Патент на изобретение №2149872
|
||||||||||||||||||||||||||
(54) ПИРИДИЛТИОСОЕДИНЕНИЯ ДЛЯ БОРЬБЫ С БАКТЕРИЯМИ HELICOBACTER
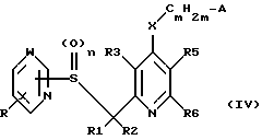
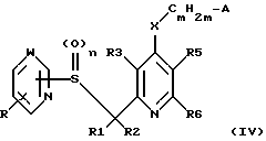
(57) Реферат: Описываются соединения формулы I ![]() где заместители и символы имеют указанные в формуле значения, предназначенные для борьбы с бактериями Helicobacter. Указанные новые соединения получают либо взаимодействием соединения формулы II с соединением формулы III, либо взаимодействием соединения формулы IV с соединением формулы V. Полученные соединения при необходимости окисляют и/или переводят в соли и/или полученные соли переводят в свободные соединения. 6 з.п.ф-лы, 21 табл. ![]() ![]() ![]() H[[Y-CrH2r]t-[Z-CuH2u]v-R4 (V) Область техники, к которой относится изобретение Изобретение относится к соединениям, предназначенным для применения в фармацевтической промышленности в качестве действующих веществ при изготовлении лекарственных средств. Описание изобретения Предметом настоящего изобретения являются соединения формулы I (см. прилагаемый лист с формулами), где R означает водород, C1-C4алкил, галоген, трифторметил, C1-C4алкоксикарбонил, карбокси или циан, R1 означает водород или C1-C4алкил, R2 означает водород или C1-C4алкил, R3 означает водород, C1-C4алкил, C1-C4алкокси или галоген, R4 означает моно- либо ди-C1-C4алкилкарбамоил или -тиокарбамоил, N-C1-C4алкил-N’-цианамидино, 1-N-C1-C4алкиламино-2-нитроэтилен, N-2-пропинил-N’-цианамидино, аминосульфониламидино, радикал – N(R7)R8 или представляет собой замещенный радикалами R9 и R10 цикл либо бицикл, выбранный из группы, включающей бензол, нафталин, фуран, тиофен, пиррол, оксазол, изоксазол, тиазол, тиазолин, изотиазол, имидазол, имидазолин, пиразол, триазол, тетразол, тиадиазол, тиадиазол-1-оксид, оксадиазол, пиридин, пиридин-N-оксид, пиримидин, триазин, пиридон, бензимидазол, имидазопиридин, бензтиазол, бензоксазол и хинолин, R5 означает водород, C1-C4алкил, C1-C4алкокси или галоген, R6 означает водород или C1-C4алкил, R7 означает C1-C7алкил, C3-C7циклоалкил или Ar-C1-C4алкил и R8 означает C1-C7алкил, C3-C7циклоалкил или Ar-C1-C4алкил и где Ar означает фенил, фурил, нафтил, тетрагидронафтил или замещенный радикалами R11, R12 и R13 фенил, или же R7 и R8 вместе и включая атом азота, по которому они оба связаны, представляют собой незамещенный либо замещенный 5- или 6-членный гетеро(би)цикл, выбранный из группы, включающей пиперидин, пиперазин, морфолин, индолин, 1,2,3,4-тетрагидрохинолин и 1,2,3,4-тетрагидроизохинолин, причем – замещенный пиперидиновый радикал замещен одним, двумя или тремя идентичными либо различными заместителями, выбранными из группы, включающей C1-C4алкил, C1-C4алкоксикарбонил, гидрокси-C1-C4алкил, фенил, замещенный радикалами R11, R12 и R13 фенил, фенил-C1-C4алкил, бензоил, замещенный галогеном бензоил и карбокси, – замещенный пиперазиновый радикал в положении 2, 3, 5 или 6 может быть замещен C1-C4алкильным радикалом, а в положении 4 замещен одним заместителем, выбранным из группы, включающей C1-C4алкил, C3-C7циклоалкил, C3-C7циклоалкил- C1-C4алкил, C1-C4алкоксикарбонил- C1-C4алкил, карбамоил, -CpH(2p-2)-R14 и -CqH2q-R14, – замещенный морфолиновый радикал замещен одним или двумя идентичными либо различными C1-C4алкильными радикалами, – замещенный индолин-1-иловый радикал в положении 2 и/или 3 может быть замещен карбоксильной группой или двумя идентичными либо различными C1-C4алкильными радикалами, а в бензойном фрагменте может быть замещен одним или двумя идентичными либо различными заместителями, выбранными из группы, включающей C1-C4алкил, галоген и нитро, – замещенный 1,2,3,4-тетрагидрохинолиновый радикал замещен одним или двумя идентичными либо различными заместителями, выбранными из группы, включающей C1-C4алкил и галоген, – замещенный 1,2,3,4-тетрагидроизохинолиновый радикал замещен одним или двумя идентичными либо различными заместителями, выбранными из группы, включающей C1-C4алкил, карбокси и фенил, R9 означает водород, C1-C4алкил, гидрокси, C1-C4алкокси, галоген, нитро, гуанидино, карбокси, C1-C4алкоксикарбонил, замещенный радикалом R15 C1-C4алкил или -N(R16)R17, R10 означает водород, C1-C4алкил, гидрокси, C1-C4алкокси, галоген или трифторметил, R11 означает водород, C1-C4алкил, гидрокси, C1-C4алкокси, C1-C4алкилкарбонил, галоген, C1-C4алкиламино или нитро, R12 означает водород, C1-C4алкил, гидрокси, C1-C4алкокси, галоген или нитро и R13 означает водород или трифторметил, R14 представляет собой замещенный радикалами R9 и R10 цикл либо бицикл, выбранный из группы, включающей бензол, нафталин, фуран, тиофен, пиррол, оксазол, изоксазол, тиазол, тиазолин, изотиазол, имидазол, имидазолин, пиразол, триазол, тетразол, тиадиазол, оксадиазол, пиридин, пиридин-N-оксид, пиримидин, бензимидазол и хинолин, R15 означает гидрокси, C1-C4алкокси, карбокси, C1-C4алкоксикарбонил или -N(R16)R17, где R16 означает водород, C1-C4алкил или -CO-R18 и R17 означает водород или C1-C4алкил, или же R16 и R17 вместе и включая атом азота, по которому они оба связаны, представляют собой пиперидиновый или морфолиновый радикал, R18 означает водород, C1-C4алкил или C1-C4алкокси, W означает CH или N, X означает O (кислород), N-C1-C4алкил или S, Y означает O (кислород), N-C1-C4алкил, S, SO или SO2, Z означает O (кислород), N-C1-C4алкил, S, SO или SO2, m означает число в интервале от 1 до 7, n означает число 0, 1 или 2, r означает число в интервале от 2 до 4, t означает число 0 или 1, u означает число в интервале от 0 до 4, v означает число 0 или 1, p означает число в интервале от 2 до 4 и q означает число в интервале от 0 до 4, и их соли, причем t и/или v не означают число 1, если