Патент на изобретение №2220488
|
||||||||||||||||||||||||||
(54) УСТРОЙСТВО ДЛЯ ЗАЩИТЫ ТРЕХФАЗНОГО ЭЛЕКТРОДВИГАТЕЛЯ ОТ АСИММЕТРИИ ПИТАЮЩЕГО НАПРЯЖЕНИЯ
(57) Реферат: Изобретение относится к электротехнике и может быть использовано для защиты трехфазных электродвигателей от асимметрии питающего напряжения. Техническим результатом является повышение надежности защиты путем формирования входного и опорного сигналов, пропорциональных непосредственно симметричным составляющим прямой и обратной последовательностей фаз. Устройство для защиты трехфазного электродвигателя от асимметрии напряжения содержит присоединенные к входу элемента сравнения формирователь входного сигнала и формирователь опорного сигнала, в каждый из которых входят три преобразователя напряжения в ток. Первые преобразователи напряжения в ток выполнены в виде включенных между первым входом и выходом соответствующего формирователя двух последовательно соединенных конденсаторов, точка соединения которых связана с нулевой шиной через резистор. Вторые преобразователи напряжения в ток выполнены в виде включенных между вторым входом и выходом соответствующего формирователя трех последовательно соединенных резисторов, точки соединения которых связаны с нулевой шиной через конденсаторы. Выход формирователя входного сигнала замкнут на нулевую шину через диод, включенный в прямом направлении, первый, второй и третий входы формирователя опорного сигнала присоединены соответственно к первой, второй и третьей фазам сети, а его выход связан с выходом третьего преобразователя напряжения в ток и замкнут на нулевую шину через диод, включенный в обратном направлении, и присоединен к входу элемента сравнения через диод, включенный в прямом направлении. Эквивалентные проводимости первого, второго и третьего преобразователей напряжения в ток относятся друг к другу как 1 ил.
Изобретение относится к электротехнике и может быть использовано для защиты трехфазных электродвигателей от асимметрии питающего напряжения.
Известны устройства для защиты электродвигателей от асимметрии напряжений, содержащие четырехэлементный RC-фильтр обратной последовательности фаз [1], узел формирования опорного сигнала и узел сравнения, например устройство для защиты трехфазного электродвигателя от анормального режима [2]. Общим недостатком таких устройств является то, что их выходной сигнал не имеет непосредственной электрической связи с общей нулевой шиной. Это затрудняет их использование в многоканальных станциях управления и защиты электродвигателей. Кроме того, порог срабатывания таких устройств нестабилен, так как зависит от величины питающего напряжения.
Указанных недостатков лишено устройство для защиты электроустановок от неправильного чередования фаз и асимметрии фазных напряжений [3], содержащее узел формирования входного сигнала в виде фильтра напряжений нулевой и обратной последовательностей фаз, узел формирования опорного сигнала в виде измерительного преобразователя фазных напряжений в ток, подключенные входами к фазам электрической сети, а выходами – к узлу сравнения. Недостатком этого устройства является то, что ток на выходе узла формирования входного сигнала пропорционален не непосредственному признаку асимметрии напряжений (коэффициенту асимметрии или напряжению обратной последовательности фаз), а сумме модулей симметричных составляющих напряжений нулевой и обратной последовательностей фаз, а ток на выходе узла формирования опорного сигнала пропорционален напряжению сети, которое в общем случае содержит симметричные составляющие прямой, обратной и нулевой последовательностей фаз.
Цель изобретения – повышение надежности защиты путем формирования входного и опорного сигналов, пропорциональных непосредственно симметричным составляющим обратной и прямой последовательностей фаз.
Указанная цель достигается тем, что формирователь входного сигнала состоит из трех преобразователей напряжения в ток, соединенных в звезду, два из которых поворачивают векторы токов на выходе преобразователей по отношению к приложенным напряжениям таким образом, что ток опережающей фазы поворачивается по часовой стрелке на 120 градусов, ток в отстающей фазе поворачивается на 120 градусов против часовой стрелки, в результате ток на выходе формирователя входного сигнала пропорционален только напряжению обратной последовательности фаз.
