Патент на изобретение №2219171
|
||||||||||||||||||||||||||
(54) ПРОИЗВОДНЫЕ АМИДА, СПОСОБ ИХ ПОЛУЧЕНИЯ И ФАРМАЦЕВТИЧЕСКАЯ КОМПОЗИЦИЯ НА ИХ ОСНОВЕ
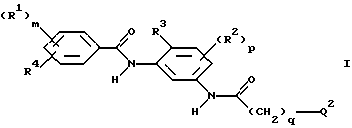
(57) Реферат: Изобретение относится к производным амида формулы I ![]() где R3 представляет собой (1-6С)алкил или галоген; m равно 0, 1, 2 или 3; R1 представляет собой гидрокси, галоген, трифторметил, нитро, амино, (1-6С)алкил, (2-6С)алкенил, (2-6С)алкинил, (1-6С)алкокси, (1-6С)алкиламино, ди-[(1-6С)алкил] амино, амино-(2-6С)алкиламино, (1-6С)алкиламино-(2-6С)алкиламино и т.д. или R1 представляет собой арил, арил-(1-6С)алкил, гетероарил, гетероарил-(1-6С)алкил, гетероарилокси, гетероарил-(1-6С)алкокси, гетероциклил, гетероциклил-(1-6С)алкил или гетероциклилокси, р равно 0, 1 или 2; R2 представляет собой гидрокси, галоген, трифторметил, (1-6С)алкил или (1-6С)алкокси; R4 представляет собой амино, (1-6С)алкиламино, ди-[(1-6С)алкил] амино, амино-(1-6С)алкил, (1-6С)алкиламино-(1-6С)алкил и т.д. или R4 представляет собой гетероарил, гетероарил-(1-6С)алкил, гетероарилокси, гетероарил-(1-6С)алкокси, гетероциклил и т.д., q равно 0, 1, 2, 3 или 4 и Q2 представляет собой гетероарил, гетероарилокси или гетероарил-(1-6С)алкокси и Q2 необязательно замещен 1, 2 или 3 заместителями, выбранными из гидрокси, галогена, трифторметила, (1-6С)алкила, (2-6С)алкенила, (2-6С)алкинила, (1-6С)-алкокси, амино-(1-6С)алкила и т.д., или его фармацевтически приемлемая соль или in vivo-расщепляемый эфир. Предложены способы получения производных амида. Также предложена фармацевтическая композиция, обладающая ингибирующим цитокин действием и содержащая активный ингредиент и фармацевтически приемлемый разбавитель или носитель. В качестве активного ингредиента композиция включает эффективное количество амидного производного формулы I, или его фармацевтически приемлемой соли, или in vivo-расщепляемого эфира. Технический результат – амидные производные формулы I, применяемые в качестве ингибиторов цитокин-опосредованных заболеваний. 4 с. и 10 з. п. ф-лы, 6 табл. Текст описания в факсимильном виде (см. графическую часть)а Формула изобретения 1. Амидное производное формулы I
где R3 – (1-6С)алкил или галоген;
m = 0, 1, 2 или 3;
R1 – гидрокси, галоген, трифторметил, нитро, амино, (1-6С)алкил, (2-6С)алкенил, (2-6С)алкинил, (1-6С)алкокси, (1-6С)алкиламино, ди-[(1-6С)алкил]амино, амино-(2-6С)алкиламино, (1-6С)алкиламино-(2-6С)алкиламино, ди-[(1-6С)алкил]амино-(2-6С)алкиламино, N-(1-6С)алкиламино-(2-6С)алкиламино, N-(1-6С)алкил-(1-6С)алкиламино-(2-6С)алкиламино, N-(1-6С)алкил-ди-[(1-6С)алкил]амино-(2-6С)алкиламино, амино-(2-6С)-алканоиламино, (1-6С)алкиламино-(2-6С)алканоиламино или ди-[(1-6С)алкил]амино-(2-6С)алканоиламино или R1 – арил, арил-(1-6С)алкил, гетероарил, гетероарил-(1-6С)алкил, гетероарилокси, гетероарил-(1-6С)алкокси, гетероциклил, гетероциклил-(1-6С)алкил или гетероциклилокси, и где любая арильная гетероарильная или гетероциклильная группа заместителя R1 может необязательно иметь 1 или 2 заместителя, выбранных из галогена, (1-6С)алкила, (1-6С)алкокси и (1-6С)алкоксикарбонила;
р = 0, 1 или 2;
R2 – гидрокси, галоген, трифторметил, (1-6С)алкил или (1-6C)алкокси;
R4 – амино, (1-6С)алкиламино, ди-[(1-6С)алкил]амино, амино-(1-6С)алкил, (1-6С)алкиламино-(1-6С)алкил, ди-[(1-6С)алкил]амино-(1-6С)алкил, амино-(2-6С)алкокси, (1-6C)алкиламино-(2-6С)алкокси, ди-[(1-6С)алкил]амино-(2-6С) алкокси, амино-(2-6С)алкиламино, (1-6С)алкиламино-(2-6С)алкиламино, ди-[(1-6С)алкил]амино-(2-6С)алкиламино, N-(1-6С) -алкиламино-(2-6С)алкиламино, N-(1-6C)алкил-(1-6С)алкиламино-(2-6С)алкиламино, N-(1-6C)алкил-ди-[(1-6С)алкил]амино-(2-6С)-алкиламино или R4 – гетероарил, гетероарил-(1-6С)алкил, гетероарилокси, гетероарил-(1-6С)алкокси, гетероциклил, гетероциклил-(1-6С)алкил, гетероциклилокси, гетероциклил-(1-6С)алкокси, гетероциклиламино, N-(1-6С)алкилгетероциклиламино, гетероциклил-(1-6С)алкиламино, N-(1-6С)алкилгетероциклил-(1-6С)алкиламино, гетероциклил-(1-6С)алкокси-(1-6С)алкил, гетероциклил-(1-6С)алкиламино-(1-6С)алкил или N-(1-6С)алкилгетероциклил-(1-6С)алкиламино-(1-6С)алкил и где любые заместители R4, определенные здесь ранее, которые содержат CH2-группу, которая присоединена к двум атомам углерода, или СН3-группу, которая присоединена к углеродному атому, могут необязательно иметь на каждой указанной СН2– или СН3– группе заместитель, выбранный из амино, (1-6С)алкиламино и ди-[(1-6С)алкил]амино, и где любая гетероарильная или гетероциклильная группа заместителя R4 может необязательно иметь 1 или 2 заместителя, выбранных из гидрокси, галогена, (1-6С)алкила, (1-6С)алкокси, (1-6С)алкоксикарбонила, амино, (1-6С)алкиламино, ди-[(1-6С)алкил]амино, гидрокси-(1-6С)алкила, (1-6С)алкокси-(1-6С)алкила, амино-(1-6С)алкила, (1-6С)алкиламино-(1-6С)алкила и ди-[(1-6С)алкил]амино-(1-6С)алкила;
q = 0, 1, 2, 3 или 4;
Q2 – гетероарил, гетероарилокси или гетероарил-(1-6С)алкокси и Q2 необязательно замещен 1, 2 или 3 заместителями, выбранными из гидрокси, галогена, трифторметила, (1-6С)алкила, (2-6С)алкенила, (2-6С)алкинила, (1-6С)алкокси, амино-(1-6С)алкила, (1-6С)алкиламино-(1-6С)алкила, ди-[(1-6С)алкил]амино-(1-6С)алкила, галоген-(2-6С)алкокси, гидрокси-(2-6С)алкокси, (1-6С)алкокси-(2-6С)алкокси, арила, арил-(1-6С)алкила, арил-(1-6С)алкокси, ариламино, гетероарила, гетероарил-(1-6С)алкила, гетероарил-(1-6С)алкокси, гетероциклила, гетероциклил-(1-6С)алкила и гетероциклил-(1-6С)алкокси, и где любая арильная, гетероарильная или гетероциклильная группа заместителя Q2 может необязательно иметь 1 или 2 заместителя, выбранных из гидрокси, галогена, (1-6С)алкила, (1-6С)алкокси, амино, (1-6С)алкиламино, ди-[(1-6С)алкил]амино, гидрокси-(1-6С)алкила, амино-(1-6С)алкила, (1-6С)алкиламино-(1-6С)алкила и ди-[(1-6С)алкил]амино-(1-6С)алкила,
или его фармацевтически приемлемая соль или in vivo-расщепляемый эфир.
