Патент на изобретение №2149873
|
||||||||||||||||||||||||||
(54) 1,2,3,4-ТЕТРАГИДРОХИНОКСАЛИНДИОНОВЫЕ ПРОИЗВОДНЫЕ И ФАРМАЦЕВТИЧЕСКАЯ КОМПОЗИЦИЯ
(57) Реферат: Описываются новые производные 1,2,3-тетрагидрохиноксалиндиона формулы I, где значения А, R, R1, R2, Х указаны в п.1 формулы, которые обладают антагонистическим действием по отношению к глутаматному рецептору, высокой степенью сродства к AMPA-рецепторам, не являющимся NMDA-рецепторами, сильным ингибирующим действием, направленным против нейротоксичности, вызываемой каиновой кислотой, ингибирующим аудиогенный приступ действием, и высокой степенью растворимости. Описывается также фармацевтическая композиция на основе соединений формулы I. 2 с. и 6 з.п. ф-лы, 7 табл.
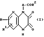
Изобретение относится к хиноксалиндионовому производному или его соли, которое обладает антагонистическим действием по отношению к глутаматному рецептору; высокой степенью сродства к АМРА-рецепторам, не являющимся NMDA-рецепторами; сильным ингибирующим действием, направленным против нейротоксичности, вызываемой каиновой кислотой; ингибирующим аудиогенный приступ действием; и высокой степенью растворимости. Настоящее изобретение также относится к агенту, ингибирующему нейротоксичность, вызываемую действием каиновой кислоты, и содержащему в качестве эффективного ингредиента хиноксалиндионовое производное или его соль. Кроме того, настоящее изобретение относится к фармацевтической композиции, содержащей хиноксалиндионовое производное или его соль и фармацевтически приемлемый носитель. Предпосылки создания изобретения Известно, что аминокислоты, такие, как L-глутаминовая кислота и L-аспарагиновая кислота являются нейромедиаторами (нейротрансметерами) центральной нервной системы. Иначе говоря, внеклеточная аккумуляция этих возбуждающих аминокислот и их непрерывное и чрезмерное стимулирующее действие на нервные ткани приводит к таким заболеваниям, как хорея Гентингтона, болезнь Паркинсона, болезнь Альцгеймера, сенильная деменция, нейродегенерация, или недостаточность психической и двигательной функций, наблюдаемая после явлений церебральной ишемии, гипоксии или гипогликемии. В соответствии с этим был сделан вывод, что регулятор аномальной активности указанных возбуждающих аминокислот может быть использован для терапевтического лечения дегенерации нервной ткани или психических болезней. Действие возбуждающих аминокислот опосредуется глутаматными рецепторами, которые представляют собой специфические постсинаптические или пресинаптические рецепторы. В настоящее время, на основании электрофизиологических и нейрохимических исследований, указанные рецепторы можно разделить на три группы: 1) NMDA (N-метил-D-аспартат)-рецептор; 2) не-NMDA-рецептор а) AMPA-рецептор (рецептор[2-амино-3-(3-гидрокси-5-метил-4-изоксазолил) пропионовой кислоты]), b) рецептор каината 3) глутаматный рецептор метаболического действия. Соединение настоящего изобретения является антагонистом глутаматного рецептора и обладает ингибирующей активностью, направленной против нейротоксического действия каиновой кислоты, а поэтому оно может быть использовано в качестве противоишемического или психотропного средства. L-глутаминовая кислота или L-аспарагиновая кислота активируют вышеописанные глутаматные рецепторы, и опосредуют передачу возбуждающих эффектов. Воздействие на нейроны избыточным количеством NMDA, AMPA или каиновой кислоты приводит к их гибели. Сообщалось, что 2-амино-5-фосфоновалериановая кислота или 2-амино-7-фосфоногептановая кислота, которые являются избирательными антагонистами NMDA-рецептора, обладают эффективным действием в экспериментальной модели животных с невропатией, эпилепсией или церебральной ишемией (J. Pharmacology and Experimental Therapeutics, 250,100 (1989); J. Pharmacology and Experimental Therapeutics, 240, 737 (1987); или Science, 226, 850 (1984)). Сообщалось, что NMDA-рецепторные функции аллостерически регулируются глициновым рецептором (Eur. J. Pharmacol., 126, 303 (1986)), и в то же время сообщалось, что НА-966, который является антагонистом глицинового рецептора, обладает эффективным действием в экспериментальной модели животных с церебральной ишемией (Annual meeting of Society for Neuroscience, 1989). Кроме того, указывалось, что NBQX (6-нитро-7-сульфамоилбензо [f] хиноксалин), который является избирательным антагонистом AMPA-рецептора, также обладает эффективным действием в экспериментальной модели животных с церебральной ишемией (Science, 247,571 (1990)). С другой стороны, было показано, что все не-NMDA-рецепторы, подвергнутые клонированию), обладают сродством к каиновой кислоте, и было сделано предположение, что среди этих рецепторов, рецептор, имеющий низкую аффинность к каиновой кислоте (AMPA/каинатный рецептор), является ответственным за гибель нейронов во время ишемии, например, инфаркта головного мозга (P.C. May & P. M. Robison, J. Neurochem., 60, 1171-1174 (1993)). Этот AMPA/каинатный рецептор имеет высокую степень сродства к AMPA, однако, сайты связывания AMPA и каиновой кислоты пока неизвестны. При этом, сообщалось, что AMPA и каиновая кислота обнаруживают различные электрофизиологические ответы на AMPA/каинатный рецептор. Указывалось, что в тесте на нейротоксичность, проводимом с использованием системы культуры нервных клеток, сама каиновая кислота вызывает значительную гибель нервных клеток, тогда как действие лишь одной AMPA является довольно слабым (Р.С. May & P.M. Robison, J. Neurochem., 60, 1171-1174 (1993)). В соответствии с этим можно предположить, что гибель нейронов, вызываемая чрезмерным возбуждающим действием глутаминовой кислоты при ишемическом состоянии, будет интенсивно подавляться соединением, обладающим ингибирующим действием, направленным против токсичности, индуцируемой каиновой кислотой в системе культуры нервных клеток. Имеется несколько работ, в которых описаны дикетохино-ксалиновые производные, обладающие антагонистическим действием по отношению к NMDA – глициновому рецептору и/или AMPA-рецептору (опубликованная нерассмотренная японская патентная заявка (Kokai) N 63-83074; опубликованная нерассмотренная японская патентная заявка (Kokai) N 63-258466; опубликованная нерассмотренная японская патентная заявка (Kokai) N 1-153680; опубликованная нерассмотренная японская патентная заявка (Kokai) N 2-48578; опубликованная нерассмотренная японская патентная заявка (Kokai) N 2-221263; опубликованная нерассмотренная японская патентная заявка (Kokai) – 2-221264; публикация международного патента WO 92/07847; и публикация международного патента WO 93/08173). Описание изобретения Как будет более подробно описано ниже, соединение настоящего изобретения обладает антагонистическим действием по отношению к глутаматному рецептору на основе хиноксалина, высокой степенью аффинности к AMPA-рецептору, не являющемуся NMDA-рецептором; интенсивным ингибирующим действием, направленным против нейротоксичности, обусловленной действием каиновой кислоты; супрессорной активностью, подавляющей рефлекторный слуховой эпилептический припадок; а также высокой степенью растворимости. Кроме того, авторами настоящего изобретения были проведены исследования, относящиеся к дикетохиноксалиновым производным. В результате этих исследований было установлено, что соединение, имеющее группу: -A-COR2 в 1- или 4-положении дикетохиноксалиновой структуры, обладает высокоэффективным фармакологическим действием (действием, ингибирующим нейротоксичность каиновой кислоты, противосудорожным действием, предотвращающим рефлекторные слуховые эпилептические припадки, или т.п.), а также высокой степенью растворимости, а поэтому указанное соединение обладает ценными свойствами, на основании которых было разработано настоящее изобретение. Таким образом, настоящее изобретение относится к 1,2, 3,4- тетрагидрохиноксалиндионовому производному или 1,2,3,4- тетрагидропиридо[2,3-b]пиразиновому производному следующей формулы (I): ![]() где Х – атом азота или группа формулы CH; R – имидазолильная группа или ди (низший алкил) амино группа, R1 – (1) атом галогена, нитрогруппа, цианогруппа, карбоксильная группа, аминогруппа, моно- или ди(низший алкил) аминогруппа, низшая алканоильная группа, низшая алкилтиогруппа, низшая алкилсульфинильная группа, низшая алкилсульфонильная группа или карбамоильная группа; (2) низшая алкильная группа или низшая алкоксильная группа, которая может быть замещенной атомом (или атомами) галогена, карбоксильной группой (или группами) или арильной группой (или арильными группами); (3) фенилоксигруппа, которая может быть замещена низшей алкоксикарбонильной группой или карбоксильной группой; R2 – гидроксильная группа, низшая алкоксильная группа, аминогруппа или моно- или ди(низший алкил)аминогруппа; А – низшая алкиленовая группа, которая может быть замещенной, или группа формулы: -О-В-; и В – низшая алкиленовая группа, при условии, что исключается случай, когда R представляет собой имидазолильную группу, R1 представляет собой цианогруппу, А представляет собой этиленовую группу, a R2 является гидроксильной группой; либо к таутомеру вышеописанного производного, его соли, гидрату или сольвату. Настоящее изобретение также относится к антагонисту глутаматного рецептора, содержащему в качестве эффективного ингредиента 1,2,3,4-тетрагидрохиноксалиндионовое производное или его фармацевтически приемлемую соль. Более конкретно, настоящее изобретение относится к соединению, которое обладает антагонистическим действием по отношению к NMDA-глициновому рецептору и/или по отношению к AMPA-рецептору, или активностью, ингибирующей каинат-индуцированную нейротоксичность, и которое может быть использовано в качестве противоишемического или психотропного средства. Кроме того, настоящее изобретение относится к фармацевтической композиции, содержащей 1,2,3,4-тетра-гидрохиноксалиндионовое производное или его соль и фармацевтически приемлемый носитель. Ниже подробно описано соединение, представленное вышеуказанной общей формулой (I). В вышеприведенном определении общей формулы (I), термин “низший”, если это не оговорено особо, относится к линейной или разветвленной углеродной цепи, содержащей 1-6 атомов углерода. Иллюстративными примерами “низшей алкильной группы” являются метил; этил; пропил; изопропил; бутил; изобутил; втор-бутил; трет-бутил; пентил(амил); изопентил; неопентил; трет-пентил; 1-метилбутил; 2-метилбутил; 1,2-диметилпропил; гексил; изогексил; 1-метилпентил; 2-метилпентил; 3-метилпентил; 1,1-диметилбутил; 1,2-диметилбутил; 2,2-диметилбутил; 1,3-диметилбутил; 2,3-диметилбутил; 3,3-диметилбутил; 1-этилбутил; 2-этилбутил; 1,1,2-триметилпропил; 1,2,2-триметилпропил; 1-этил-1-метилпропил; 1-этил-2-метилпропил и т.п. При этом, предпочтительной является алкильная группа, имеющая 1-3 атомов углерода. Используемый в настоящем описании термин “моно- или ди(низший алкил)аминогруппа” означает аминогруппу, замещенную одной или двумя низшими алкильными группами, проиллюстрированными выше. Иллюстративными примерами моно(низший алкил)аминогруппы являются метиламино-, этиламино-, пропиламино-, изопропиламино-, бутиламино-, изобутиламино-, втор-бутиламино-, трет-бутиламино-, пентил(амил) амино-, изопентиламино-, неопентиламино- и трет-пентиламиногруппы; а примерами ди(низший алкил)амино-группы являются диметиламино-, этилметиламино-, диэтиламино-, дипропиламино-, диизопропиламино, дибутиламино- и диизобутиламиногруппы. Из них предпочтительными являются амино-, метиламино-, этиламино-, диметиламино- и диэтиламиногруппы. Иллюстративными примерами “низшей алканоильной группы” являются формильная, ацетильная, пропионильная, изопропионильная, бутирильная, изобутирильная, валерильная, изовалерильная, пивалоильная, гексаноильная группы и т.п. Используемый в настоящем описании термин “низшая алкилтиогруппа означает вышеописанную тиоловую группу, в которой атом водорода замещен низшей алкильной группой. Иллюстративными примерами низшей алкилтиогруппы являются метилтио-, этилтио-, пропилтио-, изопропилтио-, бутилтио-, изобутилтио-, втор-бутилтио-, трет-бутилтио-, пентил(амил)тио-, изопентилтио-, неопентилтио-, трет-пентилтио-, 1-метилбутил-тио-, 2-мeтилбутилтиo-, 1,2-диметилпропилтио-, гексилтио-, изогексилтио-, 1-метилпентилтио-, 2-метилпентилтио-, 3-метилпентилтио-; 1,1-диметилбутилтио-; 1,2-диметилбутилтио-; 2,2-диметилбутилтио-; 1,3-диметилбутилтио-; 2,3- диметилбу-тилтио-; 3,3-диметилбутилтио-; 1-этилбутилтио-; 2-этилбутилтио-, 1,1,2-триметилпропилтио-; 1,2,2-триметилпропилтио-; 1-этил-1-метилпропилтио-; 1-этил-2-метилпропилтиогруппы, и т.п. Предпочтительной является алкилтиогруппа, имеющая 1-3 атома углерода. Иллюстративными примерами “низшей алкилсульфинильной группы” являются метилсульфинильная, этилсульфинильная, пропилсульфинильная, изопропилсульфинильная, бутилсульфиниль-ная, изобутилсульфинильная, втор-бутилсульфинильная, трет-бутилсульфинильная, пентил(амил)сульфинильная, изопентилсульфинильная, неопентилсульфинильная, трет-пентилсульфинильная; 1-метилбутилсульфинильная; 2-метилбутилсульфинильная; 1,2- диметилпропилсульфинильная; гексилсульфинильная; изогексилсульфинильная; 1-метилпентилсульфинильная; 2-метил-пентилсульфинильная; 3-метилпентилсульфинильная; 1,1-диметилбутилсульфинильная; 1,2-диметилбутилсульфинильная; 2,2- диметилбутилсульфинильная; 1,3-диметилбутилсульфинильная; 2,3-диметилбутилсульфинильная; 3,3-диметилбутилсульфинильная; 1-этилбутилсульфинильная; 2-этилбутилсульфинильная; 1,1,2-триметилпропилсульфинильная; 1,2,2-триметилпропилсульфинильная; 1-этил-1-метилпропилсульфинильная; 1-этил-2-метилпропилсульфинильная группы и т. п. Предпочтительной является алкилсульфинильная группа, имеющая 1-3 атома углерода. Иллюстративными примерами “низшей алкилсульфонильной группы” являются метилсульфонильная; этилсульфонильная; пропилсульфонильная; изопропилсульфонильная; бутилсульфонильная; изобутилсульфонильная; втор-бутилсульфонильная; трет-бутилсульфонильная; пентил(амил)сульфонильная; изопентил- сульфонильная; неопентилсульфонильная; трет-пентилсульфонильная; 1-метилбутилсульфонильная; 2-метилбутилсульфонильная; 1,2-диметилпропилсульфонильная; гексилсульфонильная; изогексилсульфонильная; 1-метилпентилсульфонильная; 2-метилпентилсульфонильная; 3-метилпентилсульфонильная; 1,1-диметилбутилсульфонильная; 1,2-диметилбутилсульфонильная; 2,2-диметилбутилсульфонильная; 1,3-диметилбутилсульфонильная; 2,3-диметилбутилсульфонильная; 3,3-диметилбутилсульфонильная; 1-этилбутилсульфонильная; 2-этилбутилсульфонильная; 1,1,2-триметилпропилсульфонильная; 1,2,2-триметилпропилсульфонильная; 1-этил-1-метилпропилсульфонильная; 1-этил-2-метилпропилсульфонильная группы и т. п. Предпочтительной является алкилсульфонильная группа, имеющая 1-3 атома углерожа. Примерами “низшей алкоксильной группы” являются метокси-, этокси-, пропокси-, изопропокси-, бутокси-, изобутокси-, втор-бутокси-, трет-бутокси-, пентилокси (амилокси)-, изопентилокси-, трет-пентилокси-, неопентилокси-, 2-метилбутокси-, 1,2-диметилпропокси-, 1-этилпропокси-, гексилоксигруппы и т. п. Из них предпочтительными являются метокси-, этокси-, пропокси- и изопропоксигруппы. Проиллюстрированные выше низшая алкильная группа или низшая алкоксильная группа могут быть замещенными в любом положении по крайней мере одним заместителем, выбранным из атома галогена, карбоксильной группы и арильной группы. Иллюстративными примерами таких замещенных низших алкильных групп или низших алкоксильных групп являются тригалоген (низший алкил), карбокси (низший алкил), карбокси (низший алкоксил), арил(низший алкоксил), и т.п. При этом, предпочтительными являются тригалогенметильная, карбоксиметокси- и бензилоксигруппы. Арильная группа, которая является заместителем, может быть сама замещенной атомом галогена или карбоксильной группой. В качестве примера может служить карбоксибензилоксигруппа. Используемый в настоящем описании термин “атом галогена” означает атом фтора, хлора, брома или йода. Используемый в настоящем описании термин “арильная группа” означает, например, карбоциклическую арильную группу. В качестве примеров арильной группы могут служить фенильная, нафтильная, антрильная или фенантрильная группы и т.