Формирователь опорного сигнала, топологически идентичный формирователю входного сигнала и отличающийся порядком подключения к фазам электрической сети, также состоит из трех преобразователей напряжения в ток, соединенных в звезду, два из которых поворачивают векторы токов на выходе преобразователей по отношению к приложенным напряжениям таким образом, что ток опережающей фазы поворачивается на 120 градусов против часовой стрелки, ток в отстающей фазе поворачивается по часовой стрелке на 120 градусов, причем выходной ток формирователя опорного сигнала пропорционален только напряжению прямой последовательности фаз.
Новым в устройстве является то, что токи, поступающие на вход элемента сравнения с выходов формирователей входного и опорного сигналов, пропорциональны только симметричным составляющим напряжений обратной и прямой последовательностей фаз, поэтому устройство реагирует только на заданное соотношение симметричных составляющих напряжений обратной и прямой последовательностей фаз, т.е. на заданный коэффициент асимметрии напряжений, а порог срабатывания устройства не зависит от уровня сетевого напряжения.
На чертеже изображена принципиальная схема устройства для защиты трехфазного электродвигателя от асимметрии питающего напряжения.
К нулевой шине N и фазам А, В, С четырехпроводной трехфазной электрической сети подключено устройство, содержащее формирователь входного сигнала 1, подключенный первым, вторым и третьим входами соответственно к третьей С, второй В и первой А фазам электрической сети, формирователь опорного сигнала 2, подключенный первым, вторым и третьим входами соответственно к первой А, второй В и третьей С фазам электрической сети, и элемент сравнения 3.
Формирователь 1 входного сигнала содержит три преобразователя напряжения в ток 4, 5 и 6, соединенные в звезду, причем первый преобразователь 4 представляет собой два конденсатора 7 и 8, включенные последовательно между первым входом и выходом формирователя 1, общая точка которых подключена к нулевой шине через резистор 9, второй преобразователь 5 содержит три резистора 10, 11 и 12, включенные последовательно между вторым входом и выходом формирователя 1, общие точки которых подключены к нулевой шине через конденсаторы 13 и 14, и третий преобразователь 6 представляет собой резистор 15, включенный между третьим входом и выходом формирователя 1. Выход формирователя 1 присоединен к входу элемента сравнения 3 через выпрямительный диод 16, включенный в обратном направлении, и к нулевой шине через выпрямительный диод 17, включенный в прямом направлении.
Формирователь 2 опорного сигнала содержит три преобразователя напряжения в ток 18, 19 и 20, соединенные в звезду, причем первый преобразователь 18 представляет собой два конденсатора 21 и 22, включенные последовательно между первым входом и выходом формирователя 2, общая точка которых подключена к нулевой шине через резистор 23, второй преобразователь 19 содержит три резистора 24, 25 и 26, включенные последовательно между вторым входом и выходом формирователя 2, общие точки которых подключены к нулевой шине через конденсаторы 27 и 28, и третий преобразователь 20 представляет собой резистор 29, включенный между третьим входом и выходом формирователя 2. Выход формирователя 2 присоединен к входу элемента сравнения 3 через выпрямительный диод 30, включенный в прямом направлении, и к нулевой шине через выпрямительный диод 31, включенный в обратном направлении.
Элемент сравнения 3 выполнен на конденсаторе 32, присоединенном одним выводом к нулевой шине, при этом другой вывод конденсатора является входом элемента сравнения 3.
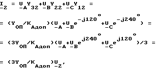
Эквивалентные проводимости первого 4, второго 5 и третьего 6 преобразователей формирователя 1 соотносятся следующим образом:![]() ![]() Y32=YBX, где Ybx – величина проводимости преобразователей формирователя 1. Эквивалентные проводимости первого 18, второго 19 и третьего 20 преобразователей формирователя 2 соотносятся следующим образом: ![]() ![]() Y31=YОП, где YОП – величина проводимости преобразователей формирователя 2. Соотношение проводимостей YОП/YВХ=КАдоп, где КАдоп – допустимый коэффициент асимметрии напряжений, который является порогом срабатывания устройства. Устройство работает следующим образом: при подаче на вход симметричной системы напряжений ток на выходе формирователя 1 входного сигнала равен нулю, ток на выходе формирователя 2 опорного сигнала пропорционален напряжению прямой последовательности фаз: ![]() при этом конденсатор 32 элемента сравнения 3 заряжен положительно. Это воспринимается исполнительным органом как сигнал, “разрешающий” включение электродвигателя. Если же симметрия напряжений на входе каким-то образом нарушается, то на выходе формирователя 1 входного сигнала появляется ток, пропорциональный напряжению обратной последовательности фаз: ![]() при этом в случае превышения напряжения обратной последовательности допустимой величины ток на выходе формирователя 1 входного сигнала превысит ток на выходе формирователя 2 опорного сигнала, конденсатор 32 элемента сравнения 3 заряжается отрицательно, это воспринимается исполнительным органом как сигнал на отключение электродвигателя.