2. Амидное производное формулы I по п.1, где Q2 – гетероароматическое 5- или 6-членное моноциклическое кольцо или 9- или 10-членное бициклическое кольцо, содержащее до 5 гетероатомов кольца, выбранных из кислорода, азота и серы, которые имеют основной заместитель, выбранный из амино-(1-6С)алкила, (1-6С)алкиламино-(1-6С)алкила, ди-[(1-6С)алкил]амино-(1-6С) алкила, гетероарила, гетероарил-(1-6С)алкила, гетероарил-(1-6С)алкокси, гетероциклила, гетероциклил-(1-6С)алкила и гетероциклил-(1-6С)алкокси, и где любая гетероарильная или гетероциклильная группа основного заместителя Q2 может необязательно иметь 1 или 2 заместителя, выбранных из галогена, (1-6С)алкила, амино, (1-6С)алкиламино и ди-[(1-6С)алкил]амино.
3. Амидное производное формулы I по п.1, где Q2 – гетероароматическое 5- или 6-членное моноциклическое кольцо, или 9- или 10-членное бициклическое кольцо, или 13- или 14-членное трициклическое кольцо, каждое содержащее до 5 гетероатомов кольца, выбранных из кислорода, азота и серы, которые необязательно имеют 1, 2 или 3 заместителя, выбранных из гидрокси, галогена, трифторметила, (1-6С)алкила и (1-6С)алкокси.
4. Амидное производное формулы I по п.1, где R4 – амино, (1-6С)алкиламино, ди-[(1-6С)алкил]амино, амино-(1-6С)алкил, (1-6С)алкиламино-(1-6С)алкил, ди-[(1-6С)алкил]амино-(1-6С)алкил, амино-(2-6С)алкокси, (1-6C)алкиламино-(2-6С)алкокси, ди-[(1-6С)алкил] амино-(2-6С) алкокси, амино-(2-6С)алкиламино, (1-6С)алкиламино-(2-6С)-алкиламино, ди-[(1-6С)алкил]амино-(2-6С)алкиламино, N-(1-6С)алкиламино-(2-6С)алкиламино, N-(1-6C)алкил-(1-6С)алкиламино-(2-6С)алкиламино, N-(1-6C)алкил-ди-[(1-6С)алкил]амино-(2-6С)алкиламино, пиридил, имидазолил, пиридил-(1-6C)алкил, имидазолил-(1-6C)алкил, пиридил-(1-6С)алкокси, имидазолил-(1-6C)алкокси, пирролидинил, пиперидинил, морфолинил, пиперазинил, 4-(1-6С)алкилпиперазинил, гомопиперазинил, 4-(1-6С)алкилгомопиперазинил, пирролидинил-(1-6C)алкил, пиперидинил-(1-6C)алкил, морфолинил-(1-6C)алкил, пиперазинил-(1-6C)алкил, 4-(1-6C)алкилпиперазинил-(1-6С)алкил, гомопиперазинил-(1-6C)алкил, 4-(1-6С)алкилгомопиперазинил-(1-6С)алкил, пирролидинилокси, пиперидинилокси, 1-(1-6C)алкилпиперидинилокси, пирролидинил-(2-6С)алкокси, пиперидинил-(2-6С)алкокси, морфолинил-(2-6С)алкокси, пиперазинил-(2-6С)алкокси или 4-(1-6C)алкилпиперазинил-(2-6С)алкокси.
5. Амидное производное формулы I по п.1, где R3 – метил, этил, хлор или бром; m = 0 или 1; R1 – гидрокси, фтор, хлор, бром, трифторметил, амино, метил, этил, метокси, этокси, метиламино, этиламино, диметиламино или диэтиламино; р = 0; R4 – амино, метиламино, этиламино, диметиламино, диэтиламино, метиламинометил, этиламинометил, диметиламинометил, диэтиламинометил, 2-аминоэтокси, 3-аминопропокси, 2-метиламиноэтокси, 2-этиламиноэтокси, 3-метиламинопропокси, 3-этиламинопропокси, 2-диметиламиноэтокси, 2-диэтиламиноэтокси, 3-диметиламинопропокси, 3-диэтиламинопропокси, пиридил, пиридилметил, пиридилметокси, пирролидинил, пиперидинил, морфолинил, пиперазинил, 4-метилпиперазинил, пирролидинилметил, пиперидинилметил, морфолинилметил, пиперазинилметил, 4-метилпиперазинилметил, пиперидинилокси, 1-метилпиперидинилокси, 2-(пирролидинил)этокси, 3-(пирролидинил)пропокси, 2-(пиперидинил)этокси, 3-(пиперидинил)пропокси, 2-(морфолинил)этокси, 3-(морфолинил)пропокси, 2-(пиперазинил)этокси, 3-(пиперазинил)пропокси, 2-(4-метилпиперазинил)этокси или 3-(4-метилпиперазинил)пропокси; q=0 и Q2 – фурил, тиенил, оксазолил, изоксазолил, имидазолил, пиразолил, тиазолил, изотиазолил, пиридил, пиридазинил, пиримидинил, пиразинил, бензофуранил, индолил, бензотиофенил, бензоксазолил, бензимидазолил, бензотиазолил, индазолил, бензофуразанил, хинолил, изохинолил, хиназолинил, хиноксалинил или нафтиридинил, которые необязательно имеют 1 или 2 заместителя, выбранных из гидрокси, фтора, хлора, трифторметила, метила, этила, метокси, этокси, аминометила, метиламинометила, этиламинометила, диметиламинометила, диэтиламинометила, 2-гидроксиэтокси, 3-гидроксипропокси, 2-метоксиэтокси, 2-этоксиэтокси, 3-метоксипропокси, 3-этоксипропокси, пиридила, пиридилметила, пиридилметокси, пирролидинила, пиперидинила, морфолинила, пиперазинила, 4-метилпиперазинила, пирролидинилметила, пиперидинилметила, морфолинилметила, пиперазинилметила, 4-метилпиперазинилметила, 2-(пирролидинил)этокси, 3-(пирролидинил)пропокси, 2-(пиперидинил)этокси, 3-(пиперидинил)пропокси, 2-(морфолинил)этокси, 3-(морфолинил)пропокси, 2-(пиперазинил)этокси, 3-(пиперазинил)пропокси, 2-(4-метилпиперазинил)этокси и 3-(4-метилпиперазинил)пропокси, или его фармацевтически приемлемая соль.
