Патент на изобретение №2220155
|
||||||||||||||||||||||||||
(54) КОМПОЗИЦИЯ ДЛЯ ПОКРЫТИЯ, СОДЕРЖАЩАЯ СОЕДИНЕНИЕ, ВКЛЮЧАЮЩЕЕ, ПО МЕНЬШЕЙ МЕРЕ, ОДНУ БИЦИКЛО-ОРТОЭФИРНУЮ ГРУППУ И, ПО МЕНЬШЕЙ МЕРЕ, ОДНУ ДРУГУЮ ФУНКЦИОНАЛЬНУЮ ГРУППУ
(57) Реферат: Изобретение относится к композиции для покрытия, содержащей соединение, включающее, по меньшей мере, одну бицикло-ортоэфирную группу и, по меньшей мере, одну другую функциональную группу, химически активную по отношению к гидроксилу, и второе соединение, включающее, по меньшей мере, химически активные в отношении гидроксила группы. Изобретение также включает способ отверждения композиции настоящего изобретения, где латентные гидроксильные группы бицикло-ортоэфирных групп деблокируют в присутствии воды, возможно в присутствии первого катализатора и подвергают взаимодействию с химически активными в отношении гидроксила группами первого и/или второго соединения, возможно в присутствии второго катализатора. Изобретение также относится к получению 4-этил-1-(этоксикарбонилметил)-2,6,7-триоксабицикло-[2,2,2]октана взаимодействием диэтилмалоната с 3-этил-3-гидроксиметилокситаном в присутствии каталитического количества оксида дибутилолова при температуре выше 180oС. Технический результат – обеспечение высокой толщины пленки и жизнеспособности композиции. 4 с. и 10 з.п. ф-лы, 1 табл. Текст описания в факсимильном виде (см. графическую часть). Формула изобретения 1. Композиция для покрытия, содержащая соединение, включающее по меньшей мере одну бицикло-ортосложноэфирную группу и, по меньшей мере, одну функциональную группу, химически активную по отношению к гидроксилу, представленную следующей формулой I: (А)х-В-(С)у (I) где х и у независимо выбраны из числа от 1 до 10; А имеет структуру в соответствии со следующей формулой II:
в которой Х и Z независимо друг от друга выбраны из алк(ен)иленовых групп с линейной или разветвленной цепью с 1-4 атомами углерода, возможно содержащих атом кислорода или азота;
Y нет вообще или независимо от Х и Z он выбран из алк(ен)иленовых групп с линейной или разветвленной цепью с 1-4 атомами углерода, необязательно содержащих атом кислорода или азота;
один из R1 и R2 выбирают из группы, состоящей из одновалентных радикалов, включающих водород, гидроксильную, алк(ен)ильную группы, содержащие 1-30 атомов углерода, которые могут быть линейными или разветвленными и возможно содержат один или несколько гетероатомов и групп, выбранных из группы, состоящей из кислорода, азота, серы и сложного эфира; другой из R1 и R2 выбирают из группы, состоящей из двухвалентных радикалов, включающих алк(ен)иленовые группы, имеющие 1-10 атомов углерода, которые могут быть линейными или разветвленными и содержат один или несколько гетероатомов и групп, выбранных из группы, состоящей из кислорода, азота, серы и сложного эфира;
В выбирают из группы, состоящей из двухвалентных радикалов, включающих ароматические, алифатические, циклоалифатические и аралифатические углеводородные группы, имеющие 1-40 атомов углерода, которые могут быть линейными или разветвленными и содержат один или несколько гетероатомов и групп, выбранных из группы, состоящей из кислорода, азота, серы, фосфора, сульфона, сульфокси, амина, амида, мочевины, уретана и сложного эфира; сложноэфирных групп; простых эфирных групп; амидных групп; групп сложного эфира тиокислоты; тиоамидных групп; уретановых групп и групп мочевины;
С является функциональной группой, реакционноспособной по отношению к гидроксилу, выбранной из следующих формул:
где R3 выбирают из группы, состоящей из алк(ен)иленовых групп, имеющих 1-10 атомов углерода, которые могут быть линейными или разветвленными и возможно содержат одну или несколько групп, выбранных из группы, состоящей из простого эфира, сложного эфира, мочевины, уретана, амида и амина;
R4, R5, R6, R7 и R8 независимо друг от друга выбирают из группы, состоящей из алк(ен)ильных групп, имеющих 1-10 атомов углерода, которые могут быть линейными или разветвленными,
и по меньшей мере один другой компонент.