m означает число 1, Z не имеет значение SO или SO2, если u означает число 0, и причем R4 не представляет собой -N(R7)R8 или связанный через N (атом азота) цикл либо бицикл, если Z означает O, S, SO или SO2, v число 1 и u число 0. C1-C4алкил представляет собой прямоцепочечные либо разветвленные алкильные радикалы с 1-4 атомами углерода. В качестве примеров можно назвать такие радикалы, как бутил, изобутил, втор-бутил, трет-бутил, пропил, изопропил, этил и метил. Галоген в контексте настоящего изобретения представляет собой бром, хлор и фтор. C1-C4алкокси представляет собой радикал, содержащий наряду с атомом кислорода один из вышеназванных C1-C4алкильных радикалов. В качестве примеров можно назвать метоксильный и этоксильный радикалы. C1-C4алкоксикарбонил представляет собой радикал, содержащий наряду с карбонильной группой один из указанных выше C1-C4алкоксильных радикалов. В качестве примеров таковых можно назвать метоксикарбонил и этоксикарбонил. Моно- или ди-C1-C4алкилкарбамоильные радикалы представляют собой карбамоильные радикалы (-CO-NH2), замещенные одним или двумя идентичными либо различными C1-C4алкильными радикалами из числа указанных выше. В качестве примеров таких радикалов можно назвать метилкарбамоил, изопропилкарбамоил и диметилкарбамоил. Моно- или ди-C1-C4алкилтиокарбамоильные радикалы представляют собой тиокарбамоильные радикалы (-CS-NH2), замещенные одним или двумя идентичными либо различными C1-C4алкильными радикалами из числа указанных выше. В качестве примеров можно назвать метилтиокарбамоильный, изопропилтиокарбамоильный и диметилтиокарбамоильный радикалы. В качестве N-C1-C4алкил-N’-цианамидинового радикала можно назвать, например, прежде всего N-метил-N’-цианамидиновый радикал [-C(=NCN)-NH-CH3]. В качестве 1-N-C1-C4алкиламино-2-нитроэтиленового радикала можно назвать, например, прежде всего 1-N-метиламино-2-нитроэтиленовый радикал [-C(NHCH3)= CHNO2] , причем остатки – NHCH3 и -NO2 могут находиться в цис- или транс-положении относительно друг друга. C1-C7алкил представляет собой прямоцепочечные либо разветвленные алкильные радикалы с 1-7 атомами углерода. В качестве примеров можно назвать радикалы: гептил, изогептил (2-метилгексил), гексил, изогексил (2-метилпентил), неогексил (2,2-диметилбутил), пентил, изопентил (3-метилбутил), неопентил (2,2-диметилпропил), бутил, изобутил, втор-бутил, трет-бутил, пропил, изопропил, этил и метил. C3-C7циклоалкил представляет собой циклоалкильные радикалы с 3-7 атомами углерода, т.е. циклопропил, циклобутил, циклопентил, циклогексил и циклогептил. Ar-C1-C4алкил представляет собой один из вышеназванных, замещенных радикалом Ar-C1-C4алкильных радикалов. В качестве примеров можно назвать фенетил, бензил, 2-фурилметил (=фурфурил) и 1-нафтилметил. Гидрокси-C1-C4алкил представляет собой один из вышеназванных C1-C4алкильных радикалов, замещенный гидроксигруппой. В качестве примеров таковых можно назвать гидроксиметил, 2-гидроксиэтил или 3-гидроксипропил. C3-C7циклоалкил-C1-C4алкил представляет собой один из вышеназванных C1-C4алкильных радикалов, замещенный одним из указанных выше C3-C7циклоалкильных радикалов. В качестве примеров таковых можно назвать циклопропилметил, циклогексилметил и циклогексилэтил. C1-C4алкоксикарбонил-C1-C4алкил представляет собой один из вышеназванных C1-C4алкильных радикалов, замещенный одним из вышеуказанных выше C1-C4алкоксикарбонильных радикалов. В качестве примера таковых можно назвать этоксикарбонилметил. В качестве примеров замещенных радикалом R15 C1-C4алкильных радикалов можно назвать такие, как 2-метоксикарбонилэтил, 2-этоксикарбонилэтил, метоксикарбонилметил, карбоксиметил, 2-гидроксиэтил, метоксиметил, 2-метоксиэтил, диметиламинометил и 2-диметиламиноэтил. C1-C4алкилкарбонил представляет собой радикал, содержащий наряду с карбонильной группой один из вышеуказанных C1-C4алкильных радикалов. В качестве примера можно назвать ацетил. В качестве радикалов -CmH2m-, -CrH2r-, -CuH2u– и CqH2q– могут рассматриваться прямоцепочечные или разветвленные радикалы. В качестве таковых можно назвать, например, гептилен, изогептилен (2-метилгексилен), гексилен, изогексилен (2-метилпентилен), неогексилен (2,2-диметилбутилен), пентилен, изопентилен (3-метилбутилен), неопентилен (2,2-диметилпропилен), бутилен, изобутилен, втор-бутилен, трет-бутилен, пропилен, изопропилен, этилен и метилен. В качестве радикалов -CmH2m– следует назвать предпочтительно этиленовый (-CH2CH2-), бутиленовый (-CH2CH2CH2CH2-) и прежде всего пропиленовый (-CH2CH2CH2-) радикалы. В качестве радикала -CrH2r– предпочтительно следует назвать метилен, соответственно, в другом предпочтительном варианте выполнения r означает число 0, вследствие чего обозначение CrH2r отсутствует, соответственно, представлено в виде прямой связи. В другом предпочтительном варианте выполнения u представляет собой число 0, вследствие чего обозначение CuH2u отсутствует или представлено в виде прямой связи и радикал R4 непосредственно связан с группой Z. В одном из вариантов выполнения t означает число 1. В другом варианте выполнения t представляет собой число 0, вследствие чего обозначение Y-CrH2r отсутствует или представлено в виде прямой связи. В другом предпочтительном варианте выполнения v означает число 0, вследствие чего обозначение Z-CuH2u отсутствует, соответственно, представлено в виде прямой связи. В качестве радикалов -CpH(2p-2)– следует назвать винилен, 2-бутенилен, 3-бутенилен и прежде всего 1-пропенилен и 2-пропенилен. В качестве радикала -CqH2q– предпочтительно следует назвать метилен, соответственно, в другом предпочтительном варианте выполнения q означает число 0, вследствие чего обозначение CqH2q