6. Амидное производное формулы I по п.1, где R3 – метил; m = 0 или 1 и R1 – гидрокси, фтор, хлор, амино, метил, метокси, метиламино или диметиламино; каждый р и q = 0; R4 находится в 3-м или 4-м положении и выбран из диметиламинометила, диэтиламинометила, 2-диметиламиноэтокси, 2-диэтиламиноэтокси, 3-диметиламинопропокси, 3-диэтиламинопропокси, 2-аминоэтиламино, 3-аминопропиламино, 4-аминобутиламино, 3-метиламинопропиламино, 2-диметиламиноэтиламино, 2-диэтиламиноэтиламино, 3-диметиламинопропиламино, 4-диметиламинобутиламино, N-(2-диметиламиноэтил)-N-метиламино, N-(3-диметиламинопропил)-N-метиламино, пирролидин-1-ила, морфолино, пиперидино, пиперазин-1-ила, 4-метилпиперазин-1-ила, 4-этилпиперазин-1-ила, 4-(2-гидроксиэтил)пиперазин-1-ила, 4-метил-гомопиперазин-1-ила, пиперазин-1-илметила, 4-метилпиперазин-1-илметила, 4-метилгомопиперазин-1-илметила, морфолинометила, 3-аминопирролидин-1-илметила, 3-гидроксипирролидин-1-илметила, 4-(2-гидроксиэтил)пиперазин-1-илметила, пиперидин-4-илокси, 1-метилпиперидин-4-илокси, 2-пирролидин-1-илэтокси, 3-пирролидин-1-илпропокси, 2-пиперидиноэтокси, 3-пиперидинопропокси, 2-морфолиноэтокси, 3-морфолинопропокси, 2-пиперазин-1-илэтокси, 3-пиперазин-1-илпропокси, 2-(4-метилпиперазин-1-ил)этокси, 3-(4-метилпиперазин-1-ил)пропокси, 2-гидрокси-3-пирролидин-1-илпропокси, 2-гидрокси-3-пиперидинопропокси, 2-гидрокси-3-морфолинопропокси, пиперидин-4-иламино, 1-метилпиперидин-4-иламино, 2-пирролидин-1-илэтиламино, 3-пирролидин-1-илпропиламино, 2-морфолиноэтиламино, 3-морфолинопропиламино, 2-пиперидиноэтиламино, 3-пиперидинопропиламино, 2-пиперазин-1-илэтиламино, 3-пиперазин-1-илпропиламино, 2-(4-метилпиперазин-1-ил)этиламино, 3-(4-метилпиперазин-1-ил)пропиламино, 2-(1-метилпирролидин-2-ил)этиламино, 3-(1-метилпирролидин-2-ил)пропиламино, 2-диметиламиноэтиламинометила, 3-диметиламино-пропиламинометила, 3-диметиламино-2,2-диметилпропиламинометила, 2-(1-метилпирролидин-2-илэтил)аминометила, 3-пирролидин-1-илпропиламинометила, 2-морфолиноэтиламинометила, 3-морфолинопропиламинометила, 2-пиперазин-1-илэтиламинометила, 3-(4-метилпиперазин-1-илпропил)аминометила и 2-пиридилметокси; и Q2 – 2-пиридил, 3-пиридил или 4-пиридил, которые имеют заместитель, выбранный из пирролидин-1-ила, 3-гидроксипирролидин-1-ила, 2-гидроксиметилпирролидин-1-ила, морфолино, пиперидино, 4-гидроксипиперидин-1-ила и пиперазин-1-ила, или его фармацевтически приемлемая соль.
7. Амидное производное формулы I по п.1, где R3 – метил;
m = 0 или 1 и R1 – нитро или амино; каждый р и q = 0; R4 находится в 3-м или 4-м положении и выбран из диэтиламинометила, N-(3-диметиламинопропил)-N-метиламино, пирролидин-1-ила, морфолино, пиперидино, пиперазин-1-ила, 4-метилпиперазин-1-ила, 4-метилгомопиперазин-1-ил, пирролидин-1-илметила, пиперидинометила, морфолинометила, пиперазин-1-илметила, 4-метилпиперазин-1-илметила, гомопиперазин-1-илметила, 4-метилгомопиперазин-1-илметила, 3-аминопирролидин-1-илметила, 3-гидроксипирролидин-1-илметила, 4-(2-гидроксиэтил)пиперазин-1-илметила, пирролидин-3-илокси, N-метилперролидин-3-илокси, пиперидин-4-илокси, N-метилпиперидин-4-илокси, N-этилпиперидин-4-илокси, N-изопропилпиперидин-4-илокси, гомопиперидин-4-илокси, N-метилгомопиперидин-4-илокси, 3-пирролидин-1-илпропиламинометила, 2-(1-метилпирролидин-2-илэтил)аминометила, 2-морфолиноэтиламинометила, 3-морфолинопропиламинометила, 3-(4-метилпиперазин-1-илпропил)аминометила, пирид-2-илметокси, тиазол-4-илметокси и 2-метилтиазол-4-илметокси; и Q2 – 2-пиридил, 3-пиридил или 4-пиридил, которые имеют заместитель, выбранный из пирролидин-1-ила, 2-гидроксиметилпирролидин-1-ила, морфолино и пиперидино, и где любые из 4 последних заместителей могут необязательно иметь 1 или 2 метильные группы, или Q2 – 2- или 4-дибензофуранил; или его фармацевтически приемлемая соль.
8. Амидное производное формулы I по п.1, где R3 – метил; m = 0 или 1 и R1 – нитро или амино; каждый р и q = 0; R4 находится в 3-м или 4-м положении и выбран из диэтиламинометила, N-(3-диметиламинопропил)-N-метиламино, пирролидин-1-ила, морфолино, пиперидино, пиперазин-1-ила, 4-метилпиперазин-1-ила, 4-метилгомопиперазин-1-ила, пирролидин-1-илметила, пиперидинометила, морфолинометила, пиперазин-1-илметила, 4-метилпиперазин-1-илметила, гомопиперазин-1-илметила, 4-метилгомопиперазин-1-илметила, 3-аминопирролидин-1-илметила, 3-гидроксипирролидин-1-илметила, 4-(2-гидроксиэтил)пиперазин-1-илметила, пирролидин-3-илокси, пиперидин-4-илокси, 3-пирролидин-1-илпропиламинометила, 2-(1-метилпирролидин-2-илэтил)аминометила, 2-морфолиноэтиламинометила, 3-морфолинопропиламинометила, 3-(4-метилпиперазин-1-илпропил)аминометила или пирид-2-илметокси; и Q2 – 2-пиридил, 3-пиридил или 4-пиридил, которые имеют заместитель, выбранный из пирролидин-1-ила, 2-гидроксиметилпирролидин-1-ила, морфолино и пиперидино, или его фармацевтически приемлемая соль.
