонентов, хорошо известных в уровне техники, таких как, например, пальмитаты натрия или магния, стеараты и гидроксистеараты натрия или магния, ацильные производные с алифатической цепью, такие как моностеараты или дистеараты этиленгликоля или полиэтиленгликоля, простые эфиры с алифатическими цепями, такие как дистеариловый эфир или 1-гексадецилоксиоктадодеканол.
Композиции согласно изобретению при необходимости могут содержать, кроме того, другие компоненты в целях улучшения косметических свойств волос или кожи. На этот предмет можно указать катионные поверхностно-активные вещества, анионные или неионные или катионные или амфотерные полимеры, белки, белковые гидролизаты, церамиды, псевдоцерамиды, гидроксикислоты, витамины, пантенол, растительные, животные, минеральные или синтетические масла, водо- или жирорастворимые солнечные фильтры.
Эти композиции также могут содержать различные добавки, обычно используемые в косметике, такие как отдушки, консерванты, комплексообразующие агенты, стабилизаторы пены и подкисляющие или подщелачивающие агенты, хорошо известные в косметике.
Разумеется, специалист должен выбирать этот или эти возможные дополнительные компоненты и/или их количества таким образом, чтобы не ухудшать или существенно не ухудшать за счет предусматриваемой добавки или предусматриваемых добавок предпочтительные свойства, присущие собственно ассоциации (моющая основа + специфический катионный полимер + аминированный силикон).
Эти композиции могут находиться в форме более или менее густых жидкостей, кремов или гелей, и они пригодны главным образом для мытья, ухода за кератиновыми материалами, такими как кожа или волосы.
Композиции согласно изобретению предпочтительно используют в качестве шампуней для мытья и кондиционирования волос, и в этом случае их наносят на влажные волосы в количествах, эффективных для их мытья, причем за этим нанесением следует промывка водой.
Композиции согласно изобретению также используют в качестве гелей для душа с целью мытья и кондиционирования волос и кожи, причем в этом случае их наносят на кожу и влажные волосы и после нанесения смывают.
Композиции согласно изобретению также используют в качестве средств для удаления макияжа с кератиновых материалов, таких как кожа, ресницы, брови.
Предметом изобретения также является способ мытья и кондиционирования кератиновых материалов, таких как волосы, состоящий в нанесении на вышеуказанные намоченные материалы эффективного количества вышеуказанной композиции, затем, по истечении возможного времени выдержки, в осуществлении промывки водой.
Ниже приводятся иллюстрирующие изобретение конкретные примеры, не ограничивающие его объема охраны.
Пример 1Готовят два состава шампуня: один согласно изобретению (композиция А), а другой – сравнительный (композиция Б) (см. таблицу). Шампунь испытывают, нанося около 12 г композиции А на предварительно намоченные волосы. Шампунь вспенивают, затем обильно смывают водой. Повторяют ту же процедуру, что и вышеуказанная, при использовании сравнительной композиции Б. Ряд экспертов оценивает расчесывание мокрых волос, расчесывание влажных, сухих волос, мягкость и разглаживание сухих волос. Все эксперты отмечают отчетливое улучшение этих свойств в случае волос, обработанных композицией А согласно изобретению. Пример 2 Готовят шампунь следующего состава: Этерифицированный лаурилсульфат натрия (C12/C14 в соотношении 70/30 по массе) с 2,2 молями этиленоксида в виде водного раствора с 28% AB – 14 г AB Кокобетаин (на основе жирных кислот кокосового масла) с 32% AB (*) – 3,2 г AB Катионный полимер (**) – 0,1 г Аминированный силикон (***) – 1,05 г AB Смесь 1-гексадецилоксиоктадодеканола с цетиловым спиртом – 2,5 г Моноизопропаноламид на основе кислот копры – 0,6 г 2-Амино-2-метилпропан-1-ол – 0,125 г Лимонная кислота в количестве, достаточном для установления pH – 5,2 Деминерализованная вода – До 100 г Пояснения: (*) DENYTON AB 30 фирмы ХЕНКЕЛЬ(**) Гомополимер диметилдиаллиламмонийхлорида, выпускаемый в продажу фирмой CALGON под названием MERQUAT 100 (молекулярная масса 400000)(***) Амодиметикон, выпускаемый в продажу фирмой DOW CORNING в виде катионной эмульсии с 35% активного вещества под названием FLUID DC 939. Формула изобретения