п. Примерами “низшей алкиленовой группы” в А или В являются линейные или разветвленные алкиленовые группы, имеющие от 1 до 6 атомов углерода. Иллюстративными примерами таких групп являются метиленовая, этиленовая, триметиленовая, метилметиленовая, диметилметиленовая, 1-метилэтиленовая, 2-метилэтиленовая, тетраметиленовая, 1-метилтриметиленовая, 2-метилтриметиленовая, 3-метилтриметиленовая, 1-этилэтиленовая, 2-этилэтиленовая, 2,2-диметилэтиленовая, 1,1-диметилэтиленовая, этилметилметиленовая, пентаметиленовая, 1-метилтетраметиленовая, 2-метилтетраметиленовая, 3-метилтетраметиленовая, 4-метилтетраметиленовая, 1,1-диметилтриметиленовая, 2,2-диметилтриметиленовая, 3,3-диметилтриметиленовая, 1,3-диметилтриметиленовая, 2,3-диметилтриметиленовая, 1,2-диметилтриметиленовая, 1,1,2-триметилэтиленовая, диэтилметиленовая, гексаметиленовая, 1-метилпентаметиленовая, 1,1-диметилтетраметиленовая, 2,2-диметилтетраметиленовая, 1,3-диметилтетраметиленовая, 1,4-диметилтетраметиленовая группы и т.п. Примером заместителя для “низшей алкиленовой группы, которая может быть замещенной” является фенильная группа, которая может быть замещена нитрогруппой. В качестве иллюстративных примеров могут служить фенильная, 4-нитрофенильная, 3-нитрофенильная, 2-нитрофенильная группы и т.п., при этом, предпочтительной является 4-нитрофенильная группа. Из групп, представленных R, предпочтительной является имидазолильная группа. Предпочтительная группа, представленная R1, может быть определена следующим образом: (1) атом галогена, нитрогруппа, цианогруппа, моно- или ди(низший алкил)аминогруппа, низший алкилсульфинильная группа, низший алкилсульфонильная группа или карбамоильная группа; (2) низшая алкильная или низшая алкоксильная группа, которая может быть замещена карбоксильной группой или арильной группой; и (3) фенилоксигруппа, которая может быть замещена низшей алкоксикарбонильной группой. Более предпочтительным является соединение, где R представляет собой 1-имидазолильную группу; X представляет собой группу формулы: CH, а R1 представляет собой атом галогена, нитрогруппу, трифторметильную группу, цианогруппу, или бензилоксигруппу. Особенно предпочтительными соединениями являются: 2-[2,3-диоксо-7-(1H-имидазол-1-ил)-6-нитро-1,2,3,4-тетрагидрохиноксалин-1-ил] уксусная кислота или ее соль; 2-[2,3-диоксо-7-(1Н-имидазол-1-ил)-6-трифторметил-1,2,3,4-тетрагидрохиноксалин-1-ил] уксусная кислота или его соль; и 2-[6-бензилокси-2,3-диоксо-7-(1Н-имидазол-1-ил)-1,2,3,4- тетрагидрохиноксалин-1-ил-]уксусная кислота или ее соль. Соединение (I) настоящего изобретения имеет таутомер на основе дикетохиноксалиновой структуры. Кроме того, это соединение может существовать в виде оптического изомера (оптически активного соединения, диастереомера, или т.п. ) в зависимости от вида группы. Эти изомеры в чистой форме или смеси изомеров также входят в объем настоящего изобретения. Соединение (I) настоящего изобретения образует соль с кислотой или основанием. Примерами соли, образованной кислотой, являются соли присоединения кислоты, образованные неорганическими кислотами, например, минеральными кислотами, такими как соляная кислота, бромистоводородная кислота, йодистоводородная кислота, серная кислота, азотная кислота или фосфорная кислота; и органическими кислотами, такими как муравьиная кислота, уксусная кислота, пропионовая кислота, щавелевая кислота, малоновая кислота, янтарная кислота, фумаровая кислота, малеиновая кислота, молочная кислота, яблочная кислота, лимонная кислота, винная кислота, угольная кислота, пикриновая кислота, метансульфоновая кислота, этансульфоновая кислота или глутаминовая кислота. Примерами соли, образованной основанием, являются соли, образованные неорганическими основаниями, такими как натрий, калий, магний, кальций или алюминий; органическими основаниями, такими как метиламин, этиламин или этаноламин; и основными аминокислотами, такими как лизин, аргинин, или орнитин; или аммониевые соли. Кроме того, соединение (I) настоящего изобретения может образовывать гидрат, сольват со спиртом, и обладает способностью к полиморфизму. Методы получения. Соединение настоящего изобретения может быть получено способом, проиллюстрированным реакционной схемой, представленной в конце описания, где X, A, R1 и R2 являются такими, как они были определены выше, Y представляет собой атом галогена; Y1 представляет собой атом галогена-, кроме атома фтора; R1 представляет собой атом водорода и группу, определенную выше для R1; R3 представляет собой низшую алкильную группу; Z1, Z2 представляют собой атом водорода и группу формулы: R3 COCO-, при условии, что оба Z1 и Z2 не являются атомами водорода одновременно. В вышеуказанной формуле, примерами атома галогена являются атомы фтора, хлора, брома и йода. Если в соединении присутствует гидроксильная группа, представленная R2, то может быть использовано соединение, в котором карбоксильная группа защищена защитной группой. Примерами соединения с защищенной карбоксильной группой и его эквивалента являются сложные эфиры, амиды и ортоэфиры; а также производные, описанные в “Protective Groups in Organic Synthesis, 2nd ed., edited by T.W. Greene & P. G.M. Wuts, John Willey & Sons, INC., Chapter 5 (1990)”. Метод 1 Соединения (I) или (IV) настоящего изобретения могут быть получены посредством реакции галогенного соединения (II) и имидазола (III), взятых в соответствующих данной реакции количествах; при этом указанная реакция может быть проведена в растворителе или в отсутствие растворителя при размешивании, и при температуре от -10 до 150oC, а предпочтительно от 20 до 120oC. Эту реакцию обычно осуществляют при нагревании в растворителе, таком как диметилформамид (ДМФ), диметилсульфоксид (ДМСО), ацетонитрил, ацетон или тетрагидрофуран (ТГФ). Для ускорения реакции может быть добавлено основание, такое как гидроксид натрия или гидроксид калия, либо соль меди. Соединение (I) настоящего изобретения может быть также получено посредством реакции деблокирования соединения (IV) или реакции удаления R2 в соответствии со стандартной методикой. Реакция деблокирования или удаления R2 может быть осуществлена методом, описанным в вышеуказанной книге, изданной T.W. Greene и др., либо другим известным методом. Так, например, может быть проведен гидролиз. В качестве примера может служить кислотный гидролиз, проводимый в присутствии соляной кислоты или т. п. , и щелочное омыление, проводимое в присутствии основания, такого как гидроксид натрия. Метод 2 Соединения (I), (IX) или (X) настоящего изобретения могут быть получены следующим способом: (1) Нитроанилиновое или нитроаминопиридиновое соединение (V) восстанавливают, в результате чего получают диаминовое соединение (VI). (2) Диаминовое соединение (VI) подвергают реакции с оксалатгалогенидом (VII), в результате чего получают амидное соединение (VIII) и его смесь. (3) Амидное соединение (VIII) и его смесь подвергают реакции замыкания кольца, в результате чего получают хиноксалиндионовое соединение или пиридопиразиндионовое соединение (IX) или (X). (4) Хиноксалиндионовое соединение или пиридопиразиндионовое соединение (IX) подвергают известной реакции замещения в ароматическом ядре, в результате чего получают замещенное хиноксалиндионовое соединение или пиридопиразиндионовое соединение (X). (5) Реакцию деблокирования или удаления R2 осуществляют, как описано в Методе 1. Ниже описаны характерные примеры осуществления вышеуказанных стадий (1) – (4). Примером реакции восстановления в стадии (1) может служить каталитическое восстановление, осуществляемое стандартным способом с использованием, например, скелетного никелевого катализатора Ренея или катализатора “палладий-на-угле”, и восстановление металлом с использованием измельченного в порошок железа или цинковой пыли. Примером реакции амидирования в стадии (2) является реакция между диаминовым соединением (VI) и оксалатгалогенидом (VII) в количестве, соответствующем данной реакции, которую проводят в растворителе, таком как хлороформ или ТГФ, при температуре от -10 до 60oC, а предпочтительно от 0oC до комнатной температуры. Для ускорения реакции предпочтительно добавить щелочь такую, как триэтиламин. Реакцию замыкания кольца в стадии (3) осуществляют, например, путем нагревания амидного соединение (VIII) и его смеси в вышеуказанном растворителе, либо путем нагревания в присутствии кислотного катализатора, такого как соляная кислота. Примерами реакции замещения в ароматическом ядре, в стадии (4), где R1 в соединении (IX) является водородом, могут служить метод воздействия азотной кислотой или ее солью на хиноксалиндионовое соединение или пиридопиразиндионовое соединение (IX) в серной кислоте, в смеси уксусного ангидрида и уксусной кислоты или в смеси серной кислоты, уксусного ангидрида и уксусной кислоты; и метод осуществления реакции между хиноксалиндионовым соединением или пиридопиразиндионовым соединением и тетрафторборатом нитрония в органическом растворителе, таком, как сульфолан или ацетонитрил при температуре 0oC или при нагревании. Метод 3 Соединения (I), (IX) или (X) настоящего изобретения могут быть получены следующим способом: (а) Нитроанилидное соединение восстанавливают как описано в (2) Метода 2, в результате чего получают аминоанилидное соединение (XII). (b) Аминоанилидное соединение (XII) подвергают реакции замыкания кольца, как описано в (3) Метода 2, в результате чего получают хиноксалиндионовое соединение (IX) или (X). Последующий процесс получения соединения (I) настоящего изобретения осуществляют в соответствии со вторым способом получения. Соединение, имеющее в качестве R1 нитрогруппу, может быть получено, например, посредством реакции нитрования, которой подвергают хиноксалиндионовое соединение (IX), где R1 является атомом водорода, и которую осуществляют как описано в (4) Метода 2. Метод 4 Соединение, в котором R1 является аминогруппой, может быть получено посредством реакции восстановления соединения, в котором R1 является нитрогруппой, как описано в (2) Метода 2. Альтернативно, это соединение может быть получено посредством реакции деблокирования с использованием защищенной аминогруппы, представленной R1, как описано в Методе 2 или 3 в соответствии с известными способами. Соединение, где R1 является моно- или ди(низший алкил)-аминогруппой, может быть получено посредством реакции соединения, в котором R1 является аминогруппой, с галоген (низший алкил)-содержащим соединением, как описано в Методе 1. Альтернативно, это соединение может быть получено посредством реакции альдегидного соединения (такого, как формалин) с аминовым соединением в растворителе или в отсутствие растворителя, предпочтительно в присутствии кислоты, в условиях аналогичных условиям осуществления стадии (1) Метода 2. Метод 5 Соединение, в котором R2 является аминогруппой или моно- или ди(низший алкил)аминогруппой, может быть получено путем реакции амидирования карбокси-соединения (I), осуществляемой известным способом. Альтернативно, это соединение может быть получено посредством реакции эфир-амидного обмена между эфирным соединением (IV), (IX) или (X) и соответствующим амином или аммиаком. Реакцию амидирования карбокси-соединения (I) осуществляют, например, путем превращения этого соединения в хлорангидрид с использованием, например, тионилхлорида, с последующим добавлением соответствующего количества амина или аммиака. Реакцию эфир-амидного обмена осуществляют, например, посредством реакции сложноэфирного соединения с концентрированным водным аммиаком при температуре от -10oC до комнатной температуры. Метод 6 Соединение (II), в котором A является алкиленоксигруппой, может быть получено посредством реакции соответствующего гидроксихоноксалин-2,3-диона с соответствующим алкилирующим агентом в присутствии основания. Эта реакция может быть осуществлена, в основном, в растворителе, таком как ДМФ, ДМСО, ТГФ, ацетонитрил или ацетон. В качестве основания предпочтительно использовать органическое основание (например, карбонат калия или гидрид натрия). Метод 7 Соединение (I), в котором R1 является карбамоильной группой, может быть получено известным способом путем обработки соответствующего производного (I), имеющего в качестве R1 цианогруппу, в кислотных или основных условиях. Так, например, это соединение может быть получено посредством реакции циано-производного с кислотой, такой как соляная кислота, серная кислота или муравьиная кислота, либо посредством реакции в основных условиях, например в водном растворе перекиси водорода или гидроксида натрия. Полученные таким образом соединения настоящего изобретения выделяют и очищают в виде свободного соединения или его соли. Выделение и очистку соединений настоящего изобретения осуществляют традиционными химическими методами, такими как экстракция, концентрирование, выпаривание, кристаллизация, фильтрация, перекристаллизация, различные способы хроматографии и т.п. Соединение настоящего изобретения обладает высокой степенью аффинности к AMPA-рецептору; сильной активностью, подавляющей нейротоксичность, индуцированную каиновой кислотой; и противосудорожным действием, направленным на подавление рефлекторных слуховых эпилептических припадков у мыши DBA/2. Поэтому соединение настоящего изобретения, обладающее ценными фармацевтическими свойствами, может быть использовано, в частности, как психотропное средство для предупреждения и лечения хореи Гентингтона, болезни Паркинсона, эпилепсии, болезни Альцгеймера или сенильной деменции; а также как противоишемическое средство для предупреждения и лечения состояний, связанных с гибелью клеток, вызываемой церебральной ишемией; гипоксией; временной остановкой сердца; дегенерацией нервной ткани, наблюдаемой после гипогликемии или эпилептического припадка; и недостаточностью психической и двигательной функции. Метод испытаний Определение активности, ингибирующей связывание с [3H] AMPA и подавляющей нейротоксическое действие каиновой кислоты и рефлекторные слуховые эпилептические припадки, осуществляли следующим образом: 1) Измерение активности, ингибирующей связывание [3H]-AMPA: При охлаждении ледяной водой, 0,5 мл (всего) реакционной жидкой смеси, содержащей около 45 нМ [3H]-AMPA (2-амино-3-(3-гидрокси-5-метил-4-изоксазолил)пропионовая кислота), около 300 мг образца мозговой оболочки крысы, и испытуемое соединение подвергали реакции в течение 45 минут. Количество [3H] -AMPA, связанное с AMPA-рецептором, измеряли методом фильтрации. За количество специфического связывания принимали часть (от общего связанного количества), замещенную 10 мкМ хискваловой кислотой. Оценку испытуемого соединения проводили путем определения степени ингибирования специфического связывания. В результате такого определения было, например, установлено, что величина Ki для соединения Примера 1 составляет 0,73 мкМ, для соединения Примера 9 она составляет 0,093 мкМ, а для соединения Примера 19 эта величина составляет 0,070 мкМ, что свидетельствует о том, что эти соединения являются сильными ингибиторами. 2) Измерение активности, ингибирующей нейротоксичность каиновой кислоты: Ингибирующее действие соединения настоящего изобретения, направленное на подавление нейротоксичности каиновой кислоты, исследовали с использованием системы первичной культуры нейронов гиппокампа плода крысы. (1) Условия инкубирования: Из головного мозга 18-20-дневного плода крысы вырезали гиппокамп и обрабатывали папаином и ДНКазой 1 для диспергирования клеток. Полученные таким образом клетки помещали на среду MEM, содержащую 10%-ную сыворотку, а затем инокулировали на 48-луночный планшет, предварительно обработанный поли-1-лизином в концентрации 4 105 кл. /см/. Через 24 часа сыворотку заменяли бессывороточной средой. Замену среды проводили два раза в неделю. Клетки культивировали в течение по крайней мере 6 дней, после чего проводили следующий тест.