отсутствует, соответственно, представлено в виде прямой связи. Заместители R9 и R10 в циклах, соответственно, бициклах R4 могут быть связаны в любом возможном положении. В качестве примеров замещенных радикалами R9 и R10 радикалов R4 можно назвать следующие: 4-метилфенил, 3-диметиламинометилфенил, 3-пиперидинометилфенил, 3-карбоксиметилфенил, 2-диметиламинометил-5-метил-3-фурил, 1-метилпиррол-3-ил, 4,5-диметилоксазол-2-ил, 3,5-диметилизоксазол-4-ил, 4,5-диметилтиазол-2-ил, 4-метил-5-карбоксиметилтиазол-2-ил, 1-метилимидазол-2-ил, 1-метилпиразол-3-ил, 1-(2-диметиламиноэтил)пиразол-3-ил, 5-метил-1,3,4-оксадиазол-2-ил, 1-метил-1,2,3-триазол-4-ил, 1-метил-1,2,4-триазол-3-ил, 1-(2-диметиламино-этил)-1,2,3-триазол-4-ил, 1-метилтетразол-5-ил, 1-(2-диметиламиноэтил)тетразол-5-ил, 1-карбоксиметилтетразол-5-ил, 5-метил-1,3,4-тиадиазол-2-ил, 5-трифторметил-1,3,4-тиадиазол-2-ил, 1-(2-гидроксиэтил)тетразол-5-ил, 2-амино-1,3,4-тиадиазол-2-ил, 3-амино-1,2,4-триазол-5-ил, 4-метил-5-трифторметил-1,2,4-триазол-3-ил, 4-аминопиримидин-2-ил, 3-метил-2-фурил, 2-метил-3-фурил, 5-метил-2-фурил, 5-этил-2-фурил, 3-метокси-2-фурил, 5-диметиламинометил-2-фурил, 5-N-морфолинометил-2-фурил, 5-метоксиметил-2-фурил, 5-гидроксиметил-2-фурил, 5-N-пиперидинометил-2-фурил, 5-хлор-2-фурил, 5-фтор-2-фурил, 5-метил-2-тиенил, 5-хлор-2-тиенил, 3-метил-2-тиенил, 3-амино-2-тиенил, 3-гуанидино-2-тиенил, 3-метокси-2-тиенил, 2-метил-3-тиенил, 5-диметиламинометил-2-тиенил, 5-N-морфолинометил-2-тиенил, 5-метил-2-пирролил, 2,5-диметил-1-пирролил, 1,5-диметил-2-пирролил, 1-метил-2-пирролил, 2-амино-4-тиазолил, 2-метил-4-тиазолил, 2-амино-5-метил-4-тиазолил, 4-метил-5-тиазолил, 2-диметиламинометил-4-тиазолил, 2-гуанидино-4-тиазолил, 2-формиламино-4-тиазолил, 2-N-морфолинометил-4-тиазолил, 4-метил-5-оксазолил, 3-гуанидино-1-пиразолил, 3-гуанидино-4-пиразолил, 2-метил-4-имидазолил, 5-метил-4-имидазолил, 2-метил-1-имидазолил, 2-метил-5-нитро-1-имидазолил, 4,5-диметил-2-имидазолил, 4-гидроксиметил-5-метил-1-имидазолил, 3-метил-1-пиразолил, 5-амино-1,2,4-тиадиазол-3-ил, 4-метокси-2-пиридинил, 4-метокси-3-метил-2-пиридинил и 3,4-диметоксипиридинил. В качестве примеров замещенных радикалами R11, R12 и R13 фенильных радикалов можно назвать следующие: 3,4-дигидрокси-, 3-гидрокси-4-метокси-, 3,4-диметокси-, 2-метокси-, 2-этокси-, 3-метокси-, 4-метокси-, 2-гидрокси-, 3-гидрокси-, 4-гидрокси-, 3,4-дигидрокси-, 4-ацетил-, 4-фтор-, 4-хлор-, 2-хлор-, 3-хлор-, 3,4-дихлор-, 3-трифторметил-, 2-трифторметил-, 2-метил-, 3-метил-, 4-метил-, 2,3-диметил-, 2,4-диметил-, 3,4-диметил-, 2,5-диметил-, 4-нитро-, 2,6-динитро-4-трифторметил- и 5-хлор-2-метиламинофенил. В качестве замещенных пиперидиновых радикалов можно назвать, например, следующие: 2-карбоксипиперидино, 2-н-пропилпиперидино, 5-этил-2-метилпиперидино, 4-гидроксиметил-4-фенилпиперидино, 4-н-пропилпиперидино, 4-(3-фенилпропил)пиперидино, 2,6-диметилпиперидино, 4-фенил-4-пропилоксикарбонилпиперидино, 4-этоксикарбонил-4-фенилпиперидино, 4-карбокси-4-фенилпиперидино, 4-карбоксипиперидино, 4-(4-фторбензоил)пиперидино, 4-(4-хлорбензоил)пиперидино, 2,3-дикарбоксипиперидино, 2,4-дикарбоксипиперидино, 2,6-дикарбоксипиперидино, 2-этоксикарбонилпиперидино, 2-метилпиперидино, 2,6-диметилпиперидино, 2-гидроксиметилпиперидино, 2-этилпиперидино, 2-(2-гидроксиэтил)пиперидино, 3-этоксикарбонилпиперидино и 4-бензилпиперидино. В качестве замещенных пиперазиновых радикалов можно назвать следующие: 4-метилпиперазино, 4-фенилпиперазино, 4-(2-метилфенил)пиперазино, 4-(2,3-диметилфенил)пиперазино, 4-(2-хлорфенил)пиперазино, 4-(2-метоксифенил)пиперазино, 4-(2-этоксифенил)пиперазино, 4-(3-хлорфенил)пиперазино, 4-(4-фторфенил)пиперазино, 4-(4-хлорфенил)пиперазино, 4-(4-метоксифенил)пиперазино, 4-карбамоилпиперазино, 3-метил-4-(4-хлорфенил)пиперазино, 3-метил-4-(4-метоксифенил)пиперазино, 3-метил-4-(4-метилфенил)пиперазино, 4-(2,4-диметилфенил)пиперазино, 4-(3,4-дихлорфенил)пиперазино, 4-(3,4-диметилфенил)пиперазино, 3-метил-4-фенилпиперазино, 3-метил-4-(3-хлорфенил)пиперазино, 4-бензилпиперазино, 4-пропилпиперазино, 4-(3-метилфенил)пиперазино, 4-(3-метоксифенил)пиперазино, 4-(4-метилфенил)пиперазино, 4-(2,5-диметилфенил)пиперазино, 4-циклопропилпиперазино, 4-циклобутилпиперазино, 4-циклопентилпиперазино, 4-циклогексилпиперазино, 4-циклогептилпиперазино, 4-н-бутилпиперазино, 4-изобутилпиперазино, 4-трет-бутилпиперазино, 4-(1-фенилэтил)пиперазино, 4-этоксикарбонилметилпиперазино, 4-(2-фенилэтил)пиперазино, 4-(2-циклогексилэтил)пиперазино, 4-(2-гидроксифенил)пиперазино, 4-(3,4-диметоксифенил)пиперазино, 4-изопропилпиперазино, 3-метил-4-(3-метоксифенил)пиперазино, 4-(4-гидроксифенил)пиперазино, 3-метил-4-(3-метилфенил)пиперазино, 4-(3-гидроксифенил)пиперазино, 4-(2,6-динитро-4-трифторметилфенил)пиперазино, 4-(4-нитрофенил)пиперазино, 4-(4-ацетилфенил)пиперазино, 4-(2-хлор-5-тиенилметил)пиперазино и 4-[2-(2-метил-5-нитро-1-имидазолил)этил]пиперазино. В качестве примера замещенного морфолинового радикала можно назвать, в частности, 3,5-диметилморфолино. В качестве замещенных индолин-1-иловых радикалов можно назвать, например, следующие: 2-карбокси-1-индолинил, 6-фтор-1-индолинил, 5-бром-1-индолинил, 2,7-диметил-1-индолинил, 2-метил-1-индолинил, 5-бром-7-нитро-1-индолинил, 5-нитро-1-индолинил, 2,3-диметил-1-индолинил и 6-нитро-1-индолинил. В качестве замещенного 1,2,3,4-тетрагидрохинолинового радикала можно назвать, например, 2-этоксикарбонил-1,2,3,4-тетрагидро-1-хинолинил, 2-метил-1,2,3,4-тетрагидро-1-хинолинил, 6-метил-1,2,3,4-тетрагидро-1-хинолинил, 6-фтор-2-метил-1,2,3,4-тетрагидро-1-хинолинил, 4-метил-1,2,3,4-тетрагидро-1-хинолинил и 2-фтор-6-метил-1,2,3,4-тетрагидро-1-хинолинил. В качестве