![]() ![]() где k и t равны 0 или 1; сумма (k + t) равна 1; R3 означает атом водорода или метильный радикал; R1 и R2, независимо друг от друга, означают алкил с 1 – 22 атомами углерода, гидроксиалкил, в котором алкил содержит предпочтительно 1 – 5 атомов углерода, низший амидоалкил с 1 – 5 атомами углерода, или R1 и R2 вместе с атомом азота, с которым они связаны, могут означать гетероциклические группы, такие как пиперидинил или морфолинил; Y– означает анион, такой как бром-анион, хлор-анион, ацетат, борат, цитрат, тартрат, бисульфат, бисульфит, сульфат, фосфат. 2. Композиция по п.1, отличающаяся тем, что R1 и R2 независимо друг от друга означают метил или этил, R3 означает атом водорода. 3. Композиция по любому из пп.1 и 2, отличающаяся тем, что вышеуказанный катионный полимер выбирают среди гомополимеров диметилдиаллиламмонийхлорида. 4. Композиция по любому из пп.1 – 3, отличающаяся тем, что анионные поверхностно-активные вещества алкилэфирсульфатного типа представляют собой соли алкилэфирсульфатов, алкиламидоэфирсульфатов, алкиларилэфирсульфатов; алкилэфирсульфосукцинаты, причем алкильный или ацильный радикал всех этих различных соединений содержит предпочтительно 8 – 24 атома углерода, а арильный радикал предпочтительно означает фенил или бензил. 5. Композиция по любому из пп.1 – 4, отличающаяся тем, что анионное поверхностно-активное вещество алкилэфирсульфатиного типа выбирают среди солей алкилэфирсульфатов с 10 – 14 атомами углерода и более предпочтительно среди таковых с 12 – 14 атомами углерода. 6. Композиция по любому из пп.1 – 5, отличающаяся тем, что амфотерным поверхностно-активным является вещество алкилбетаионового типа с 10 – 14 атомами углерода в алкильной части. 7. Композиция по любому из пп.1 – 6, отличающаяся тем, что аминированный силикон выбирают из а) полисилоксанов отвечающих формуле (IV) ![]() где x’ и y’ означают целые числа, зависящие от молекулярной массы, обычно такие, что вышеуказанная среднечисловая молекулярная масса составляет примерно от 5000 до 500000; (б) аминированных силиконов, отвечающих формуле V R’aG3-a-Si(OSiG2)n-(OSiGbR’2-b)m-O-SiG3-a-R’a, где G означает атом водорода или фенил, гидроксил или алкил с 1 – 8 атомами углерода, например, метил; a означает число 0 или целое число от 1 до 3, в особенности 0; b означает 0 или 1, и в особенности 1; m и n означают такие числа, чтобы сумма (n + m) могла изменяться особенно от 1 до 2000, и в особенности от 50 до 150, причем n может означать число от 0 до 1999, и особенно от 49 до 149, а m может означать число от 1 до 2000, и особенно от 1 до 10; R’ означает одновалентный радикал формулы -CgH2gL, в котором g означает число от 2 до 8 и L означает кватернизованную или некватернизованную аминогруппу, выбираемую среди следующих групп: -NR” -CH2-CH2-N’ (R”)2; -N(R”)2; -N(R”)2; -N+ (R”)3A–; NH+(R”)2A–; -NH2+(R”)A–; -N(R”) – CH2-CH2-N+R”H2A–, в которых R” может означать водород, фенил, бензил или одновалентный насыщенный углеводородный радикал, например, алкильный радикал с 1 – 20 атомами углерода, и A– означает галоген-анион, такой как, например, фтор-, хлор-, бром- или иод-анион. (в) аминированных силиконов, отвечающих формуле VII ![]() где R5 означает одновалентный углеводородный радикал с 1 – 18 атомами углерода и, в особенности, алкильный радикал с 1 – 18 атомами углерода или алкенильный радикал с 2 – 18 атомами углерода, например, метил; R6 означает двухвалентный углеводородный радикал, особенно алкиленовый радикал с 1 – 18 атомами углерода, или двухвалентный алкиленокси-радикал с 1 – 18 атомами углерода, например с 1 – 8 атомами углерода, связанный с