Патент на изобретение №2219161
|
||||||||||||||||||||||||||
(54) СПОСОБ СИНТЕЗА ТАКСАНОВ
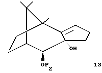
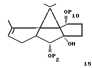
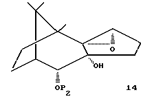
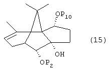
(57) Реферат: Изобретение относится к способу получения соединения формулы 13 ![]() путем обработки соединения формулы ![]() алкилами или кислотой Льюиса в присутствии основания третичного амина, где Р2 означает водород или гидроксизащитную группу. В качестве алкилов могут быть использованы алкилы металлов, например третбутиллитий, а в качестве кислоты Льюиса – триметилсилилокситрифторацетат; к способу получения соединения формулы 15, ![]() путем обработки соединения формулы ![]() кислотой Льюиса в присутствии третичного аминного основания, где P2 и P10 независимо являются водородом или гидроксизащитной группой. Описаны соединения формулы 11 ![]() 3 с. и 10 з.п. ф-лы. Текст описания в факсимильном виде (см. графическую часть) Формула изобретения 1. Способ получения соединения формулы путем обработки соединения формулы
алкилами или кислотой Льюиса в присутствии основания третичного амина, где Р2 означает водород или гидроксизащитную группу.
2. Способ по п.1, в котором соединение формулы
подвергают взаимодействию с алкилами металлов.
3. Способ по п.2, в котором алкил металла представляет трет-бутиллитий.
4. Способ по п.1, в котором соединение формулы
подвергают взаимодействию с кислотой Льюиса.
5. Способ по п.4, в котором кислотой Льюиса является триметилсилилокситрифторацетат.
6. Способ по п.1, в котором третичным аминным основанием является триэтиламин.
7. Способ по п.1, в котором соединение формулы
обрабатывают алкиллитиевыми соединениями.
8. Способ по п.1, в котором соединение формулы
подвергают взаимодействию с триметилсилилокситрифторацетатом в присутствии триэтиламина.
9. Способ получения соединения формулы
путем обработки соединения формулы
кислотой Льюиса в присутствии третичного аминного основания, где P1 и Р10 независимо являются водородом или гидроксизащитной группой.
10. Способ по п.9, в котором кислотой Льюиса является триметилсилилокситрифторацетат.
11. Способ по п.9, в котором третичным аминным основанием является триэтиламин.
12. Способ по п.9, в котором кислотой Льюиса является триметилсилилокситрифторацетат и третичным аминным основанием является триэтиламин.
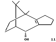
13. Соединение, выбранное из группы, состоящей из
![]() ![]() ![]() ![]() где P1 и р10 независимо являются водородом и гидроксизащитной группой.
РИСУНКИ
MM4A – Досрочное прекращение действия патента СССР или патента Российской Федерации на изобретение из-за неуплаты в установленный срок пошлины за поддержание патента в силе
Дата прекращения действия патента: 21.08.2008
Извещение опубликовано: 20.07.2010 БИ: 20/2010
|
||||||||||||||||||||||||||






путем обработки соединения формулы
алкилами или кислотой Льюиса в присутствии основания третичного амина, где Р2 означает водород или гидроксизащитную группу.
2. Способ по п.1, в котором соединение формулы
подвергают взаимодействию с алкилами металлов.
3. Способ по п.2, в котором алкил металла представляет трет-бутиллитий.
4. Способ по п.1, в котором соединение формулы
подвергают взаимодействию с кислотой Льюиса.
5. Способ по п.4, в котором кислотой Льюиса является триметилсилилокситрифторацетат.
6. Способ по п.1, в котором третичным аминным основанием является триэтиламин.
7. Способ по п.1, в котором соединение формулы
обрабатывают алкиллитиевыми соединениями.
8. Способ по п.1, в котором соединение формулы
подвергают взаимодействию с триметилсилилокситрифторацетатом в присутствии триэтиламина.
9. Способ получения соединения формулы
путем обработки соединения формулы
кислотой Льюиса в присутствии третичного аминного основания, где P1 и Р10 независимо являются водородом или гидроксизащитной группой.
10. Способ по п.9, в котором кислотой Льюиса является триметилсилилокситрифторацетат.
11. Способ по п.9, в котором третичным аминным основанием является триэтиламин.
12. Способ по п.9, в котором кислотой Льюиса является триметилсилилокситрифторацетат и третичным аминным основанием является триэтиламин.
13. Соединение, выбранное из группы, состоящей из




где P1 и р10 независимо являются водородом и гидроксизащитной группой.