Патент на изобретение №2220954
|
||||||||||||||||||||||||||
(54) ЗАМЕЩЕННЫЕ
(57) Реферат: Изобретение относится к соединениям общей формулы (I) ![]() где R1 является водородом или низшим алкилом; X1, X2 и X6 независимо представляют CR2; один из X3, X4 и X5 представляет CR3 и другие независимо представляют CR2, где R2 является водородом, низшим алкилом или низшим алкокси; и R3 представляет группу -L1-(CH2)n-C(=O)-NR4-CH2-CH2-Y, в которой R4 является арилом или гетероарилом, или R4 является алкилом или алкенилом, каждый необязательно замещенный одной или более группами, выбранными из галогена, оксо, R5 или NH-C(=O)R7, или R4 является циклоалкилом или гетероциклоалкилом, каждый необязательно замещенный одной или более группами, выбранными из оксо, R6 или -L-R6; R5 является карбокси, арилом, циклоалкилом, гетероарилом, гетероциклоалкилом, -ZR7 или -NY1Y2; R6 является арилом или гетероциклоалкилом; R7 является алкилом или арилом; L2 является алкиленом; Y1 и Y2 независимо являются водородом, алкилом или арилом; или группа -NY1Y2 может образовывать 5-7-членный циклический амин, который (i) может быть необязательно замещенным одним или более заместителем, выбранным из оксо или алкила; и (ii) может также содержать О в качестве дополнительного гетероатома; Z представляет О и L1 представляет R9-R10 – связь, в которой R9 является прямой или разветвленной C1-6 алкиленовой цепью, R10 является -C(=Z)-NR11-; R11 представляет водород или R4; Y представляет карбоксигруппу, n – целое число от 1 до 6; и его пролекарствам, и фармацевтически приемлемым солям, сольватам таких соединений и их пролекарствам; соединениям формулы Iа, где один из X4 или X5 группа C-R9-CON(R11)-CH2-CON(R4)-CH2-CH2-Y X1 и X2 – CR2; X3 и X6 = СН; другая группа X4 или X5 = СН; фармацевтической композиции, обладающей способностью регулировать взаимодействие VCAM-1 и фибронектина с интегрином VLA-4 ( 1 1); и способам лечения человека или животных, страдающих или предрасположенных к заболеваниям, которые можно лечить введением ингибитора клеточной адгезии. 5 с. и 25 з.п. ф-лы, 16 табл.
Текст описания в факсимильном виде (см. графический материал)
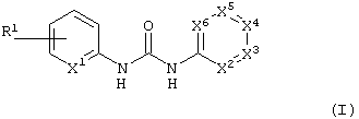
Формула изобретения 1. Соединение общей формулы (I)
где R1 является водородом или низшим алкилом;
X1, X2 и X6 независимо представляют CR2;
один из X3, X4 и X5 представляет CR3 и другие независимо представляют CR2, где R2 является водородом, низшим алкилом или низшим алкокси;
R3 представляет группу
-Ll-(CH2)n-C(=O)-NR4-CH2-CH2-Y,
в которой R4 является арилом или гетероарилом или R4 является алкилом или алкенилом, каждый необязательно замещенный одной или более группами, выбранными из галогена, оксо, R5 или NH-C(=O)R7, или R4 является циклоалкилом или гетероциклоалкилом, каждый необязательно замещенный одной или более группами, выбранными из оксо, R6 или -L2-R6;
R5 является карбокси, арилом, циклоалкилом, гетероарилом, гетероциклоалкилом, -ZR7 или -NY1Y2;
R6 является арилом или гетероциклоалкилом;
R7 является алкилом или арилом;
L2 является алкиленом;
Y1 и Y2 независимо являются водородом, алкилом или арилом или группа -NY1Y2 может образовывать 5-7-членный циклический амин, который (i) может быть необязательно замещенным одним или более заместителями, выбранными из оксо или алкила, и (ii) может также содержать О в качестве дополнительного гетероатома;
Z представляет О;
L1 представляет -R9-R10-связь, в которой R9 является прямой или разветвленной C1-6 алкиленовой цепью;
R10 является -C(=Z)-NR11-;
R11 представляет водород или R4;
Y представляет карбоксигруппу,
n – целое число от 1 до 6;
и его пролекарства, и фармацевтически приемлемые соли и сольваты таких соединений и их пролекарств.