9. Амидное производное формулы I по п.1, где R3 – метил; каждый m, р и q = 0;
R4 находится в 3-м или 4-м положении и выбран из диэтиламинометила, 4-метилпиперазин-1-ила, морфолинометила, пиперазин-1-илметила, 4-метилпиперазин-1-илметила, 4-метилгомопиперазин-1-илметила, 3-гидроксипирролидин-1-илметила, пирролидин-3-илокси, пиперидин-4-илокси, N-метилпиперидин-4-илокси, N-изопропилпиперидин-4-илокси, N-метилгомопиперидин-4-илокси, 2-(N-метилпирролидин-2-ил)этокси, 3-диметиламино-2,2-диметилпропиламинометила, N-(3-диметиламинопропил)-N-метиламинометила, 3-морфолинопропиламинометила и 2-метилтиазол-4-илметокси; и 2 – 4-пиридил, который имеет заместитель, выбранный из морфолино, пиперидино, 3-метилпиперидин-1-ила и гомопиперидин-1-ила, или Q2 представляет собой 4-дибензофуранил, или его фармацевтически приемлемая соль.
10. Амидное производное формулы I по п.1, выбранное из
N-{4-метил-3-[3-(4-метилпиперазин-1-илметил)бензамидо]фенил}фуран-2-карбоксамида;
N-{4-метил-3-[3-(4-метилпиперазин-1-илметил)бензамидо]фенил} изоксазол-5-карбоксамида;
N-[3-(4-диэтиламинометилбензамидо)-4-метилфенил]-2-морфолинопиридин-4-карбоксамида;
N-{3-[3-(4-метилпиперазин-1-илметил)бензамидо]-4-метилфенил}-2-пирролидин-1-илпиридин-4-карбоксамида;
N-{3-[3-(4-метилпиперазин-1-илметил)бензамидо]-4-метилфенил}-2-морфолинопиридин-4-карбоксамида;
N-{3-[3-(4-метилгомопиперазин-1-илметил)бензамидо]-4-метилфенил}-2-морфолинопиридин-4-карбоксамида;
N-{3-[4-(4-метилгомопиперазин-1-илметил)бензамидо]-4-метилфенил}-2-морфолинопиридин-4-карбоксамида;
N-[3-(3-пиперазин-1-илметилбензамидо)-4-метилфенил]-2-морфолинопиридин-4-карбоксамида;
N-{3-[4-(3-гидроксипирролидин-1-илметил)бензамидо]-4-метилфенил}-2-морфолинопиридин-4-карбоксамида;
N-{3-[3-(3-пирролидин-1-илпропиламинометил)бензамидо]-4-метилфенил}-2-морфолинопиридин-4-карбоксамида;
N-{3-[4-(3-морфолинопропиламинометил)бензамидо]-4-метилфенил}-2-морфолинопиридин-4-карбоксамида;
N-[3-(3-диэтиламинометилбензамидо)-4-метилфенил]-2-морфолинопиридин-4-карбоксамида;
N-[3-(4-диэтиламинометилбензамидо)-4-метилфенил]-5-морфолинопиридин-3-карбоксамида;
N-[3-(4-диэтиламинометилбензамидо)-4-метилфенил]-2-пиперидинопиридин-4-карбоксамида;
N-{3-[3-(4-метилпиперазин-1-илметил)бензамидо]-4-метилфенил}-2-(3-метилпиперидин-1-ил)пиридин-4-карбоксамида;
N-{3-[3-(4-метилпиперазин-1-илметил)бензамидо]-4-метилфенил}-2-гомопиперидин-1-илпиридин-4-карбоксамида;
N-[4-метил-3-(4-морфолинометилбензамидо)фенил]-2-морфолинопиридин-4-карбоксамида;
N-{3-[3-(3-диметиламино-2,2-диметилпропиламинометил)-бензамидо]-4-метилфенил}-2-морфолинопиридин-4-карбоксамида;
N-{3-[4-(3-диметиламино-2,2-диметилпропиламинометил)-бензамидо]-4-метилфенил}-2-морфолинопиридин-4-карбоксамида;
N-(3-{4-[N-(3-диметиламинопропил)-N-метиламинометил]-бензамидо]-4-метилфенил)-2-морфолинопиридин-4-карбоксамида;
N-[4-метил-3-(3-пиперидин-4-илоксибензамидо)фенил]-2-морфолинопиридин-4-карбоксамида;
N-[4-метил-3-(3-пирролидин-3-илоксибензамидо)фенил]-2-морфолинопиридин-4-карбоксамида;
N-{3-[3-(N-метилгомопиперидин-4-илокси)бензамидо]-4-метилфенил}-2-морфолинопиридин-4-карбоксамида;
N-(3-{3-[2-(N-метилпирролидин-2-ил)этокси]бензамидо}-4-метилфенил)-2-морфолинопиридин-4-карбоксамида;
N-{4-метил-3-[4-(2-метилтиазол-4-илметокси)бензамидо]фенил}-2-морфолинопиридин-4-карбоксамида и
N-{3-[3-(4-метилпиперазин-1-илметил)бензамидо]-4-метилфенил}дибензофуран-4-карбоксамида,
или его фармацевтически приемлемая соль.
11. Способ получения амидного производного формулы I, или его фармацевтически приемлемой соли, или in vivo-расщепляемого эфира по п.1, который включает взаимодействие анилина формулы II
с кислотой формулы III
или ее активным производным
в стандартных условиях образования амидной связи, где различные группы определены в п.1 и где любая функциональная группа при необходимости защищена, и
(i) удаляются любые защитные группы и (ii) необязательно образуются фармацевтически приемлемые соли или in vivo-расщепляемый эфир; и затем (а) для получения соединения формулы I, где R1, R4 или заместитель Q2 представляют собой (1-6С)алкокси или замещенную (1-6С)алкоксигруппу, (1-6С)алкиламино, ди-[(1-6С)алкил]амино или замещенную (1-6С)алкиламиногруппу, алкилирование, удобно в присутствии подходящего основания, амидного производного формулы I, где 1, R4 или заместитель Q2 представляют собой соответственно гидрокси или амино; b) для получения соединения формулы I, где заместитель Q2 представляет собой N-связанную гетероциклильную группу, взаимодействие, удобно в присутствии подходящего основания, амидного производного формулы I, где заместитель Q2 представляет собой подходящую удаляемую группу, с соответствующим амином; (с) для получения соединения формулы I, где R1, R4 или заместитель Q2 представляют собой (1-6С)алканоиламино или замещенную (2-6С)алканоиламиногруппу, ацилирование соединения формулы I, где R1, R4 или заместитель Q2 представляют собой амино.
12. Способ получения амидного производного формулы I, или его фармацевтически приемлемой соли или in vivo-расщепляемого эфира по п.1, который включает взаимодействие кислоты формулы V или ее активного производного
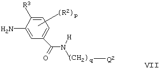
с анилином формулы (VII)
в стандартных условиях образования амидной связи, где различные группы представляют ранее определенные в п.1 и где любая функциональная группа при необходимости защищена, (i) удаляются любые защитные группы и
(ii) необязательно образуются фармацевтически приемлемая соль или in vivo-расщепляемый эфир, и затем (а) для получения соединения формулы I, где R1, R4 или заместитель Q2 представляют собой (1-6С)алкокси или замещенную (1-6С)алкоксигруппу, (1-6С)алкиламино, ди[(1-6С)алкил]амино или замещенную (1-6С)алкиламиногруппу, алкилирование, удобно в присутствии подходящего основания, амидного производного формулы I, где R1, R4 или заместитель Q2 представляют собой соответственно гидрокси или амино; (b) для получения соединения формулы I, где заместитель Q2 представляет собой N-связанную гетероциклильную группу, взаимодействие, удобно в присутствии подходящего основания, амидного производного формулы I, где заместитель Q2 представляет собой подходящую удаляемую группу, с соответствующим амидом; (с) для получения соединения формулы I, где R1, R4 или заместитель Q2 представляют собой (1-6С)алканоиламино или замещенную (1-6С)алканоиламиногруппу, ацилирование соединения формулы I, где R1, R4 или заместитель Q2 представляет собой амино.