(2) Ингибирование нейротоксичности, индуцируемой каиновой кислотой:Нейротоксичность выражали в виде активности лактатдегидрогеназы, высвобождаемой в культуральную среду вследствие гибели клеток. В качестве контроля использовали нейроны, обработанные в течение 24 часов бессывороточной средой, содержащей 30 мкМ каиновой кислоты. Нейроны подвергали воздействию каждого из испытуемых соединений вместе с 300 мкМ каиновой кислотой в течение 24 часов, после чего оценивали ингибирующее действие каждого из соединений, направленное предотвращение гибели нейронов, вызываемой каиновой кислотой. В результате этих испытаний было установлено, например, что IC50 для соединения Примера 1 составляет 0,8 мкМ; IC50 для соединения Примера 9 составляет 0,96 мкМ; а IC50 для соединения Примера 19 составляет 0,48 мкМ, что свидетельствует о том, что эти соединения обладают сильным ингибирующим действием. (3) Измерение ингибирующего действия, направленного на подавление рефлекторных слуховых эпилептических припадков у мышей DBA/2: Десять 21-28-дневных машей-самцов подвергали слуховой стимуляции звуком в 12 кГц и 120 дБ в звуковой испытательной камере в течение 1 минуты или до тех пор, пока у мышей не возникнет тонической эпилептический припадок. Испытуемое соединение суспендировали в 0,5%-ном растворе метилцеллюлозы или растворяли в физиологическим растворе, и полученную суспензию или раствор вводили мышам внутрибрюшинно за 15 минут до начала стимуляции звуком. Эффективность лекарственного средства оценивали при появлении и в отсутствие припадков, и определяли минимальную эффективную дозу (MED). Результаты этих оценок показали, что соединение Примера 1, соединение Примера 9 и соединение Примера 19 подавляли слуховой эпилептический припадок у мышей при концентрациях 3 мг/кг, 10 мг/кг и 1 мг/кг, соответственно. (4) Измерение растворимости: Получение буфера: К 0,1 М водному раствору первичного кислого фосфата калия добавляли 0,1 М водный раствор первичного кислого фосфата натрия; при этом получали буферы, которые имели рН 5, 6, 7 и 8, соответственно. Измерение растворимости: Примерно 5-миллиграммовые порции соединения настоящего изобретения точно взвешивали в четырех стеклянных лабораторных пробирках и добавляли 0,1 мл фосфатных буферов, имеющих pH 5, 6, 7 и 8, соответственно, после чего пробирки интенсивно встряхивали. Растворимость определяли как величину, полученную из нижеследующего уравнения: ![]() Результаты этих измерений представлены в Таблице 1. Соединение Примера 9 имело растворимость 4100 мкг/мл при pH 6. Таким образом, соединение настоящего изобретения имеет высокую растворимость даже при нейтральных или близких к нейтральным значениях pH. В соответствии с этим, соединение настоящего изобретения может быть с успехом включено в качестве активного ингредиента в препараты для перрорального введения, такие как таблетки и капсулы, или в препараты для парентерального введения, например для инъекций. Кроме того, соединение настоящего изобретения обладает высокой, а поэтому прекрасной растворимостью в крови даже при клиническом введении, и не подвергается легкому осаждению в органах, что придает этому соединению особую ценность. Таблицу 1 см. в конце текста. Фармацевтический препарат, содержащий одно или несколько соединений настоящего изобретения или его соли в качестве эффективного ингредиента, получали с использованием носителя или наполнителя и других добавок, которые обычно используются для изготовления лекарственного средства. Носители или наполнители, используемые для изготовления фармацевтических препаратов, могут быть твердыми или жидкими, например, такими как лактоза, стеарат магния, крахмал, тальк, желатин, агар, пектин, аравийская камедь, оливковое масло, кунжутное масло, какао-масло, этиленгликоль и другие стандартные носители или наполнители. В соответствии с настоящим изобретением, в качестве твердой композиции для перорального введения могут быть использованы таблетки, порошки, гранулы и т. п. В такой твердой композиции может присутствовать одно или несколько активных веществ, смешанных по крайней мере с одним инертным разбавителем, таким как лактоза, маннит, глюкоза, гидроксипропилцеллюлоза, микрокристаллическая целлюлоза, крахмал, поливинилпирролидон или метасиликат алюминия-магния. Помимо инертного разбавителя, эта композиция может содержать добавки, например, замасливатель, такой как стеарат магния; дезинтегратор, такой как кальцийсодержащий гликолят целлюлозы; стабилизатор, такой как лактоза; или солюбилизирующий агент или солюбилизирующая добавка, такая как глутаминовая кислота или аспарагиновая кислота. Таблетки или драже могут быть покрыты оболочкой, изготовленной из гастро- или энтеросолюбильного вещества, такого как сахароза, желатин, гидроксипропилцеллюлоза, или фталат гидроксипропилметилцеллюлозы. В качестве примеров жидкой композиции для перорального введения могут служить фармацевтически приемлемые эмульсии, растворы, суспензии, сиропы или элексиры, которые содержат обычно используемый в этих целях инертный разбавитель, такой как очищенная вода или этанол. Помимо инертного разбавителя, жидкая композиция может также содержать адъювант, такой как солюбилизирующий агент или солюбилизирующая добавка, смачивающий агент или суспендирующий агент, подслащивающий агент, отдушка, ароматизирующее средство, или антисептическое средство. Примерами композиции для парентерального введения путем инъекции могут служить стерильные водные и безводные растворы, суспензии и эмульсии. В качестве разбавителя для водного раствора или водной суспензии могут быть использованы дистиллированная вода, пригодная для инъекций, и физиологический раствор. Примерами разбавителя для безводного раствора или безводной суспензии могут служить пропиленгликоль, полиэтиленгликоль, растительное масло, такое как оливковое масло, спирт, такой как этанол и “Полисорбат 80” (торговая марка). Кроме того, указанная композиция может также содержать такие добавки, как агент для придания раствору изотоничности, антисептическое средство, смачивающий агент, эмульгирующий агент, диспергирующее средство, стабилизатор (например, лактоза), и солюбилизирующий агент или солюбилизирующая добавка. Эти композиции могут быть стерилизованы, например, путем фильтрации через бактериальный фильтр, путем введения инсектицида, или путем облучения. Препарат для инъекций может быть также изготовлен в виде стерильной твердой композиции, которая может быть затем, непосредственно перед ее использованием, растворена в стерильной воде или в стерильном растворе, пригодном для инъекций. Вышеописанные композиции могут быть введены любым способом, например перорально, в форме таблеток, драже, капсул, гранул, порошков или растворов; парентерально, в виде инъекций, таких как внутривенные или внутримышечные инъекции; в виде суппозиториев; или чрезкожно. Вводимая доза должна быть определена отдельно в каждом конкретном случае в зависимости от симптомов заболевания, возраста или пола пациента. Однако, в основном, для взрослого индивидуума эта доза, в случае перопального введения, составляет в пределах от 1 до 1000 мг/день, а предпочтительно от 50 до 200 мг/день и может быть введена один раз в день или порциями несколько раз в день; или, в случае внутривенного введения, эта доза составляет в пределах от 1 мг до 500 мг в день, и может быть введена один раз в день или порциями несколько раз в день; либо, в случае непрерывного внутривенного введения, эта доза может вводиться непрерывно в течение 1-24 часов в день. Как уже указывалось выше, вводимая доза может варьироваться в зависимости от ряда факторов, а поэтому, необходимо отметить, что в некоторых случаях может оказаться достаточной более низкая доза, чем дозы, определенные вышеуказанными интервалами доз. Примеры Более подробно настоящее изобретение описано в нижеследующих Примерах, при этом следует иметь в виду, что эти Примеры не должны рассматриваться как некое ограничение настоящего изобретения. Кроме того, в этих Примерах также описано получение главных исходных соединений. Пример 1 1) К смеси, содержащей 13,96 г гидрохлорида этилового эфира глицина, 30 мл тетрагидрофурана, 10,11 г триэтиламина и 30 мл диметилформамида, добавляли 15,91 г 2,4-дифторнитробензола, и эту смесь нагревали с обратным холодильником в течение трех часов в потоке газа аргона. Реакционную смесь охлаждали и разводили этилацетатом, после чего, осажденное нерастворившееся вещество удаляли путем фильтрации. Фильтрат концентрировали при пониженном давлении. Полученный остаток растворяли в этилацетате, последовательно промывали водой и солевым раствором, а затем осушали безводным сульфатом натрия и концентрировали при пониженном давлении. Полученный остаток перекристаллизовывали из этанола, в результате чего получали 17,32 г (71,5%) этилового эфира N-(2-нитро-5-фторфенил) глицина. MC (m/z.): 242 (М+). Спектр ядерного магнитного резонанса (ЯМР-спектр) (CDCl3 внутренний стандарт-ТМС): 1,33 (3H, т, J=6,5 Гц), 4,04 (2H, д, J=4,9 Гц), 4,31 (2H, кв., J=6,5 Гц), 6,34 (1H, дд, J=2,4, 11,0 Гц), 6,44 (1H, м), 8,25 (1H, дд, J=6,1 и 9,7 Гц), 8,55 (1H,c).
2) Смесь, содержащую 6,52 г этилового эфира N-(2-нитро-5-фторфенил) глицина, 100 мл тетрагидрофурана, 50 мл метанола и 500 мг 10%, палладия-на-угле, перемешивали в атмосфере водорода, в результате чего восстанавливали нитрогруппу. Полученную реакционную смесь фильтровали, и фильтрат концентрировали при пониженном давлении. К полученному остатку добавляли 200 мл хлороформа и 7,54 мл триэтиламина, и эту смесь растворяли. К полученной смеси, в атмосфере аргона, при охлаждении льдом и при перемешивании, по капле добавляли раствор, содержащий 30 мл хлороформа в 7,35 г этилхлорглиоксилата. После завершения добавления, перемешивание продолжали в течение одного часа при комнатной температуре, а затем смесь разводили хлороформом. Разбавленный раствор последовательно промывали водой, насыщенным водным раствором бикарбоната натрия, насыщенным водным раствором хлорида аммония и солевым раствором, после чего осушали безводным сульфатом натрия, и концентрировали при пониженном давлении. К полученному остатку добавляли 150 мл этанола и 1 мл концентрированной соляной кислоты, а затем смесь нагревали с обратным холодильником в течение одного часа. После охлаждения полученные кристаллы собирали путем фильрации и осушали при пониженном давлении, в результате чего получали 5,80 г (80%) этил-2-(7-фтор-2,3-диоксо-1,2,3,4-тетрагидрохинаксолин-1-ил) ацетата.
MC (m/z): 266 (М+).
ЯМР-спектр (ДМСО-d6, внутренний стандарт -TMC): : 1,22 (3H, т, J=7,3 Гц), 4,17 (2H, кв., J=7,3 Гц), 4,95 (2H, с), 7,70 (IH, м), 7,22 (1H, дд, J= 5,4, 8,8 Гц), 7,36 (1H, дд, J=2,4 и 11,2 Гц), 12,20 (1H, с).
3) В 15 мл концентрированной серной кислоты при температуре ниже 0oC растворяли 1,20 г этил-2-(7-фтор-2,3-ди-оксо-1, 2, 3, 4- тетрагидрохинаксолин-1-ил) ацетата. К полученному раствору, при перемешивании, по капле добавляли 0,21 мл дымящей азотной кислоты (d=1,52), и эту смесь перемешивали в течение 30 минут при той же температуре. Реакционную смесь выливали в воду со льдом. Осажденные таким образом кристаллы собирали путем фильтрации, промывали водой, и осушали при пониженном давлении, в результате чего получали 1,35 г (96%) этил-2-(7-фтор-6-нитро-2,3-диоксо-1,2,3,4- тетрагидрохиноксалин-1-ил) ацетата.
MC (m/z): 312 (М+ + 1).
ЯМР-спектр (ДМСО-d6, внутренний стандарт – ТМС): 1,24 (3H, т, J=7,3 Гц), 4,18 (2H, кв, J=7,3 Гц), 5,02 (2H, с). 7,74 (1H, д, J=13,5 Гц), 7,95 (1H, д, J=7,3 Гц), 12,4 (IH, с).
4) Смесь, содержащую 928 мг этил-2-(2,3-диоксо-7-фтор-6-нитро-1,2,3,4-тетрагидрохиноксалин-1-ил) ацетата, 450 мг имидазола и 10 мл диметилформамида, перемешивали в течение шести часов при температуре 120oC. После охлаждения реакционную смесь выливали в ледяную воду. Полученные кристаллы собирали путем фильтрации, промывали водой, и осушали при пониженном давлении.
Полученное соединение добавляли к 5 мл 1 н.. водного раствора гидроксида натрия при комнатной температуре, а затем смесь перемешивали в течение 15 минут для гидролиза сложного эфира. Реакционную смесь доводили до pH 3,5 путем добавления 1 н.. соляной кислоты. Осажденные таким образом кристаллы собирали путем фильтрации, промывали водой, и осушали при пониженном давлении, в результате чего получали 473 мг (40%) 2-[12,3-диоксо-7-(1H-имидазол-1-ил)-6-нитро-1,2,3,4- тетрагидрохиноксалин-1-ил] уксусной кислоты 1 HCl 1,2 H2О.
Т.пл.: 225oC (с разлож.).
Элементный аналил для C13H9N5O6 HCl 1,2 H2О:Вычислено: C 40,11; H 3,21; N 17,99; Cl 9,11 (%): н.айдено: C 40,01; H 3,11; N 17,86; Cl 9,02 (%). MC (m/z): 332 (М++1). ЯМР-спектр (ДМСО-d6, внутренний стандарт – ТМС): : 4,89 (2H, с), 7,88 (1H, с), 8,01 (1H, с), 8,08 (1H, с), 8,28 (1H, с), 9,43 (1H, с), 12,89 (1H, с), 13,1-14,2 (1H, шир.с.).
Пример 21) 14,58 г (80%) метил-3-(5-фтор-2-нитрофениламино)-пропионата получали способом, описанным в Примере 1-1, за исключением того, что использовали 10,5 г гидрохлорида метилового эфира -аланина, 20 мл диметилформамида, 12,0 г 2,4-дифторнитробензола, 7,58 г триэтиламина и 20 мл тетрагидрофурана.
MC (m/z): 242 (М+).
ЯМР-спектр (CDCl3, внутренний стандарт – ТМС): : 2,73 (2H, т, J=6,6 Гц), 3,61 (2H, т, J=6,6 Гц), 3,74 (3H, с), 6,36-6,42 (1H, м), 6,52 (1H, дд,J =2,9 и 11,7 Гц), 8,22 (1H, дд, J=5,9, 9,3 Гц), 8,34 (1H, с).
2) 5,84 г (55%) этил-3-(2,3-диоксо-7-фтор-1,2,3,4-тетрагидрохиноксалин-1-ил)пропионата получали способом, описанным в Примере 1-2, за исключением того, что использовали 6,19 г метил-3-(5-фтор-2-нитрофениламино)пропионата.
MC (m/z): 280 (М+).
ЯМР-спектр (ДМСО-d6, внутренний стандарт – ТМС): 1,27 (3H, т, J=6,8 Гц), 2,79 (2H, т, J=7,6 Гц), 4,18 (2H, кв., J=6,8 Гц), 4,45 (2H, т, J=7,6 Гц), 6,94-6,99 (1H, м), 7,07 (1H, дд, J=2,4, 9,7 Гц), 7,30 (1H, дд, J=4,5, 9,7 Гц), 11,23 (1H, с).
3) 1,58 г (91%) этил-3-(2,3-диоксо-7-фтор-6-нитро-1,2,3,4-тетриагидрохиноксалин-1-ил) пропионата получали способом, описанным в Примере 1-3, за исключением того, что использовали 1,50 г этил-3-(2,3-диоксо-7-фтор-1,2,3,4-тетрагидрохиноксалин-1-ил) пропионата.
MC (m/z): 326 (М+ + 1).
ЯМР-спектр (ДМСО-d6, внутренний стандарт – ТМС): : 1,21 (ЗH, т, J=7,1 Гц), 2,67 (2H, т, J=7,3 Гц), 4,08 (2H, кв, J=7,1 Гц), 4,32 (2H, т, J=13,3 Гц), 7,78 (1H, д, J=13,8 Гц), 7,89 (1H, д, J=7,3 Гц), 12,3 (1H, с).
4) 704 мг (48%) 3-[2,3-диоксо-7-(1H-имидазол-1-ил)-6-нитро-1,2,3,4-тетрагидрохиноксалин-1-ил] пропионовой кислоты х 1HCl х 1H2O получали способом, описанным в Примере 1-4, за исключением того, что использовали 1,20 г этил-3-(7-фтор-6-нитро-2,3-диоксо-1,2,3,4-тетрагидрохиноксалин-1-ил)пропионата, 502 мг имидазола и 10 мл диметилформамида.
Т.пл.: 281-282oC (с разлож.).
Элементный анализ для C14H11N5O6 HCl H2O (%):Вычислено: C 42,07; H 3,53; N 17,52; Cl 8,87 н.айдено: C 41,98; H 3,78; N 17,63; Cl 8,65. MC (m/z): 346 (M+ + 1). ЯМР-спектр (ДМСО-d6, внутренний стандарт – ТМС): : 2,65 (2H, т, J=7,8 Гц), 4,29 (2H, т, J=7,8 Гц), 7,91 (1H, с), 8,05 (1H, с), 8,07 (1H, с), 8,25 (1H, с), 9,57 (1H, с), 12,72 (1H, с), 12,1-13,2 (1H, шир.с.).
Пример 31) 9,72 г (61%) этил-4-(5-фтор-2-нитрофениламино)бутирата получали способом, описанным в Примере 1-1, за исключением того, что использовали 9,55 г гидрохлорида этил – -аминобутирата, 20 мл тетрагидрофурана, 6,73 г триэтиламина, 10 мл диметилформамида, и 9,45 г 2,4-дифторнитробензола.
MC (m/z): 270 (М+).
ЯМР-спектр (CDCl3), внутренний стандарт – ТМС): : 1,28 (3H, т, J=7,0 Гц), 2,02-2,08 (2H, м), 2,47 (2H, кв, J=7,1 Гц), 3,35 (2H, т, J=7,0 Гц), 4,17 (2H, т, J=6,0 Гц), 6,35-6,41 (1H, м), 6,52 (1H, дд, J=2,4, 11,6 Гц), 8,21 (1H, дд, J=5,1, 9,2 Гц).
2) 5,93 г (85%) этил-4-(2,3-диоксо-7-фтор-1,2,3,4-тетрагидрохиноксалин-1-ил) бутирата получали способом, описанным в Примере 1-2, за исключением того, что использовали 6,43 г этил-4-(5-фтор-2-нитрофениламино)бутирата.
MC (m/z): 294 (М+).
ЯМР-спектр (ДМСО-d6, внутренний стандарт – ТМС): : 1,28 (3H, т, J=7,4 Гц), 2,04-2,10 (2H, м), 2,52 (2H, т, J=6,7 Гц), 4,18-4,26 (2H, м), 6,93-6,98 (1H, м), 7,26-7,35 (2H, м), 11,59 (1H, с).
3) 2,81 г (92%) этил-4-(2,3-диоксо-7-фтор-6-нитро-1,2,3,4-тетрагидрохиноксалин-1-ил)бутирата получали способом, описанным в Примере 1-3, за исключением того, что использовали 2,64 г этил-4-(2,3-диоксо-7-фтор-1,2,3,4-тетрагидрохиноксалин-1-ил)бутирата.
MC (m/z): 340 (М+ + 1).
ЯМР-спектр (ДМСО-d6, внутренний стандарт – ТМС): : 1,29 (3H, т, J =7,3 Гц), 1,98-2,05 (2H, м), 2,52 (2H, т, J=6,7 Гц), 4,15-4,24 (4H, м), 7,56 (1H, д, J=12,9 Гц), 8,03 (1H, д, J=6,7 Гц).
4) 1,42 г (80%) 4-[2,3-диоксо-7-(1H-имидазол-1-ил)-6-нитро-1,2,3,4-тетрагидрохиноксалин-1-ил] масляной кислоты 1HCl 0,1 H2О получали способом, описанным в Примере 1-4, за исключением того, что использовали 1,50 г этил-4-(7-фтор-6-нитро-2,3-диоксо-1,2,3,4-тетрагидрохиноксалин-1-ил)бутирата, 632 мг имидазола, и 10 мл диметилформамида. Т.пл.: > 300oC.
Элементный анализ для C15H13N5O6 HCl 0,1 H2O (%):Вычислено: C 45,32; H 3,60; N 17,62; Cl 8,92 н.айдено: C 45,20; H 3,68; N 17,57; Cl 8,96. MC (m/z): 360 (M+ + 1). ЯМР-спектр (ДМСО-d6, внутренний стандарт – ТМС): : 1,86 (дт, J=6,8, 7,4 Гц), 2,38 (2H, т, J=6,8 Гц), 4,12 (2H, т, J=7,4 Гц), 7,92 (1H, с), 8,02 (1H, с), 8,07 (1H, с), 8,25 (1H, с), 9,56 (1H, с), 12,70 (1H, с), 11,8-12,6 (1H, шир.с.).
Пример 4Целевое соединение Примера 4 получали способом, описанным в Примере 1. 1) 7,59 г (47%) этилового эфира N-(4-фтор-2-нитрофенил)глицина получали с использованием 9,25 г гидрохлорида этилового эфира глицина, 10,55 г (66,3 ммоль) 2,5-дифторнитробензола, 35 мл тетрагидрофурана, 9,29 мл триэтиламина, и 5 мл ДМФ. ЯМР-спектр (CDCl3, внутренний стандарт – ТМС): : 1,32 (3H, т, J=7,4 Гц), 4,08 (2H, д, J=5,5 Гц), 4,29 (2H, кв., J=7,4 Гц), 6,68 (1H, дд, J=4,3, 9,1 Гц), 7,24-7,29 (1H, м), 7,92 (1H, дд, J=3,0, 9,1 Гц), 8,27 (1H, шир., с. ).
2) Смесь, содержащую 7,41 г (30,6 ммоль) этилового эфира N-(4-фтор-2-нитрофенил)глицина, 120 мл тетрагидрофурана, и 0,5 г 10% палладия-на-угле, перемешивали при комнатной температуре при нормальном давлении в атмосфере водорода. После завершения реакции катализатор удаляли путем фильтрации. К фильтрату добавляли 150 мл тетрагидрофурана и 19,5 мл триэтиламина. К полученной смеси при охлаждении льдом по капле добавляли смесь, содержащую 19 г этилхлорглиоксилата и 20 мл тетрагидрофурана, а затем перемешивали. Реакционную смесь нагревали до комнатной температуры и перемешивали в течение ночи. Осажденные таким образом кристаллы удаляли путем фильтрации, и этот фильтрат концентрировали при пониженном давлении. К остатку добавляли 150 мл этанола и 1,5 мл концентрированной соляной кислоты, и эту смесь нагревали с обратным холодильником в течение 4 часов. После охлаждения осажденные кристаллы собирали путем фильтрации, промывали этанолом и осушали при пониженном давлении, в результате чего получали 6,77 г (83%) этил-2-(2,3-диоксо-6-фтор-1,2,3,4-тетрагидрохиноксалин-1-ил)ацетата.
