Патент на изобретение №2219840
|
||||||||||||||||||||||||||
(54) СПОСОБ ОЦЕНКИ ТЯЖЕСТИ ПОСТГИПОКСИЧЕСКОЙ ЭНЦЕФАЛОПАТИИ ПОСЛЕ ОПЕРАЦИЙ НА ОТКРЫТОМ СЕРДЦЕ
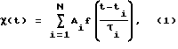
(57) Реферат: Изобретение относится к области медицины, а именно к неврологии и медицинской психологии, и может быть использовано в кардиохирургии, анестезиологии и реаниматологии. На 7-21 сутки послеоперационного периода выполняют нейропсихологическое обследование. По балльной системе оценивают состояние выполнения заданий. Затем сумму полученных результатов раздельно по модальностям вводят в ЭВМ и проводят оценку функций с помощью вероятностного математического моделирования повторяемости меж- и интермодальных дисфункций по формулам ![]() где ![]() где Аi – амплитуда импульса, равная значению оценки дефекта; i – длительность проведения одного теста;i – номер теста, i=1,…N; N – общее число тестов, и ![]() где (k-i) – дельта-функция;i, k – номера тестов. По увеличению частоты и выраженности проявлений дисфункций определяют степень тяжести и клиническую выраженность когнитивного дефицита. Способ позволяет осуществлять объективный контроль эффективности терапии. 3 ил. Изобретение относится к медицине, а именно к неврологии и медицинской психологии, и может быть использовано в кардиохирургии, анестезиологии и реаниматологии. До настоящего времени тяжесть постгипоксической энцефалопатии (ПГЭ) в кардиохирургии и реаниматологии оценивалась клинико-неврологически, нейро- и патопсихологическим тестированием, ЭЭГ-методом, не позволяющими в полной мере и воспроизводимо в контроле оценить специфичность и вклад в формирование когнитивного дефицита отдельных нарушений нервно-психических процессов, проявляющихся в реальном масштабе времени [1, 2, 3, 4]. Известны данные о транзиторном или константном нервно-психическом дефиците со стороны высших психических функций (ВПФ) после длительного экстракорпорального кровообращения, проявляющемся в различных психических модальностях. Известны методы вероятностного и матричного математического моделирования [4, 5, 6]. Целью предлагаемого изобретения является оценка тяжести ПГЭ у больных после кардиохирургических операций с использованием длительного экстракорпорального кровообращения с помощью математической модели, описывающей результаты (исходы) тестирования больного по N-модальностям (формам психической деятельности – мышлению, памяти и т.д.). В предлагаемом способе записывают реализацию, полученную в результате тестирования одного больного по N модальностям (тестам) в виде случайного импульсного процесса, протекающего во времени: ![]() где ![]() где Аi – амплитуда импульса, равная значению оценки дефекта; i – длительность проведения одного теста;i – номер теста, i=1,…N; N – общее число тестов. При Аi, принимающих значения: 1, 0, 0, 1, 1, 0, 1, 0, 0, 1 для N= 10, i = 0 реализация (1) при периоде тестирования 0 принимает вид, представленный на фиг.1.
В случае, когда временные характеристики тестирования ti и i не регистрируются, реакция, представленная формулой (1), имеет вид:![]() где (k-i) – дельта-функция;i, k – номера тестов. В этом случае результаты тестирования, приведенные выше, представляют последовательность дискрет, изображенную на фиг.2. Реализация (2), как иллюстрирует фиг.1, представляет собой распределение амплитуд (уровня дефектов), по номерам тестов. В терминах теории информации данную последовательность можно определить как амплитудный спектр дефектов по номерам тестов. Математические модели (1) и (2) для реакций, полученных в результате тестирования, позволяют провести статистические оценки моментных функций (например, средних и дисперсий), построить гистограммы распределений амплитуд (значений оценок дефектов), определить корреляционные связи между дефектами (функции автокорреляции) и корреляционные связи между реакциями для разных больных, прошедших операцию в единых технологических условиях, для установления влияния этой операции на больных, имеющего общий характер. При этом функция автокорреляции определяется для модели (1) по формуле: ![]() где D(A) – дисперсия амплитуд (оценок) дефектов; М – знак статистического усреднения; – параметр сдвига;m2χ – квадрат среднего значения реакции (1). Взаимная корреляционная функция между k-й и l-й реакциями k(t) и l(t) определяется по общей формулеB( ) = M{ k(t) l(t+ )}. (4)где М – знак статистического усреднения. Тяжесть проявления ПГЭ предлагается вычислять как сумму ![]() где Аi – амплитуда теста (модального, суб- или интермодального); n – число ненулевых оценок. Способ осуществляется следующим образом. Больному, перенесшему операцию аортокоронарного и/или маммарокоронарного шунтирования или иное вмешательство на открытом сердце в условиях ИК или бесперфузионной гипотермии, через 7-21 сутки проводят развернутое нейропсихологическое тестирование по А.Р. Лурия. При этом используют балльную систему оценки состояния выполнения отдельных заданий и их составляющих звеньев (интер-, меж- и субмодальностей), где 0 баллов – отсутствие нарушений; 1 балл – нарушения в форме нейродинамических расстройств (в сочетании или без), с отдельными ошибками менее чем 50% субтестов пробы, доступных самостоятельной коррекции; 2 балла – допускаются ошибки более чем 50% субтестов пробы, которые доступны только вторичной коррекции (с помощью обследующего); 3 балла – допускаются ошибки более чем 50% субтестов пробы, они недоступны коррекции (выполнение нарушено грубо); 4 балла – отсутствие контроля за деятельностью. Далее сумма ( ) полученных результатов раздельно по модальностям (меж-, интер- и суб-) вводится в ЭВМ в соответствии с представлениями формул 1 и 2. Обработка результатов тестирования для выяснения наиболее весомого дефекта для группы обследованных пациентов может проводиться по методу Паредо [5, 6] .