2. Соединение по п.1, в котором R1 представляет водород.
3. Соединение по п.1 или 2, в котором Х1 представляет CR2, где R2 является С1-4 алкилом или С1-4 алкокси.
4. Соединение по п.3, в котором R2 является метилом.
5. Соединение по одному из предшествующих пунктов, в котором X2 представляет CR2, где R2 является С1-4 алкилом или С1-4 алкокси.
6. Соединение по п.5, в котором R2 является метокси.
7. Соединение по одному из предшествующих пунктов, в котором X3 представляет СН.
8. Соединение по одному из предшествующих пунктов, в котором X6 представляет СН.
9. Соединение по одному из предшествующих пунктов, в котором один из X4 и X5 представляет CR3 и другой представляет СН.
10. Соединение по п.9, в котором в группе R3 фрагмент L1 представляет -R9-R10– связь, где R9 представляет прямую или разветвленную С1-6 алкиленовую цепь, и R10 представляет -С(=O)-NR11, где R11 выбирают из одной из следующих групп:
(i) водорода;
(ii) С1-6 алкила;
(iii) C1-6 алкила, замещенного R5, где R5 является арилом;
(iv) C1-6 алкила, замещенного R5, где R5 является гетероарилом;
(v) C1-6 алкила, замещенного R5, где R5 является циклоалкилом;
(vi) C1-6 алкила, замещенного R5, где R5 является карбокси, или
(vii) C1-6 алкила, замещенного R5, где R5 является -NY1Y2.
11. Соединение по одному из предшествующих пунктов, в котором в группе R3 n является 1.
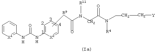
12. Соединения формулы (Iа)
в которых R4, R9, R11 и Y являются такими, как определено в п.1;
X1 и Х2 каждый независимо представляет CR2 (где каждая группа R2 является такой, как определено в одном из пп.1, 3, 4, 5 или 6) и -R9-CON(R11)-CH2-CON(R4)-CH2-CH2-Y присоединяется к кольцу в 3- или 4-м положении,
и их пролекарства и фармацевтически приемлемые соли и сольваты (например, гидраты) соединений формулы (Iа) и их пролекарства.
13. Соединение по одному из предшествующих пунктов, в котором R9 представляет прямой или разветвленный С1-4 алкилен.
14. Соединение по п.13, в котором R9 представляет метилен.
15. Соединение по одному из предшествующих пунктов, в котором R11 представляет водород, прямой или разветвленный С1-4 алкил, прямой или разветвленный С1-3 алкил, замещенный арилом, гетероарилом, С3-8 цик-лоалкилом или карбокси, или прямой, или разветвленный С2-3 алкил, замещенный -NY1Y2.
16. Соединение по одному из предшествующих пунктов, в котором R11 представляет водород.
17. Соединение по одному из предшествующих пунктов, в котором R4 представляет прямой или разветвленный С1-6 алкил, замещенный R5, где R5 является арилом.
18. Соединение по п.17, в котором R4 представляет 3,4-диС1-3 алкоксибензил.
19. Соединение по одному из пп.12-18, в котором группа -R9-C(=O)-N(R11)-C(=O)-NR4-CH2-CH2-Y присоединяется к 4-му положению кольца.
20. Соединение по п.12, в котором R4 представляет С1-10 алкил, C1-6 алкил, замещенный арилом, гетероарилом, циклоалкилом, гетероциклоалкилом, С1-6 алкокси, галогеном или -NY1Y2, или R4 представляет С1-4 алкенил; R11 представляет водород, С1-4 алкил, C1-3 алкил, замещенный арилом, гетероарилом, С3-8 циклоалкилом или карбокси, или R11 представляет С2-3 алкил, замещенный -NY1Y2; R9 представляет С1-4 алкилен; X1 представляет CR2, где R2 является C1-4алкилом; X2 представляет CR2, где R2 является С1-4алкокси; Y представляет карбокси; и группа -R-C(=O)-N(R4)-CH2-C(=O)-NR4-CH2-CH2-Y присоединяется к 4-му положению кольца; и их пролекарства и фармацевтически приемлемые соли и сольваты (например, гидраты) таких соединений и их пролекарства.