ЯМР-спектр (ДМСО-d6, внутренний стандарт – ТМС): : 1,22 (3H, т, J=7,3 Гц), 4,17 (2H, кв, J=7,3 Гц), 4,97 (2H, с), 7,00 (1H, дд, J= 3,0, 9,2 Гц), 7,02-7,06 (1H, м), 7,35 (1H, дд, J= 4,9, 9,2 Гц), 12,25 (1H, с).
3) 2,74 г (96%) этил-2-(2,3-диоксо-6-фтор-7-нитро-1,2,3,4- тетрагидрохиноксалин-1-ил)ацетата получали с использованием 2,45 г (9,21 миллимоль) этил-2-(2,3-диоксо-6-фтор-1,2,3,4-тетрагидрохиноксалин-1-ил)ацетата, 15 мл концентрированной серной кислоты, и 0,5 мл дымящей азотной кислоты.
ЯМР-спектр (ДМСО-d6, внутренний стандарт – ТМС): : 1,23 (3H, т, J=6,7 Гц), 4,19 (2H, кв, J=6,7 Гц), 5,05 (1H, с), 7,19 (1H, д, J=11,6 Гц), 8,10 (1H, д, J=6,7 Гц), 12,68 (1H, с).
4) 2,24 г (96%) этил-2-[2,3-диоксо-6-(1H-имидазол-1-ил)-7-нитро-1,2,3,4-тетрагидрохиноксалин-1-ил] ацетата получали с использованием 2,02 г этил-2-(2,3-диоксо-6-фтор-7-нитро-1,2,3,4-тетрагидрохиноксалин-1-ил) ацетата, 1,33 г имидазола, и 15 мл ДМФ.
ЯМР-спектр (ДМСО-d6, внутренний стандарт – ТМС): : 1,25 (3H, т, J=7,3 Гц), 4,21 (2H, кв, J=7,3 Гц), 5,09 (1H, с), 7,11 (1H, с), 7,26 (1H, с), 7,45 (1H, с), 7,93 (1H, с), 8,21 (1H, с), 12,3-13,0 (1H, шир.с).
5) 1,88 г (84%) 2-[2,3-диоксо-6-(1H-имидазол-1-ил)-7-нитро-1,2,3,4-тетрагидрохиноксалин-1-ил] уксусной кислоты HCl H2O получали с использованием 2,09 г (5,80 миллимоль) этил-2-[2,3-диоксо-6-(1H-имидазол-1-ил)-7-нитро-1,2,3,4-тетрагидрохиноксалин-1-ил] ацетата и 10 мл 1 н. . водного раствора гидроксида натрия.
Т.пл.: 217-218oC.
Элементный анализ для C13H9N5O6 HCl H2O (%):Вычислено: C 40,48; H 3,14; N 18,16; C 19,19. н.айдено: C 40,17; H 3,04; N 18,08; Cl 9,20. Пример 5 1) Смесь, содержащую 1,30 г этил-2-[2,3-диоксо-7-(1H-имидазол-1-ил)-6-нитро-1,2,3,4-тетрагидрохиноксалин-1-ил]-ацетата, 80 мл тетрагидрофурана, 20 мл метанола, и 600 мг 10% палладия-на-угле, перемешивали в атмосфере водорода в течение 36 часов; после фильтрования реакционной смеси фильтрат концентрировали при пониженном давлении, в результате чего получали 1,02 г (86%) этил-2-[6-амино-2,3-диоксо-7-(1H-имидазол-1-ил)-1,2,3,4-тетрагидрохиноксалин-1-ил]-ацетата. ЯМР-спектр (ДМСО-d6, внутренний стандарт – ТМС): : 1,14-1,22 (3H, м), 4,09-4,18 (2H, м), 4,88 (2H, с), 5,05 (2H, с), 6,71 (1H, с), 7,11 (1H, с), 7,16 (1H, с), 7,30 (1H, с), 7,74 (1H, с), 12,11 (1H, с).
2) К 1,5 мл 1 н.. водного раствора гидроксида натрия добавляли 150 мг этил-2-[6-амино-2,3-диоксо-7-(1H-имидазол-1-ил)-1,2,3,4- тетрагидрохиноксалин-1-ил] ацетата при комнатной температуре, и эту смесь перемешивали в течение двух часов. Реакционную смесь доводили до pH 6 путем добавления 1 н. . соляной кислоты. Осажденные таким образом кристаллы собирали путем фильтрации, промывали водой и осушали при пониженном давлении, в результате чего получали 112 мг (74%) 2-[6-амино-2,3-диоксо-7-(1H-имидазол-1-ил)-1,2,3,4-тетрагидрохиноксалин-1-ил] уксусной кислоты 1,7 H2O.
Т.пл.: > 300oC.
МС (m/z): 302 (М+ + 1).
Спектр ядерного магнитного резонанса (ДМСО-d6, внутренний стандарт – ТМС): : 4,78 (2H, с), 5,04 (2H, шир.с.), 6,71 (1H, с), 7,11 (2H, с), 7,29 (1H, с), 7,73 (1H, с), 12,09 (1H, с).
Пример 6К 6 мл водного раствора аммиака добавляли 100 мг этил-2-[2,3-диоксо-7- (1H-имидазол-1-ил)-6-нитро-1,2,3,4-тетра-гидрохиноксалин-1-ил] ацетата при температуре -5oC, и полученную смесь перемешивали в течение 3 часов при температуре 0oC, а затем концентрировали при пониженном давлении. Концентрат промывали водой и осушали при пониженном давлении, в результате чего получали 90 мг (89%) 2-[2,3-диоксо-7-(1H-имидазол-1-ил)-6-нитро-1,2,3,4- тетрагидрохиноксалин-1-ил]ацетамида 0,5 NH 1,3 H2O.
Т.пл.: 245oC (с разлож.).
МС (m/z): 331 (М++1).
ЯМР-спектр (ДМСО-d6, внутренний стандарт – ТМС): : 4,77 (2H, с), 6,3-6,9 (1H, шир. с.), 7,07 (1H, с), 7,22-7,33 (2H, м), 7,36 (1H, с), 7,64 (1H, с), 7,80-7,87 (2H, м).
Пример 7Смесь, содержащую 465 мг этил-2-[6-амино-2,3-диоксо-7-(1H-имидазол-1-ил)- 1,2,3,4-тетрагидрохиноксалин-1-ил]-ацетата, 160 мг формалина, 30 мл воды, 3 мл 1 н. соляной кислоты и 100 мг 20% палладия-на-угле, перемешивали в атмосфере водорода в течение 8 часов, а затем фильтровали. Фильтрат концентрировали при пониженном давлении. Полученный остаток добавляли к 4 мл 1 н. водного раствора гидроксида натрия при комнатной температуре, и эту смесь перемешивали в течение одного часа. Реакционную смесь доводили до pH 6 путем добавления 1 н. соляной кислоты. Осажденные таким образом кристаллы собирали путем фильтрации, промывали водой, и осушали при пониженном давлении, а затем очищали на колонке с HP20, в результате чего получали 33 мг (6%) 2-[2,3-диоксо-7- (1H-имидазол-1-ил)-6-метиламино-1,2,3,4-тетрагидрохиноксалин-1-ил]уксусной кислоты 1HCl 1,45H2O.
Т.пл.: > 300oC.
МС (m/z): 316 (М++1).
ЯМР-спектр (ДМСО-d6, внутренний стандарт – ТМС): : 2,65 (3H, с), 4,74 (2H, с), 5,58 (1H, шир.с.), 6,57 (1H, с), 7,51 (1H, с), 7,78 (1H, с), 7,84 (1H, с), 9,24 (1H, с), 12,18 (1H, с), 13,0-13,1 (1H, шир.с.).
Пример 8395 мг (44%) 2-[6-диметиламино-2,3-диоксо-7-(1H-имидазол-1-ил)-1,2,3,4-тетрагидрохиноксалин-1-ил] уксусной кислоты 0,7H2О получали способом, описанным в Примере 7, за исключением того, что использовали 0,93 г этил-2-[6-амино-2,3-пиоксо-7-(1H-имидазол-1-ил)-1,2,3,4-тетрагидрохиноксалин-1-ил]ацетата, 0,92 г формалина, 50 мл воды, 5 мл 1 н. соляной кислоты, и 600 мг 10% палладия-на-угле.
Т.пл.: > 300oC.
MC (m/z): 329 (М+).
ЯМР-спектр (ДМСО-d6, внутренний стандарт – ТМС): : 2,40 (6H, с), 4,87 (2H, с), 6,97 (1H, с), 7,10 (1H, с), 7,31 (1H, с), 7,42 (1H, с), 7,88 (1H, с), 12,14 (1H, с).
Пример 91) К смеси, содержащей 4,84 г (29 миллимоль) гидрохлорида трет-бутилового эфира глицина, 20 мл тетрагидрофурана, 4,1 мл триэтиламина, и 3 мл ДМФ, при перемешивании по капле добавляли смесь 6,57 г 2,4-дифтор-5-трифторметилнитробензола и 5 мл тетрагидрофурана. После перемешивания в течение трех часов к реакционной смеси добавляли 50 мл этилацетата, и эту смесь фильтровали. Фильтрат концентрировали при пониженном давлении. Концентрат экстрагировали путем добавления этилацетата и воды. Органический слой последовательно промывали водой, 1% водным раствором бикарбоната натрия, и солевым раствором, а затем осушали безводным сульфатом натрия и концентрировали при пониженном давлении. Остаток очищали с помощью хроматографии на колонке с силикагелем (элюирующей растворитель: гексан/этилацетат = 10:1,5), в результате чего получали 9,54 г (98%) трет-бутилового эфира N-(5-фтор-2-нитро-4-трифторметилфенил) глицина. ЯМР-спектр (CDCl3, внутренний стандарт – ТМС): : 1,54 (9H, с), 3,98 (2H, д, J= 4,9 Гц), 6,46 (1H, д, J=12,7 Гц), 8,54 (1H, д, J=7,8 Гц), 8,76 (1H, шир.с.).
2) Смесь, содержащую 9,36 г (27,7 миллимоль) трет-бутилового эфира N-(5-фтор-2-нитро-4-трифторметилфенил)глицина, 7,54 г имидазола и 30 мл ДМФ, перемешивали в течение 2 часов в масляной бане при температуре 60oC. После охлаждения реакционную смесь концентрировали при пониженном давлении. Остаток выливали в воду и осажденное таким образом соединение собирали путем фильтрации. Полученное соединение последовательно промывали водой и этиловым эфиром, а затем осушали при пониженном давлении, в результате чего получали 8,95 г (84%) трет-бутилового эфира N-[5-(1H-имидазол-1-ил)-2-нитро-4- трифторметилфенил]глицина.
ЯМР-спектр (CDCl3, внутренний стандарт – ТМС): : 1,52 (9H, с), 4,02 (2H, д, J=4,9 Гц), 6,67 (1H, с), 7,14 (1H, с), 7,21 (1H, с), 7,64 (1H, с), 8,66 (1H, с), 8,76 (1H, шир.с.).
3) Смесь, содержащую 3,08 г (7,98 ммоль) трет-бутилового эфира N-[5-(1H-имидазол-1-ил)-2-нитро-4-трифторметилфенил]глицина, 100 мл тетрагидрофурана, 50 мл метанола и 350 мг 10% палладия-на-угле, перемешивали в атмосфере водорода при нормальном давлении и при комнатной температуре. После завершения реакции, палладий-на-угле удаляли путем фильтрации, а затем фильтрат концентрировали при пониженном давлении. К полученному остатку добавляли 150 мл хлороформа и 2,46 мл триэтиламина. К полученной смеси при перемешивании и при охлаждении льдом по капле добавляли смесь 2,29 г (16,7 ммоль) этилхлорглиоксилата и 20 мл хлороформа. После завершения добавления реакционную смесь оставляли для нагревания до комнатной температуры, а затем перемешивали в течение ночи. После этого добавляли 200 мл хлороформа. Полученную смесь последовательно промывали водой и солевым раствором, осушали безводным сульфатом натрия и концентрировали при пониженном давлении. К полученному остатку добавляли 100 мл этанола и 2 мл 1 н. соляной кислоты, и эту смесь нагревали с обратным холодильником в течение 10 часов. После охлаждения реакционную смесь концентрировали при пониженном давлении. К остатку добавляли 15 мл трифторуксусной кислоты, и смесь перемешивали при комнатной температуре в течение 6 часов. Полученную реакционную смесь концентрировали при пониженном давлении, а затем доводили до pH 7 путем добавления 1 н. водного раствора гидроксида натрия и насыщенного водного раствора бикарбоната натрия. Полученный раствор очищали с использованием “HP-20” (продукт, поставляемый Mitsubishi Chemical Corporation; элюирующий растворитель: вода/метанол). Полученный таким образом очищенный продукт перекристаллизовывали из 1 н. водного раствора соляной кислоты, в результате чего получали 1,31 г (40%) 2-[2,3- диоксо-7-(1H-имидазол-1-ил)-6-трифторметил-1,2,3,4-тетрагидрохиноксалин-1-ил] уксусной кислоты 1HCl 1H2О.
Т.пл.: 226-227oC.
MC (m/z)- 354 (М+).
ЯМР-спектр (ДМСО-d6, внутренний стандарт – ТМС): : 4,86 (1H, с), 7,89 (1H, с), 7,91 (1H, д, J=1,5 Гц), 8,04 (1H, с), 8,13 (1H, с), 9,54 (1H, с), 12,89 (1H, с), 12,5-14,0 (1H, шир.с.).
Целевые соединения Примеров 10-12 получали способом, описанным в Примере 9.
Пример 101) 4,01 г (86%) трет-бутилового эфира N-(4-ацетил-5-фтор-2-нитрофенил)глицина получали с использованием 2,50 г гидрохлорида трет-бутилового эфира глицина, 20 мл тетрагидрофурана, 5 мл диметилформамида, 2,08 мл триэтиламина и 3,0 г 2,4-дифтор-5-нитроацетофенона. ЯМР-спектр (CDCl3, внутренний стандарт – ТМС): : 1,53 (9H, с), 2,58 (3H, д, J = 4,3 Гц), 3,98 (2H, д, J=4,9 Гц), 6,34 (1H, д, J=12,9 Гц), 8,90 (1H, д, J=8,2 Гц), 10,7 (1H, шир.с.).
2) 3,80 г (87%) трет-бутилового эфира N-[4-ацетил-5-(1H-имидазол-1-ил)- 2-нитрофенил]глицина получали с использованием 3,77 г (12,1 ммоль) трет-бутилового эфира N-(4-ацетил-5-фтор-2-нитрофенил)глицина, 3,28 г имидазола и 15 мл диметилформамида.
ЯМР-спектр (CDCl3, внутренний стандарт – ТМС): : 1,53 (9H, с), 2,14 (3H, с), 4,02 (2H, д, J=5,1 Гц), 6,57 (1H, с), 7,09 (1H, с), 7,25 (1H, с), 7,63 (1H, с), 8,74 (1H, с), 8,76 (1H, шир.с.).
3) В данной стадии использовали трет-бутиловый эфир N-[4-ацетил-5-(1H-имидазол-1-ил)-2-нитрофенил] глицина (3,63 г), 120 мл тетрагидрофурана и 360 мг 10% палладия-на-угле, и проводили реакцию восстановления. После этого получали 1,32 г (37%) 2-[6-ацетил-2,3-диоксо-7-(1H-имидазол-1-ил)-1,2,3,4- тетрагидрохиноксалин-1-ил] уксусной кислоты 1H2O с использованием 7,1 мл триэтиламина и 6,89 г этилхлорглиоксилата.
Т.пл.: 225-226oC (с разлож.).
ЯМР-спектр (ДMCO-d6, внутренний стандарт – ТМС): : 2,40 (3H, с), 4,90 (2H, с), 7,73 (1H, с), 7,81 (1H, с), 7,84 (1H, с), 7,99 (1H, с), 9,16 (1H, с), 12,70 (1H, с), 12,9-14,3 (1H, шир. с.).
Пример 111) 2,27 г (28%) 2-(4-трет-бутоксикарбонилметиламино-2-фтор-5-нитрофенокси)ацетата получали с использованием 5,60 г (21,4 миллимоль) этил-2-(2,4-дифтор-5-нитрофенокси)ацетата, 3,59 г гидрохлорида трет-бутилового эфира глицина, 40 мл тетрагидрофурана, 10 мл диметилформамида, и 3 мл триэтиламина. ЯМР-спектр (CDCl3, внутренний стандарт – ТМС): : 1,31 (3H, т, J=6,8 Гц), 1,52 (9H, с), 3,94 (2H, д, J=4,5 Гц), 4,28 (2H, кв, J=6,8 Гц), 4,64 (2H, с), 6,45 (1H, д, J=12,7 Гц), 7,83 (1H, д, J=8,8 Гц), 8,42 (1H, с).
2) 1,88 г (78% этил-2-[4-трет-бутоксикарбонилметиламино-2-(1H-имидазол-1-ил)-5-нитрофенокси] ацетата получали с использованием 2,13 г (5,73 ммоль) 2-(4-трет-бутоксикарбонилметиламино-2-фтор-5-нитрофенокси)ацетата, 1,56 г имидазола, и 15 мл ДМФ.
ЯМР-спектр (CDCl3, внутренний стандарт – ТМС): : 1,31 (3H, т, J=8,7 Гц), 1,52 (9H, с), 3,98 (2H, д, J=5,4 Гц), 4,27 (2H, кв, J=8,7 Гц), 4,66 (2H, с), 6,65 (1H, с), 7,20 (1H, с), 7,39 (1H, с), 7,39 (1H, с), 7,83 (1H, с), 8,01 (1H, с), 8,37 (1H, шир.с.).
3) В данной стадии использовали этил-2-[(4-трет-бутокси-карбонилметил) амино-2-(1H-имидазод-1-ил)-5-нитрофенокси] ацетат (1,75 г, 4,71 ммоль), 100 мл тетрегидрофурана и 0,3 г 10% палладия-на-угле, и проводили реакцию восстановления. 1,03 г (53%) 2-[6-карбоксиметокси-2,3-диоксо-7-(1H-имидазол-1-ил)-1,2,3,4-тетрагидрохиноксалин-1-ил] уксусной кислоты получали с использованием 3,3 мл триэтиламина и 3,22 г этилхлорглиоксилата.
Т.пл.: > 300oC (с разлож.).
МС (m/z): 360 (М+).
ЯМР-спектр (ДМСО-d6, внутренний стандарт – ТМС): : 4,81 (2H, с), 4,88 (2H, с), 7,09 (1H, с), 7,81 (1H, с), 7,89 (1H, с), 8,02 (1H, с), 9,45 (1H, с), 12,40 (1H, с), 12,5-14,2 (1H, шир.с.).