Источники информации1. Фабрикант В.Л. Фильтры симметричных составляющих. – М.-Л.: Госэнергоиздат, 1962. – 484 с. 2. Авторское свидетельство СССР 1279012 А1, кл. Н 02 Н 7/09, БИ 47, 1986. 3. Авторское свидетельство СССР 1069056 А, кл. Н 02 Н 7/09; Н 02 Н 3/24, БИ 3, 1984 (прототип). Формула изобретения Устройство для защиты трехфазного электродвигателя от асимметрии напряжения, содержащее формирователь входного сигнала, присоединенный первым, вторым и третьим входами к третьей, второй и первой фазам электрической сети, а выходом через диод, включенный в обратном направлении, к входу элемента сравнения, и формирователь опорного сигнала, присоединенный первым, вторым и третьим входами к первой, второй и третьей фазам электрической сети, причем в каждый из формирователей входят первый, второй и третий, представляющий собой резистор, преобразователи напряжения в ток, присоединенные входами к соответствующим входам формирователей, а выход третьего преобразователя, входящего в формирователь входного сигнала, к выходу этого формирователя, отличающееся тем, что первые преобразователи напряжения в ток выполнены в виде включенных между первым входом и выходом соответствующего формирователя двух последовательно соединенных конденсаторов, точка соединения которых связана с нулевой шиной через резистор, вторые преобразователи напряжения в ток выполнены в виде включенных между вторым входом и выходом соответствующего формирователя трех последовательно соединенных резисторов, точки соединения которых связаны с нулевой шиной через конденсаторы, выход формирователя входного сигнала замкнут на нулевую шину через диод, включенный в прямом направлении, выход формирователя опорного сигнала связан с выходом третьего преобразователя напряжения в ток и замкнут на нулевую шину через диод, включенный в обратном направлении, и присоединен к входу элемента сравнения через диод, включенный в прямом направлении, причем эквивалентные проводимости первого, второго и третьего преобразователей напряжения в ток относятся друг к другу как е-j240 :е-j120 :1.
РИСУНКИ
MM4A Досрочное прекращение действия патента Российской Федерации на изобретение из-за неуплаты в установленный срок пошлины за поддержание патента в силе
Дата прекращения действия патента: 30.08.2003
Извещение опубликовано: 27.05.2006 БИ: 15/2006
|
||||||||||||||||||||||||||

1 ил.
Изобретение относится к электротехнике и может быть использовано для защиты трехфазных электродвигателей от асимметрии питающего напряжения.
Известны устройства для защиты электродвигателей от асимметрии напряжений, содержащие четырехэлементный RC-фильтр обратной последовательности фаз [1], узел формирования опорного сигнала и узел сравнения, например устройство для защиты трехфазного электродвигателя от анормального режима [2]. Общим недостатком таких устройств является то, что их выходной сигнал не имеет непосредственной электрической связи с общей нулевой шиной. Это затрудняет их использование в многоканальных станциях управления и защиты электродвигателей. Кроме того, порог срабатывания таких устройств нестабилен, так как зависит от величины питающего напряжения.
Указанных недостатков лишено устройство для защиты электроустановок от неправильного чередования фаз и асимметрии фазных напряжений [3], содержащее узел формирования входного сигнала в виде фильтра напряжений нулевой и обратной последовательностей фаз, узел формирования опорного сигнала в виде измерительного преобразователя фазных напряжений в ток, подключенные входами к фазам электрической сети, а выходами – к узлу сравнения. Недостатком этого устройства является то, что ток на выходе узла формирования входного сигнала пропорционален не непосредственному признаку асимметрии напряжений (коэффициенту асимметрии или напряжению обратной последовательности фаз), а сумме модулей симметричных составляющих напряжений нулевой и обратной последовательностей фаз, а ток на выходе узла формирования опорного сигнала пропорционален напряжению сети, которое в общем случае содержит симметричные составляющие прямой, обратной и нулевой последовательностей фаз.
Цель изобретения – повышение надежности защиты путем формирования входного и опорного сигналов, пропорциональных непосредственно симметричным составляющим обратной и прямой последовательностей фаз.