кремнием связью SiC; Q– означает анион, такой как галоген-анион, особенно хлоранион, или анион соли органической кислоты (ацетат…); r означает среднестатистическую величину от 2 до 20, в особенности от 2 до 8; s означает среднестатистическую величину от 20 до 200, в особенности от 20 до 50. (г) силиконы с четвертичными аммониевыми группами формулы VIIb ![]() где R7 одинаковые или разные, означают одновалентный углеводородный радикал с 1 – 18 атомами углерода и в особенности алкильный радикал с 1 – 18 атомами углерода, алкенильный радикал с 2 – 18 атомами углерода или цикл, включающий 5 или 6 атомов углерода, например, метил; R6 означает двухвалентный углеводородный радикал, особенно алкиленовый радикал с 1 – 18 атомами углерода, или двухвалентный алкиленокси-радикал с 1 – 18 атомами углерода, например, с 1 – 18 атомами углерода, связанный с кремнием связью SiC; R8 одинаковые или разные, означают атом водорода, одновалентный углеводородный радикал с 1 – 18 атомами углерода и в особенности алкильный радикал с 1 – 18 атомами углерода, алкенильный радикал с 2 – 18 атомами углерода, радикал – R6NHCOR7; X– означает анион, такой как галоген-анион, особенно хлоранион, или анион соли органической кислоты (ацетат…); r означает среднестатистическую величину от 2 до 200 и в особенности от 5 до 100. (д) аминированные силиконы формулы VI ![]() где R1, R2, R3 и R4, одинаковые или разные, означают алкильный радикал с 1 – 4 атомами углерода или фенил; R5 означает алкильный радикал с 1 – 4 атомами углерода или гидроксил; n означает целое число, изменяющееся в диапазоне от 1 до 5; m означает целое число, изменяющееся в диапазоне от 1 до 5; x выбирают таким образом, чтобы аминное число составляло 0,01 – 1 мэкв. /г. 8. Композиция по любому из пп.1 – 7, отличающаяся тем, что вышеуказанное анионное поверхностно-активное вещество или вышеуказанные анионные поверхностно-активные вещества находятся в количествах 1 – 50 мас.%, предпочтительно 5 – 20 мас.%, в расчете на общую массу композиции. 9. Композиция по любому из пп.1 – 8, отличающаяся тем, что вышеуказанное амфотерное поверхностно-активное вещество или вышеуказанные поверхностно-активные вещества находятся в количествах 1 – 50 мас.%, предпочтительно 1 – 20 мас.%, в расчете на общую массу композиции. 10. Композиция по любому из пп.1 – 9, отличающаяся тем, что вышеуказанный катионный полимер находится в количестве 0,001 – 10 мас.%, предпочтительно 0,005 – 5 мас.% и в особенности 0,01 – 3 мас.%, в расчете на общую массу композиции. 11. Композиция по любому из пп.1 – 10, отличающаяся тем, что вышеуказанный аминированный силикон находится в количестве 0,05 – 10 мас.%, предпочтительно 0,1 – 5 мас.%, в расчете на общую массу композиции. 12. Композиция по любому из пп.1 – 11 для очищения и/или кондиционирования и/или удаления макияжа с кератиновых материалов. 13. Способ мытья и кондиционирования кератиновых материалов, таких как волосы, отличающийся тем, что на намоченные материалы наносят эффективное количество композиции по любому из пп.1 – 11, затем и по истечении времени выдержки, осуществляют промывку водой. РИСУНКИ
MM4A – Досрочное прекращение действия патента СССР или патента Российской Федерации на изобретение из-за неуплаты в установленный срок пошлины за поддержание патента в силе
Дата прекращения действия патента: 07.04.2007
Извещение опубликовано: 20.07.2010 БИ: 20/2010
|
||||||||||||||||||||||||||




Si-O-Si






106 и предпочтительно около 104 – 5
100″.
Композиции согласно изобретению содержат вышеуказанные аминированные силиконы в количествах, которые могут составлять 0,05-10 мас.%, предпочтительно 0,1-5 мас. % и еще более предпочтительно 0,2-3 мас.%, в расчете на общую массу композиции.
Согласно изобретению, катионный полимер или катионные полимеры могут составлять 0,001-10 мас.%, предпочтительно 0,005-5 мас.% и еще более предпочтительно 0,01-3 мас.%, в расчете на общую массу конечной композиции.