замещенного 1,2,3,4-тетрагидроизохинолинового радикала можно назвать, например, 3-карбокси-1,2,3,4-тетрагидро-2-изохинолинил. К солям соединений формулы I, в которых n означает число 0, можно отнести все кислотно-аддитивные соли. Среди таковых следует назвать прежде всего фармакологически приемлемые соли неорганических и органических кислот, обычно применяемых в галенике. Фармакологически неприемлемые соли, образующиеся в качестве первоначальных продуктов при осуществлении способа, например, при получении соединений согласно изобретению в промышленном масштабе, с помощью методов, известных специалисту в данной области техники, могут переводиться в фармакологически приемлемые соли. В качестве таковых пригодны водорастворимые и водонерастворимые кислотно-аддитивные соли с такими кислотами, как, например, соляная кислота, бромистоводородная кислота, фосфорная кислота, азотная кислота, серная кислота, уксусная кислота, лимонная кислота, D-глуконовая кислота, бензойная кислота, 2-(4-гидроксибензоил)бензойная кислота, масляная кислота, сульфосалициловая кислота, малеиновая кислота, лауриновая кислота, яблочная кислота, фумаровая кислота, янтарная кислота, щавелевая кислота, винная кислота, эмбоновая кислота, стеариновая кислота, толуолсульфоновая кислота, метансульфоновая кислота или 3-гидрокси-2-нафтойная кислота, причем при получении солей в зависимости от того, используют ли одно- или многоосновную кислоту, и от того, какую соль требуется получить, кислоты применяют в эквимолярном или несколько в другом количественном соотношении. В качестве солей соединений формулы I, в которых n означает число 1 или 2, и/или соединений с карбоксильной группой могут рассматриваться также соли с основаниями. В качестве примеров таких основных солей можно назвать соли лития, натрия, калия, кальция, алюминия, магния, титана, аммония, меглумина или гуанидиния, причем и в этих случаях при получении солей применяют основания в эквимолярном или несколько в другом количественном соотношении. Среди соединений формулы I следует выделить те из них, где R означает водород, C1-C4алкил или галоген, R1 означает водород, R2 означает водород или C1-C4алкил, R3 означает водород, C1-C4алкил, C1-C4алкокси или галоген, R4 означает моно- либо ди-C1-C4алкилтиокарбамоил, радикал -N(R7)R8 или представляет собой замещенный радикалами R9 и R10 цикл либо бицикл, выбранный из группы, включающей бензол, нафталин, фуран, тиофен, пиррол, оксазол, изоксазол, тиазол, тиазолин, изотиазол, имидазол, имидазолин, пиразол, триазол, тетразол, тиадиазол, тиадиазол-1-оксид, оксадиазол, пиридин, пиридин-N-оксид, пиримидин, триазин, пиридон, бензимидазол, имидазопиридин, бензтиазол, бензоксазол и хинолин, R5 означает водород или C1-C4алкил, R6 означает водород или C1-C4алкил, R7 означает C1-C4алкил и R8 означает Ar-C1-C4алкил, где Ar означает фенил, фурил, нафтил, тетрагидронафтил или замещенный радикалами R11, R12 и R13 фенил, или где R7 и R8 вместе и включая атом азота, по которому они оба связаны, представляют собой незамещенный либо замещенный 5- или 6-членный гетеро(би)цикл, выбранный из группы, включающей пиперидин, пиперазин, 1,2,3,4-тетрагидрохинолин и 1,2,3,4-тетрагидроизохинолин, причем – замещенный пиперидиновый радикал замещен одним, двумя или тремя идентичными либо различными заместителями, выбранными из группы, включающей C1-C4алкил, фенил, замещенный радикалами R11, R12 и R13 фенил и фенил-C1-C4алкил, – замещенный пиперазиновый радикал в положении 4 замещен одним заместителем, выбранным из группы, включающей C1-C4алкил, C1-C4алкоксикарбонил-C1-C4алкил, -CpH(2p-2)-R14 и -CqH2q-R14, – замещенный 1,2,3,4-тетрагидрохинолиновый радикал замещен одним или двумя идентичными либо различными заместителями, выбранными из группы, включающей C1-C4алкил и галоген, – замещенный 1,2,3,4-тетрагидроизохинолиновый радикал замещен одним или двумя идентичными либо различными заместителями, выбранными из группы, включающей C1-C4алкил, карбокси и фенил, R9 означает водород, C1-C4алкил, галоген, нитро, карбокси, C1-C4алкоксикарбонил или замещенный радикалом R15 C1-C4алкил, R10 означает водород или C1-C4алкил, R11 означает водород, C1-C4алкил, гидрокси, C1-C4алкокси, галоген или нитро, R12 означает водород, C1-C4алкил, гидрокси или C1-C4алкокси, R13 означает водород, R14 представляет собой замещенный радикалами R9 и R10 цикл либо бицикл, выбранный из группы, включающей бензол, нафталин, фуран, тиофен, пиррол, оксазол, изоксазол, тиазол, тиазолин, изотиазол, имидазол, имидазолин, пиразол, триазол, тетразол, тиадиазол, оксадиазол, пиридин, пиридин-N-оксид, пиримидин, бензимидазол и хинолин, R15 означает карбокси, C1-C4алкоксикарбонил или -N(R16)R17, где R16 означает водород или C1-C4алкил и R17 означает C1-C4алкил или же R16 и R17 вместе и включая атом азота, по которому они оба связаны, представляют собой пиперидиновый или морфолиновый радикал, W означает CH или N, X означает O (кислород), N-C1-C4алкил или S, Z означает O (кислород), N-C1-C4алкил, S или SO2, m означает число в интервале от 1 до 6, n означает число 0, t означает число 0, u означает число в интервале от 0 до 4, v означает число 0 или 1, p означает число в интервале от 2 до 4 и q означает число в интервале от 0 до 2, и их соли, причем v не означает число 1, если m означает число 1, Z не имеет значение SO2, если u означает число 0, и причем R4 не представляет собой – N(R7)R8 или связанный через N (азот) цикл либо бицикл, если Z означает O, S или SO2, v означает число 1 и u означает число 0. Среди соединений формулы I следует особо выделить таковые, в которых R означает водород или C1-C4алкил, R1 означает водород, R2 означает водород, R3 означает