13. Фармацевтическая композиция, обладающая ингибирующим цитокин действием и содержащая активный ингредиент и фармацевтически приемлемый разбавитель или носитель, отличающаяся тем, что в качестве активного ингредиента композиция включает эффективное количество амидного производного формулы I или его фармацевтически приемлемой соли или in vivo расщепляемого эфира по любому из пп.1-10.
14. Амидное производное формулы I по п.1 или его фармацевтически приемлемая соль или in vivo-расщепляемый эфир в качестве активного ингредиента лекарственного препарата для лечения терапевтических состояний, вызванных цитокинами.
Приоритет по пунктам:
25.09.1998 по пп.2, 5, 10, 11, 12, 13 и 14;
09.12.1998 по пп.1, 6 и 10;
17.03.1999 по пп.4 и 8.
РИСУНКИ
MM4A – Досрочное прекращение действия патента СССР или патента Российской Федерации на изобретение из-за неуплаты в установленный срок пошлины за поддержание патента в силе
Дата прекращения действия патента: 22.09.2008
Извещение опубликовано: 20.07.2010 БИ: 20/2010
|
||||||||||||||||||||||||||


где R3 – (1-6С)алкил или галоген;
m = 0, 1, 2 или 3;
R1 – гидрокси, галоген, трифторметил, нитро, амино, (1-6С)алкил, (2-6С)алкенил, (2-6С)алкинил, (1-6С)алкокси, (1-6С)алкиламино, ди-[(1-6С)алкил]амино, амино-(2-6С)алкиламино, (1-6С)алкиламино-(2-6С)алкиламино, ди-[(1-6С)алкил]амино-(2-6С)алкиламино, N-(1-6С)алкиламино-(2-6С)алкиламино, N-(1-6С)алкил-(1-6С)алкиламино-(2-6С)алкиламино, N-(1-6С)алкил-ди-[(1-6С)алкил]амино-(2-6С)алкиламино, амино-(2-6С)-алканоиламино, (1-6С)алкиламино-(2-6С)алканоиламино или ди-[(1-6С)алкил]амино-(2-6С)алканоиламино или R1 – арил, арил-(1-6С)алкил, гетероарил, гетероарил-(1-6С)алкил, гетероарилокси, гетероарил-(1-6С)алкокси, гетероциклил, гетероциклил-(1-6С)алкил или гетероциклилокси, и где любая арильная гетероарильная или гетероциклильная группа заместителя R1 может необязательно иметь 1 или 2 заместителя, выбранных из галогена, (1-6С)алкила, (1-6С)алкокси и (1-6С)алкоксикарбонила;
р = 0, 1 или 2;
R2 – гидрокси, галоген, трифторметил, (1-6С)алкил или (1-6C)алкокси;
R4 – амино, (1-6С)алкиламино, ди-[(1-6С)алкил]амино, амино-(1-6С)алкил, (1-6С)алкиламино-(1-6С)алкил, ди-[(1-6С)алкил]амино-(1-6С)алкил, амино-(2-6С)алкокси, (1-6C)алкиламино-(2-6С)алкокси, ди-[(1-6С)алкил]амино-(2-6С) алкокси, амино-(2-6С)алкиламино, (1-6С)алкиламино-(2-6С)алкиламино, ди-[(1-6С)алкил]амино-(2-6С)алкиламино, N-(1-6С) -алкиламино-(2-6С)алкиламино, N-(1-6C)алкил-(1-6С)алкиламино-(2-6С)алкиламино, N-(1-6C)алкил-ди-[(1-6С)алкил]амино-(2-6С)-алкиламино или R4 – гетероарил, гетероарил-(1-6С)алкил, гетероарилокси, гетероарил-(1-6С)алкокси, гетероциклил, гетероциклил-(1-6С)алкил, гетероциклилокси, гетероциклил-(1-6С)алкокси, гетероциклиламино, N-(1-6С)алкилгетероциклиламино, гетероциклил-(1-6С)алкиламино, N-(1-6С)алкилгетероциклил-(1-6С)алкиламино, гетероциклил-(1-6С)алкокси-(1-6С)алкил, гетероциклил-(1-6С)алкиламино-(1-6С)алкил или N-(1-6С)алкилгетероциклил-(1-6С)алкиламино-(1-6С)алкил и где любые заместители R4, определенные здесь ранее, которые содержат CH2-группу, которая присоединена к двум атомам углерода, или СН3-группу, которая присоединена к углеродному атому, могут необязательно иметь на каждой указанной СН2– или СН3– группе заместитель, выбранный из амино, (1-6С)алкиламино и ди-[(1-6С)алкил]амино, и где любая гетероарильная или гетероциклильная группа заместителя R4 может необязательно иметь 1 или 2 заместителя, выбранных из гидрокси, галогена, (1-6С)алкила, (1-6С)алкокси, (1-6С)алкоксикарбонила, амино, (1-6С)алкиламино, ди-[(1-6С)алкил]амино, гидрокси-(1-6С)алкила, (1-6С)алкокси-(1-6С)алкила, амино-(1-6С)алкила, (1-6С)алкиламино-(1-6С)алкила и ди-[(1-6С)алкил]амино-(1-6С)алкила;
q = 0, 1, 2, 3 или 4;
Q2 – гетероарил, гетероарилокси или гетероарил-(1-6С)алкокси и Q2 необязательно замещен 1, 2 или 3 заместителями, выбранными из гидрокси, галогена, трифторметила, (1-6С)алкила, (2-6С)алкенила, (2-6С)алкинила, (1-6С)алкокси, амино-(1-6С)алкила, (1-6С)алкиламино-(1-6С)алкила, ди-[(1-6С)алкил]амино-(1-6С)алкила, галоген-(2-6С)алкокси, гидрокси-(2-6С)алкокси, (1-6С)алкокси-(2-6С)алкокси, арила, арил-(1-6С)алкила, арил-(1-6С)алкокси, ариламино, гетероарила, гетероарил-(1-6С)алкила, гетероарил-(1-6С)алкокси, гетероциклила, гетероциклил-(1-6С)алкила и гетероциклил-(1-6С)алкокси, и где любая арильная, гетероарильная или гетероциклильная группа заместителя Q2 может необязательно иметь 1 или 2 заместителя, выбранных из гидрокси, галогена, (1-6С)алкила, (1-6С)алкокси, амино, (1-6С)алкиламино, ди-[(1-6С)алкил]амино, гидрокси-(1-6С)алкила, амино-(1-6С)алкила, (1-6С)алкиламино-(1-6С)алкила и ди-[(1-6С)алкил]амино-(1-6С)алкила,
или его фармацевтически приемлемая соль или in vivo-расщепляемый эфир.
