Патент на изобретение №2150091
|
||||||||||||||||||||||||||
(54) СПОСОБ ИЗМЕРЕНИЯ ТЕМПЕРАТУРЫ РАСПЛАВА И УСТРОЙСТВО ДЛЯ ЕГО ОСУЩЕСТВЛЕНИЯ
(57) Реферат: Изобретение относится к измерительной технике. Технический результат изобретения состоит в повышении точности измерения температуры расплава веществ вне зависимости от точности данных о коэффициенте теплового излучения исследуемого вещества и наличии таких данных. Задача решается путем формирования на поверхности расплава углубления, которое является моделью “абсолютно черного тела”, погружением в расплав огнеупорного и прозрачного тела, по которому тепловое излучение передается к измерителю. Устройство для осуществления способа измерения содержит световод, выполненный из оптически прозрачного и огнеупорного материала, приемник излучения и оптическую линию, соединяющую световод с приемником. 2 с. и 3 з. п.ф-лы, 2 ил., 2 табл. Изобретение относится к измерительной технике и может быть использовано для измерения температуры расплава в металлургии, стекловарении и других отраслях промышленности. Известен способ измерения температуры расплава вещества путем измерения энергии излучения, испускаемой поверхностью расплава, с помощью оптического спектрального или радиационного пирометра [1]. Недостатком такого способа являются значительные погрешности измерения температуры вследствие неизвестной с достаточной точностью и непостоянной во время измерения эмиссионной способности расплавов, а также наличием на поверхности расплава шлака, оксидной пленки, шихты и т.п. Известен способ измерения температуры расплава стали с применением пирометра, заключающийся в формировании поверхности излучения расплава путем погружения в расплав тела (металлической трубы) и измерении энергии излучения от сформированной поверхности расплава. При этом поверхность расплава в трубе свободна от шлака, а ее эмиссионная способность остается практически постоянной [2]. Указанный способ измерения является наиболее близким по существенным признакам к заявляемому способу и принят за прототип изобретения. Способ реализуется с помощью устройства, состоящего из оптического пирометра и трубы из металла с температурой плавления выше, чем температура расплава [2]. К недостаткам способа-прототипа следует отнести погрешность измерения температуры, возникающую вследствие отличия от единицы коэффициента теплового излучения поверхности расплава, а часто и неизвестном значении этой величины с достаточной точностью. В процессе патентного поиска обнаружено устройство для измерения температуры расплава, которое является наиболее близким по количеству существенных признаков к заявляемому техническому решению для реализации способа. Оно принято за прототип. Устройство содержит измеритель оптического излучения, оптическую линию, состоящую из оптического световодного волокна, и прозрачного химически стойкого огнеупорного материала – световода [3]. Световод, выполненный, например, из синтетического сапфира, закладывается в огнеупорную футеровку печи так, чтобы его торец был заподлицо с внутренней поверхностью футеровки. При работе печи расплав металла контактирует с торцом световода и энергия, излучаемая поверхностью расплава, по световоду и оптической линии передается на приемник излучения. Прямое использование известного устройства не позволяет реализовать заявленный способ, поскольку световод, например, стержень сапфира, помещен в оболочку из огнеупорной засыпки и стальной трубы и только торец световода может контактировать с расплавом. Задача изобретения состоит в повышении точности измерения температуры расплава веществ вне зависимости от точности данных о коэффициенте теплового излучения исследуемого вещества и наличии таких данных. Задача решается тем, что в известном способе измерения температуры расплава, заключающемся в измерении энергии теплового излучения с поверхности расплава, сформированной погружением в расплав огнеупорного тела, поверхность расплава формируют в виде углубления, которое является моделью “абсолютно черного тела”, при этом с помощью погружаемого тела излучение передается к измерителю. Таким образом, погружаемое тело выполняет функцию световода. Предлагаемый способ реализуется с помощью устройства, состоящего из световода, выполненного