Клинический пример выполнения способа.
Больная Д. , 39 лет, история болезни 2655, обследована 04-12.11.1979 г. Диагноз: ИБС, постинфарктный крупноочаговый кардиосклероз с исходом в аневризму левого желудочка; митральная недостаточность 1-2 ст., НК-2А. Операция 16.10.1997 г. – аортокоронарное шунтирование, аневризмэктомия и вентрикулопластика левого желудочка в условиях экстракорпорального кровообращения в течение 413 мин (6 часов 53 минуты!). Длительность ИВЛ после операции – 72 часа. Признаки сознания – через 8 часов после операции, восстановление полного речевого контакта с больной – в первые 48 часов, после экстубации – без клинически манифестирующих нервно-психических нарушений, в неврологическом статусе органических знаков нет. При обследовании через 15-20 суток после операции – четко очерченные жалобы на резкое ослабление памяти как на текущие дела, имена окружающих, телефоны, названия распространенных лекарств, так и на события и факты прошлых лет. Также жалобы на замедление темпа мышления, трудности “включения” в любые задания, в сюжеты телефильмов, статьи в газетах, соотносить последовательность событий, эмоциональную лабильность и ранее не свойственную импульсивность, утомляемость, отвлекаемость. Критичность к большинству нарушений у больной полная, есть переживания своей несостоятельности. При нейропсихологическом обследовании выявлена картина постгипоксической энцефалопатии средней тяжести с распространенным медиальным, базальным, премоторным вариантами лобного синдрома (преимущественно глубинные отделы), диэнцефально-гипоталамическим синдромом, с правополушарной акцентрацией, представленная на фиг.2 в соответствии с формулой 1 для Аi, равных значению тяжести дефекта.
На фиг. 3 изображено графическое представление нервно-психических процессов по модальностям, тестам и субтестам (бинарный код с весовыми значениями тестов) 1-14, 15-35-72.
Для математической формализации результатов тестирования и ЭВМ-расчета веса (значимости) отдельных тестов и субтестов в пределах как одной, так и совокупности различных модальностей в клинике ПГЭ у данной больной построили математическую модель (фиг.3) в виде бинарного кода с учетом веса признаков (баллы по А.Р. Лурия). По оси Х представлены номера тестов ( 1…14 – движения, действия; 15…35 – зрительный гнозис, зрительно-пространственный гнозис и зрительно-конструктивная деятельность, тактильный и слухоречевой гнозис; 36. . . 47 – память, мнестическая деятельность (слухоречевая, оптико-мнестическая, организованная и неорганизованная по смыслу); 48…72 – мышление, речевое мышление, наглядно-образное, дискурсивное и др.), по оси Y – амплитуды баллов (значения экспертных оценок).
Данное графическое представление следует рассматривать как частную иллюстрацию общего моделирования нервно-психических процессов и их нарушений, выявляемых нейропсихологическим методом.
Предложенный способ в сравнении с известными более информативен, позволяет формализовать полученную при тестировании информацию и математически обосновать вес и качественную “нагрузку” как отдельных тестов и субтестов в составе нейропсихологического метода, так и факторы, определяющие своеобразие клинической картины ПГЭ, механизмы дисфункций ВПФ, их соотнесенность с мозговыми основами, экспертизу, прогноз и контроль за эффективностью терапии.