2. Композиция для покрытия, содержащая соединение, включающее по меньшей мере одну бицикло-ортоэфирную группу и по меньшей мере одну другую функциональную группу, выбранную из 4-этил-1-(этоксикарбонилметил)-2,6,7-триоксабицикло[2.2.2]октана, соединений, представленных следующей формулой I:
(А)х-В-(С)у (I)
где х и у независимо выбраны из числа от 1 до 10;
А имеет структуру в соответствии со следующей формулой
в которой Х и Z независимо друг от друга выбраны из алк(ен)иленовых групп с линейной или разветвленной цепью с 1-4 атомами углерода, возможно содержащих атом кислорода или азота;
Y нет вообще или независимо от Х и Z он выбран из алк(ен)иленовых групп с линейной или разветвленной цепью с 1-4 атомами углерода, необязательно содержащих атом кислорода или азота;
один из R1 и R2 выбирают из группы, состоящей из одновалентных радикалов, включающих водород, гидроксильную, алк(ен)ильную группы, содержащие 1-30 атомов углерода, которые могут быть линейными или разветвленными и возможно содержат один или несколько гетероатомов и групп, выбранных из группы, состоящей из кислорода, азота, серы и сложного эфира; другой из R1 и R2 выбирают из группы, состоящей из двухвалентных радикалов, включающих алк(ен)иленовые группы, имеющие 1-10 атомов углерода, которые могут быть линейными или разветвленными и содержат один или несколько гетероатомов и групп, выбранных из группы, состоящей из кислорода, азота, серы и сложного эфира;
В выбирают из группы, состоящей из двухвалентных радикалов, включающих ароматические, алифатические, циклоалифатические и аралифатические углеводородные группы, имеющие 1-40 атомов углерода, которые могут быть линейными или разветвленными и содержат один или несколько гетероатомов и групп, выбранных из группы, состоящей из кислорода, азота, серы, фосфора, сульфона, сульфокси, амина, амида, мочевины, уретана и сложного эфира; сложноэфирных групп; простых эфирных групп, амидных групп; групп сложного эфира тиокислоты; тиоамидных групп; уретановых групп и групп мочевины;
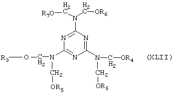
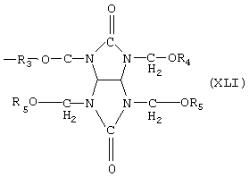
С является функциональной группой, выбранной из следующих формул VII-XLIII:
где R3 выбирают из группы, состоящей из алк(ен)иленовых групп, имеющих 1-10 атомов углерода, которые могут быть линейными или разветвленными и возможно содержат одну или несколько групп, выбранных из группы, состоящей из простого эфира, сложного эфира, мочевины, уретана, амида и амина;
R4, R5, R6, R7 и R8 независимо друг от друга выбирают из группы, состоящей из алк(ен)ильных групп, имеющих 1-10 атомов углерода, которые могут быть линейными или разветвленными,
отличающаяся тем, что содержит второе соединение, включающее по меньшей мере две химически активные в отношении гидроксила группы, выбранные из группы, состоящей из изоцианатной, эпоксидной, ацеталевой, карбоксильной, ангидридной и алкоксилановой групп, или второе соединение является аминосмолой.
3. Композиция для покрытий по п.2, отличающаяся тем, что второе соединение, включающее по меньшей мере две группы, химически активные по отношению к гидроксилу, является алифатическим, циклоалифатическим или ароматическим соединением, включающим по меньшей мере две изоцианатные группы, или его аддуктами.
4. Композиция для покрытия по п.3, отличающаяся тем, что второе соединение, содержащее по меньшей мере две группы, химически активные по отношению к гидроксилу, выбраны из изоциануратов.
5. Композиция для покрытия по любому из пп.1-4, отличающаяся тем, что X, Y и Z являются метиленом.
6. Композиция для покрытия по любому из пп.1-5, отличающаяся тем, что один из R1 и R2 является одновалентным радикалом, выбранным из группы, состоящей из алк(ен)ильных групп с линейной или разветвленной цепью, имеющих 1-20 атомов углерода.
7. Композиция для покрытия по п.6, отличающаяся тем, что одновалентный радикал выбирают из группы, состоящей из метила и этила.
8. Композиция для покрытия по любому из пп.1-7, отличающаяся тем, что другой из R1 и R2 является -O-С1-10-.
9. Композиция для покрытия по любому из пп.1-5, отличающаяся тем, что В получают из органического полиизоцианатного соединения, представленного формулой D(NCO)к, где к равно 2 или более.
