Патент на изобретение №2219176
|
||||||||||||||||||||||||||
(54) ПРОИЗВОДНЫЕ 2-АМИНОПИРИДИНОВ, ФАРМАЦЕВТИЧЕСКАЯ КОМПОЗИЦИЯ НА ИХ ОСНОВЕ И СПОСОБ ЕЕ ПОЛУЧЕНИЯ
(57) Реферат: Изобретение относится к новым производным 2-аминопиридинов ф-лы (1), где С обозначает незамещенные или замещенные фенил, пиридил, тиенил, тиазолил, хинолил, хиноксалин-2-ил или их бензоаннелированные производные; D – незамещенные или замещенные фенил, пиридил, тиенил, пиримидил, индолил, тиазолил, имидазолил, хинолил, триазолил, оксазолил, изоксазолил или их бензоаннелированные производные при условии, что С и D не имеют одновременно следующие значения: С – фенил и D – фенил, С – фенил и D – пиридил, С – пиридил и D – фенил, С – пиридил и D – пиридил; R1 – R4 – водород, NO2 или NH2. Соединения ф-лы (1) проявляют гиполипидемическую активность и могут быть использованы в медицине для лечения нарушений липидного обмена. 3 с. и 1 з. п. ф-лы, 1 табл.
Текст описания в факсимильном виде (см. графическую часть) Тк
Формула изобретения 1. Производные 2-аминопиридинов формулы I
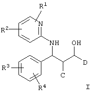
где С – фенил, пиридил, тиенил, тиазолил, хинолил, хиноксалин-2-ил или их бензоаннелированные производные, причем ароматический или гетероароматический остаток может быть замещен -NO2-группой или (C1-C8)-алкилом;
D – фенил, пиридил, тиенил, пиримидил, индолил, тиазолил, имидазолил, хинолил, триазолил, оксазолил, изоксазолил или их бензоаннелированные производные, причем ароматический или гетероароматический остаток может быть одно- или двукратно замещен хлором, СF3, (C1-C8)-алкилом, (C1-C8)-алкоксилом, (C0-C6)-алкилпиридилом или (C0-C6)-алкил-фенилом, причем фенильный остаток может быть замещен галогеном,
при условии, что С и D не имеют одновременно следующие значения:
С = фенил и D = фенил, С = фенил и D = пиридил, С = пиридил и D = фенил, С = пиридил и D = пиридил;
R1, R2, R3 и R4 независимо друг от друга – водород, -NO2 или NH2.
2. Соединения формулы I по п.1, отличающиеся тем, что С – фенил, пиридил, тиенил, тиазолил, хинолил, хиноксалин-2-ил, причем ароматический или гетероароматический остаток может быть замещен (C1-C8)-алкилом; D – фенил, пиридил, тиенил, пиримидил, индолил, тиазолил, имидазолил, хинолил, триазолил, оксазолил, изоксазолил, причем ароматический или гетероароматический остаток может быть одно- или двукратно замещен хлором, (C1-C8)-алкилом, при условии, что С и D не имеют одновременно следующие значения: С = фенил и D = фенил, С = фенил и D = пиридил, С = пиридил и D = фенил, С = пиридил и D = пиридил; R1, R2, R3 и R4 независимо друг от друга – водород, -NO2 или NH2.
3. Фармацевтическая композиция, проявляющая гиполипидемическую активность и содержащая одно или несколько соединений по п.1 или 2.
4. Способ получения фармацевтической композиции с гиполипидемической активностью, отличающийся тем, что одно или несколько соединений формулы I по п.1 или 2 смешивают с фармацевтически приемлемым носителем и эту смесь готовят в виде пригодной для введения формы.
РИСУНКИ
PD4A – Изменение наименования обладателя патента Российской Федерации на изобретение
(73) Новое наименование патентообладателя:
Извещение опубликовано: 27.12.2005 БИ: 36/2005
MM4A – Досрочное прекращение действия патента СССР или патента Российской Федерации на изобретение из-за неуплаты в установленный срок пошлины за поддержание патента в силе
Дата прекращения действия патента: 19.09.2007
Извещение опубликовано: 20.07.2010 БИ: 20/2010
|
||||||||||||||||||||||||||

Текст описания в факсимильном виде (см. графическую часть) Тк
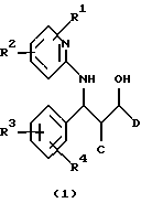
где С – фенил, пиридил, тиенил, тиазолил, хинолил, хиноксалин-2-ил или их бензоаннелированные производные, причем ароматический или гетероароматический остаток может быть замещен -NO2-группой или (C1-C8)-алкилом;
D – фенил, пиридил, тиенил, пиримидил, индолил, тиазолил, имидазолил, хинолил, триазолил, оксазолил, изоксазолил или их бензоаннелированные производные, причем ароматический или гетероароматический остаток может быть одно- или двукратно замещен хлором, СF3, (C1-C8)-алкилом, (C1-C8)-алкоксилом, (C0-C6)-алкилпиридилом или (C0-C6)-алкил-фенилом, причем фенильный остаток может быть замещен галогеном,
при условии, что С и D не имеют одновременно следующие значения:
С = фенил и D = фенил, С = фенил и D = пиридил, С = пиридил и D = фенил, С = пиридил и D = пиридил;
R1, R2, R3 и R4 независимо друг от друга – водород, -NO2 или NH2.
2. Соединения формулы I по п.1, отличающиеся тем, что С – фенил, пиридил, тиенил, тиазолил, хинолил, хиноксалин-2-ил, причем ароматический или гетероароматический остаток может быть замещен (C1-C8)-алкилом; D – фенил, пиридил, тиенил, пиримидил, индолил, тиазолил, имидазолил, хинолил, триазолил, оксазолил, изоксазолил, причем ароматический или гетероароматический остаток может быть одно- или двукратно замещен хлором, (C1-C8)-алкилом, при условии, что С и D не имеют одновременно следующие значения: С = фенил и D = фенил, С = фенил и D = пиридил, С = пиридил и D = фенил, С = пиридил и D = пиридил; R1, R2, R3 и R4 независимо друг от друга – водород, -NO2 или NH2.
3. Фармацевтическая композиция, проявляющая гиполипидемическую активность и содержащая одно или несколько соединений по п.1 или 2.
4. Способ получения фармацевтической композиции с гиполипидемической активностью, отличающийся тем, что одно или несколько соединений формулы I по п.1 или 2 смешивают с фармацевтически приемлемым носителем и эту смесь готовят в виде пригодной для введения формы.