Пример 121) 6,41 г (87%) трет-бутилового эфира N-(4-этоксикарбонил-5-фтор-2-нитрофенил)глицина получали с использованием 3,63 г гидрохлорида трет-бутилового эфира глицина, 25 мл тетрагидрофурана, 3,03 г триэтиламина, 5 мл диметилформамида и 5,0 г (21,6 ммоль) этил-2,4-дифтор-5-нитробензоата. ЯМР-спектр (CDCl3, внутренний стандарт – ТМС): : 1,39 (3H, т, J=8,3 Гц), 1,53 (9H, с), 3,98 (2H, д, J=4,9 Гц), 4,37 (2H, кв, J=8,3 Гц), 6,36 (1H, д, J=12,7 Гц), 8,74 (1H, шир.с.), 8,88 (1H, д, J=8,7 Гц).
2) 7,01 г (97%) трет-бутилового эфира N-[4-этоксикарбoнил-5-(1H-имидaзoл-1-ил)-2-нитpoфeнил]глицина получали с использованием 6,35 г (18,5 ммоль) трет-бутилового эфира M-(4-этоксикарбонил-5-фтор-2-нитрофенил)глицина, 5,05 г имидазола, и 20 мл ДМФ.
ЯМР-спектр (CDCl3, внутренний стандарт – ТМС): : 1,18 (3H, т, J=7,3 Гц), 1,52 (9H, с), 4,01 (2H, д, J= 5,4 Гц), 4,19 (2H, кв, J=7,3 Гц), 6,58 (1H, с), 7,07 (1H, с) 7,19 (1H, с), 7,60 (1H, с), 8,75 (1H, шир. с.), 8,96 (1H, с).
3) Смесь, содержащую 6,84 г (17,5 миллимоль) трет-бутилового эфира N-[4-этоксикарбонил-5-(1H-имидазол-1-ил)-2-нитpoфeнил]глицина, 150 мл тетрагидрофурана и 0,5 г 10% палладия-на-угле, перемешивали при нормальном давлении и при комнатной температуре в атмосфере водорода. После завершения реакции катализатор удаляли путем фильтрации. К этому фильтрату добавляли 12,3 мл триэтиламина. К полученной смеси при перемешивании и при охлаждении льдом по капле добавляли смесь 11,96 г этилхлорглиоксилата и 20 мл тетрагидрофурана. Реакционную смесь нагревали до комнатной температуры, а затем перемешивали в течение двух часов. Осажденные таким образом кристаллы удаляли путем фильтрации, и этот фильтрат концентрировали при пониженном давлении. К остатку добавляли 100 мл этанола, и полученную смесь нагревали с обратным холодильником в течение трех часов. После охлаждения осажденные кристаллы собирали путем фильтрации, последовательно промывали этанолом и диэтиловым эфиром, а затем осушали при пониженном давлении. К полученному соединению добавляли 30 мл трифторуксусной кислоты, и эту смесь перемешивали в течение ночи при комнатной температуре. Реакционную смесь концентрировали при пониженном давлении. К полученному остатку добавляли 10 н. водный раствор гидроксида натрия и 1 н. водный раствор гидроксида натрия для доведения pH до значения 9-10, а затем перемешивали в течение ночи. Для доведения pH до 2-3, к реакционной смеси добавляли концентрированную соляную кислоту и 1 н. водный раствор соляной кислоты. Осажденные кристаллы собирали путем фильтрации. Полученное соединение перекристаллизовывали из 1 н. водного раствора соляной кислоты, в результате чего получали 3,65 г (63%) 2-[6-карбокси-2,3-диоксо-7-(1H-имидазол-1-ил)-1,2,3,4-тетрагидрохиноксалин-1-ил] уксусной кислоты 0,15 HCl 1,5H2O.
Т.пл.: > 300oC.
MC (m/z): 330 (М+).
ЯМР-спектр (ДМСО-d6, внутренний стандарт – ТМС): : 4,92 (2H, с), 7,18 (1H, с), 7,43 (1H, с), 7,56 (1H, с), 7,83 (1H, с), 8,08 (1H, с), 12,48 (1H, с).
Пример 131) К смеси, содержащей 6,86 г 2,4-дифтор-5-нитробензонитрила, 22,67 г триэтиламина, 40 мл ДМФ, и 40 мл тетрагидрофурана, при охлаждении льдом добавляли 5,20 г гидрохлорида этилового эфира глицина, и полученную смесь перемешивали при той же температуре в течение 4 часов. К реакционной смеси добавляли воду, и полученный продукт экстрагировали хлороформом. Экстракт последовательно промывали водой и солевым раствором, осушали безводным сульфатом натрия, и концентрировали при пониженном давлении. Полученный остаток очищали с помощью хроматографии на колонках с силикагелем (элюент: гексан/этилацетат = 80-20), в результате чего получали 4,85 г (49%) этилового эфира N-(4-циано-5-фтор-2-нитрофенил)глицина. ЯМР-спектр (CDCl3, внутренний стандарт – ТМС): : 1,22-1,48 (3H, м), 4,08 (2H, д, J =5,3 Гц), 4,19-4,50 (2H, м), 6,46 (1H, д, J=11,3 Гц), 8,57 (1H, д, J=6,7 Гц), 8,80-9,05 (1H, шир.).
2) Смесь, содержащую 2,50 г этилового эфира N-(4-циано-5-фтор-2-нитрофенил)глицина, 0,67 г имидазола, 7,40 г пиридина и 40 мл ДМСО перемешивали в течение четырех часов при температуре 80oC. После добавления воды реакционный продукт экстрагировали хлороформом. Экстракт последовательно промывали водой и солевым раствором, а затем осушали безводным сульфатом натрия и концентрировали при пониженном давлении. Полученный остаток очищали с помощью колоночной хроматографии на силикагеле (элюент: хлороформ:метанол=95:5), в результате чего получали 2,82 г (92%) этилового эфира N-[4-циано-5-(1H-имидазол-1-ил)-2-нитрофенил]глицина.
ЯМР-спектр (ДМСО-d6, внутренний стандарт – ТМС): : 1,15-1,26 (3H, м), 4,10-4,21 (2H, м), 4,45 (2H, д, J=5,5 Гц), 7,15-7,22 (2H, м), 7,68-7,73 (1H, м), 8,17 (1H, с), 8,75 (1H, с), 8,85-8,94 (1H, м).
3) Смесь, содержащую 2,00 г этилового эфира N-[4-циано-5-(1H-имидазол-1-ил)-2-нитрофенил] глицина, 40 мл тетрагидрофурана, 8 мл метанола и 200 мг 10% палладия-на-угле, перемешивали в атмосфере водорода для восстановления нитрогруппы. После фильтрации реакционной смеси фильтрат концентрировали при пониженном давлении. Затем к остатку добавляли 50 мл хлороформа и 4,43 мл триэтиламина, в полученную смесь, при охлаждении льдом, по капле вводили 1,69 мл этилхлорглиоксилата. После перемешивания при комнатной температуре в течение 20 часов реакционную смесь разводили хлороформом. Разведенную смесь промывали солевым раствором, осушали безводным сульфатом натрия и концентрировали при пониженном давлении. К полученному остатку добавляли 60 мл этанола и 0,5 мл концентрированной соляной кислоты, и эту смесь нагревали с обратным холодильником в течение 3 часов. После охлаждения образовавшиеся кристаллы собирали путем фильтрации и осушали при пониженном давлении, в результате чего получали 1,07 г (50%) этил-2-[6-циано-2,3-диоксо-7-(1H-имидазол-1-ил)-1,2,3,4-тетрагидрохиноксалин-1-ил]ацетата.
ЯМР-спектр (ДМСО-d6, внутренний стандарт – ТМС): : 1,15-1,25 (3H, м), 4,10-4,20 (2H, м), 4,99 (2H, с), 7,84 (1H, с), 7,90 (1H, с), 8,04 (1H, с), 8,16 (1H, с), 9,47 (1H, с), 12,83 (1H, с).
4) К 6 мл 1 н. водного раствора гидроксида натрия добавляли 672 мг этил 2-[6-циано-2,3-диоксо-7-(1H-имидазол-1- ил)-1,2,3,4-тетрагидрохиноксалин-1-ил] ацетата при комнатной температуре, и эту смесь перемешивали один час для гидролиза сложного эфира. Реакционную смесь доводили до pH 1 путем добавления 1 н. соляной кислоты. Осажденные таким образом кристаллы собирали путем фильтрации, промывали водой, и осушали при пониженном давлении, в результате чего получали 417 мг (62%) 2-[6-циано-2,3-диоксо-7-(1H-имидазол-1-ил)-1,2,3,4- тетрагидрохиноксалин-1-ил]уксусной кислоты 1,7H2O.
Т.пл.: 283-285oC (с разлож.).
ЯМР-спектр (ДМСО-d6, внутренний стандарт – ТМС): : 4,95 (2H, с), 7,17 (1H, с), 7,62 (2H, с), 7,74 (1H, с), 8,06 (1H, с), 12,54 (1H, с), 13,2-13,4 (1H, шир.).
Соединения Примеров 14-20 получали способом, описанным в Примере 13.
Пример 141) 2,70 г (61%) этилового эфира N-(5-фтор-4-метил-2-нитрофенил)глицина получали с использованием 3,00 г 2,4-дифтор-5-нитротолуола, 8,77 г триэтиламина, 40 мл диметилформамида, 40 мл тетрагидрофурана, и 2,42 г гидрохлорида этилового эфира глицина. ЯМР-спектр (CDCl3, внутренний стандарт – ТМС): : 1,29-1,36 (3H, м), 2,20 (3H, с), 4,03 (2J, д, J= 5,5 Гц), 4,24-4,34 (2H, м), 6,32 (1H, д, J= 11,6 Гц), 8,10 (1H, д, J=7,9 Гц), 8,39 (1H, шир.).
2) 470 мг (39%) этилового эфира N-[5-(1H-имидазол-1-ил)-4-метил-2-нитрофенил] глицина получали с использованием 1,00 г этилового эфира N-(5-фтор-4-метил-2-нитрофенил)-глицина, 266 мг имидазола и 10 мл пиридина.
ЯМР-спектр (CDCl3, внутренний стандарт – ТМС): : 1,26-1,36 (3H, м), 2,15 (3H, с), 4,05 (2H, д, J=5,5 Гц), 4,23-4,33 (2H, м), 6,55 (1H, с), 7,09 (1H, с), 7,24 (1H, с), 7,63 (1H, с), 8,20 (1H, с), 8,32 (1H, шир.).
3) 221 мг (44%) этил-2-[2,3-диоксо-7-(1H-имидазол-1-ил)-6-метил-1,2,3,4-тетрагидрохиноксалин-1-ил] ацетата получали с использованием 467 мг этилового эфира N-[5-(1H-имидазол-1-ил)-4-метил-2-нитрофенил]глицина.
ЯМР-спектр (ДМСО-d6, внутренний стандарт – ТМС): : 1,21 (3H, т, J=7,3 Гц), 2,17 (3H, с), 4,10-4,19 (2H, м), 7,25 (1H, с), 7,70 (1H, с), 7,89 (1H, с), 7,98 (1H, с), 12,45 (1H, с).
4) 180 мг (79%) 2-[2,3-диоксо-7-(1H-имидазол-1-ил)-6-метил-1,2,3,4-тетрагидрохиноксалин-1-ил] уксусной кислоты 1HCl 0,4H2O получали с использованием 218 мг этил-2-[2,3-диоксо-7-(1H-имидазол-1-ил)-6-метил-1,2,3,4-тетрагидрохиноксалин-1-ил]ацетата.
Т.пл.: > 300oC.
MC (m/z): 301 (М++1).
ЯМР-спектр (ДМСО-d6, внутренний стандарт – ТМС): : 2,17 (3H, с), 4,83 (2H, с), 7,25 (1H, с), 7,72 (1H, с), 7,90 (1H, с), 7,99 (1H, с), 9,34 (1H, с), 12,46 (1H, с), 13,1-13,3 (1H, шир.).
Пример 151) 0,59 г (20%) этилового эфира N-(4,5-дифтор-2-нитрофенил)глицина получали с использованием 2,00 г 2,4,5-трифторнитробензола, 3,43 г триэтиламина, 25 мл ДМФ, 25 мл ТГФ, и 1,58 г гидрохлорида этилового эфира глицина. ЯМР-спектр (CDCl3, внутренний стандарт – ТМС): : 1,20-1,45 (3H, м), 4,03 (2H, д, J=5,3 Гц), 4,15-4,47 (2H, м), 6,48 (1H, дд, J=12,2 и 6,6 Гц), 8,10 (1H, дд, J=10,6 и 8,4 Гц), 8,3-8,6 (1H, шир.).
2) 0,41 г (59%) этилового эфира N-[4-фтор-5-(1H-имидазол-1-ил)-2-нитрофенил] глицина получали с использованием 0,59 г этилового эфира N-(4,5-дифтор-2-нитрофенил)глицина, 155 мг имидазола, 1,80 г пиридина и 10 мл ДМСО.
ЯМР-спектр (CDCl3, внутренний стандарт – ТМС): : 1,20-1,46 (3H, м), 4,03-4,48 (4H, м), 6,66 (1H, д, J=6,1 Гц), 7,20-7,40 (2H, м), 7,90 (1H, шир. ), 8,10-8,60 (2H, м).
3) 154 мг (35%) этил-2-[2,3-диоксо-6-фтор-7-(1H-имидазол-1-ил)-1,2,3,4-тетрагидрохиноксалин-1-ил] ацетата получали с использованием 406 мг этилового эфира N-[4-фтор-5-(1H-имидазол-1-ил)-2-нитрофенил]глицина.
ЯМР-спектр (ДМСО-d6, внутренний стандарт – ТМС): : 1,16-1,29 (3H, м), 4,12-4,22 (2H, м), 4,98 (2H, с), 7,33 (1H, д, J=10,8 Гц), 7,81-7,96 (2H, м), 8,06 (1H, с), 9,36 (1H, с), 12,58 (1H, с).
4) 90 мг (61%) 2-[2,3-диоксо-6-фтор-7-(1H-имидазол-1-ил)-1,2,3,4-тетрагидрохиноксалин-1-ил]уксусной кислоты 1H2O получали с использованием 152 мг этил-2-[2,3-диоксо-6-фтор-7-(1H-имидазол-1-ил)-1,2,3,4-тетрагидрохиноксалин-1-ил]ацетата.
Т.пл.: > 300oC.
МС (m/z): 305 (М+ + 1).
ЯМР-спектр (ДМСО-d6, внутренний стандарт – ТМС): : 4,93 (2H, с), 7,13 (1H, с), 7,21 (1H, д, J=10,4 Гц), 7,55 (1H, с), 7,65 (1H, д, J=6,7 Гц), 8,01 (1H, с), 12,36 (1H, с), 13,0-13,2 (1H, шир.).
Пример 161) 0,66 г (7%) этилового эфира N-(4-хлор-5-фтор-2-нитрофенил)глицина получали с использованием 6,32 г 5-хлор-2,4-дифторнитробензола, 9,91 г триэтиламина, 60 мл ДМФ, и 60 мл тетрагидрофурана, и 4,56 г гидрохлорида этилового эфира глицина. ЯМР-спектр (CDCl3, внутренний стандарт – ТМС): : 1,16-1,47 (3H, м), 4,04 (2H, д, J=5,3 Гц), 4,16-4,45 (2H, м), 6,47 (1H, д, J=11,1 Гц), 8,25-8,67 (2H, м).
2) 0,44 г (57%) этилового эфира N-[4-хлор-5-(1H-имидазол-1-ил)-2-нитрофенил] глицина получали с использованием 0,66 г этилового эфира N-(4-хлор-5-фтор-2-нитрофенил)глицина, 162 мг имидазола и 4 мл пиридина.
ЯМР-спектр (CDCl3, внутренний стандарт – ТМС): : 1,16-1,44 (3H, м), 4,07 (2H, д, J=5,2 Гц), 4,16-4,48 (2H, м), 6,65 (1H, с), 7,15-7,37 (2H, м), 7,76 (1H, с), 8,35-8,63 (2H, м).
3) 235 мг (50%) этил-2-[6-хлор-2,3-диоксо-7-(1H-имидазол-1-ил)-1,2,3,4-тетрагидрохиноксалин-1-ил] ацетата получали с использованием 442 мг этилового эфира N-[4-хлор-5-(1H-имидаэол-1-ил)-2- нитрофенил]глицина.
ЯМР-спектр (ДМСО-d6, внутренний стандарт – ТМС): 1,17-1,24 (3H, м), 4,12-4,20 (2H, м), 4,93 (2H, с), 7,48 (1H, с), 7,81 (1H, с), 7,91-7,98 (2H, м), 9,23 (1H, с), 12,54 (1H, с).
4) 163 мг (79%) 2-[6-хлор-2,3-диоксо-7-(1H-имидазол-1-ил)-1,2,3,4-тетрагидрохиноксалин-1-ил] уксусной кислоты 0,7H2O получали с использованием 225 мг этил-2-[6-хлор-2,3-диоксо-7- (1H-имидазол-1-ил)-1,2,3,4-тетрагидрохиноксалин-1-ил]ацетата.
Т.пл.: 295-298oC.
МС (m/z): 321 (М++1).
ЯМР-спектр (ДМСО-d6, внутренний стандарт – ТМС): : 4,90 (2H, с), 7,15 (1H, с), 7,37-7,47 (2H, м), 7,67 (1H, с), 7,92 (1H, с), 12,40 (1H, с).
Пример 171) 10,5 г (60%) этилового эфира N-(4-бром-5-фтор-2-нитрофенил)глицина получали с использованием 7,61 г (54,5 ммоль) гидрохлорида этилового эфира глицина, 15 мл тетрагидрофурана, 7,64 мл триэтиламина, 10 мл ДМФ и 11,8 г (49,6 миллимоль) 5-бром-2,4-дифторнитробензола. ЯМР-спектр (CDCl3, внутренний стандарт – ТМС): : 1,33 (3H, т, J=7,4 Гц), 4,04 (2H, д, J= 4,9 Гц), 4,30 (2H, кв, J = 7,4 Гц), 6,46 (1H, д, J = 10,9 Гц), 8,44 (1H, д, J = 7,3 Гц), 8,49 (1H, шир. с.).
2) 3,50 г (90%) этилового эфира N-[4-бром-5-(1H-имидазол-1-ил)-2-нитрофенил] глицина получали с использованием 3,36 г (10,5 миллимоль) этилового эфира N-(4-бром-5-фтор-2-нитрофенил)глицина, 2,86 г имидазола и 20 мл диметил-формамида.