2. Амидное производное формулы I по п.1, где Q2 – гетероароматическое 5- или 6-членное моноциклическое кольцо или 9- или 10-членное бициклическое кольцо, содержащее до 5 гетероатомов кольца, выбранных из кислорода, азота и серы, которые имеют основной заместитель, выбранный из амино-(1-6С)алкила, (1-6С)алкиламино-(1-6С)алкила, ди-[(1-6С)алкил]амино-(1-6С) алкила, гетероарила, гетероарил-(1-6С)алкила, гетероарил-(1-6С)алкокси, гетероциклила, гетероциклил-(1-6С)алкила и гетероциклил-(1-6С)алкокси, и где любая гетероарильная или гетероциклильная группа основного заместителя Q2 может необязательно иметь 1 или 2 заместителя, выбранных из галогена, (1-6С)алкила, амино, (1-6С)алкиламино и ди-[(1-6С)алкил]амино.
3. Амидное производное формулы I по п.1, где Q2 – гетероароматическое 5- или 6-членное моноциклическое кольцо, или 9- или 10-членное бициклическое кольцо, или 13- или 14-членное трициклическое кольцо, каждое содержащее до 5 гетероатомов кольца, выбранных из кислорода, азота и серы, которые необязательно имеют 1, 2 или 3 заместителя, выбранных из гидрокси, галогена, трифторметила, (1-6С)алкила и (1-6С)алкокси.
4. Амидное производное формулы I по п.1, где R4 – амино, (1-6С)алкиламино, ди-[(1-6С)алкил]амино, амино-(1-6С)алкил, (1-6С)алкиламино-(1-6С)алкил, ди-[(1-6С)алкил]амино-(1-6С)алкил, амино-(2-6С)алкокси, (1-6C)алкиламино-(2-6С)алкокси, ди-[(1-6С)алкил] амино-(2-6С) алкокси, амино-(2-6С)алкиламино, (1-6С)алкиламино-(2-6С)-алкиламино, ди-[(1-6С)алкил]амино-(2-6С)алкиламино, N-(1-6С)алкиламино-(2-6С)алкиламино, N-(1-6C)алкил-(1-6С)алкиламино-(2-6С)алкиламино, N-(1-6C)алкил-ди-[(1-6С)алкил]амино-(2-6С)алкиламино, пиридил, имидазолил, пиридил-(1-6C)алкил, имидазолил-(1-6C)алкил, пиридил-(1-6С)алкокси, имидазолил-(1-6C)алкокси, пирролидинил, пиперидинил, морфолинил, пиперазинил, 4-(1-6С)алкилпиперазинил, гомопиперазинил, 4-(1-6С)алкилгомопиперазинил, пирролидинил-(1-6C)алкил, пиперидинил-(1-6C)алкил, морфолинил-(1-6C)алкил, пиперазинил-(1-6C)алкил, 4-(1-6C)алкилпиперазинил-(1-6С)алкил, гомопиперазинил-(1-6C)алкил, 4-(1-6С)алкилгомопиперазинил-(1-6С)алкил, пирролидинилокси, пиперидинилокси, 1-(1-6C)алкилпиперидинилокси, пирролидинил-(2-6С)алкокси, пиперидинил-(2-6С)алкокси, морфолинил-(2-6С)алкокси, пиперазинил-(2-6С)алкокси или 4-(1-6C)алкилпиперазинил-(2-6С)алкокси.
5. Амидное производное формулы I по п.1, где R3 – метил, этил, хлор или бром; m = 0 или 1; R1 – гидрокси, фтор, хлор, бром, трифторметил, амино, метил, этил, метокси, этокси, метиламино, этиламино, диметиламино или диэтиламино; р = 0; R4 – амино, метиламино, этиламино, диметиламино, диэтиламино, метиламинометил, этиламинометил, диметиламинометил, диэтиламинометил, 2-аминоэтокси, 3-аминопропокси, 2-метиламиноэтокси, 2-этиламиноэтокси, 3-метиламинопропокси, 3-этиламинопропокси, 2-диметиламиноэтокси, 2-диэтиламиноэтокси, 3-диметиламинопропокси, 3-диэтиламинопропокси, пиридил, пиридилметил, пиридилметокси, пирролидинил, пиперидинил, морфолинил, пиперазинил, 4-метилпиперазинил, пирролидинилметил, пиперидинилметил, морфолинилметил, пиперазинилметил, 4-метилпиперазинилметил, пиперидинилокси, 1-метилпиперидинилокси, 2-(пирролидинил)этокси, 3-(пирролидинил)пропокси, 2-(пиперидинил)этокси, 3-(пиперидинил)пропокси, 2-(морфолинил)этокси, 3-(морфолинил)пропокси, 2-(пиперазинил)этокси, 3-(пиперазинил)пропокси, 2-(4-метилпиперазинил)этокси или 3-(4-метилпиперазинил)пропокси; q=0 и Q2 – фурил, тиенил, оксазолил, изоксазолил, имидазолил, пиразолил, тиазолил, изотиазолил, пиридил, пиридазинил, пиримидинил, пиразинил, бензофуранил, индолил, бензотиофенил, бензоксазолил, бензимидазолил, бензотиазолил, индазолил, бензофуразанил, хинолил, изохинолил, хиназолинил, хиноксалинил или нафтиридинил, которые необязательно имеют 1 или 2 заместителя, выбранных из гидрокси, фтора, хлора, трифторметила, метила, этила, метокси, этокси, аминометила, метиламинометила, этиламинометила, диметиламинометила, диэтиламинометила, 2-гидроксиэтокси, 3-гидроксипропокси, 2-метоксиэтокси, 2-этоксиэтокси, 3-метоксипропокси, 3-этоксипропокси, пиридила, пиридилметила, пиридилметокси, пирролидинила, пиперидинила, морфолинила, пиперазинила, 4-метилпиперазинила, пирролидинилметила, пиперидинилметила, морфолинилметила, пиперазинилметила, 4-метилпиперазинилметила, 2-(пирролидинил)этокси, 3-(пирролидинил)пропокси, 2-(пиперидинил)этокси, 3-(пиперидинил)пропокси, 2-(морфолинил)этокси, 3-(морфолинил)пропокси, 2-(пиперазинил)этокси, 3-(пиперазинил)пропокси, 2-(4-метилпиперазинил)этокси и 3-(4-метилпиперазинил)пропокси, или его фармацевтически приемлемая соль.