Источники информации1. Корсакова Н.К., Московичуте Л.И. Подкорковые структуры мозга и психические процессы. – М.: МГУ, 1985. 2. Корсакова Н.К., Московичуте Л.И. Клиническая нейропсихология. – М.: МГУ, 1988. 3. Лурия А.Р. Основы нейропсихологии. – М.: МГУ, 1973. 5. Боровков А.А. Теория вероятностей. – М.: Наука, 1986. 6. Клайн Н., Ласка Е. Электронно-вычислительная техника в исследованиях нарушений психической деятельности человека. – М.: Медицина, 1971. Формула изобретения Способ оценки тяжести постгипоксической энцефалопатии (ПГЭ) после операций на открытом сердце с помощью нейропсихологического тестирования, отличающийся тем, что в послеоперационном периоде на 7-21 сутки выполняют нейропсихологическое обследование и по балльной системе оценивают состояние выполнения заданий и их составляющих, затем сумму полученных баллов раздельно по модальностям вводят в ЭВМ и проводят оценку функций с помощью вероятностного математического моделирования повторяемости меж- и интермодальных дисфункций по формулам
Аi – амплитуда импульса, равная значению оценки дефекта;
i – длительность проведения одного теста;
i – номер теста, i=1,…N;
N – общее число тестов;
где (k-i) – дельта-функция;
i, k – номера тестов;
и по увеличению частоты и выраженности проявлений дисфункций определяют степень тяжести и клиническую выраженность когнитивного дефицита у больных с ПГЭ в подостром периоде заболевания.
РИСУНКИ
MM4A Досрочное прекращение действия патента Российской Федерации на изобретение из-за неуплаты в установленный срок пошлины за поддержание патента в силе
Извещение опубликовано: 27.10.2006 БИ: 30/2006
|
||||||||||||||||||||||||||



i – длительность проведения одного теста;
(k-i) – дельта-функция;



– параметр сдвига;
k(t) и 
) полученных результатов раздельно по модальностям (меж-, интер- и суб-) вводится в ЭВМ в соответствии с представлениями формул 1 и 2. Обработка результатов тестирования для выяснения наиболее весомого дефекта для группы обследованных пациентов может проводиться по методу Паредо [5, 6] .
Клинический пример выполнения способа.
Больная Д. , 39 лет, история болезни 2655, обследована 04-12.11.1979 г. Диагноз: ИБС, постинфарктный крупноочаговый кардиосклероз с исходом в аневризму левого желудочка; митральная недостаточность 1-2 ст., НК-2А. Операция 16.10.1997 г. – аортокоронарное шунтирование, аневризмэктомия и вентрикулопластика левого желудочка в условиях экстракорпорального кровообращения в течение 413 мин (6 часов 53 минуты!). Длительность ИВЛ после операции – 72 часа. Признаки сознания – через 8 часов после операции, восстановление полного речевого контакта с больной – в первые 48 часов, после экстубации – без клинически манифестирующих нервно-психических нарушений, в неврологическом статусе органических знаков нет. При обследовании через 15-20 суток после операции – четко очерченные жалобы на резкое ослабление памяти как на текущие дела, имена окружающих, телефоны, названия распространенных лекарств, так и на события и факты прошлых лет. Также жалобы на замедление темпа мышления, трудности “включения” в любые задания, в сюжеты телефильмов, статьи в газетах, соотносить последовательность событий, эмоциональную лабильность и ранее не свойственную импульсивность, утомляемость, отвлекаемость. Критичность к большинству нарушений у больной полная, есть переживания своей несостоятельности. При нейропсихологическом обследовании выявлена картина постгипоксической энцефалопатии средней тяжести с распространенным медиальным, базальным, премоторным вариантами лобного синдрома (преимущественно глубинные отделы), диэнцефально-гипоталамическим синдромом, с правополушарной акцентрацией, представленная на фиг.2 в соответствии с формулой 1 для Аi, равных значению тяжести дефекта.
На фиг. 3 изображено графическое представление нервно-психических процессов по модальностям, тестам и субтестам (бинарный код с весовыми значениями тестов) 1-14, 15-35-72.
Для математической формализации результатов тестирования и ЭВМ-расчета веса (значимости) отдельных тестов и субтестов в пределах как одной, так и совокупности различных модальностей в клинике ПГЭ у данной больной построили математическую модель (фиг.3) в виде бинарного кода с учетом веса признаков (баллы по А.Р. Лурия). По оси Х представлены номера тестов ( 1…14 – движения, действия; 15…35 – зрительный гнозис, зрительно-пространственный гнозис и зрительно-конструктивная деятельность, тактильный и слухоречевой гнозис; 36. . . 47 – память, мнестическая деятельность (слухоречевая, оптико-мнестическая, организованная и неорганизованная по смыслу); 48…72 – мышление, речевое мышление, наглядно-образное, дискурсивное и др.), по оси Y – амплитуды баллов (значения экспертных оценок).
Данное графическое представление следует рассматривать как частную иллюстрацию общего моделирования нервно-психических процессов и их нарушений, выявляемых нейропсихологическим методом.
Предложенный способ в сравнении с известными более информативен, позволяет формализовать полученную при тестировании информацию и математически обосновать вес и качественную “нагрузку” как отдельных тестов и субтестов в составе нейропсихологического метода, так и факторы, определяющие своеобразие клинической картины ПГЭ, механизмы дисфункций ВПФ, их соотнесенность с мозговыми основами, экспертизу, прогноз и контроль за эффективностью терапии.
Источники информации
Аi – амплитуда импульса, равная значению оценки дефекта;
где