из оптического огнеупорного материала, например, синтетического сапфира, измерителя излучения и оптической линии, связывающей световод и измеритель излучения, отличающегося тем, что световод одновременно служит формообразователем углубления в расплаве. Световод имеет форму тела вращения, причем торец световода выполнен в виде конуса или имеет скругленную форму. Участок световода, погружаемый в расплав, имеет чистоту обработки поверхности не ниже 12 класса. При реализации заявленного способа и устройства с помощью световода, выполненного в виде тела вращения (стержня) из оптически прозрачного и огнеупорного материала, например, синтетического сапфира или рубина, на поверхности расплава формируют углубление, представляющее собой модель абсолютно черного тела (АЧТ). Излучение АЧТ по телу-световоду без потерь поступает на измеритель, где регистрируется. При этом световод одновременно является формообразователем углубления. Степень приближения излучения модели АЧТ к излучению АЧТ может быть получена сколь угодно близкой в зависимости от размеров и параметров углубления. В момент введении в расплав световода последний испытывает термический удар, в результате которого возможно разрушение световода. Чтобы исключить разрушение, световод выполнен в виде тела вращения, а его торец выполнен скругленной формы или в виде конуса. В этом случае температурный фронт теплового удара в достаточной степени совпадает с поверхностью световода и не приводит к его разрушению. Так как поверхность световода имеет оптически полированную поверхность (класс обработки не ниже 12), то между телом и расплавом создается оптический контакт. В этом случае свойство погружаемого тела (световода), именно полировка поверхности, передается поверхности расплава в углублении, что повышает эффективную излучательную способность модели АЧТ. Сущность технического решения заключается в создании на поверхности расплава модели АЧТ. Причем модель АЧТ создают в виде углубления в расплаве, которое формируют огнеупорным и оптически прозрачным телом, одновременно выполняющим функции световода. При этом форма, характеристики и размеры формообразователя-световода выбраны так, чтобы излучение модели АЧТ (углубления) максимально приблизить к излучению АЧТ. В пирометрии известны способы моделирования АЧТ, в основном в твердых телах, заключающиеся в создании отверстий на поверхности твердого тела [4]. Известное соотношение между глубиной и диаметром отверстия, а также форма дна отверстия и чистота обработки поверхности позволяют определить степень приближения модели к АЧТ. В заявляемом техническом решении на поверхности расплава вещества создают углубление, соответствующее модели АЧТ, введением прозрачного тела. Благодаря прозрачности тела оно является одновременно и световодом, что позволяет передать сформированное оптическое излучение АЧТ без потерь и помех по оптической линии к измерителю. Вследствие эффекта полировки поверхности углубления, полученного в результате оптического контакта между полированной поверхностью формообразователя-световода и расплавом, возрастает эффективный коэффициент теплового излучения углубления. Образованное таким образом углубление, например, световодом, погружаемая часть которого выполнена в виде цилиндра с конусом на торце, на глубину, при которой соотношение глубины к диаметру равно 6, и полированной поверхности, обеспечивает эффективный коэффициент теплового излучения модели АЧТ, равный 0,99. Это является достаточно высокой степенью приближения к АЧТ. Полученный в таких условиях поток тепловой энергии из углубления является практически излучением АЧТ и при его фиксировании измерителем излучения возможно с наибольшей точностью интерпретировать значение энергии излучения в значение температуры. При этом измерение энергии теплового излучения может осуществляться методами радиационной, оптической или цветовой пирометрии практически с одинаковой точностью. Рассмотрим все три варианта применения метода измерения. Радиационный способ измерения основан на законе Стефана-Больцмана для АЧТ: J = (T-T0)4, (1)где J – общая энергия, излучаемая в единицу времени с единицы площади; Т – температура излучения, К; Т0 – температура окружающей среды, К; – постоянная Стефана-Больцмана.