6. Амидное производное формулы I по п.1, где R3 – метил; m = 0 или 1 и R1 – гидрокси, фтор, хлор, амино, метил, метокси, метиламино или диметиламино; каждый р и q = 0; R4 находится в 3-м или 4-м положении и выбран из диметиламинометила, диэтиламинометила, 2-диметиламиноэтокси, 2-диэтиламиноэтокси, 3-диметиламинопропокси, 3-диэтиламинопропокси, 2-аминоэтиламино, 3-аминопропиламино, 4-аминобутиламино, 3-метиламинопропиламино, 2-диметиламиноэтиламино, 2-диэтиламиноэтиламино, 3-диметиламинопропиламино, 4-диметиламинобутиламино, N-(2-диметиламиноэтил)-N-метиламино, N-(3-диметиламинопропил)-N-метиламино, пирролидин-1-ила, морфолино, пиперидино, пиперазин-1-ила, 4-метилпиперазин-1-ила, 4-этилпиперазин-1-ила, 4-(2-гидроксиэтил)пиперазин-1-ила, 4-метил-гомопиперазин-1-ила, пиперазин-1-илметила, 4-метилпиперазин-1-илметила, 4-метилгомопиперазин-1-илметила, морфолинометила, 3-аминопирролидин-1-илметила, 3-гидроксипирролидин-1-илметила, 4-(2-гидроксиэтил)пиперазин-1-илметила, пиперидин-4-илокси, 1-метилпиперидин-4-илокси, 2-пирролидин-1-илэтокси, 3-пирролидин-1-илпропокси, 2-пиперидиноэтокси, 3-пиперидинопропокси, 2-морфолиноэтокси, 3-морфолинопропокси, 2-пиперазин-1-илэтокси, 3-пиперазин-1-илпропокси, 2-(4-метилпиперазин-1-ил)этокси, 3-(4-метилпиперазин-1-ил)пропокси, 2-гидрокси-3-пирролидин-1-илпропокси, 2-гидрокси-3-пиперидинопропокси, 2-гидрокси-3-морфолинопропокси, пиперидин-4-иламино, 1-метилпиперидин-4-иламино, 2-пирролидин-1-илэтиламино, 3-пирролидин-1-илпропиламино, 2-морфолиноэтиламино, 3-морфолинопропиламино, 2-пиперидиноэтиламино, 3-пиперидинопропиламино, 2-пиперазин-1-илэтиламино, 3-пиперазин-1-илпропиламино, 2-(4-метилпиперазин-1-ил)этиламино, 3-(4-метилпиперазин-1-ил)пропиламино, 2-(1-метилпирролидин-2-ил)этиламино, 3-(1-метилпирролидин-2-ил)пропиламино, 2-диметиламиноэтиламинометила, 3-диметиламино-пропиламинометила, 3-диметиламино-2,2-диметилпропиламинометила, 2-(1-метилпирролидин-2-илэтил)аминометила, 3-пирролидин-1-илпропиламинометила, 2-морфолиноэтиламинометила, 3-морфолинопропиламинометила, 2-пиперазин-1-илэтиламинометила, 3-(4-метилпиперазин-1-илпропил)аминометила и 2-пиридилметокси; и Q2 – 2-пиридил, 3-пиридил или 4-пиридил, которые имеют заместитель, выбранный из пирролидин-1-ила, 3-гидроксипирролидин-1-ила, 2-гидроксиметилпирролидин-1-ила, морфолино, пиперидино, 4-гидроксипиперидин-1-ила и пиперазин-1-ила, или его фармацевтически приемлемая соль.
7. Амидное производное формулы I по п.1, где R3 – метил;
m = 0 или 1 и R1 – нитро или амино; каждый р и q = 0; R4 находится в 3-м или 4-м положении и выбран из диэтиламинометила, N-(3-диметиламинопропил)-N-метиламино, пирролидин-1-ила, морфолино, пиперидино, пиперазин-1-ила, 4-метилпиперазин-1-ила, 4-метилгомопиперазин-1-ил, пирролидин-1-илметила, пиперидинометила, морфолинометила, пиперазин-1-илметила, 4-метилпиперазин-1-илметила, гомопиперазин-1-илметила, 4-метилгомопиперазин-1-илметила, 3-аминопирролидин-1-илметила, 3-гидроксипирролидин-1-илметила, 4-(2-гидроксиэтил)пиперазин-1-илметила, пирролидин-3-илокси, N-метилперролидин-3-илокси, пиперидин-4-илокси, N-метилпиперидин-4-илокси, N-этилпиперидин-4-илокси, N-изопропилпиперидин-4-илокси, гомопиперидин-4-илокси, N-метилгомопиперидин-4-илокси, 3-пирролидин-1-илпропиламинометила, 2-(1-метилпирролидин-2-илэтил)аминометила, 2-морфолиноэтиламинометила, 3-морфолинопропиламинометила, 3-(4-метилпиперазин-1-илпропил)аминометила, пирид-2-илметокси, тиазол-4-илметокси и 2-метилтиазол-4-илметокси; и Q2 – 2-пиридил, 3-пиридил или 4-пиридил, которые имеют заместитель, выбранный из пирролидин-1-ила, 2-гидроксиметилпирролидин-1-ила, морфолино и пиперидино, и где любые из 4 последних заместителей могут необязательно иметь 1 или 2 метильные группы, или Q2 – 2- или 4-дибензофуранил; или его фармацевтически приемлемая соль.
8. Амидное производное формулы I по п.1, где R3 – метил; m = 0 или 1 и R1 – нитро или амино; каждый р и q = 0; R4 находится в 3-м или 4-м положении и выбран из диэтиламинометила, N-(3-диметиламинопропил)-N-метиламино, пирролидин-1-ила, морфолино, пиперидино, пиперазин-1-ила, 4-метилпиперазин-1-ила, 4-метилгомопиперазин-1-ила, пирролидин-1-илметила, пиперидинометила, морфолинометила, пиперазин-1-илметила, 4-метилпиперазин-1-илметила, гомопиперазин-1-илметила, 4-метилгомопиперазин-1-илметила, 3-аминопирролидин-1-илметила, 3-гидроксипирролидин-1-илметила, 4-(2-гидроксиэтил)пиперазин-1-илметила, пирролидин-3-илокси, пиперидин-4-илокси, 3-пирролидин-1-илпропиламинометила, 2-(1-метилпирролидин-2-илэтил)аминометила, 2-морфолиноэтиламинометила, 3-морфолинопропиламинометила, 3-(4-метилпиперазин-1-илпропил)аминометила или пирид-2-илметокси; и Q2 – 2-пиридил, 3-пиридил или 4-пиридил, которые имеют заместитель, выбранный из пирролидин-1-ила, 2-гидроксиметилпирролидин-1-ила, морфолино и пиперидино, или его фармацевтически приемлемая соль.
9. Амидное производное формулы I по п.1, где R3 – метил; каждый m, р и q = 0;
R4 находится в 3-м или 4-м положении и выбран из диэтиламинометила, 4-метилпиперазин-1-ила, морфолинометила, пиперазин-1-илметила, 4-метилпиперазин-1-илметила, 4-метилгомопиперазин-1-илметила, 3-гидроксипирролидин-1-илметила, пирролидин-3-илокси, пиперидин-4-илокси, N-метилпиперидин-4-илокси, N-изопропилпиперидин-4-илокси, N-метилгомопиперидин-4-илокси, 2-(N-метилпирролидин-2-ил)этокси, 3-диметиламино-2,2-диметилпропиламинометила, N-(3-диметиламинопропил)-N-метиламинометила, 3-морфолинопропиламинометила и 2-метилтиазол-4-илметокси; и 2 – 4-пиридил, который имеет заместитель, выбранный из морфолино, пиперидино, 3-метилпиперидин-1-ила и гомопиперидин-1-ила, или Q2 представляет собой 4-дибензофуранил, или его фармацевтически приемлемая соль.