10. Композиция для покрытия по п.9, отличающаяся тем, что D(NCO)к является биуретом гексаметилендиизоцианата так, что В имеет следующую химическую структуру:
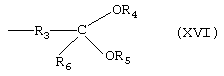
11. Композиция для покрытия по любому из пп.1-10, отличающаяся тем, что С выбирают из формул XIV и XVII
где R3, R4 и R5 являются такими, как они указаны в п.1.
12. Композиция для покрытия по п.11, отличающаяся тем, что R4 и R5 являются метилом или этилом и R3 является группой, выбранной из следующих формул XLIV-XLVI:
13. Способ отверждения композиции для покрытия по любому из пп.1-12, отличающийся тем, что латентные гидроксильные группы бицикло-ортоэфирных групп деблокируют в присутствии воды, возможно в присутствии первого катализатора и подвергают взаимодействию с химически активными в отношении гидроксила группами первого и/или второго соединения, возможно в присутствии второго катализатора.
14. Способ получения соединения формулы
отличающийся тем, что диэтилмалонат взаимодействует с 3-этил-3-гидроксиметилокситаном в присутствии каталитического количества оксида дибутилолова при температуре выше 180 С.
РИСУНКИ
MM4A – Досрочное прекращение действия патента СССР или патента Российской Федерации на изобретение из-за неуплаты в установленный срок пошлины за поддержание патента в силе
Дата прекращения действия патента: 22.08.2009
Извещение опубликовано: 20.07.2010 БИ: 20/2010
|
||||||||||||||||||||||||||

в которой Х и Z независимо друг от друга выбраны из алк(ен)иленовых групп с линейной или разветвленной цепью с 1-4 атомами углерода, возможно содержащих атом кислорода или азота;
Y нет вообще или независимо от Х и Z он выбран из алк(ен)иленовых групп с линейной или разветвленной цепью с 1-4 атомами углерода, необязательно содержащих атом кислорода или азота;
один из R1 и R2 выбирают из группы, состоящей из одновалентных радикалов, включающих водород, гидроксильную, алк(ен)ильную группы, содержащие 1-30 атомов углерода, которые могут быть линейными или разветвленными и возможно содержат один или несколько гетероатомов и групп, выбранных из группы, состоящей из кислорода, азота, серы и сложного эфира; другой из R1 и R2 выбирают из группы, состоящей из двухвалентных радикалов, включающих алк(ен)иленовые группы, имеющие 1-10 атомов углерода, которые могут быть линейными или разветвленными и содержат один или несколько гетероатомов и групп, выбранных из группы, состоящей из кислорода, азота, серы и сложного эфира;
В выбирают из группы, состоящей из двухвалентных радикалов, включающих ароматические, алифатические, циклоалифатические и аралифатические углеводородные группы, имеющие 1-40 атомов углерода, которые могут быть линейными или разветвленными и содержат один или несколько гетероатомов и групп, выбранных из группы, состоящей из кислорода, азота, серы, фосфора, сульфона, сульфокси, амина, амида, мочевины, уретана и сложного эфира; сложноэфирных групп; простых эфирных групп; амидных групп; групп сложного эфира тиокислоты; тиоамидных групп; уретановых групп и групп мочевины;
С является функциональной группой, реакционноспособной по отношению к гидроксилу, выбранной из следующих формул:
где R3 выбирают из группы, состоящей из алк(ен)иленовых групп, имеющих 1-10 атомов углерода, которые могут быть линейными или разветвленными и возможно содержат одну или несколько групп, выбранных из группы, состоящей из простого эфира, сложного эфира, мочевины, уретана, амида и амина;
R4, R5, R6, R7 и R8 независимо друг от друга выбирают из группы, состоящей из алк(ен)ильных групп, имеющих 1-10 атомов углерода, которые могут быть линейными или разветвленными,
и по меньшей мере один другой компонент.