21. Соединение по п.1, выбранное из следующего:
3-{[({[3-метокси-4-(3-о-толилуреидо)фенил]ацетил}-N-метиламино)ацетил]-[3-(2-оксо-пирролидин-1-ил)-проп-1-ил]амино}-пропионовой кислоты (соединение А);
3-{(3,4-диметоксибензил)-[({[3-метокси-4-(3-о-толилуреидо)фенил]-ацетил-N-метиламино)ацетил]амино}пропионовой кислоты (соединение С);
3-{[({[3-метокси-4-(3-о-толилуреидо)фенил]ацетил}амино)ацетил]-[3-(2-оксопирролидин-1-ил)-проп-1-ил]амино}пропионовой кислоты (соединение D);
3-[(2,3-диметоксибензил)-([2-[3-метокси-4-(3-о-толилуреидо)фенил]-ацетиламино}ацетил)амино]пропионовой кислоты (соединение АО);
3-[N-(3,4-диметоксибензил)-2-{2-[3-метокси-4-(3-о-толилуреидо)-фенил]ацетиламино}ацетамидо]пропионовой кислоты (соединение BD);
3-{[({[3-метокси-4-(3-о-толилуреидо)фенил]ацетил}-N-метиламино)-ацетил]-(3-карбоксипроп-1-ил)амино}пропионовой кислоты (соединение KW);
3-{(3-этокси-4-метоксибензил)-[({[3-метокси-4-(3-о-толилуреидо)фенил]ацетил}амино)ацетил]амино}пропионовой кислоты (соединение LE);
3-{(3,4-диэтоксибензил)-[({[3-метокси-4-(3-о-толилуреидо)фенил]-ацетил}амино)ацетил]амино}пропионовой кислоты (соединение LF),
и их пролекарств, и фармацевтически приемлемых солей и сольватов таких соединений и их пролекарств.
22. 3-[N-(3,4-диметоксибензил)-2-{2-[3-метокси-4-(3-о-толилуреидо)-фенил]ацетиламино}ацетамидо]пропионовая кислота (соединение BD) и его фармацевтически приемлемые соли и сольваты.
23. Фармацевтическая композиция, обладающая способностью регулировать взаимодействие VCAM-I и фибронектина с интегрином VLA-4 ( 1 1), содержащая эффективное количество соединения по п.1 или фармацевтически приемлемой соли или сольвата такого соединения в сочетании с фармацевтически приемлемым носителем или эксципиентом.
24. Соединение по п.1 или соответствующее пролекарство, или фармацевтически приемлемая соль, или сольват такого соединения, или его пролекарства для использования при лечении пациента, страдающего от или предрасположенного к заболеваниям, которые можно лечить введением ингибитора клеточной адгезии, осуществляемой при участии 4 1.
25. Композиция по п.23 для использования при лечении пациента, страдающего от или предрасположенного к заболеваниям, которые можно лечить введением ингибитора клеточной адгезии, осуществляемой при участии 4 1.
26. Соединение по п.1 для использования при лечении воспалительных заболеваний.
27. Соединение по п.1 для использования при лечении астмы.
28. Соединение по п.1, или соответствующее пролекарство, или фармацевтически приемлемая соль, или сольват такого соединения, или его пролекарство, используемое в производстве медицинского препарата для лечения пациента, страдающего от или предрасположенного к заболеваниям, которые можно лечить введением ингибитора клеточной адгезии, осуществляемой при участии 4 1.
29. Соединение по п.1, или соответствующее пролекарство, или фармацевтически приемлемая соль, или сольват такого соединения, или его пролекарство, используемое в производстве медицинского препарата для лечения астмы.
30. Способ лечения человека или животных, страдающих от или предрасположенных к заболеваниям, которые можно лечить введением ингибитора клеточной адгезии, осуществляемой при участии 4 1, включающий введение указанному пациенту эффективного количества соединения по п.1, или соответствующего пролекарства, или фармацевтически приемлемой соли, или сольвата такого соединения, или его пролекарства.