Для пирометрии пренебрегают величиной Т0, считая Т0 = 0, тогдаJ = T4, (2)а для нечерного тела J = t T4, (3)где t – интегральный коэффициент теплового излучения.
В координатах lnJ – Т соотношение (2) выражается прямой, в то время как соотношение (3) отклоняется от прямой, так как t является функцией T: t = f(T). Поскольку заявляемый метод измерения основан на использовании излучения АЧТ, то в координатах lnJ – Т характеристика будет линейной и градуировку устройства можно осуществлять по двум точкам.
Оптический монохроматический способ измерения.
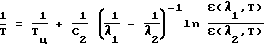
Интенсивность излучения J для длины волны для АЧТ при температуре Т в пирометрии обычно описывают в приближении закона Вина (4)Для нечерного тела (5)где ТВ – яркостная температура нечерного тела. Соотношение между ТВ и Т определяется уравнением 1/T = 1/TB+ /C2ln( ( ,T)).(6)В координатах lnJ – l/Т соотношение (4) выражается прямой линией. Однако соотношение (5) отклоняется от примой из-за существующей зависимости ( ,T). Формирование полости на поверхности расплава и создание модели АЧТ позволяет основываться на соотношении (4) и обеспечивает возможность при оптическом методе измерения энергии теплового излучения осуществлять градуировку устройства по двум точкам, пользуясь соотношениемlnJ = K +C /T,(7)где K и C – градуировочные коэффициенты.
Цветовой метод измерения основан на проведении двух монохроматических измерений на двух длинах волн и получении соотношения TB1 и TB2. В этом случае действительная температура T соотносится с цветовой Tц следующим образом (8)Как видно из соотношения (8), цветовая пирометрия дает возможность получить наилучшие по точности измерения температуры, так как последний член соотношения в наименьшей степени зависит от температуры. Предлагаемый метод измерения в совокупности с цветовым методом работы измерителя дает преимущества в точности измерения, однако повышение точности оказывается незначительным по сравнению со степенью усложнения устройства измерения. На фиг. 1 приведено устройство для реализации заявленного способа при измерении энергии теплового излучения методом радиационной пирометрии, продольный разрез. На фиг. 2 приведено устройство для реализации заявленного способа при измерении энергии теплового излучения методом оптической и цветовой пирометрии, продольный разрез. Устройство содержит световод 1, выполненный из оптически прозрачного и огнеупорного материала, приемник излучения 2 и оптическую линию 3, соединяющую световод 1 с приемником 2. Оптическая линия 3 состоит из волоконно-оптического жгута 4, фильтра монохроматического излучения 5 с параметрами = 0,65 мкм ![]() = 0,05, установленного на планке 6, и собирательной линзы 7. Приемник излучения 2 состоит из фотодиода 8 и аналого-цифрового преобразователя 9 с индикатором температуры 10. При реализации способа световод 1 погружают в расплав 11, находящийся в печи 12, при этом на поверхности расплава формируют углубление 13. Для сопоставления данных температуры устройство содержит стандартную ППР термопару 14, помещенную в расплав 11 в непосредственной близости от световода 1.
Пример 1. Измерение температуры расплава алюминия марки АО с помощью измерителя излучения, работающего в варианте радиационного пирометра. Для осуществления способа измерения использовали устройство приведенное на фиг. 1. Световод 1 выполнялся из стержня синтетического сапфира диаметром 9 мм и имел участок, погружаемый в расплав, в форме конуса, который имел полированную поверхность класса 12. Расплав металлического алюминия имеет коэффициент теплового излучения в пределах 0,2-0,3, поэтому для получения модели АЧТ с приближением не менее 99%, угол раскрытия конического углубления должен составлять не более 10 градусов. Этого условия достигали выполнением конуса на погружаемой части световода высотой 56 мм.