водород, C1-C4алкил, C1-C4алкокси или галоген, R4 представляет собой моно- либо ди-C1-C4алкилтиокарбамоил, радикал -N(R7)R8 или замещенный радикалами R9 и R10 цикл либо бицикл, выбранный из группы, включающей бензол, фуран, тиофен, тиазол, изотиазол, имидазол, триазол, тетразол, тиадиазол, пиридин, пиримидин, бензимидазол и хинолин, R5 означает водород, R6 означает водород или C1-C4алкил, R7 означает C1-C4алкил и R8 означает Ar-C1-C4алкил, где Ar означает фенил, или же R7 и R8 вместе и включая атом азота, по которому они связаны, представляют собой незамещенный либо замещенный 5- или 6-членный гетеро(би)цикл, выбранный из группы, включающей пиперидин, пиперазин и 1,2,3,4-тетрагидроизохинолин, причем – замещенный пиперидиновый радикал замещен одним, двумя или тремя идентичными либо различными заместителями, выбранными из группы, включающей C1-C4алкил, фенил и фенил-C1-C4алкил, – замещенный пиперазиновый радикал в положении 4 замещен одним заместителем, выбранным из группы, включающей C1-C4алкил, C1-C4алкоксикарбонил-C1-C4алкил, -CpH(2p-2)-R14 и -CqH2q-R14, – замещенный 1,2,3,4-тетрагидроизохинолиновый радикал замещен одним или двумя идентичными либо различными заместителями, выбранными из группы, включающей C1-C4алкил и карбокси, R9 означает водород, C1-C4алкил, галоген, нитро, карбокси, C1-C4алкоксикарбонил или замещенный радикалом R15 C1-C4алкил, R10 означает водород или C1-C4алкил, R14 представляет собой замещенный радикалами R9 и R10 цикл либо бицикл, выбранный из группы, включающей бензол, фуран, тиофен, тиазол, изотиазол, имидазол, триазол, тетразол, тиадиазол, пиридин, пиримидин, бензимидазол и хинолин, R15 означает карбокси, C1-C4алкоксикарбонил или -N(R16)R17, где R16 означает C1-C4алкил и R17 означает C1-C4алкил, или же R16 и R17 вместе и включая атом азота, по которому они оба связаны, представляют собой пиперидиновый или морфолиновый радикал, W означает CH или N, X означает S, Z означает S, m означает число в интервале от 1 до 5, n означает число 0, t означает число 0, u означает число в интервале от 0 до 2, v означает число 0 или 1, p означает число в интервале от 2 до 4 и q означает число в интервале от 0 до 2, и их соли, причем v не означает число 1, если m означает число 1, и причем R4 не представляет собой -N(R7)R8 или связанный через N (атом азота) цикл либо бицикл, если Z означает S, v означает число 1 и u означает число 0. Наиболее предпочтительными соединениями формулы I являются таковые, в которых R означает водород, R1 означает водород, R2 означает водород, R3 означает водород, C1-C4алкил или C1-C4алкокси, R4 представляет собой ди-C1-C4алкилтиокарбамоил, радикал -N(R7)R8 или замещенный радикалами R9 и R10 цикл либо бицикл, выбранный из группы, включающей бензол, фуран, тиофен, тиазол, имидазол, тетразол, пиридин и бензимидазол, R5 означает водород, R6 означает водород или C1-C4алкил, R7 и R8 вместе и включая атом азота, по которому они оба связаны, представляют собой незамещенный либо замещенный пиперазиновый или 1,2,3,4-тетрагидроизохинолиновый радикал, причем – замещенный пиперазиновый радикал замещен одним заместителем, выбранным из группы, включающей -CpH(2p-2)-R14 и -CqH2q-R14, R9 означает водород, C1-C4алкил, галоген, нитро, карбокси, C1-C4алкоксикарбонил или замещенный радикалом R15 C1-C4алкил, R10 означает водород или C1-C4алкил, R14 представляет собой замещенный радикалами R9 и R10 цикл, выбранный из группы, включающей бензол и тиофен, R15 означает карбокси, W означает CH или N, X означает S, Z означает S, m означает число в интервале от 1 до 3, n означает число 0, t означает число 0, u означает число 0, 1 или 2, v означает число 0 или 1, p означает число 3 и q означает число 0 или 1, и их соли, причем v не означает число 1, если m означает число 1, и причем R4 не представляет собой – N(R7)R8 или связанный через N (атом азота) цикл либо бицикл, если Z означает S, v означает число 1 и u означает число 0. Модификацией изобретения (модификация а) являются такие соединения, соответственно, такие предпочтительные, особенно предпочтительные и наиболее предпочтительные соединения формулы I, в которых t означает число 0 и v означает число 0, а также их соли. Другой модификацией изобретения (модификация б) являются такие соединения, соответственно, такие предпочтительные, особенно предпочтительные и наиболее предпочтительные соединения формулы I, в которых t означает число 0, v означает число 1 и u означает число 0, а также их соли. Еще одной модификацией изобретения (модификация в) являются такие соединения, соответственно, такие предпочтительные, особенно предпочтительные и наиболее предпочтительные соединения формулы I, в которых t означает число 0, v означает число 1 и u означает число 1 или 2, а также их соли. Наиболее предпочтительные соединения согласно изобретению представлены в таблицах (см. в конце описания). Таблицы 21-40 В этих таблицах представлены соединения формулы I (см. прилагаемый лист с формулами), идентичные указанным в таблицах 1-20, с тем однако отличием, что пиридиновое кольцо присоединено в положении 4. Представленные в таблицах 1-40 соединения включают также соли этих соединений. Другим предметом изобретения является способ получения соединений формулы I и их солей. Способ отличается тем, что а) меркаптосоединения формулы II (см. прилагаемый лист с формулами), где R и W имеют указанные выше значения, подвергают взаимодействию с производными пиридина формулы III (см. прилагаемый лист с формулами), где R1, R2, R3, R4, R5, R6, X, Y, Z, m, r, t, u и v имеют указанные выше значения, а A представляет собой соответствующую уходящую группу, или б) соединения формулы IV (см. прилагаемый лист с