РИСУНКИ
MM4A – Досрочное прекращение действия патента СССР или патента Российской Федерации на изобретение из-за неуплаты в установленный срок пошлины за поддержание патента в силе
Дата прекращения действия патента: 24.12.2005
Извещение опубликовано: 20.12.2007 БИ: 35/2007
|
||||||||||||||||||||||||||

-АЛАНИНЫ
1
где R1 является водородом или низшим алкилом;
X1, X2 и X6 независимо представляют CR2;
один из X3, X4 и X5 представляет CR3 и другие независимо представляют CR2, где R2 является водородом, низшим алкилом или низшим алкокси;
R3 представляет группу
-Ll-(CH2)n-C(=O)-NR4-CH2-CH2-Y,
в которой R4 является арилом или гетероарилом или R4 является алкилом или алкенилом, каждый необязательно замещенный одной или более группами, выбранными из галогена, оксо, R5 или NH-C(=O)R7, или R4 является циклоалкилом или гетероциклоалкилом, каждый необязательно замещенный одной или более группами, выбранными из оксо, R6 или -L2-R6;
R5 является карбокси, арилом, циклоалкилом, гетероарилом, гетероциклоалкилом, -ZR7 или -NY1Y2;
R6 является арилом или гетероциклоалкилом;
R7 является алкилом или арилом;
L2 является алкиленом;
Y1 и Y2 независимо являются водородом, алкилом или арилом или группа -NY1Y2 может образовывать 5-7-членный циклический амин, который (i) может быть необязательно замещенным одним или более заместителями, выбранными из оксо или алкила, и (ii) может также содержать О в качестве дополнительного гетероатома;
Z представляет О;
L1 представляет -R9-R10-связь, в которой R9 является прямой или разветвленной C1-6 алкиленовой цепью;
R10 является -C(=Z)-NR11-;
R11 представляет водород или R4;
Y представляет карбоксигруппу,
n – целое число от 1 до 6;
и его пролекарства, и фармацевтически приемлемые соли и сольваты таких соединений и их пролекарств.
2. Соединение по п.1, в котором R1 представляет водород.
3. Соединение по п.1 или 2, в котором Х1 представляет CR2, где R2 является С1-4 алкилом или С1-4 алкокси.
4. Соединение по п.3, в котором R2 является метилом.
5. Соединение по одному из предшествующих пунктов, в котором X2 представляет CR2, где R2 является С1-4 алкилом или С1-4 алкокси.
6. Соединение по п.5, в котором R2 является метокси.
7. Соединение по одному из предшествующих пунктов, в котором X3 представляет СН.
8. Соединение по одному из предшествующих пунктов, в котором X6 представляет СН.
9. Соединение по одному из предшествующих пунктов, в котором один из X4 и X5 представляет CR3 и другой представляет СН.
10. Соединение по п.9, в котором в группе R3 фрагмент L1 представляет -R9-R10– связь, где R9 представляет прямую или разветвленную С1-6 алкиленовую цепь, и R10 представляет -С(=O)-NR11, где R11 выбирают из одной из следующих групп:
(i) водорода;
(ii) С1-6 алкила;
(iii) C1-6 алкила, замещенного R5, где R5 является арилом;
(iv) C1-6 алкила, замещенного R5, где R5 является гетероарилом;
(v) C1-6 алкила, замещенного R5, где R5 является циклоалкилом;
(vi) C1-6 алкила, замещенного R5, где R5 является карбокси, или
(vii) C1-6 алкила, замещенного R5, где R5 является -NY1Y2.
11. Соединение по одному из предшествующих пунктов, в котором в группе R3 n является 1.
12. Соединения формулы (Iа)
в которых R4, R9, R11 и Y являются такими, как определено в п.1;
X1 и Х2 каждый независимо представляет CR2 (где каждая группа R2 является такой, как определено в одном из пп.1, 3, 4, 5 или 6) и -R9-CON(R11)-CH2-CON(R4)-CH2-CH2-Y присоединяется к кольцу в 3- или 4-м положении,
и их пролекарства и фармацевтически приемлемые соли и сольваты (например, гидраты) соединений формулы (Iа) и их пролекарства.
13. Соединение по одному из предшествующих пунктов, в котором R9 представляет прямой или разветвленный С1-4 алкилен.