Измерение температуры осуществляется следующим образом. Световод 1 вводят в плавильное пространство печи 12 и осуществляют прогрев световода над расплавом, не касаясь последнего, в течение 10-15 мин. Затем световод 1 вводят в расплав 11, погружая его на глубину, соответствующую получению модели АЧТ с необходимым приближением: в данном случае на глубину 56-60 мм. На поверхности расплава формируется полость 13 в форме конуса. После установления теплового равновесия поверхность полости имеет температуру расплава, а вследствие того что световод имеет оптически полированную поверхность, создается оптический контакт световода 1 и расплава 11. В результате достижения этого комплекса задач, полость 13 является моделью АЧТ с приближением не ниже 99%, а сапфировый стержень является световодом теплового излучения из полости. Излучение из полости 13 по световоду 1 поступает по оптической линии 3, выполненной в виде волоконно-оптического жгута, на приемник излучения 2, который выполнен в виде радиационного пирометра ТЕРА-50 с градуировкой РК-15. Температуру расплава алюминия 11 изменяли в диапазоне 700-1000oC при изменении мощности, подводимой к печи 12. Одновременно осуществляли измерения температуры термопарой 14 с показывающим прибором 15. В момент касания световода 1 расплава 11 разрушения световода не наблюдалось.
Результаты измерения, полученные предлагаемыми способом и термопарой, приведены в табл. 1.
Пример 2. Измерение температуры расплава алюминия марки АО с помощью измерителя теплового излучения, работающего в варианте оптического пирометра на длине волны 0,65 мкм. Измерения осуществляли с помощью устройства, приведенного на фиг. 2. Световод 1 выполнен в виде цилиндра из синтетического рубина диаметром 7 мм. Погружаемый в расплав участок световода 1 также выполнен цилиндрическим. Для получения модели АЧТ с приближением не менее 99% отношение глубины цилиндрической полости к ее диаметру не должно быть менее 6. Следовательно, глубина погружения должна быть не менее 42 мм. Торец цилиндра был выполнен скругленным с радиусом скругления 3 мм, что исключало разрушение погружаемого участка световода в результате термического удара, а также повышало эффективный коэффициент излучения углубления. Измерения осуществляли аналогично описанным в примере 1. Отличие состояло лишь в том, что тепловое излучение от световода 1 поступало по оптической линии 3, состоящей из волоконно-оптического жгута 4, фильтра монохроматического излучения 5 с параметрами = 0,65 мкм ![]() = 0,05, установленного на планке 6, и линзы 7, на измеритель теплового излучения 2, выполненный в виде фотодиода 8 и аналого-цифрового преобразователя 9 с индикатором температуры 10.
Градуировку устройства осуществляли по двум точкам: температуре кристаллизации меди Т = 1083,0oC и температуре кристаллизации алюминия Т= 660,1oC. Все использованные для градуировки металлы имели химическую чистоту 99,9%. Температуру кристаллизации металлов фиксировали по зависимости температура-время при охлаждении печи. Полученные при градуировке данные использовались для введения зависимости в программатор аналого-цифрового преобразователя 9.
В табл. 2 приведены результаты измерения температуры расплава, полученные с помощью предлагаемого технического решения и соответствующие им показания ППР термопары 14.
Источники информации1. Свет Д. Я. Оптические методы измерения истинных температур. – М.: Наука, 1982. 2. Кинджери В.Д. Измерения при высоких температурах. М. Металлургиздат, 1963, с. 37 (прототип). 3. Авторское свидетельство 393961 (СССР). Устройство для измерения температуры жидкого металла. Опубл. 25.06.77, Бюл. N 23 (прототип). 4. Излучательные свойства твердых материалов. Справочник/ Под ред. А.Е. Шейндлина. – М.: Энергия, 1974, с. 30-88. Формула изобретения
РИСУНКИ
|
||||||||||||||||||||||||||

(T-T0)4, (1)
t
для АЧТ при температуре Т в пирометрии обычно описывают в приближении закона Вина
(4)
(5)
(8)