|
|
|
|
РОССИЙСКАЯ ФЕДЕРАЦИЯ

ФЕДЕРАЛЬНАЯ СЛУЖБА ПО ИНТЕЛЛЕКТУАЛЬНОЙ СОБСТВЕННОСТИ, ПАТЕНТАМ И ТОВАРНЫМ ЗНАКАМ |
(19) |
RU |
(11) |
2220955 |
(13) |
C1 |
|
(51) МПК 7
C07C333/20, A61K31/185, A61P27/14
|
(12) ОПИСАНИЕ ИЗОБРЕТЕНИЯ К ПАТЕНТУ
| Статус: по данным на 18.03.2011 – действует |
|
|
|
|
|
(21), (22) Заявка: 2002131894/04, 27.11.2002
(24) Дата начала отсчета срока действия патента:
27.11.2002
(45) Опубликовано: 10.01.2004
(56) Список документов, цитированных в отчете о поиске:
SU 218754, 30.08.1968. WO 00/14061, А1, 16.03.2000. DE 2537935, А, 18.03.1976.
Адрес для переписки:
115478, Москва, Каширское шоссе, 24, корп.2, Институт иммунологии МЗ РФ, патентоведу Т.П.Ивановой
|
(72) Автор(ы):
Хаитов Р.М., Гущин И.С., Читаева В.Г., Касымова А.Т., Скачилова С.Я., Дружинина В.В., Шилова Е.В.
(73) Патентообладатель(и):
Государственное предприятие Институт иммунологии Федерального управления медико-биологических и экстремальных проблем при Министерстве здравоохранения РФ
|
(54) ПРОИЗВОДНЫЕ N,N-ДИЭТИЛДИТИОКАРБАМИНОВОЙ КИСЛОТЫ, ОБЛАДАЮЩИЕ ПРОТИВОАЛЛЕРГИЧЕСКОЙ АКТИВНОСТЬЮ
(57) Реферат:
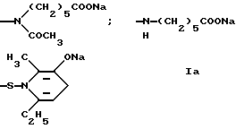
Настоящее изобретение относится к производным N,N-диэтилдитио-карбаминовой кислоты формулы I, в которой R имеет значения группы Iа. Соединения обладают противоаллергической активностью. 4 ил., 1 табл.

Текст описания в факсимильном виде (см. графическую часть)а
Формула изобретения
Производные N,N-диэтилдитиокарбаминовой кислоты общей формулы 1
где R группа формулы
обладающие противоаллергической активностью
РИСУНКИ
Рисунок 1, Рисунок 2, Рисунок 3, Рисунок 4, Рисунок 5, Рисунок 6, Рисунок 7, Рисунок 8, Рисунок 9, Рисунок 10, Рисунок 11, Рисунок 12, Рисунок 13
|
|
|
|
|