ЯМР-спектр (CDCl3, внутренний стандарт – ТМС): : 1,32 (3H, т, J=7,4 Гц), 4,05 (2H, дд, J=5,2, 14,9 Гц), 4,29 (2H, кв, J=7,4 Гц), 6,64 (1H, д, J= 9,1 Гц), 7,19 (1H, с), 7,23 (1H, с), 7,72 (1H, с), 7,72 (1H, с), 8,45 (1H. шир.с.), 8,57 (1H, с).
3) Смесь, содержащую 3,24 г (8,78 ммоль) этилового эфира N-[4-бром-5- (1H-имидазол-1-ил)-2-нитpoфeнил] глицина, 70 мл тетрагидрофурана, 50 мл метанола, и приблизительно 0,5 г никелевого катализатора Ренея, перемешивали при комнатной температуре и нормальном давлении в атмосфере водорода. После завершения реакции катализатор удаляли путем фильтрации, и фильтрат концентрировали при пониженном давлении. К остатку добавляли 100 мл хлороформа и 3,1 мл триэтиламина. К полученной смеси при охлаждении льдом и при перемешивании по капле добавляли смесь 3,02 г этилхлорглиоксилата и 20 мл хлороформа. Реакционную смесь нагревали до комнатной температуры, а затем перемешивали в течение ночи. Реакционную смесь разводили 150 миллилитрами хлороформа, последовательно промывали водой, 5% водным раствором бикарбоната натрия и солевым раствором, а затем осушали безводным сульфатом натрия, и концентрировали при пониженном давлении. После добавления 100 мл этанола и 1,5 мл концентрированной соляной кислоты смесь нагревали с обратным холодильником в течение 6 часов.
После охлаждения реакционную смесь концентрировали при пониженном давлении. К этой смеси добавляли 15 мл 1 н. водного раствора гидроксида натрия, а затем перемешивали в течение двух часов. Реакционную смесь доводили до pH 2-3 путем добавления 1 н. водного раствора соляной кислоты, и осажденное таким образом соединение собирали путем фильтрации. Полученное соединение перекристаллизовывали из 1 н. водного раствора соляной кислоты, в результате чего получали 2,02 г (55%) 2-[6-бром-2,3-диоксо-7-(1H-имидазол-1-ил)-1,2,3,4-тетрагидрохиноксалин-1-ил]уксусной кислоты 1HCI 0,8 H2О.
Т.пл.: 283oC (с разлож.).
МС (m/z): 365, 367 (М+).
ЯМР-спектр ДМСО-d6, внутренний стандарт – ТМС): : 4,84 (2H, с), 7,75 (1H, с), 7,93 (1H, с), 8,02 (1H, с), 8,03 (1H, с), 9,48 (1H, с), 12,75 (1H, с), 12,6-14,0 (1H, шир.).
Пример 181) 0,52 г (13%) этилового эфира N-(5-фтор-4-метокси-2-нитрофенил)глицина получали с использованием 2,78 г 2,4-дифтор-5-нитрофенилметилового эфира, 4,45 г триэтиламина, 30 мл ДМФ, 30 мл ТГФ, и 2,05 гэтилового эфира глицина. ЯМР-спектр (CDCl3, внутренний стандарт – ТМС): : 1,19-1,45 (3H, м), 3,80-4,46 (7H, м), 6,45 (1H, д, J = 13,1 Гц), 7,81 (1H, д, J=8,8 Гц), 8,3-8,6 (1H, шир.).
2) 200 мг (41%) этилового эфира N-[5-(1H-имидазол-1-ил)-4-метокси-2-нитрофенилглицина получали с использованием 420 мг этилового эфира N-(5-фтор-4-метокси-2-нитро-фенил)глицина, 420 мг имидазола, и 2,5 мл диметилформамида. ЯМР-спектр (CDCl3, внутренний стандарт – ТМС): : 1,27-1,37 (3H, м), 3,88 (3H, с), 4,09 (2H, д, J=5,5 Гц), 4,25-4,34 (2H, м), 6,64 (1H, с), 7,20 (1H, с), 7,27 (1H, с), 7,85-7,94 (2H, м), 8,32-8,40 (1H, м).
3) 46 мг (22%) этил-2-[2,3-диоксо-7-(1H-имидазол-1-ил)-6-метокси-1,2,3,4- тетрагидрохиноксалин-1-ил]ацетата получали с использованием 196 мг этилового эфира N-[5-(1H-имидазол-1-ил)-4-метокси-2-нитрофенил]глицина.
ЯМР-спектр (ДМСО-d6, внутренний стандарт – ТМС): : 1,17-1,25 (3H, м), 3,85 (3H, с), 4,11-4,20 (2H, м), 4,94 (2H, с), 7,09 (1H, с), 7,75 (1H, с), 7,79 (1H, с), 7,92 (1H, с), 9,24 (1H, с), 12,37 (1H, с).
4) 33 мг (7,5%) 2-[2,3-диоксо-7-(1H-имидазол-1-ил)-6-метокси- 1,2,3,4-тетрагидрохиноксалин-1-ил] уксусной кислоты 0,1 HCl 1,5H2O получали с использованием 44 мг этил-2-[2,3-диоксо-7-(1H-имидазол-1-ил)-6-метокси-1,2,3,4-тетрагидрохиноксалин-1-ил]ацетата.
Т.пл.: > 300oC.
МС (m/z): 317 (М++1).
ЯМР-спектр (ДМСО-d6, внутренний стандарт – ТМС): : 3,81 (3H, с), 4,91 (2H, с), 7,02 (1H, с), 7,12 (1H, J с), 7,43-7,51 (2H, м), 7,99 (1H, с), 12,23 (1H, с), 13,0-13,3 (1H, шир.).
Пример 191) 454 мг (8%) этилового эфира N-(4-бензилокси-5-фтор-2- нитрофенил)глицина получали с использованием 4,41 г бензил-2,4-дифтор-5-нитрофенилового эфира, 5,05 г триэтиламина, 30 мл ДМФ, 30 мл ТГФ, и 2,32 г гидрохлорида этилового эфира глицина. ЯМР-спектр (CDCl3, внутренний стандарт – ТМС): : 1,32 (3H, т, J = 7,3 Гц), 4,03 (2H, д, J=5,5 Гц), 4,25-4,33 (2H, м) 5,09 (2H, с), 6,44 (1H, д, J= 12,2 Гц), 7,30-7,48 (5H, м), 7,99 (1H, д, J=8,5 Гц), 8,40 (1H, шир.).
2) 331 мг (65%) этилового эфира N-[4-бензилокси-5-(1H-имидазол-1-ил)-2-нитрофенил] глицина получали с использованием 448 мг этилового эфира N-(4-бензилокси-5-фтор-2-нитрофенил)глицина, 350 мг имидазола и 2 мл ДМФ.
ЯМР-сепктр (CDCl3, внутренний стандарт – ТМС): : 1,32 (3H, т, J=7,3 Гц), 4,08 (2H, д, J=5,5 Гц), 4,25-4,34 (2H, м), 5,09 (2H, с), 6,63 (1H, с), 7,20 (1H, с), 7,25-7,40 (6H, м), 7,92 (1H, с), 8,00 (l1H, с), 8,31-8,37 (1H, м).
3) 70 мг (66%) этил-2-[6-бензилокси-2,3-диоксо-7-(1H-имидазол-1-ил)-1,2,3,4-тетрагидрохиноксалин-1-ил] ацетата получали с использованием 100 мг этилового эфира N-[4-бензилокси-5-(1H-имидазол-1-ил)-2-нитрофенил]глицина.
ЯМР-спектр (ДМСО-d6, внутренний стандарт – ТМС): : 1,08-1,33 (3H, м), 4,16 (2H, кв, J= 7,3 Гц), 4,95 (2H, с), 5,19 (2H, с), 7,15-7,52 (6H, м), 7,75-7,92 (2H, м), 7,94-8,08 (1H, м), 9,36-9,48 (1H, м), 12,47 (1H, с).
4) 86 мг (62%) 2-[6-бензилокси-2,3-диоксо-7-(1H-имидазол-1-ил)- 1,2,3,4-тетрагидрохиноксалин-1-ил] уксусной кислоты 0,5 HCl 1,4 H2O получали с использованием 134 мг этил-2-[6-бензилокси-2,3-диоксо-7-(1H-имидазол-1-ил)-1,2,3,4-тетрагидрохиноксалин-1-ил]ацетата.
Т.пл.: 275oC (с разлож.).
MC (m/z): 393 (М+ + 1).
ЯМР-спектр (ДМСО-d6, внутренний стандарт – ТМС): : 4,88 (2H, с), 5,17 (2H, с), 7,13 (1H, с), 7,30-7,48 (6H, м), 7,64 (1H, с), 7,74 (1H, с), 8,66 (1H, с), 12,32 (1H, с).
Пример 201) 2,44 г (99%) этилового эфира N-(5-фтор-4-метилсульфонил-2-нитрофенил) глицина получали с использованием 1,82 г 2,4-дифтор-5-нитрофенил метилсульфона, 0,78 г триэтиламина, 4 мл ДМФ, 8 мл ТГФ и 1,07 г гидрохлорида этилового эфира глицина. ЯМР-спектр (CDCl3, внутренний стандарт – ТМС): : 1,15-1,55 (3H, м), 3,19 (3H, с), 3,93-4,50 (4H, м), 6,49 (1H, д, J=12,0 Гц), 8,76- 9,07 (2H, м).
2) 0,35 г (67%) этилового эфира N-[5-(1H-имидазол-1-ил)-4-метилсульфонил- 2-нитрофенил] глицина получали с использованием 1,00 г этилового эфира N-(5-фтор-4-метилсульфонил-2-нитрофенил)глицина, 0,85 г имидазола и 5 мл диметилформамида.
ЯМР-спектр (ДМСО-d6, внутренний стандарт – ТМС): : 1,08-1,32 (3H, м), 2,86 (3H, с), 4,16 (2H, кв, J=7,3 Гц), 4,41 (2H, д, J=6,0 Гц), 7,09-7,23 (2H, м), 7,43- 7,51 (1H, м), 7,83-7,90 (1H, м), 8,72 (1H, с), 8,80-9,03 (1H, м).
3) 265 мг (72%) этил-2-[2,3-диоксо-7-(1H-имидазол-1-ил)-6-метилсульфонил- 1,2,3,4-тетрагидрохиноксалин-1-ил] -ацетата получали с использованием 345 мг этилового эфира N-[5-(1H-имидазол-1-ил)-4-метилсульфонил-2-нитрофенил]глицина.
ЯМР-спектр (ДМСО-d6, внутренний стандарт – ТМС): : 1,16-1,25 (3H, м), 3,18 (3H, с), 4,12-4,20 (2H, м), 4,95 (2H, с), 7,83 (1H, с), 7,94-8,06 (3H, м), 9,37 (1H, с), 12,75 (1H, с).
4) 106 мг (68%) 2-[2,3-диоксо-7-(1H-имидазол-1-ил)-6-метилсульфонил- 1,2,3,4-тетрагидрохиноксалин-1-ил] уксусной кислоты 0,6 HCl 1,2 H2O получали с использованием 150 мг этил-2-[2,3-диоксо-7-(1H-имидазол-1-ил)-6-метилсульфонил-1,2,3,4- тетрагидрохиноксалин-1-ил]ацетата.
Т.пл.: > 300oC.
MC (m/z): 365 (М+ + 1).
ЯМР-спектр (ДМСО-d6, внутренний стандарт – ТМС): : 3,06 (3H, с), 4,88 (2H, с), 7,59 (1H, с), 7,82 (1H, с), 7,88-7,98 (2H, м), 8,84 (1H, с), 12,68 (1H, с), 13,1-13,5 (1H, шир.).
Пример 21Смесь, содержащую 1,63 г этил-2-[2,3-диоксо-7-фтор-6-нитро-1,2,3,4-тетрагидрохиноксалин-1-ил]ацетата, 4 мл 50% водного раствора диметиламина, и 10 мл диметилформамида, нагревали и перемешивали в масляной бане (100oC) в атмосфере аргона в течение 5 часов. После охлаждения реакционную смесь концентрировали при пониженном давлении. К полученному остатку добавляли 15 мл 1 н. водного раствора гидроксида натрия, а затем перемешивали в течение 3 часов при температуре 30oC. Реакционную смесь концентрировали при пониженном давлении до половины первоначального объема, а затем добавляли 3 н. соляную кислоту для доведения pH этой реакционной смеси до значения 5-6. Осажденные таким образом кристаллы собирали путем фильтрации, промывали 1 н. соляной кислотой и осушали при пониженном давлении. Полученные неочищенные кристаллы перекристаллизовывали из 1 н. соляной кислоты, в результате чего получали 742 мг (45%) 2-[7-диметиламино-6-нитро-1,2,3,4-тетрагидрохиноксалин-1-ил] уксусной кислоты 0,5 H2O.
Т.пл.: > 300oC. МС (m/z): 309 (М+ + 1).
ЯМР-спектр (ДМСО-d6, внутренний стандарт – ТМС): : 2,82 (6H, с), 4,97 (2H, с), 6,83 (1H, с), 7,45 (1H, с), 12,17 (1H, шир. с.).
Пример 22Смесь, содержащую 2,94 г этил-2-[7-фтор-2,3-диоксо-6-нитро- 1,2,3,4-тетрагидрохиноксалин-1-ил] ацетата, 1,36 г имидазола и 20 мл диметилформамида, перемешивали при нагревании при температуре 120oC в течение 3 часов. После охлаждения реакционную смесь выливали в ледяную воду. Осажденные таким образом кристаллы собирали путем фильтрации, промывали водой и осушали при пониженном давлении, в результате чего получали 3,45 г (99%) этил-2-[2,3-диоксо-7-(1H-имидазол-1-ил)-6-нитро-1,2,3,4-тетрагидрохиноксалин-1-ил] -ацетата 0,65 H2O.
Т.пл. 159-160oC (с разлож.).
MC (m/z): 359 (M+).
ЯМР-спектр (ДМСО-d6, внутренний стандарт – ТМС): : 1,21 (3H, т, J=7,2 Гц), 4,16 (2H, кв, J = 7,2 Гц), 5,03 (2H, c), 7,09 (1H, c), 7,39 (1H, c), 7,75 (1H, c), 7,87 (1H, c), 8,00 (1H, c), 12,60 (1H, шир.с.).
Пример 231) Смесь, содержащую 5,85 г (20 миллимоль) этил-2-[(5-(1H-имидазол-1-ил)-2-нитрофенил)амино] ацетата, 250 мл тетрагидрофурана и 1,5 г 10% палладия-на-угле, перемешивали при комнатной температуре в атмосфере водорода. После восстановления нитрогруппы катализатор удаляли путем фильтрации. К этому фильтрату добавляли 11,3 мл триэтиламина. К полученной смеси при охлаждении льдом и при перемешивании по капле добавляли смесь 11 г этилхлорглиоксилата и 30 мл тетрагидрофурана. После завершения добавления реакционную смесь нагревали до комнатной температуры и перемешивали в течение ночи. Нерастворившееся вещество удаляли путем фильтрации. Фильтрат концентрировали при пониженном давлении. К полученному остатку добавляли 150 мл этанола, и эту смесь нагревали с обратным холодильником в течение пяти часов в атмосфере аргона. После охлаждения образовавшийся осадок собирали путем фильтрации, промывали этанолом, и осушали при пониженном давлении, в результате чего получали 3,94 г (60%) этил-2-[2,3-диоксо-7-(1H-имидазол-1-ил)-1,2,3,4-тетрагидрохиноксалин-1-ил] ацетата. MC (m/z): 314 (М+). ЯМР-спектр (ДМСО-d6, внутренний стандарт – ТМС): : 1,22 (3H, т, J=7,0 Гц), 4,18 (2H, кв, J=7,0 Гц), 5,06 (2H, с), 7,41 (1H, д, J=8,6 Гц), 7,60 (1H, дд, J=2,5, 8,6 Гц), 7,65 (1H, с), 7,77 (1H, д, J=25 Гц), 8,13 (1H, с), 9,24 (1H, с), 12,47 (1H, с).
2) При температуре, равной 0oC или ниже 0oC, 3,63 г этил-2-[2,3- диоксо-7-(1H-имидазол-1-ил)-1,2,3,4-тетрагидрохиноксалин-1-ил] ацетата при перемешивании растворяли в 15 мл дымящей азотной кислоты. Полученный раствор нагревали до комнатной температуры, перемешивали в течение одного часа, и выливали в ледяную воду, после чего доводили до pH 2,0 путем добавления водного раствора гидроксида натрия. Полученное нерастворившееся вещество удаляли путем фильтрования. К этому фильтрату добавляли водный раствор гидроксида натрия для доведения pH полученной жидкости до значения, равного около 6,5. Полученное нерастворившееся вещество собирали путем фильтрации, промывали водой и осушали при пониженном давлении, в результате чего получали 1,07 г (26%; чистота: около 95% (ВРЖХ-анализ)) этил-2-[2,3-диоксо-7-(1H-имидазол-1-ил)-6-нитро-1,2,3,4-тетрагидрохиноксалин-1-ил]ацетата.
3) Смесь, содержащую 2,12 г этил-2-[2,3-диоксо-7-(1Н-имидазол-1-ил)-6-нитро-1,2,3,4-тетрагидрохиноксалин-1-ил] – ацетата и 13 мл 1 н. водного раствора гидроксида натрия, перемешивали при комнатной температуре в атмосфере аргона. После завершения реакции реакционную смесь доводили до pH 3,0 путем добавления 0,5 мл концентрированной соляной кислоты и соответствующего количества 1 н. соляной кислоты. Осажденные таким образом кристаллы собирали путем фильтрации, промывали 1 н. соляной кислотой и осушали при пониженном давлении. Полученное неочищенное соединение в виде кристаллов перекристаллизовывали из 1 н. соляной кислоты, в результате чего получали 1,90 г (84%) 2-[2,3-диоксо-7- (1H-имидазол-1-ил)-6-нитро-1,2,3,4-тетрагидрохиноксалин-1-ил] уксусной кислоты 1HCl 1H2O.
Т.пл.: 248-250oC (с разлож.).
MC (m/z): 331 (М+).
ЯМР-спектр (ДМСО-d6, внутренний стандарт – ТМС): : 4,90 (2H, с), 7,89 (1H, с), 8,03 (1H, с), 8,09 (1H, с) 8,33 (1H, с), 9,48 (1H, с), 12,96 (1H, с).