формулами), где W, R, R1, R2, R3, R5, R6, X, m и n имеют указанные выше значения, а A представляет собой соответствующую уходящую группу, подвергают взаимодействию с соединениями формулы V (см. прилагаемый лист с формулами), где R4, Y, Z, r, t, u и v имеют указанные выше значения, и (если соединения формулы I с n, равным 1 или 2, и/или Y, означающим SO либо SO2, и/или Z, означающим SO либо SO2, являются требуемыми конечными продуктами), затем полученные соединения с n, равным 0, и/или Y, означающим S, и/или Z, означающим S, окисляют и/или полученные соединения при необходимости переводят затем в соли и/или полученные соли при необходимости переводят затем в свободные соединения. При проведении указанных выше реакций исходные соединения могут применяться либо как таковые, либо необязательно в виде их солей. В качестве соответствующих уходящих групп A можно назвать, например, атомы галогена, прежде всего хлор, или активированные путем этерификации (например, п-толуолсульфоновой кислотой) гидроксильные группы. Взаимодействие соединений формулы II с соединениями формулы III осуществляют в пригодных для этой цели предпочтительно полярных протонных либо апротонных растворителях (таких, как метанол, этанол, изопропанол, диметилсульфоксид, ацетон, диметилформамид или ацетонитрил) в присутствии воды либо в безводных условиях. Эту реакцию проводят, например, в присутствии акцептора протонов, при необходимости с добавками каталитических количеств иодида, такого как иодид натрия. В качестве акцепторов протонов пригодны гидроксиды щелочных металлов, такие как гидроксид натрия, карбонаты щелочных металлов, такие как карбонат калия, или третичные амины, такие как пиридин, триэтиламин либо этилдиизопропиламин. Альтернативно этому реакцию можно проводить и без акцептора протонов, причем в зависимости от типа исходных соединений сначала необязательно могут быть выделены кислотно-аддитивные соли в особенно чистом виде. Температура реакции может находиться в интервале от 0 до 150oC, причем в присутствии акцептора протонов предпочтителен диапазон температур от 20 до 80oC, а в отсутствие акцепторов протонов – от 60 до 120oC, прежде всего предпочтительна температура кипения применяемого растворителя. Время реакции составляет от 0,5 до 30 ч. Взаимодействие соединений формулы IV с соединениями формулы V осуществляют по методике, аналогичной при проведении реакции между соединениями формулы II и соединениями формулы III или же, альтернативно этому, [например, при взаимодействии соединений IV с соединениями V, в которых t и v означают число 0, а R4 представляет собой радикал N(R7)R8] без добавочного растворителя, применяя избыток амина в качестве акцептора протонов и одновременно в качестве растворителя. Реакционная температура в этом случае находится в интервале от 60 до 180oC, предпочтительно от 80 до 160oC. Окисление сульфидов до сульфоксидов, соответственно, до сульфонов осуществляют в условиях, известных специалисту при проведении окисления сульфидов до сульфоксидов, соответственно, до сульфонов [см., например, J.Drabowicz и M.Mikolajczyk, Organic preparations and procedures int. 14 (1-2), 45-89 (1982) или E.Block в S.Patai, The Chemistry of Functional Groups, Supplement E. часть 1, стр. 539-608, John. Wiley and Sons (Interscience Publication), 1980] . В качестве оксидантов могут использоваться все реагенты, применяемые обычно для окисления сульфидов до сульфоксидов, соответственно, до сульфонов. Сульфоксиды согласно изобретению представляют собой оптически активные соединения. В зависимости от типа заместителей в молекуле могут иметься также и другие хиральные центры. В соответствии с этим изобретение включает как энантиомеры и диастереомеры, так и их смеси и рацематы. Энантиомеры могут быть выделены по известной методике (например, получением и разделением соответствующих диастереоизомерных соединений). Исходные соединения формул II, III, IV и V известны или могут быть получены по известной методике, например, аналогично тому, как это описано в нижеследующих примерах. Приведенные примеры поясняют изобретение подробнее, не ограничивая его объем. Предлагаемые согласно изобретению соединения, равно как и исходные соединения, могут быть получены по методике, аналогичной описанной в примерах. Принятые сокращения означают: КТ = комнатная температура, ч = час, tпл = температура плавления, разл. = разложение. Примеры Конечные продукты 1. 4-(2-фурилметилтио)-3-метил-2-[(2-пиридинилтио)метил]пиридин К раствору 2-меркаптопиридина (1,12 г/10 ммолей) в 40 мл этанола и 21 мл 1Н едкого натра в течение 20 мин при 40oC по каплям добавляют 1 эквивалент (2,92 г) гидрохлорида 2-хлорметил-4-(2-фурилметилтио)-3-метилпиридина (растворенного в 10 мл воды). Затем перемешивают в течение 2-3 ч при 50-60oC и продолжают перемешивание в течение 3-4 ч при комнатной температуре. Далее отсасывают от выпавшего в осадок твердого вещества, удаляют путем смешения с водным этанолом (1:1) и сушат под вакуумом. В результате получают указанное в заголовке соединение в виде порошка цвета охры; tпл 102-104oC; выход 91% от теории. 2. 4-бензилтио-3-метил-2-[(2-пиридинилтио)метил]пиридин По методике, описанной в примере 1, взаимодействием 2-меркаптопиридина с гидрохлоридом 4-бензилтио-2-хлорметил-3-метилпиридина получают указанное в заголовке соединение с tпл 106-108oC. 3. 