Патент на изобретение №2220143
|
||||||||||||||||||||||||||
(54) ОПТИЧЕСКИ АКТИВНЫЕ ПРОИЗВОДНЫЕ БЕНЗОПИРАНА, ФАРМАЦЕВТИЧЕСКАЯ КОМПОЗИЦИЯ НА ИХ ОСНОВЕ И СПОСОБ ЛЕЧЕНИЯ ЧУВСТВИТЕЛЬНЫХ К ЭСТРОГЕНАМ ЗАБОЛЕВАНИЙ
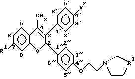
(57) Реферат: Изобретение относится к новым оптически активным производньм бензопирана формулы ![]() где R и R независимо выбраны из группы, состоящей из гидроксила и радикала, который может преобразовываться in vivo в гидроксил, такой как ацилокси, -OR4, -OC(O)R7 или -OC(O)OR4 (где R4 представляет собой алкил, алкенил, алкинил или арил; и R7 представляет собой амино, алкиламино, аминоалкил и алкилсульфанил); и R3 представляет собой -СН2– или -СН2СН2-; или его фармацевтически приемлемая соль, где указанное соединение или соль являются оптически активными, поскольку содержат более 50% (по массе относительно всех стереоизомеров) 2S стереоизомеров. Эти соединения обладают ингибирующей активностью в отношении полового стероида и могут использоваться при лечении чувствительных к эстрогенам заболеваний, таких как рак молочной железы и рак эндометрия. Изобретение относится также к фармацевтической композиции на основе этих соединений и способу лечения чувствительных к эстрогенам заболеваний. Технический результат – хорошая устойчивость при хранении и биодоступность полученных стереоизомеров по сравнению с их рацемическими смесями. 3 с. и 14 з.п. ф-лы, 3 табл., 5 ил. Текст описания в факсимильном виде (см. графическую часть). Формула изобретения 1. Оптически активное производное бензопирана общей формулы
где R1 и R2 независимо выбраны из группы, состоящей из гидроксила и радикала, который может преобразовываться in vivo в гидроксил, такой как ацилокси, -OR4, -OC(O)R7 или -OC(O)OR4 (где R4 представляет собой алкил, алкенил, алкинил или арил; и R7 представляет собой амино, алкиламино, аминоалкил или алкилсульфанил); и
R3 представляет собой -CH2– или -СН2СН2-;
или его фармацевтически приемлемая соль,
где указанное соединение или соль являются оптически активными, поскольку содержат более 50% (по массе относительно всех стереоизомеров) 2S стереоизомеров.
2. Оптически активное соединение по п.1, где, по крайней мере, один R1 и R2 представляет собой стерически затрудненный алифатический ацилокси.
3. Оптически активное соединение по п.1, где, по крайней мере, один из R1 и R2 не представляет собой гидрокси.
4. Оптически активное соединение по п.1, где, по крайней мере, один из R1 и R2 представляет собой пивалоилокси.
5. Оптически активное соединение по п.1, выбранное из группы, включающей
или его фармацевтически приемлемая соль.
6. Оптически активное соединение по п.1, где соединение достаточно свободно от его 2-бета стереоизомера, с преобладанием молекулярной структуры I
или его фармацевтически приемлемая соль.
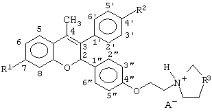
7. Оптически активное соединение по п.6, представленное следующей структурной формулой:
где А– представляет собой анион фармацевтически приемлемой кислоты,
или его фармацевтически приемлемая соль.
8. Оптически активное соединение по п.1, представленное следующей структурной формулой:
где R3 представляет собой -СН2CH2-;
или его фармацевтически приемлемая соль.
9. Оптически активное соединение по п.8, выбранное из группы, включающей
и
или его фармацевтически приемлемая соль.
10. Оптически активное соединение по п.8, представленное формулой
или его фармацевтически приемлемая соль.
11. Оптически активное соединение по п.1 представленное следующей структурной формулой:
где R3 представляет собой -СН2-;
или его фармацевтически приемлемая соль.
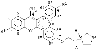
12. Оптически активное соединение по п.1, представленное следующей структурной формулой:
где А– представляет собой анион фармацевтически приемлемой кислоты,
или его фармацевтически приемлемая соль.