Пример 24К 66 мл 1 н. водного раствора гидроксида натрия при охлаждении льдом постепенно добавляли 8,5 г соединения Примера 23 для его растворения. К полученному раствору при охлаждении льдом постепенно добавляли 44 мл 1 н. водного раствора соляной кислоты. Осажденные кристаллы собирали путем фильтрации и осушали, в результате чего получали 6,8 г 2-[2,3-диоксо-7-(1H-имидазол-1-ил)-6-нитро-1,2,3,4-тетрагидрохиноксалин-1-ил]уксусной кислоты в виде кристаллов. Элементный анализ для C13H9N5O6 0,2H2O 0,2H2O (%):Вычислено: C 46,63; H 2,83; N 20,92; Найдено: C 46,51; H 2,91; N 21,00. ЯМР-спектр (ДМСО-d6, внутренний стандарт – ТМС): : 4,95 (2H, с), 7,10 (1H, с), 7,40 (1H, с), 7,73 (1H, с), 7,88 (1H, с), 8,00 (1H, с), 12,58 (1H, с), 13,4 (1H, шир.с.).
Пример 251) К смеси, содержащей 5,06 г (32,9 миллимоль) 2,4-дифторнитробензола, 5,24 г гидрохлорида 5-аминовалериановой кислоты и 20 мл тетрагидрофурана добавляли 9,24 мл триэтиламина, и эту смесь нагревали с обратным холодильником в течение 18 часов. После охлаждения реакционную смесь разводили этилацетатом, и нерастворившееся вещество удаляли путем фильтрации. Фильтрат концентрировали при пониженном давлении. Полученный остаток перекристаллизовывали из этилацетата/этилового эфира, в результате чего получали 4,73 г (56%) 5-(3-фтор-6-нитрофенил) аминовалериановой кислоты. MC (m/z): 256 (М+). ЯМР-спектр (ДМСО-d6, внутренний стандарт – ТМС): : 1,78-1,83 (4H, м), 2,44-2,48 (2H, м), 3,29 (2H, кв, J=7,0 Гц), 3,34-3,39 (1H, м), 6,45-6,49 (1H, м), 8,16-8,23 (1H, м).
2) Смесь, содержащую 2,19 г (8,55 ммоль) 5-(3-фтор-6-нитрофенил) аминовалериановой кислоты, 100 мл 2-пропанола, и 5 мл 4 н. соляной кислоты в диоксане, нагревали с обратным холодильником в течение двух часов. После охлаждения, реакционную смесь концентрировали при пониженном давлении. Остаток очищали с помощью колоночной хроматоографии на силикагеле (проявляющий растворитель: гексан/этилацетат = 9: 1 – 6:1), в результате чего получали 2,55 г (стехиометрич. кол-во) изопропил-5-(3-фтор-6-нитрофенил) аминовалериата.
MC(m/z): 298 (М+).
ЯМР-спектр (CDCl3, внутренний стандарт – ТМС): : 1,24 (6Н, д, J=6,4 Гц), 1,76-2,82 (4H, м), 2,36 (2H, т, J=6,8 Гц), 3,28 (2H, д, J=5,4 Гц), 5,03 (1H, кв, J=6,4 Гц), 6,33-6,39 (1H, м), 6,47 (1H, дд, J=2,5, 11,7 Гц) 8,17-8,23 (1H, м).
3) Смесь, содержащую 2,53 г (8,48 ммоль) изопропил-5-(3-фтор-6-нитрофенил)аминовалерата, 100 мл тетрагидрофурана, и 380 мг 10% палладия-на-угле, перемешивали при комнатной температуре и при нормальном давлении в атмосфере водорода в течение 5 часов. После завершения реакции катализатор удаляли путем фильтрации. К фильтрату добавляли 5,94 мл триэтиламина, и эту смесь перемешивали при охлаждении льдом в атмосфере аргона. К полученному раствору, при перемешивании, по капле добавляли смесь, состоящую из 5,49 г этилхлорглиоксилата и 15 мл тетрагидрофурана. После перемешивания в течение одного часа, нерастворившееся вещество удаляли путем фильтрации, и этот фильтрат концентрировали при пониженном давлении. К полученному остатку добавляли 150 мл этанола, и смесь нагревали с обратным холодильником в течение 18 часов. После охлаждения реакционную смесь концентрировали при пониженном давлении до 1/3 первоначального объема. К полученному остатку добавляли 100 мл этилового эфира. Осажденное таким образом нерастворившееся вещество собирали путем фильтрации и осушали при пониженном давлении, в результате чего получали 2,17 г (79%) изопропил-5-[2,3-диоксо-7-фтор-1,2,3,4-тетрагидрохиноксалин-1-ил]-валерата.
MC (m/z): 322 (М+).
ЯМР-спектр (ДМСО-d6, внутренний стандарт – ТМС): : 1,16 (6H, д, J=6,1 Гц), 1,60-1,62 (4H, м), 2,32 (2H, т, J=6,7 Гц), 4,01-4,08 (2H, м), 4,87 (1H, кв, J= 6,1 Гц), 7,01-7,05 (1H, м), 7,18 (1J, дд, J=5,5, 8,6 Гц), 7,32 (1H, дд, J=2,7, 11 Гц), 12,0 (1H, с).
4) В 10 мл концентрированной серной кислоты, охлажденной в бане из льда/метанола, при перемешивании растворяли 1,96 г (6,07 миллимоль) изопропил-5-[2,3-диоксо-7-фтор-1,2,3,4-тетрагидрохиноксалин-1-ил] валерата. К полученной смеси при температуре, равной -5oC или ниже, по капле добавляли 300 мкл дымящей азотной кислоты, а затем смесь перемешивали в течение 30 минут. Реакционную смесь выливали в ледяную воду. Осажденное таким образом нерастворившееся вещество собирали путем фильтрации, промывали водой, и осушали при пониженном давлении, в результате чего получали 2,06 г (93%) изопропил-5-[2,3-диоксо-7-фтор-6-нитро-1,2,3,4- тетрагидрохиноксалин-1-ил] валерата.
МС (m/z): 367 (М+).
ЯМР-спектр (ДМСО-d6, внутренний стандарт – ТМС): : 1,16 (6H, д, J=6,3 Гц), 1,61-1,63 (4H, м), 2,30-2,32 (2H, м), 4,02-4,14 (2H, м), 4,88 (1H, кв, J=6,3 Гц), 7,66 (1H, д, J=13,7 Гц), 7,90 (1H, д, J= 7,3 Гц), 12,2 (1H, с).
5) Смесь, содержащую 1,88 г (5,11 ммоль) изопропил-5-[2,3-диоксо-7-фтор-6-нитро-1,2,3,4-тетрагидрохиноксалин-1-ил]валерата, 765 мг имидазола, и 15 мл ДМФ, перемешивали при нагревании в масляной бане (70oC) в течение десяти часов в потоке аргона. Реакционную смесь охлаждали до комнатной температуры и концентрировали при пониженном давлении до половины от первоначального объема. Полученный остаток выливали в ледяную воду. Осажденное нерастворившееся вещество собирали путем фильтрации, промывали водой и осушали при пониженном давлении. Приблизительно к 2,01 г полученного соединения в потоке газа аргона добавляли 8 мл тетрагидрофурана и 20 мл 1 н. водного раствора гидроксида натрия, и эту смесь перемешивали в течение 5 часов. Полученную реакционную смесь доводили до pH 5-6 путем добавления водного раствора соляной кислоты. После осаждения нерастворившегося вещества реакционную смесь нагревали до получения гомогенного раствора, а затем фильтровали. Фильтрат концентрировали при пониженном давлении. Полученный остаток перекристаллизовывали из 10 мл воды, в результате чего получали 1,15 г 5-[2,3-диoкco-7-(1H-имидaзoл-1-ил)-6-нитро-1,2,3,4-тетрагидрохиноксалин-1-ил] валериановой кислоты 1HCl 0,2H2O (54%).
Т. пл.: 236-237oC.
Элементный анализ для C16H15N5O6 HCl 0,2H2O (%):Вычислено: C 46,49; H 4,00; N 16,94; C 18,56 найдено: C 46,34; H 3,95; N 16,88; Cl 8,69 Пример 26 9,64 г (86%) этил-6-(5-(фтор-2-нитрофениламино)гексаноата получали способом, описанным в Примере 1-1, за исключением того, что использовали 7,38 г гидрохлорида этил-6-аминогексаноата, 100 мл тетрагидрофурана, 26,3 мл триэтиламина, 35 мл диметилформамида и 6,00 г 2,4-дифторнитробензола. МС (m/z): 298 (М+). ЯМР-спектр (CDCl3, внутренний стандарт – ТМС): 1: 1,10-1,97 (9H, м), 2,34 (2H, т, J=6,5 Гц), 3,10-3,42 (2H, м), 4,14 (2H, кв, J=7,1 Гц), 6,22-6,62 (2H, м), 8,00-8,35 (2H, м).
2) 1,75 г (32%) этил-6-(2,3-диоксо-7-фтор-1,2,3,4-тетрагидрохиноксалин-1-ил)гексаноата получали способом, описанным в Примере 1-2, за исключением того, что использовали 5,00 г этил-6-(5-фтор-2-нитрофениламино)гексаноата.
MC (m/z) 323 (М++1).
ЯМР-спектр (ДМСО-d6, внутренний стандарт – ТМС): : 0,95-1,83 (9H, м), 2,10-2,45 (2H, м), 3,86-4,28 (4H, м), 6,90-7,46 (3H, м), 11,95-12,15 (1H, шир.).
3) 1,04 г (91%) этил-6-(2,3-диоксо-7-фтор-6-нитро-1,2,3,4-тетрагидрохиноксалин-1-ил)гексаноата получали способом, описанным в Примере 1-3, за исключением того, что использовали 1,00 г этил-6-(2,3-диоксо-7-фтор-1,2,3,4-тетрагидрохиноксалин-1-ил)гексаноата. MC(m/z): 368 (М++1).
ЯМР-спектр (ДМСО-d6, внутренний стандарт – ТМС): : 0,90-1,82 (9H, м), 2,02-2,50 (2H, м), 3,76-4,33 (4H, м), 7,66 (1H, д, J= 13,7 Гц), 7,90 (1H, д, J= 7,4, Гц), 12,13-12,40 (1H, шир.).
4) 318 мг (74%) 6-[2,3-диоксо-7-(1H-имидазол-1-ил)-6-нитро-1,2,3,4-тетрагидрохиноксалин-1-ил] гексановой кислоты 0,9H2О получали способом, описанным в Примере 1-4, за исключением того, что использовали 392 мг этил-6-(2,3-диоксо-7- фтор-6-нитро-1,2,3,4-тетрагидрохиноксалин-1-ил)гексаноата, 160 мг имидазола и 2,5 мл ДМФ.
Т.пл.: 120-123oC.
Элементный анализ для C17H17N5O6 0,9 H2O (%):Вычислено: C 50,60; H 4,70; N 17,35 найдено: C 50,63; H 4,38; N 17,32. MC (m/z): 388 (М+ + 1). ЯМР-спектр (ДМСО-d6, внутренний стандарт – ТМС): : 1,20-1,32 (2H, м); 1,48-1,59 (2H, м), 1,77-1,89 (2H, м), 2,19 (2H, T,J=7,3 Гц), 4,34 (2H, т, J= 7,3 Гц), 7,09 (1H, с), 7,43 (1H, с), 7,90 (1H, с), 8,11 (1H, с), 8,51 (1H, с), 8,66 (1H, с), 11,97 (1H, с).
Пример 27К смеси, содержащей 0,19 мл 30%-ного водного раствора перекиси водорода и 1,2 мл 1 н. водного раствора гидроксида натрия добавляли 150 мг 2-[6-циано-2,3-диоксо-7-(1H-имидазол-1-ил-1,2,3,4-тетрагидрохиноксалин-1-ил] уксусной кислоты, и эту смесь перемешивали при комнатной температуре в течение 30 минут. Реакционную смесь доводили до pH 1 путем добавления 1 н. соляной кислоты. Осажденные таким образом кристаллы собирали путем фильтрации, промывали водой и осушали при пониженном давлении, в результате чего получали 138 мг (81%) 2-(6-карбамоил-2,3-диоксо-7-(1H-имидазол-1-ил-1,2,3,4- тeтpaгидpoxинoкcaлин-1-ил]уксусной кислоты 1,4H2O.
Т.пл.: > 300oC.
Элементный анализ для C14H11N5O5 1,4H2O (%):Вычислено: C 47,44; H 3,92; N 19,76 найдено: C 47,36; H 3,82; N 19,88. MC (m/z): 330 (М++1). ЯМР-спектр (ДМСО-d6, внутренний стандарт – ТМС): : 4,94 (2H, с), 7,04 (1H, с), 7,26-7,34 (2H, м), 7,45 (1H, с), 7,51 (1H, с), 7,72-7,80 (2H, м), 12,39 (1H, с).
Пример 281) В 16 мл концентрированной серной кислоты растворяли 3,29 г (11,8 ммоль) этил-4-(2,4-дифторфенокси)бензоата при температуре, не превышающей 5oC. К полученной смеси при перемешивании добавляли 520 микролитров дымящей азотной кислоты при температуре -5oC или ниже, а затем эту смесь перемешивали в течение 30 минут при той же температуре. Полученную реакционную смесь выливали в ледяную воду, а нерастворившееся осажденное вещество собирали путем фильтрации. Полученное соединение растворяли в хлороформе. Затем раствор последовательно промывали водой и солевым раствором, осушали безводным сульфатом натрия, и концентрировали при пониженном давлении. Полученный остаток очищали посредством колоночной хроматографии на силикагеле (проявляющий растворитель: гексан: этилацетат = 8:1), в результате чего получали 2,42 г (63%) этил-4-(2,4-дифтор-5-нитрофенокси)-бензоата. ЯМР-спектр (CDCl3, внутренний стандарт – ТМС): : 1,40 (3H, т, J=7,3 Гц), 4,38 (2H, кв, J=7,3 Гц), 7,02 (2H, д, J=9,2 Гц), 7,21 (1H, т (дд), J= 9,8 Гц), 7,91 (1H, т(дд), J=7,6 Гц), 8,08 (2H, д, J=9,2 Гц).
МС (m/z): 323 (М+).
2) Смесь, содержащую 2,38 г (7,36 ммоль) этил-4-(2,4-дифтор-5- нитрофенокси)бензоата, 1,03 г гидрохлорида этилового эфира глицина, 30 мл тетрагидрофурана, 10 мл диметилформамида, и 2,06 мл триэтиламина, нагревали с обратным холодильником в течение 10 часов. После охлаждения реакционную смесь разводили этилацетатом. Нерастворившееся вещество удаляли путем фильтрации, а затем фильтрат концентрировали при пониженном давлении. Полученный остаток растворяли в этилацетате. Полученный раствор последовательно промывали водой и солевым раствором, а затем осушали безводным сульфатом натрия, и концентрировали при пониженном давлении. Полученный остаток очищали с помощью колоночной хроматографии на силикагеле (проявляющий растворитель: гексан/дихлорметан/этилацетат = 8:2:1), в результате чего получали 1,81 г этилового эфира N-[4-(4-этоксикарбонилфенокси)- 5-фтор-2-нитрофенил] глицина (61%).
МС (m/z): 406 (М+).
ЯМР-спектр (CDCl3, внутренний стандарт – ТМС): : 1,34 (3H, т, J=7,3 Гц), 1,38 (3H, т, J=7,0 Гц), 4,09 (2H, д, J=2,9 Гц), 4,32 (2H, кв, J=7,3 Гц), 4,36 (2H, кв, J=7,0 Гц), 6,52 (2H, д, J=12,2 Гц), 6,95 (2H, д, J=9,1 Гц), 8,03 (2H, д, J=9,1 Гц), 8,11 (1H, д, J=11,6 Гц), 8,51 (1H, шир.с.).
3) Смесь, содержащую 1,78 г (4,39 ммоль) этилового эфира N-[4-(4-этоксикарбонилфенокси)-5-фтор-2-нитрофенил] -глицина, 896 мг имидазола и 20 мл ДМФ, перемешивали при нагревании в масляной бане (70oC) в течение 12 часов. После охлаждения реакционную смесь концентрировали при пониженном давлении. Полученный остаток растворяли в этилацетате. Затем раствор последовательно промывали водой и солевым раствором, осушали безводным сульфатом натрия, и концентрировали при пониженном давлении. Полученный остаток очищали с помощью хроматографии на колонках с силикагелем (проявляющий растворитель: хлороформ +0-1% метанол) и получали 1,49 г (75%) этилового эфира N-[4-(4-этоксикарбонилфенокси)-5-(1H-имидазол-1-ил)-2-нитрофенил]глицина.
MC (m/z) 454 (М+).
ЯМР-спектр (ДМСО-d6, внутренний стандарт – ТМС); : 1,34 (3H, т, J=7,3 Гц), 1,37 (3H, т, J=7,2 Гц), 4,14 (2H, д, J=4,9 Гц), 4,31 (2H, кв, J=7,3 Гц), 4,33 (2H, кв, J=7,2 Гц), 6,74 (1H, с), 6,88 (2H, д, J=9,2 Гц), 7,10 (1H, с), 7,22 (1H, с), 7,83 (1H, с), 7,95 (2H, д, J=9,2 Гц) 8,11 (1H, с), 8,46-9,48 (1H, м).
4) Смесь, содержащую 1,46 г (3,19 ммоль) этилового эфира N-[4-(4-этоксикарбонилфенокси)-5-(1H-имидазол-1-ил)-2-нитрофенил] глицина, 100 мл тетрагидрофурана, и 410 мг 10% палладия-на-угле, перемешивали при комнатной температуре и при нормальном давлении в атмосфере водорода в течение 6 часов. После завершения реакции катализатор удаляли путем фильтрации. К фильтрату добавляли 2,02 мл триэтиламина, и эту смесь охлаждали льдом в потоке газа аргона. К реакционной смеси при перемешивании по капле добавляли смесь 1,37 мл этилхлорглиоксилата и 15 мл тетрагидрофурана. Полученную реакционную смесь перемешивали еще два часа. После удаления нерастворившегося вещества путем фильтрации, фильтрат концентрировали при пониженном давлении. К полученному остатку добавляли 100 мл этанола, и смесь нагревали с обратным холодильником в течение 18 часов. После охлаждения реакционную смесь концентрировали при пониженном давлении. Полученный остаток очищали с помощью колоночной хроматографии на силикагеле (проявляющий растворитель: хлороформ + 5-10% метанол), в результате чего получали 1,19 г (78%) этил-2-[2,3-диоксо-6-(4-этоксикарбонилфенокси)-7-(1H-имидазол-1-ил)-1,2,3,4-тетрагидрохигноксалин-1-ил]ацетата.
MC (m/z): 478 (М+).