3-метил-4-[2-(4-метил-5-тиазолил)этилтио]-2-[(2- пиридинилтио)метил] пиридин По методике, описанной в примере 1, взаимодействием 2-меркаптопиридина с гидрохлоридом 2-хлорметил-4-[2-(4-метил-5- тиазолил)этилтио]-3-метилпиридина получают указанное в заголовке соединение в виде желтого масла. Затем экстрагируют дихлорметаном, промывают водой, сушат над карбонатом кальция и концентрируют. Путем кристаллизации из диизопропилового эфира получают указанное в заголовке соединение; tпл 67-69oC. 4. Дигидрохлорид 4-(2-фурилметилтио)-3-метокси-2-[(2- пиридинилтио)метил]пиридина По методике, описанной в примере 1, взаимодействием 2-меркаптопиридина с гидрохлоридом 2-хлорметил-4-(2-фурилметилтио)-3- метоксипиридина получают желтое масло. Затем экстрагируют дихлорметаном, концентрируют, остаток растворяют в изопропаноле и добавляют концентрированную соляную кислоту (2,5 эквивалента). Далее повторно концентрируют и кристаллизуют добавлением ацетона указанное в заголовке соединение, которое получают в виде бесцветного твердого вещества; tпл 148oC (разложение); выход 74% от теории. 5. 3-метил-4-[5-(1-метил-5-тетразолил)-1,5-дитиапентил] -2-[(2- пиридинилтиометил]пиридин Дигидрохлорид 4-(3-хлорпропилтио)-3-метил-2-[(2- пиридинилтио)метил]пиридина (0,59 г, 1,5 ммоля) перемешивают при одновременном добавлении 1Н едкого натра (5 ммолей) с 5-меркапто-1-метилтетразолом (2,0 ммоля) в этаноле (15 мл) в течение 24 ч при 80oC. Затем медленно по каплям добавляют воду, дают остыть до 25oC и отфильтровывают от выпавшего в осадок твердого вещества. После сушки над P2O5 получают указанное в заголовке соединение в виде твердого вещества светло-бежевого цвета; tпл 113-114oC; выход 78% от теории. 6. 3-метил-4-[5-(4-пиридинил)-1,5-дитиапентил] -2-[(2- пиридинилтио)метил]пиридин По методике, описанной в примере 5, взаимодействием дигидрохлорида 4-(3-хлорпропилтио)-3-метил-2-[(2-пиридинилтио)метил]пиридина с 4-меркаптопиридином и едким натром получают указанное в заголовке соединение; tпл 99-102oC; выход 67% от теории. 7. Хлористоводородная соль 4-[3-(4-бензил-1-пиперазинил)пропилтио]- 3-метил-2-[(2-пиридинилтио)метил]пиридина Дигидрохлорид 4-(3-хлорпропилтио)-3-метил-2-[(2- пиридинилтио)метил] пиридина (0,59 г, 1,5 ммоля) перемешивают в ацетонитриле (10 мл) при одновременном добавлении карбоната калия (7,5 ммолей) и каталитических количеств иодида натрия с бензилпиперазином (2,0 ммоля) в течение 24 ч при 100oC. После добавления воды экстрагируют дихлорметаном (2х10 мл), объединенные органические экстракты промывают водой, сушат, концентрируют и сырой продукт (желтое масло) хроматографируют на силикагеле. Фракции чистого продукта объединяют, концентрируют, растворяют в этаноле и смешивают с 3,5 эквивалентами концентрированной соляной кислоты. Затем отфильтровывают от выпавшего в осадок твердого вещества, промывают диизопропиловым эфиром и сушат. Таким путем получают указанное в заголовке соединение в виде бесцветных кристаллов; tпл 170-172oC; выход 81% от теории. 8. Хлористоводородная соль 3-метил-4-[3-(4-фенил-1- пиперазинил)пропилтио]-2-[(2-пиридинилтио)метил]пиридина По методике, описанной в примере 7, взаимодействием дигидрохлорида 4-(3-хлорпропилтио)-3-метил-2-[(2-пиридинилтио)метил]пиридина с 1-фенилпиперазином и карбонатом калия получают указанное в заголовке соединение; tпл 137-140oC (разложение); выход 46% от теории. 9. 3-метил-4-[3-(1,2,3,4-тетрагидроизохинолин-2-ил)пропилтио] – 2-[(2-пиридинилтио)метил]пиридин По методике, описанной в примере 7, взаимодействием дигидрохлорида 4-(3-хлорпропилтио)-3-метил-2-[(2-пиридинилтио)метил]пиридина с 1,2,3,4-тетрагидроизохинолином и карбонатом калия получают указанное в заголовке соединение; tпл гигроскопичное; выше 58oC разложение; выход 46% от теории. 10. Хлористоводородная соль 3-метил-4-{ 3-[4-(3-(фенил-2-пропен- 1-ил)пиперазин-1-ил]пропилтио}-2-[(2-пиридинилтио)метил]пиридина По методике, описанной в примере 7, взаимодействием дигидрохлорида 4-(3-хлорпропилтио)-3-метил-2-[(2-пиридинилтио)метил] пиридина с N-3-фенил-2-пропенилпиперазином получают указанное в заголовке соединение; tпл 205-206oC (разложение); выход 69% от теории. 11. 4-(2-фурилметилтио)-3-метил-2-[(4-пиридинилтио)метил]пиридин По методике, описанной в примере 1, взаимодействием 4-меркаптопиридина с гидрохлоридом 2-хлорметил-4-(2-фурилметилтио)-3-метилпиридина и едким натром, последующей хроматографией на силикагеле (этилацетат-этанол) и кристаллизацией из диизопропилового эфира получают указанное в заголовке соединение в виде бесцветного порошка; tпл 126-128oC; выход 89% от теории. 12. 3-метил-4-[5-(1-метил-5-тетразолил)-1,5-дитиапентил] -2-[(4- пиридинилтио)метил]пиридин По методике, описанной в примере 5, взаимодействием 4-(3-хлорпропилтио)-3-метил-2-[(4-пиридинилтио)метил] пиридина с 5-меркапто-1-метилтетразолом и едким натром получают указанное в заголовке соединение в виде порошка бежевого цвета; tпл 95-97oC (разложение); выход 59% от теории. 13. 4- [3-(4-бензил-1-пиперазинил)пропилтио]-3-метил-2-[(4- пиридинилтио)метил]пиридин По методике, описанной в примере 7, взаимодействием 4-(3-хлорпропилтио)-3-метил-2-[(4-пиридинилтио)метил] пиридина с 1-бензилпиперазином и карбонатом калия в ацетонитриле после хроматографии на силикагеле и кристаллизации концентрированных чистых фракций из диизопропилового эфира получают указанное в заголовке соединение в виде бесцветного твердого вещества; tпл 79-81oC; выход 57% от теории. Из изопропанола может быть получен водосодержащий гидрохлорид; tпл 165oC (разложение); выход 87% от теории. 14. 3-метил-2-[(4-пиридинилтио)метил] -4-[5-(4-пиридинил)-1,5- дитиапентил]пиридин По методике, описанной в примере 5, взаимодействием 4-(3-хлорпропилтио)-3-метил-2-[(4-пиридинилтио)метил]пиридина с 4-меркаптопиридином и едким натром получают указанное в заголовке соединение; tпл 116-118oC; выход 69% от теории. 15. 