2. Композиция для покрытия, содержащая соединение, включающее по меньшей мере одну бицикло-ортоэфирную группу и по меньшей мере одну другую функциональную группу, выбранную из 4-этил-1-(этоксикарбонилметил)-2,6,7-триоксабицикло[2.2.2]октана, соединений, представленных следующей формулой I:
(А)х-В-(С)у (I)
где х и у независимо выбраны из числа от 1 до 10;
А имеет структуру в соответствии со следующей формулой
в которой Х и Z независимо друг от друга выбраны из алк(ен)иленовых групп с линейной или разветвленной цепью с 1-4 атомами углерода, возможно содержащих атом кислорода или азота;
Y нет вообще или независимо от Х и Z он выбран из алк(ен)иленовых групп с линейной или разветвленной цепью с 1-4 атомами углерода, необязательно содержащих атом кислорода или азота;
один из R1 и R2 выбирают из группы, состоящей из одновалентных радикалов, включающих водород, гидроксильную, алк(ен)ильную группы, содержащие 1-30 атомов углерода, которые могут быть линейными или разветвленными и возможно содержат один или несколько гетероатомов и групп, выбранных из группы, состоящей из кислорода, азота, серы и сложного эфира; другой из R1 и R2 выбирают из группы, состоящей из двухвалентных радикалов, включающих алк(ен)иленовые группы, имеющие 1-10 атомов углерода, которые могут быть линейными или разветвленными и содержат один или несколько гетероатомов и групп, выбранных из группы, состоящей из кислорода, азота, серы и сложного эфира;
В выбирают из группы, состоящей из двухвалентных радикалов, включающих ароматические, алифатические, циклоалифатические и аралифатические углеводородные группы, имеющие 1-40 атомов углерода, которые могут быть линейными или разветвленными и содержат один или несколько гетероатомов и групп, выбранных из группы, состоящей из кислорода, азота, серы, фосфора, сульфона, сульфокси, амина, амида, мочевины, уретана и сложного эфира; сложноэфирных групп; простых эфирных групп, амидных групп; групп сложного эфира тиокислоты; тиоамидных групп; уретановых групп и групп мочевины;
С является функциональной группой, выбранной из следующих формул VII-XLIII:
где R3 выбирают из группы, состоящей из алк(ен)иленовых групп, имеющих 1-10 атомов углерода, которые могут быть линейными или разветвленными и возможно содержат одну или несколько групп, выбранных из группы, состоящей из простого эфира, сложного эфира, мочевины, уретана, амида и амина;
R4, R5, R6, R7 и R8 независимо друг от друга выбирают из группы, состоящей из алк(ен)ильных групп, имеющих 1-10 атомов углерода, которые могут быть линейными или разветвленными,
отличающаяся тем, что содержит второе соединение, включающее по меньшей мере две химически активные в отношении гидроксила группы, выбранные из группы, состоящей из изоцианатной, эпоксидной, ацеталевой, карбоксильной, ангидридной и алкоксилановой групп, или второе соединение является аминосмолой.
3. Композиция для покрытий по п.2, отличающаяся тем, что второе соединение, включающее по меньшей мере две группы, химически активные по отношению к гидроксилу, является алифатическим, циклоалифатическим или ароматическим соединением, включающим по меньшей мере две изоцианатные группы, или его аддуктами.
4. Композиция для покрытия по п.3, отличающаяся тем, что второе соединение, содержащее по меньшей мере две группы, химически активные по отношению к гидроксилу, выбраны из изоциануратов.
5. Композиция для покрытия по любому из пп.1-4, отличающаяся тем, что X, Y и Z являются метиленом.
6. Композиция для покрытия по любому из пп.1-5, отличающаяся тем, что один из R1 и R2 является одновалентным радикалом, выбранным из группы, состоящей из алк(ен)ильных групп с линейной или разветвленной цепью, имеющих 1-20 атомов углерода.
7. Композиция для покрытия по п.6, отличающаяся тем, что одновалентный радикал выбирают из группы, состоящей из метила и этила.
8. Композиция для покрытия по любому из пп.1-7, отличающаяся тем, что другой из R1 и R2 является -O-С1-10-.
9. Композиция для покрытия по любому из пп.1-5, отличающаяся тем, что В получают из органического полиизоцианатного соединения, представленного формулой D(NCO)к, где к равно 2 или более.
10. Композиция для покрытия по п.9, отличающаяся тем, что D(NCO)к является биуретом гексаметилендиизоцианата так, что В имеет следующую химическую структуру:
11. Композиция для покрытия по любому из пп.1-10, отличающаяся тем, что С выбирают из формул XIV и XVII
где R3, R4 и R5 являются такими, как они указаны в п.1.
12. Композиция для покрытия по п.11, отличающаяся тем, что R4 и R5 являются метилом или этилом и R3 является группой, выбранной из следующих формул XLIV-XLVI:
13. Способ отверждения композиции для покрытия по любому из пп.1-12, отличающийся тем, что латентные гидроксильные группы бицикло-ортоэфирных групп деблокируют в присутствии воды, возможно в присутствии первого катализатора и подвергают взаимодействию с химически активными в отношении гидроксила группами первого и/или второго соединения, возможно в присутствии второго катализатора.
14. Способ получения соединения формулы
отличающийся тем, что диэтилмалонат взаимодействует с 3-этил-3-гидроксиметилокситаном в присутствии каталитического количества оксида дибутилолова при температуре выше 180
С.