Патент на изобретение №2220952
|
||||||||||||||||||||||||||
(54) СЛОЖНОЭФИРНЫЕ СОЕДИНЕНИЯ
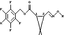
(57) Реферат: Изобретение относится к сложноэфирным соединениям формулы I ![]() где R означает водород, C1-С3 алкильную группу, незамещенную или замещенную одним или более атомами галогена, аллильную группу; Х означает водород, галоген, C1-С3 алкильную группу, С2-С3 алкинильную группу, незамещенную или замещенную одним или более атомами галогена, C1-С3 алкоксильную группу, C1-С3 алкоксиметильную группу. Соединения I проявляют инсектицидную активность, что позволяет использовать их в композиции для подавления вредителей. 2 с. и 7 з.п.ф-лы, 19 табл. Текст описания в факсимильном виде (см. графическую часть)а Формула изобретения 1. Сложноэфирное соединение, представленное формулой
где R представляет собой атом водорода, C1-C3 алкильную группу, незамещенную или замещенную одним или более атомами галогена, аллильную группу или пропаргильную группу;
Х представляет собой атом водорода, атом галогена, C1-С3 алкильную группу, С2-С3 алкинильную группу, незамещенную или замещенную одним или более атомами галогена, C1-С3 алкоксильную группу; или C1-С3 алкоксиметильную группу.
2. Сложноэфирное соединение по п.1, которое содержит циклопропановое кольцо, имеющее R-конфигурацию в 1-положении.
3. Сложноэфирное соединение по п. 1 или 2, которое содержит циклопропановое кольцо, имеющее заместитель в 1-положении и заместитель в 3-положении, причем заместитель в 1-положении имеет транс-конфигурацию по отношению к заместителю в 3-положении.
4. Сложноэфирное соединение по п. 1 или 2, которое содержит циклопропановое кольцо, имеющее заместитель в 1-положении и заместитель в 3-положении, причем заместитель в 1-положении имеет цис-конфигурацию по отношению к заместителю в 3-положении.
5. Сложноэфирное соединение по п.1, в котором R является метильной группой.
6. Сложноэфирное соединение по п.1, в котором Х является атомом водорода.
7. Сложноэфирное соединение по п.1, в котором Х является метильной группой.
8. Сложноэфирное соединение по п.1, в котором Х является метоксильной группой.
9. Инсектицидная композиция для подавления вредителей, которая включает сложноэфирное соединение по п.1 в качестве активного ингредиента.
РИСУНКИ
|
||||||||||||||||||||||||||


где R представляет собой атом водорода, C1-C3 алкильную группу, незамещенную или замещенную одним или более атомами галогена, аллильную группу или пропаргильную группу;
Х представляет собой атом водорода, атом галогена, C1-С3 алкильную группу, С2-С3 алкинильную группу, незамещенную или замещенную одним или более атомами галогена, C1-С3 алкоксильную группу; или C1-С3 алкоксиметильную группу.
2. Сложноэфирное соединение по п.1, которое содержит циклопропановое кольцо, имеющее R-конфигурацию в 1-положении.
3. Сложноэфирное соединение по п. 1 или 2, которое содержит циклопропановое кольцо, имеющее заместитель в 1-положении и заместитель в 3-положении, причем заместитель в 1-положении имеет транс-конфигурацию по отношению к заместителю в 3-положении.
4. Сложноэфирное соединение по п. 1 или 2, которое содержит циклопропановое кольцо, имеющее заместитель в 1-положении и заместитель в 3-положении, причем заместитель в 1-положении имеет цис-конфигурацию по отношению к заместителю в 3-положении.
5. Сложноэфирное соединение по п.1, в котором R является метильной группой.
6. Сложноэфирное соединение по п.1, в котором Х является атомом водорода.
7. Сложноэфирное соединение по п.1, в котором Х является метильной группой.
8. Сложноэфирное соединение по п.1, в котором Х является метоксильной группой.
9. Инсектицидная композиция для подавления вредителей, которая включает сложноэфирное соединение по п.1 в качестве активного ингредиента.