10. Амидное производное формулы I по п.1, выбранное из
N-{4-метил-3-[3-(4-метилпиперазин-1-илметил)бензамидо]фенил}фуран-2-карбоксамида;
N-{4-метил-3-[3-(4-метилпиперазин-1-илметил)бензамидо]фенил} изоксазол-5-карбоксамида;
N-[3-(4-диэтиламинометилбензамидо)-4-метилфенил]-2-морфолинопиридин-4-карбоксамида;
N-{3-[3-(4-метилпиперазин-1-илметил)бензамидо]-4-метилфенил}-2-пирролидин-1-илпиридин-4-карбоксамида;
N-{3-[3-(4-метилпиперазин-1-илметил)бензамидо]-4-метилфенил}-2-морфолинопиридин-4-карбоксамида;
N-{3-[3-(4-метилгомопиперазин-1-илметил)бензамидо]-4-метилфенил}-2-морфолинопиридин-4-карбоксамида;
N-{3-[4-(4-метилгомопиперазин-1-илметил)бензамидо]-4-метилфенил}-2-морфолинопиридин-4-карбоксамида;
N-[3-(3-пиперазин-1-илметилбензамидо)-4-метилфенил]-2-морфолинопиридин-4-карбоксамида;
N-{3-[4-(3-гидроксипирролидин-1-илметил)бензамидо]-4-метилфенил}-2-морфолинопиридин-4-карбоксамида;
N-{3-[3-(3-пирролидин-1-илпропиламинометил)бензамидо]-4-метилфенил}-2-морфолинопиридин-4-карбоксамида;
N-{3-[4-(3-морфолинопропиламинометил)бензамидо]-4-метилфенил}-2-морфолинопиридин-4-карбоксамида;
N-[3-(3-диэтиламинометилбензамидо)-4-метилфенил]-2-морфолинопиридин-4-карбоксамида;
N-[3-(4-диэтиламинометилбензамидо)-4-метилфенил]-5-морфолинопиридин-3-карбоксамида;
N-[3-(4-диэтиламинометилбензамидо)-4-метилфенил]-2-пиперидинопиридин-4-карбоксамида;
N-{3-[3-(4-метилпиперазин-1-илметил)бензамидо]-4-метилфенил}-2-(3-метилпиперидин-1-ил)пиридин-4-карбоксамида;
N-{3-[3-(4-метилпиперазин-1-илметил)бензамидо]-4-метилфенил}-2-гомопиперидин-1-илпиридин-4-карбоксамида;
N-[4-метил-3-(4-морфолинометилбензамидо)фенил]-2-морфолинопиридин-4-карбоксамида;
N-{3-[3-(3-диметиламино-2,2-диметилпропиламинометил)-бензамидо]-4-метилфенил}-2-морфолинопиридин-4-карбоксамида;
N-{3-[4-(3-диметиламино-2,2-диметилпропиламинометил)-бензамидо]-4-метилфенил}-2-морфолинопиридин-4-карбоксамида;
N-(3-{4-[N-(3-диметиламинопропил)-N-метиламинометил]-бензамидо]-4-метилфенил)-2-морфолинопиридин-4-карбоксамида;
N-[4-метил-3-(3-пиперидин-4-илоксибензамидо)фенил]-2-морфолинопиридин-4-карбоксамида;
N-[4-метил-3-(3-пирролидин-3-илоксибензамидо)фенил]-2-морфолинопиридин-4-карбоксамида;
N-{3-[3-(N-метилгомопиперидин-4-илокси)бензамидо]-4-метилфенил}-2-морфолинопиридин-4-карбоксамида;
N-(3-{3-[2-(N-метилпирролидин-2-ил)этокси]бензамидо}-4-метилфенил)-2-морфолинопиридин-4-карбоксамида;
N-{4-метил-3-[4-(2-метилтиазол-4-илметокси)бензамидо]фенил}-2-морфолинопиридин-4-карбоксамида и
N-{3-[3-(4-метилпиперазин-1-илметил)бензамидо]-4-метилфенил}дибензофуран-4-карбоксамида,
или его фармацевтически приемлемая соль.
11. Способ получения амидного производного формулы I, или его фармацевтически приемлемой соли, или in vivo-расщепляемого эфира по п.1, который включает взаимодействие анилина формулы II
с кислотой формулы III
или ее активным производным
в стандартных условиях образования амидной связи, где различные группы определены в п.1 и где любая функциональная группа при необходимости защищена, и
(i) удаляются любые защитные группы и (ii) необязательно образуются фармацевтически приемлемые соли или in vivo-расщепляемый эфир; и затем (а) для получения соединения формулы I, где R1, R4 или заместитель Q2 представляют собой (1-6С)алкокси или замещенную (1-6С)алкоксигруппу, (1-6С)алкиламино, ди-[(1-6С)алкил]амино или замещенную (1-6С)алкиламиногруппу, алкилирование, удобно в присутствии подходящего основания, амидного производного формулы I, где 1, R4 или заместитель Q2 представляют собой соответственно гидрокси или амино; b) для получения соединения формулы I, где заместитель Q2 представляет собой N-связанную гетероциклильную группу, взаимодействие, удобно в присутствии подходящего основания, амидного производного формулы I, где заместитель Q2 представляет собой подходящую удаляемую группу, с соответствующим амином; (с) для получения соединения формулы I, где R1, R4 или заместитель Q2 представляют собой (1-6С)алканоиламино или замещенную (2-6С)алканоиламиногруппу, ацилирование соединения формулы I, где R1, R4 или заместитель Q2 представляют собой амино.
12. Способ получения амидного производного формулы I, или его фармацевтически приемлемой соли или in vivo-расщепляемого эфира по п.1, который включает взаимодействие кислоты формулы V или ее активного производного
с анилином формулы (VII)
в стандартных условиях образования амидной связи, где различные группы представляют ранее определенные в п.1 и где любая функциональная группа при необходимости защищена, (i) удаляются любые защитные группы и
(ii) необязательно образуются фармацевтически приемлемая соль или in vivo-расщепляемый эфир, и затем (а) для получения соединения формулы I, где R1, R4 или заместитель Q2 представляют собой (1-6С)алкокси или замещенную (1-6С)алкоксигруппу, (1-6С)алкиламино, ди[(1-6С)алкил]амино или замещенную (1-6С)алкиламиногруппу, алкилирование, удобно в присутствии подходящего основания, амидного производного формулы I, где R1, R4 или заместитель Q2 представляют собой соответственно гидрокси или амино; (b) для получения соединения формулы I, где заместитель Q2 представляет собой N-связанную гетероциклильную группу, взаимодействие, удобно в присутствии подходящего основания, амидного производного формулы I, где заместитель Q2 представляет собой подходящую удаляемую группу, с соответствующим амидом; (с) для получения соединения формулы I, где R1, R4 или заместитель Q2 представляют собой (1-6С)алканоиламино или замещенную (1-6С)алканоиламиногруппу, ацилирование соединения формулы I, где R1, R4 или заместитель Q2 представляет собой амино.
13. Фармацевтическая композиция, обладающая ингибирующим цитокин действием и содержащая активный ингредиент и фармацевтически приемлемый разбавитель или носитель, отличающаяся тем, что в качестве активного ингредиента композиция включает эффективное количество амидного производного формулы I или его фармацевтически приемлемой соли или in vivo расщепляемого эфира по любому из пп.1-10.
14. Амидное производное формулы I по п.1 или его фармацевтически приемлемая соль или in vivo-расщепляемый эфир в качестве активного ингредиента лекарственного препарата для лечения терапевтических состояний, вызванных цитокинами.
Приоритет по пунктам:
25.09.1998 по пп.2, 5, 10, 11, 12, 13 и 14;
09.12.1998 по пп.1, 6 и 10;
17.03.1999 по пп.4 и 8.