14. Соединение по п.13, в котором R9 представляет метилен.
15. Соединение по одному из предшествующих пунктов, в котором R11 представляет водород, прямой или разветвленный С1-4 алкил, прямой или разветвленный С1-3 алкил, замещенный арилом, гетероарилом, С3-8 цик-лоалкилом или карбокси, или прямой, или разветвленный С2-3 алкил, замещенный -NY1Y2.
16. Соединение по одному из предшествующих пунктов, в котором R11 представляет водород.
17. Соединение по одному из предшествующих пунктов, в котором R4 представляет прямой или разветвленный С1-6 алкил, замещенный R5, где R5 является арилом.
18. Соединение по п.17, в котором R4 представляет 3,4-диС1-3 алкоксибензил.
19. Соединение по одному из пп.12-18, в котором группа -R9-C(=O)-N(R11)-C(=O)-NR4-CH2-CH2-Y присоединяется к 4-му положению кольца.
20. Соединение по п.12, в котором R4 представляет С1-10 алкил, C1-6 алкил, замещенный арилом, гетероарилом, циклоалкилом, гетероциклоалкилом, С1-6 алкокси, галогеном или -NY1Y2, или R4 представляет С1-4 алкенил; R11 представляет водород, С1-4 алкил, C1-3 алкил, замещенный арилом, гетероарилом, С3-8 циклоалкилом или карбокси, или R11 представляет С2-3 алкил, замещенный -NY1Y2; R9 представляет С1-4 алкилен; X1 представляет CR2, где R2 является C1-4алкилом; X2 представляет CR2, где R2 является С1-4алкокси; Y представляет карбокси; и группа -R-C(=O)-N(R4)-CH2-C(=O)-NR4-CH2-CH2-Y присоединяется к 4-му положению кольца; и их пролекарства и фармацевтически приемлемые соли и сольваты (например, гидраты) таких соединений и их пролекарства.
21. Соединение по п.1, выбранное из следующего:
3-{[({[3-метокси-4-(3-о-толилуреидо)фенил]ацетил}-N-метиламино)ацетил]-[3-(2-оксо-пирролидин-1-ил)-проп-1-ил]амино}-пропионовой кислоты (соединение А);
3-{(3,4-диметоксибензил)-[({[3-метокси-4-(3-о-толилуреидо)фенил]-ацетил-N-метиламино)ацетил]амино}пропионовой кислоты (соединение С);
3-{[({[3-метокси-4-(3-о-толилуреидо)фенил]ацетил}амино)ацетил]-[3-(2-оксопирролидин-1-ил)-проп-1-ил]амино}пропионовой кислоты (соединение D);
3-[(2,3-диметоксибензил)-([2-[3-метокси-4-(3-о-толилуреидо)фенил]-ацетиламино}ацетил)амино]пропионовой кислоты (соединение АО);
3-[N-(3,4-диметоксибензил)-2-{2-[3-метокси-4-(3-о-толилуреидо)-фенил]ацетиламино}ацетамидо]пропионовой кислоты (соединение BD);
3-{[({[3-метокси-4-(3-о-толилуреидо)фенил]ацетил}-N-метиламино)-ацетил]-(3-карбоксипроп-1-ил)амино}пропионовой кислоты (соединение KW);
3-{(3-этокси-4-метоксибензил)-[({[3-метокси-4-(3-о-толилуреидо)фенил]ацетил}амино)ацетил]амино}пропионовой кислоты (соединение LE);
3-{(3,4-диэтоксибензил)-[({[3-метокси-4-(3-о-толилуреидо)фенил]-ацетил}амино)ацетил]амино}пропионовой кислоты (соединение LF),
и их пролекарств, и фармацевтически приемлемых солей и сольватов таких соединений и их пролекарств.
22. 3-[N-(3,4-диметоксибензил)-2-{2-[3-метокси-4-(3-о-толилуреидо)-фенил]ацетиламино}ацетамидо]пропионовая кислота (соединение BD) и его фармацевтически приемлемые соли и сольваты.
23. Фармацевтическая композиция, обладающая способностью регулировать взаимодействие VCAM-I и фибронектина с интегрином VLA-4 (