Наполнителем, или носителем, детергентных композиций согласно изобретению является предпочтительно вода или водно-спиртовой раствор низшего спирта с 1-6 атомами углерода, такого как этанол, изопропанол или бутанол, или смесь воды с алкиленгликолем, как пропиленгликоль и простые эфиры гликоля.
Детергентные композиции согласно изобретению имеют конечное значение pH обычно от 3 до 10, предпочтительно это значение pH составляет от 5,5 до 8. Значение pH можно доводить до желательной величины классически путем добавления в композицию органического или неорганического основания, как, например, аммиак или первичный, вторичный или третичный (поли)амин), такой как моноэтаноламин, диэтаноламин, триэтаноламин, изопропаноламин или пропан-1,3-диамин, или еще путем добавления кислоты, предпочтительно карбоновой кислоты, такой как, например, лимонная кислота.
Композиции согласно изобретению могут содержать, кроме вышеуказанного сочетания, регуляторы вязкости, такие как электролиты или загустители. В особенности можно назвать хлорид натрия, ксилолсульфонат натрия, склероглюканы, ксантановую смолу, алканоламиды жирных кислот, алканоламиды алкилэфирных карбоновых кислот, которые могут быть оксиэтиленированы количеством молей этиленоксида вплоть до 5, как продукт, выпускаемый в продажу фирмой CHEM Y под названием “AMINOL A 15”, сшитые полиакриловые кислоты и сшитые сополимеры акриловой кислоты с алкилакрилатами, содержащими 10-30 атомов углерода в алкильной части. Эти регуляторы вязкости в композициях согласно изобретению используют в количествах, которые могут достигать 10 мас.%, в расчете на общую массу композиции.
Композиции согласно изобретению также могут содержать вплоть до 5% перламутровых добавок или опалесцирующих компонентов, хорошо известных в уровне техники, таких как, например, пальмитаты натрия или магния, стеараты и гидроксистеараты натрия или магния, ацильные производные с алифатической цепью, такие как моностеараты или дистеараты этиленгликоля или полиэтиленгликоля, простые эфиры с алифатическими цепями, такие как дистеариловый эфир или 1-гексадецилоксиоктадодеканол.
Композиции согласно изобретению при необходимости могут содержать, кроме того, другие компоненты в целях улучшения косметических свойств волос или кожи. На этот предмет можно указать катионные поверхностно-активные вещества, анионные или неионные или катионные или амфотерные полимеры, белки, белковые гидролизаты, церамиды, псевдоцерамиды, гидроксикислоты, витамины, пантенол, растительные, животные, минеральные или синтетические масла, водо- или жирорастворимые солнечные фильтры.
Эти композиции также могут содержать различные добавки, обычно используемые в косметике, такие как отдушки, консерванты, комплексообразующие агенты, стабилизаторы пены и подкисляющие или подщелачивающие агенты, хорошо известные в косметике.
Разумеется, специалист должен выбирать этот или эти возможные дополнительные компоненты и/или их количества таким образом, чтобы не ухудшать или существенно не ухудшать за счет предусматриваемой добавки или предусматриваемых добавок предпочтительные свойства, присущие собственно ассоциации (моющая основа + специфический катионный полимер + аминированный силикон).
Эти композиции могут находиться в форме более или менее густых жидкостей, кремов или гелей, и они пригодны главным образом для мытья, ухода за кератиновыми материалами, такими как кожа или волосы.
Композиции согласно изобретению предпочтительно используют в качестве шампуней для мытья и кондиционирования волос, и в этом случае их наносят на влажные волосы в количествах, эффективных для их мытья, причем за этим нанесением следует промывка водой.
Композиции согласно изобретению также используют в качестве гелей для душа с целью мытья и кондиционирования волос и кожи, причем в этом случае их наносят на кожу и влажные волосы и после нанесения смывают.
Композиции согласно изобретению также используют в качестве средств для удаления макияжа с кератиновых материалов, таких как кожа, ресницы, брови.
Предметом изобретения также является способ мытья и кондиционирования кератиновых материалов, таких как волосы, состоящий в нанесении на вышеуказанные намоченные материалы эффективного количества вышеуказанной композиции, затем, по истечении возможного времени выдержки, в осуществлении промывки водой.
Ниже приводятся иллюстрирующие изобретение конкретные примеры, не ограничивающие его объема охраны.
Пример 1