Указанная цель достигается тем, что формирователь входного сигнала состоит из трех преобразователей напряжения в ток, соединенных в звезду, два из которых поворачивают векторы токов на выходе преобразователей по отношению к приложенным напряжениям таким образом, что ток опережающей фазы поворачивается по часовой стрелке на 120 градусов, ток в отстающей фазе поворачивается на 120 градусов против часовой стрелки, в результате ток на выходе формирователя входного сигнала пропорционален только напряжению обратной последовательности фаз.
Формирователь опорного сигнала, топологически идентичный формирователю входного сигнала и отличающийся порядком подключения к фазам электрической сети, также состоит из трех преобразователей напряжения в ток, соединенных в звезду, два из которых поворачивают векторы токов на выходе преобразователей по отношению к приложенным напряжениям таким образом, что ток опережающей фазы поворачивается на 120 градусов против часовой стрелки, ток в отстающей фазе поворачивается по часовой стрелке на 120 градусов, причем выходной ток формирователя опорного сигнала пропорционален только напряжению прямой последовательности фаз.
Новым в устройстве является то, что токи, поступающие на вход элемента сравнения с выходов формирователей входного и опорного сигналов, пропорциональны только симметричным составляющим напряжений обратной и прямой последовательностей фаз, поэтому устройство реагирует только на заданное соотношение симметричных составляющих напряжений обратной и прямой последовательностей фаз, т.е. на заданный коэффициент асимметрии напряжений, а порог срабатывания устройства не зависит от уровня сетевого напряжения.
На чертеже изображена принципиальная схема устройства для защиты трехфазного электродвигателя от асимметрии питающего напряжения.
К нулевой шине N и фазам А, В, С четырехпроводной трехфазной электрической сети подключено устройство, содержащее формирователь входного сигнала 1, подключенный первым, вторым и третьим входами соответственно к третьей С, второй В и первой А фазам электрической сети, формирователь опорного сигнала 2, подключенный первым, вторым и третьим входами соответственно к первой А, второй В и третьей С фазам электрической сети, и элемент сравнения 3.
Формирователь 1 входного сигнала содержит три преобразователя напряжения в ток 4, 5 и 6, соединенные в звезду, причем первый преобразователь 4 представляет собой два конденсатора 7 и 8, включенные последовательно между первым входом и выходом формирователя 1, общая точка которых подключена к нулевой шине через резистор 9, второй преобразователь 5 содержит три резистора 10, 11 и 12, включенные последовательно между вторым входом и выходом формирователя 1, общие точки которых подключены к нулевой шине через конденсаторы 13 и 14, и третий преобразователь 6 представляет собой резистор 15, включенный между третьим входом и выходом формирователя 1. Выход формирователя 1 присоединен к входу элемента сравнения 3 через выпрямительный диод 16, включенный в обратном направлении, и к нулевой шине через выпрямительный диод 17, включенный в прямом направлении.
Формирователь 2 опорного сигнала содержит три преобразователя напряжения в ток 18, 19 и 20, соединенные в звезду, причем первый преобразователь 18 представляет собой два конденсатора 21 и 22, включенные последовательно между первым входом и выходом формирователя 2, общая точка которых подключена к нулевой шине через резистор 23, второй преобразователь 19 содержит три резистора 24, 25 и 26, включенные последовательно между вторым входом и выходом формирователя 2, общие точки которых подключены к нулевой шине через конденсаторы 27 и 28, и третий преобразователь 20 представляет собой резистор 29, включенный между третьим входом и выходом формирователя 2. Выход формирователя 2 присоединен к входу элемента сравнения 3 через выпрямительный диод 30, включенный в прямом направлении, и к нулевой шине через выпрямительный диод 31, включенный в обратном направлении.
Элемент сравнения 3 выполнен на конденсаторе 32, присоединенном одним выводом к нулевой шине, при этом другой вывод конденсатора является входом элемента сравнения 3.
Эквивалентные проводимости первого 4, второго 5 и третьего 6 преобразователей формирователя 1 соотносятся следующим образом:





допустимой величины ток
на выходе формирователя 1 входного сигнала превысит ток
на выходе формирователя 2 опорного сигнала, конденсатор 32 элемента сравнения 3 заряжается отрицательно, это воспринимается исполнительным органом как сигнал на отключение электродвигателя.
Источники информации
:е-j120