13. Оптически активное соединение по п.12 или его соль, где указанное соединение или его соль содержит более 50% (от массы всех стереоизомеров) 2S стереоизомеров.
14. Оптически активное соединение по п.13, выбранное из группы, включающей следующие соединения:
и
15. Фармацевтическая композиция, обладающая ингибирующей в отношении полового стероида активностью, содержащая активный ингредиент и носитель или растворитель, отличающаяся тем, что в качестве активного ингредиента она содержит оптически активное соединение по любому из пп.1-14 или его фармацевтически приемлемую соль.
16. Способ лечения чувствительных к эстрогенам заболеваний, включающий введение нуждающемуся в таком лечении пациенту вместе с растворителем-носителем или без него терапевтически эффективного количества соединения или соли по любому из пп.1-14.
17. Способ по п.16, где указанное чувствительное к эстрогенам заболевание представляет собой рак молочной железы или рак эндометрия.
РИСУНКИ
|
||||||||||||||||||||||||||


где R1 и R2 независимо выбраны из группы, состоящей из гидроксила и радикала, который может преобразовываться in vivo в гидроксил, такой как ацилокси, -OR4, -OC(O)R7 или -OC(O)OR4 (где R4 представляет собой алкил, алкенил, алкинил или арил; и R7 представляет собой амино, алкиламино, аминоалкил или алкилсульфанил); и
R3 представляет собой -CH2– или -СН2СН2-;
или его фармацевтически приемлемая соль,
где указанное соединение или соль являются оптически активными, поскольку содержат более 50% (по массе относительно всех стереоизомеров) 2S стереоизомеров.
2. Оптически активное соединение по п.1, где, по крайней мере, один R1 и R2 представляет собой стерически затрудненный алифатический ацилокси.
3. Оптически активное соединение по п.1, где, по крайней мере, один из R1 и R2 не представляет собой гидрокси.
4. Оптически активное соединение по п.1, где, по крайней мере, один из R1 и R2 представляет собой пивалоилокси.
5. Оптически активное соединение по п.1, выбранное из группы, включающей
или его фармацевтически приемлемая соль.
6. Оптически активное соединение по п.1, где соединение достаточно свободно от его 2-бета стереоизомера, с преобладанием молекулярной структуры I
или его фармацевтически приемлемая соль.
7. Оптически активное соединение по п.6, представленное следующей структурной формулой:
где А– представляет собой анион фармацевтически приемлемой кислоты,
или его фармацевтически приемлемая соль.
8. Оптически активное соединение по п.1, представленное следующей структурной формулой:
где R3 представляет собой -СН2CH2-;
или его фармацевтически приемлемая соль.
9. Оптически активное соединение по п.8, выбранное из группы, включающей
и
или его фармацевтически приемлемая соль.
10. Оптически активное соединение по п.8, представленное формулой
или его фармацевтически приемлемая соль.
11. Оптически активное соединение по п.1 представленное следующей структурной формулой:
где R3 представляет собой -СН2-;
или его фармацевтически приемлемая соль.
12. Оптически активное соединение по п.1, представленное следующей структурной формулой:
где А– представляет собой анион фармацевтически приемлемой кислоты,
или его фармацевтически приемлемая соль.
13. Оптически активное соединение по п.12 или его соль, где указанное соединение или его соль содержит более 50% (от массы всех стереоизомеров) 2S стереоизомеров.
14. Оптически активное соединение по п.13, выбранное из группы, включающей следующие соединения:
и
15. Фармацевтическая композиция, обладающая ингибирующей в отношении полового стероида активностью, содержащая активный ингредиент и носитель или растворитель, отличающаяся тем, что в качестве активного ингредиента она содержит оптически активное соединение по любому из пп.1-14 или его фармацевтически приемлемую соль.
16. Способ лечения чувствительных к эстрогенам заболеваний, включающий введение нуждающемуся в таком лечении пациенту вместе с растворителем-носителем или без него терапевтически эффективного количества соединения или соли по любому из пп.1-14.
17. Способ по п.16, где указанное чувствительное к эстрогенам заболевание представляет собой рак молочной железы или рак эндометрия.