ЯМР-спектр (CDCl3, внутренний стандарт – ТМС): : 1,22 (3H, т, J=7,0 Гц), 1,30 (3H, т, J=7,0 Гц), 4,18 (2H, кв, J=7,0 Гц), 4,28 (2H, кв, J=7,0 Гц), 5,04 (2H, с), 6,98 (1H, с). 7,04-7,08 (3H, м), 7,41 (1H, с), 7,71 (1H, с), 7,88 (1H, с), 7,90-7,93 (3H, м), 12,24 (1H, с).
Пример 291) В 20 мл диметилформамида растворяли 500 мг 7-фтор-1-гидрокси-6-нитро-2,3(1H, 4H)-хиноксалиндиона. К полученному раствору добавляли 83 мг гидрида натрия, и смесь перемешивали в течение 10 минут. К реакционной смеси добавляли 218 мл этилбромацетата, а затем проводили реакцию в течение двух дней. Полученную реакционную смесь выливали в насыщенный водный раствор хлорида аммония, а затем три раза экстрагировали хлороформом. Органический слой концентрировали, после чего концентрат перекристаллизовывали из 2-пропанола, в результате чего получали 481 мг этил-2-[2,3-диоксо-7-фтор-6-нитро-1,2,3,4-тетрагидрохиноксалинил) окси]ацетата. MC (m/z): 328 (М++1). ЯМР-спектр (ДМСО-d6, внутренний стандарт – ТМС): : 1,23 (3H, т, J=7,2 Гц), 4,19 (2H, кв, J=7,2 Гц), 4,96 (2H, с), 7,73 (1H, д, J=12,4 Гц), 7,91 (1H, д, J=6,8 Гц).
2) Этил-2-[(2,3-диоксо-7-(1H-имидазол-1-ил)-6-нитро-1,2,3,4- тетрагидрохиноксалинил)окси] ацетат получали способом, описанным в Примере 4-4, за исключением того, что использовали этил-2- [(2,3-диоксо-7-фтор-6-нитро-1,2,3,4-тетрагидрохиноксалинил) окси]ацетат.
MC (m/z): 376 (М++1).
ЯМР-спектр (ДМСО-d6, внутренний стандарт – ТМС): : 1,16 (3H, т, J=5,2 Гц), 4,16 (2H, кв, J=5,2 Гц), 4,97 (2H, с), 7,05 (1H, с), 7,11 (1H, с), 7,45 (1H, с), 7,78 (1H, с), 7,95 (1H, с).
3) 2-[(2,3-диоксо-7-(1H-имидазол-1-ил)-6-нитро-1,2,3,4- тeтpaгидpoxинoкcaлинил)oкcи]укcуcнoй кислоты 2 H2О получали способом, описанным в Примере 4-5, за исключением того, что использовали этил-2-[(2,3-диоксо-7-фтор-6-нитро-1,2,3,4- тетрагидрохиноксанолинил)окси]ацетат.
Т.пл.: > 300oC.
ЯМР-спектр (ДМСО-d6, внутренний стандарт – ТМС): : 4,41 (2H, с), 7,08 (1H, с), 7,40 (1H, с), 7,88 (1H, с), 7,92 (1H, с), 8,30 (1H, с).
Пример 301) Этиловый эфир N-(6-хлор-3-нитропиридин-2-ил)глицина получали способом, описанным в Примере 1-1, за исключением того, что использовали 2,6-дихлор-3-нитропиридин и гидрохлорид этилового эфира глицина. MC (m/z): 260 (М++1). ЯМР-спектр (CDCl3 внутренний стандарт – ТМС): : 1,32 (3H, д, J=7,2 Гц), 4,28 (2H, кв, J=7,2 Гц), 4,36 (2H, д, J=5,2 Гц), 6,70 (1H, д, 3=8,0 Гц), 8,38 (1H, д, J=8,0 Гц).
2) Этиловый эфир N-(6-1H-имидазол-1-ил)-3-нитро-пиридин-2-ил)глицина получали способом, описанным в Примере 28-3, за исключением того, что использовали этиловый эфир N-(6-хлор-3-нитропиридин-2-ил)глицина.
MC (m/z): 292 (М++1).
ЯМР-спектр (ДМСО-d6, внутренний стандарт – ТМС): : 1,18 (3H, д, J=7,2 Гц), 4,14 (2H, кв, J=7,2 Гц), 4,32 (2H, д, J=5,2 Гц), 7,17 (1H, с), 7,23 (1H, д, J=9,2 Гц), 7,94 (1H, с), 8,58 (1H, с), 8,64 (1H, д, J =9,2 Гц).
3) Этил-2-(2,3-диоксо-6-(1H-имидазол-1-ил)-1,2,3,4- тетрагидропиридо [2,3-b] пиразин-4-ил)ацетат получали способом, описанным в Примере 1-2, за исключением того, что использовали этиловый эфир N-(6-(1H-имидазол-1-ил)-3-нитропиридин-2-ил)глицина.
MC (m/z): 316 (М+ + 1).
ЯМР-спектр (ДМСО-d6, внутренний стандарт – ТМС): : 1,19 (3H, д, J=6,0 Гц), 4,16 (2H, кв, J=6,0 Гц), 5,06 (2H, с), 7,14 (1H, с), 7,64 (1H, д, J=6,8 Гц), 7,70 (1H, д, J=6,0 Гц), 7,92 (1H, с), 8,53 (1H, с).
4) В 30 мл ацетонитрила растворяли 730 мг этил-2-(2,3-диоксо-6-(1H-имидазол-1-ил)-1,2,3,4-тетрагидропиридо-[2,3-b] пиразин-4-ил)ацетата. При охлаждении в ледяной бане к смеси добавляли 615 мг тетрафторбората нитрония. После перемешивания в ледяной бане в течение 2 часов, реакционную смесь концентрировали. К этому концентрату добавляли 1 н. водный раствор гидроксида калия, а затем смесь перемешивали в течение 2 часов. Полученную реакционную смесь нейтрализовали 1 н. соляной кислотой, а затем очищали с помощью хроматографии на колонке с C18, в результате чего получали 364 мг аммония 2-(2,3-диоксо-6-(1H-имидазол-1-ил)-7-нитро-1,2,3,4-тетрагидропиридо [2,3-b] пиразин-4-ил)-ацетата H2OТ.пл.: 241-245oC ЯМР-спектр (ДМСО-d6, внутренний стандарт – ТМС): : 4,58 (2H, с), 7,05 (1H, с), 7,45 (1H, с), 7,99 (1H, c), 8,12 (1H, c).
Пример 312-(2,3-Диоксо-7-(1H-имидазол-1-ил)-6-нитро-1,2,3,4- тетрагидрохиноксалинил)пропионовой кислоты 1HCl 1H2O получали способом, описанным в Примере 1, за исключением того, что использовали 2,4-дифторнитробензол и гидрохлорид этилового эфира аланина.
Т.пл.: 129-133oC.
ЯМР-спектр (ДМСО-d6, внутренний стандарт – ТМС): : 2,50 (2H, д, J=5,6 Гц), 4,24 (1H, кв, J=5,6 Гц), 6,89 (1H, с), 7,79 (1H, с), 7,88 (1H, с), 7,99 (1H, с), 8,36 (1H, с).
Пример 32Этил-2-(2,3-диоксо-7-(1H-имидазол-1-ил)-6-нитро-1,2,3,4- тетрагидрохиноксалинил)-3-(4-нитрофенил)пропионат получали способом, описанным в Примере 1, за исключением того, что использовали 2,4-дифторнитробензол и гидрохлорид этилового эфира фенилаланина. MC (m/z): 495 (М+ + 1). ЯМР-спектр (ДМСО-d6, внутренний стандарт – ТМС): : 0,90-1,30 (3H, шир. ), 3,15-3,12 (2H, шир.), 4,10-4,40 (1H, шир.), 4,58 (1H, шир.), 6,52 (1H, д, J= 10,8 Гц), 7,36 (1H, д, J=6,0 Гц), 7,48 (2H, д, J=8,0 Гц), 7,71 (1H, с), 7,83 (1H, с), 7,96 (1H, с), 8,13 (2H, д, J=6,8 Гц).
Пример 33Конечный побочный продукт Примера 23-2 перекристаллизовывали из 1 н. водного раствора соляной кислоты, в результате чего получали 2-[2,3-диоксо-7-(1H-имидазол-1-ил)-5-нитро-1,2,3,4-тетрагидрохиноксалин-1-ил] уксусную кислоту 0,5HCl 0,5H2O.
Температура плавления: 268oC (с разлож.) (1 н. HCl)Элементный анализ для C13H9N5O6 0,5HCl 0,5H2OВычислено: C 43,56; H 2,95; N 19,54; Cl 4,94 найдено: C 43,81; H 2,88; N 19,57; Cl 5,17. MC (n/z): 332 (M+ + 1) ЯМР-спектр (ДМСО-d6, внутренний стандарт ТМС): : 5,06 (1H, с), 7,58 (1H, с), 8,06 (1H, с), 8,20 (1H, с) 8,35 (1H, с), 9,19 (1H, с).
Химические структурные формулы каждого из соединений, полученных в Примерах, представлены в таблицах в конце текста.
Каждое из нижеприведенных соединений может быть получено способом, в основном, аналогичным способам получения, проиллюстрированным в настоящем описании или в Примерах, либо эти соединения могут быть получены способами, имеющими небольшие модификации, очевидные для каждого специалиста1) 2-[2,3-диоксо-7-(4-карбоксифенокси)-6-(1H-имидазол-1-ил)-1,2,3,4- тетрагидрохиноксалин-1-ил]уксусная кислота; 2) 2-[2,3-диоксо-7-(4-карбоксибензилокси)-6-(1H-имидазол-1-ил) – 1,2,3,4-тетрагидрохиноксалин-1-ил]уксусная кислота; 3) 5-[2,3-диоксо-7-(1H-имидазол-1-ил)-6-нитро-1,2,3,4- тетрагидрохиноксалин-1-ил]-2,2-диметилпентановая кислота; 4) Этил-5-[2,3.-диоксо-7-(1H-имидазол-1-ил)-6-нитро-1,2,3,4- тетрагидрохиноксалин-1-ил]валерат; 5) 5- [2,3-диоксо-7-(1H-имидазол-1-ил)-6-нитро-1,2,3,4- тетрагидрохиноксалин-1-ил] пентанамид; 6) 5-[2,3-диоксо-7-(1H-имидазол-1-ил)-6-нитро-1,2,3,4- тетрагидрохиноксалин-1-ил]-2,4-диметилпентановая кислота; 7) 5-[2,3-диоксо-7-(1H-имидазол-1-ил)-6-нитро-1,2,3,4- тeтpaгидpoxинoкcaлин-1-ил]-4-фенилпентановая кислота. 8) 4-[(2,3. -диоксо-7-(1H-имидазол-1-ил)-6-нитро-1,2,3,4- тетрагидрохиноксалинил)окси]масляная кислота. Примеры композиций Ниже приводится пример получения композиции настоящего изобретения в качестве фармацевтического препарата. Лиофилизованный препарат в одном сосуде: Соединение Примера 1 – 50 мг (0,5%) Лимонная кислота – 210 мг (2,1 %) D-маннитол – 100 мг (1,0 %) Всего – 10 мл В 800 мл воды последовательно добавляли для растворения 5 г соединения Примера 1, 21 г лимонной кислоты и 10 г D-маннитола. Затем добавляли воду до получения полного количества 1000 мл. После стерильной фильтрации, 10-миллилитровую порцию раствора выливали в сосуд из темного стекла и лиофилизовали, в результате чего получали концентрированный препарат для инъекций, который необходимо растворить непосредственно перед использованием. Формула изобретения
![]() где Х – атом азота или группа формулы СН; R – имидазолильная группа или ди(низший алкил)аминогруппа; R1 – (1) атом галогена, нитрогруппа, цианогруппа, карбоксильная группа, аминогруппа, моно- или ди(низший алкил)аминогруппа, низшая алканоильная группа, низшая алкилсульфонильная группа или карбамоильная группа; (2) низшая алкильная группа или низшая алкоксильная группа, которая может быть замещена атомами галогена, карбоксильной группой или фенильной группой; (3) фенилоксигруппа, которая может быть замещена низшей алкоксикарбонильной группой; R2 – гидроксильная группа, низшая алкоксильная группа, аминогруппа; А – низшая алкиленовая группа, которая может быть замещена нитрофенильной группой, или группа формулы -О-В и В – низшая алкиленовая группа; при условии, что исключается случай, когда R представляет собой имидазолильную группу, R1 представляет собой цианогруппу, А представляет собой этиленовую группу, а R2 является гидроксильной группой; или их соли, гидраты или сольваты. 2. Соединения или соли по п.1, где R представляет собой имидазолильную группу, а R1 представляет собой: (1) атом галогена, нитрогруппу, цианогруппу, карбоксильную группу, моно- или ди(низший алкил)аминогруппу, низшую алкилсульфонильную группу или карбамоильную группу; (2) низшую алкильную группу или низшую алкоксильную группу, которая может быть замещена карбоксильной группой или фенильной группой; (3) фенилоксигруппу, которая может быть замещена низшей алкоксикарбонильной группой. 3. Соединения или соли по п.1, где R представляет собой 1-имидазолильную группу, Х представляет собой группу формулы СН, R1 представляет собой атом галогена, нитрогруппу, трифторметильную группу, цианогруппу или бензилоксигруппу. 4. Соединение по п.1, выбранное из группы, включающей 2-(2,3-диоксо-7-(1Н-имидазол-1-ил)-6-нитро-1,2,3,4-тетрагидрохиноксалин-1-ил)уксусную кислоту или ее соль, 2-(2,3-диоксо-7-(1Н-имидазол-1-ил)-6-трифторметил-1,2,3,4-тетрагидрохиноксалин-1-ил)уксусную кислоту или ее соль, 2-(6-бензилокси-2,3-диоксо-7-(1Н-имидазол-1-ил)-1,2,3,4-тетрагидрохиноксалин-1-ил)уксусную кислоту или ее соль. 5. Фармацевтическая композиция, обладающая активностью, ингибирующей связывание с АМРА-рецептором и подавляющей нейротоксичное действие каиновой кислоты и рефлекторные слуховые эпилептические припадки, содержащая активный ингредиент и фармацевтически приемлемый носитель, отличающаяся тем, что содержит в качестве активного ингредиента эффективное количество соединения по п.1 или его фармацевтически приемлемой соли. 6. Фармацевтическая композиция по п.5, отличающаяся тем, что является антагонистом глутаматного рецептора. 7. Фармацевтическая композиция по п.5 или 6, отличающаяся тем, что является антагонистом АМРА-рецептора. 8. Фармацевтическая композиция по п.5 или 6, отличающаяся тем, что является ингибитором нейротоксичности, индуцируемой каиновой кислотой. Приоритет по пунктам и признакам: 27.09.94 по пп.1 – 8 при Х – группа СН, R – имидазолильная группа, R1 – нитрогруппа, А – низшая алкиленовая группа, R2 – гидроксильная группа; 19.03.95 по пп.1 – 8 при Х – группа СН, R – ди(низший алкил)аминогруппа, R1 – атом галогена, цианогруппа, карбоксильная группа, аминогруппа, моно- или ди(низший алкил)аминогруппа, низшая алканоильная группа, или низшая алкильная или низшая алкоксильная группа, которая может быть замещена атомом галогена, карбоксильной группой или фенильной группой, R2 – низшая алкоксильная группа, аминогруппа, А – низшая алкиленовая группа. РИСУНКИ
PD4A – Изменение наименования обладателя патента Российской Федерации на изобретение
(73) Новое наименование патентообладателя:
Извещение опубликовано: 27.05.2006 БИ: 15/2006
RH4A – Выдача дубликата патента Российской Федерации на изобретение
Дата выдачи дубликата: 17.04.2006
Наименование лица, которому выдан дубликат:
Извещение опубликовано: 20.06.2006 БИ: 17/2006
MM4A – Досрочное прекращение действия патента СССР или патента Российской Федерации на изобретение из-за неуплаты в установленный срок пошлины за поддержание патента в силе
Дата прекращения действия патента: 26.09.2007
Извещение опубликовано: 20.07.2010 БИ: 20/2010
|
||||||||||||||||||||||||||


105 кл. /см/. Через 24 часа сыворотку заменяли бессывороточной средой. Замену среды проводили два раза в неделю. Клетки культивировали в течение по крайней мере 6 дней, после чего проводили следующий тест.
(2) Ингибирование нейротоксичности, индуцируемой каиновой кислотой:
1,33 (3H, т, J=6,5 Гц), 4,04 (2H, д, J=4,9 Гц), 4,31 (2H, кв., J=6,5 Гц), 6,34 (1H, дд, J=2,4, 11,0 Гц), 6,44 (1H, м), 8,25 (1H, дд, J=6,1 и 9,7 Гц), 8,55 (1H,c).
2) Смесь, содержащую 6,52 г этилового эфира N-(2-нитро-5-фторфенил) глицина, 100 мл тетрагидрофурана, 50 мл метанола и 500 мг 10%, палладия-на-угле, перемешивали в атмосфере водорода, в результате чего восстанавливали нитрогруппу. Полученную реакционную смесь фильтровали, и фильтрат концентрировали при пониженном давлении. К полученному остатку добавляли 200 мл хлороформа и 7,54 мл триэтиламина, и эту смесь растворяли. К полученной смеси, в атмосфере аргона, при охлаждении льдом и при перемешивании, по капле добавляли раствор, содержащий 30 мл хлороформа в 7,35 г этилхлорглиоксилата. После завершения добавления, перемешивание продолжали в течение одного часа при комнатной температуре, а затем смесь разводили хлороформом. Разбавленный раствор последовательно промывали водой, насыщенным водным раствором бикарбоната натрия, насыщенным водным раствором хлорида аммония и солевым раствором, после чего осушали безводным сульфатом натрия, и концентрировали при пониженном давлении. К полученному остатку добавляли 150 мл этанола и 1 мл концентрированной соляной кислоты, а затем смесь нагревали с обратным холодильником в течение одного часа. После охлаждения полученные кристаллы собирали путем фильрации и осушали при пониженном давлении, в результате чего получали 5,80 г (80%) этил-2-(7-фтор-2,3-диоксо-1,2,3,4-тетрагидрохинаксолин-1-ил) ацетата.
MC (m/z): 266 (М+).
ЯМР-спектр (ДМСО-d6, внутренний стандарт -TMC):
-аланина, 20 мл диметилформамида, 12,0 г 2,4-дифторнитробензола, 7,58 г триэтиламина и 20 мл тетрагидрофурана.
MC (m/z): 242 (М+).
ЯМР-спектр (CDCl3, внутренний стандарт – ТМС):
-аминобутирата, 20 мл тетрагидрофурана, 6,73 г триэтиламина, 10 мл диметилформамида, и 9,45 г 2,4-дифторнитробензола.
MC (m/z): 270 (М+).
ЯМР-спектр (CDCl3), внутренний стандарт – ТМС): 