4-[(3-диметилдитиокарбамоил)пропилтио] -3-метил-2-[(4- пиридинилтио)метил]пиридин 4-(3-хлорпропилтио)-3-метил-2-[(4-пиридинилтио)метил] пиридин (2 ммоля) перемешивают с Na-солью диметилдитиокарбаминовой кислоты (Me2NCS2Na) (2,5 ммоля) в 25 мл этанола в течение 20 ч при 60oC, после чего охлаждают и фильтруют от образовавшегося твердого вещества. Таким путем получают указанное в заголовке соединение в виде светло-серого кристаллического порошка; tпл 112-114oC; изменение цвета; выход 88% от теории. 16. 4-[3-(4-фенил-1-пиперазинил)пропилтио] -2-[(4- пиридинилтио)метил] пиридин По методике, описанной в примере 7, взаимодействием 4-(3-хлорпропилтио)-3-метил-2-[(4-пиридинилтио)метил] пиридина с 1-фенилпиперазином и карбонатом калия и последующей хроматографией на силикагеле после кристаллизации из диизопропилового эфира получают указанное в заголовке соединение; tпл от 210oC и выше (разложение); выход 79% от теории. 17. 4-[3-(1-имидазолил)пропилтио] -3-метил-2-[(4- пиридинилтио)метил] пиридин По методике, описанной в примере 7, взаимодействием 4-(3-хлорпропилтио)-3-метил-2-[(4-пиридинилтио)метил]пиридина с имидазолом (2,0 эквивалента) и карбонатом калия и последующей хроматографией на силикагеле (дихлорметан-ацетон-водный NH3) после кристаллизации из диизопропилового эфира получают указанное в заголовке соединение; tпл 117-119oC; выход 32% от теории. 18. 3-метил-4-[3-(1,2,3,4-тетрагидроизохинолин-1-ил)пропилтио]- 2-[(4-пиридинилтио)метил]пиридин По методике, описанной в примере 7, взаимодействием 4-(3-хлорпропилтио)-3-метил-2-[(4-пиридинилтио)метил] пиридина с 1,2,3,4-тетрагидроизохинолином, хроматографией на силикагеле и последующей кристаллизацией из изопропанол-диизопропилового эфира получают указанное в заголовке соединение; tпл 190-192oC; выход 36% от теории. 19. Тригидрохлорид 4-{3-[4-(5-хлор-2-тиенилметил)-1- пиперазинил]пропилтио)-3-метил-2-[(4-пиридинилтио)метил]пиридина По методике, описанной в примере 7, взаимодействием 4-(3-хлорпропилтио)-3-метил-2-[(4-пиридинилтио)метил] пиридина с [1-(5-хлортиофен-2-ил)метил] пиперазином и карбонатом калия после кристаллизации из изопропанол-ацетон-концентрированной соляной кислоты получают указанное в заголовке соединение; tпл 160-162oC (разложение); выход 79% от теории. 20. 2-[[[3-метил-2-[(4-пиридинилтио)метил] -4- пиридинил]тиопропил]тио] -1H-бензимидазол По методике, описанной в примере 5, взаимодействием 4-(3-хлорпропилтио)-3-метил-2-[(4-пиридинилтио)метил] пиридина с 2-меркаптобензимидазолом в присутствии едкого натра после кристаллизации из дихлорметан-диизопропилового эфира получают указанное в заголовке соединение; tпл 128-129oC; выход 83% от теории. 21. 4-[[5-(2-метоксикарбонилфенил)-1,5-дитиопент-1-ил] -3-метил] – 2-[(4-пиридинилтио)метил]пиридин 4-(3-хлорпропилтио)-3-метил-2-[(4-пиридинилтио)метил] пиридин (2 ммоля) перемешивают при одновременном добавлении карбоната калия (10 ммолей) с метиловым эфиром 2-меркаптобензойной кислоты (2,2 ммоля) в течение 48 ч при 25oC в метаноле (10 мл), разбавляют водой, фильтруют от выпавшего в осадок твердого вещества и удаляют путем смешения с водным метанолом. После сушки получают указанное в заголовке соединение в виде порошка бежевого цвета; tпл 85-88oC; выход 72% от теории. 22. 3-метил-4-[3-(2-метил-5-нитроимидазол-1-ил)пропилтио]- 2-[(4-пиридинилтио)метил]пиридин По методике, описанной в примере 7, исходя из 4-(3-хлорпропилтио)-3-метил-2-[(4-пиридинилтио)метил] пиридина, взаимодействием с 2-метил-5-нитроимидазолом, последующей хроматографией на силикагеле (этилацетат-метанол-концентрированный аммиак) и кристаллизацией из диизопропилового эфира получают указанное в заголовке соединение в виде желтого порошка; tпл 140-142oC; выход 70% от теории. 23. 3-метил-4-(7-(фенил-1,5-дитиогепт-1-ил)-2-[(4- пиридинилтио)метил] пиридин По методике, описанной в примере 5, взаимодействием 4-(3-хлорпропилтио)-3-метил-2-[(4-пиридинилтио)метил] пиридина с 2-фенилэтилмеркаптаном после хроматографии на силикагеле и кристаллизации из диизопропилового эфира получают указанное в заголовке соединение в виде бесцветного порошка; tпл 48-50oC; выход 49% от теории. 24. 4-[6-(5-хлортиофен-2-ил)-1,5-дитиагекс-1-ил] -3-метил-2-[(4- пиридинилтио)метил]пиридин По методике, описанной в примере 5, взаимодействием 4-(3-хлорпропилтио)-3-метил-2-[(4-пиридинилтио)метил] пиридина с 5-хлортиофен-2-метилмеркаптаном после хроматографии на силикагеле (этилацетат-концентрированный аммиак, 100:1) и последующей кристаллизацией из диизопропилового эфира получают указанное в заголовке соединение в виде бесцветного порошка; tпл 76-77oC; выход 58% от теории. 25. 2-{5-[3-метил-2-[(4-пиридинилтио)метил]-4-пиридинил]-1,5- дитиапентил}пиридин-3-карбоновая кислота По методике, описанной в примере 21, взаимодействием 4-(3-хлорпропилтио)-3-метил-2-[(4-пиридинилтио)метил] пиридина с 2-меркаптоникотиновой кислотой и последующей установкой значения pH на приблизительно 6 получают указанное в заголовке соединение в виде бесцветного твердого вещества; tпл 219oC (разложение); выход 57% от теории. 26. Полуторный фумарат 6-метил-4-[5-(4-пиридинил)-1,5- дитиапентил]-2-[(4-пиридинилтио)метил]пиридина По описанной в примере 5 методике взаимодействием дигидрохлорида 4-(3-хлорпропилтио)-6-метил-2-[(4-тиопиридинил)метил] пиридина с 4-меркаптопиридином и едким натром после хроматографии сырого продукта на силикагеле (система растворителей: уксусный эфир-метанол-аммиак = 40:1:1) и последующей кристаллизацией 1,5 эквивалентами фумаровой кислоты из ацетона получают указанное в заголовке соединение (выход 27% от теории) с tпл 150-152oC. 27. Дифумарат 4-[3-(4-бензил-1-пиперазинил)пропилтио]-6-метил- 2-[(4-пиридинилтио)метил]пиридина По описанной в примере 7 методике взаимодействием дигидрохлорида 4-(3-хлорпропилтио)-6-метил-2-[(4-тиопиридинил)метил] пиридина с 1-бензилпиперазином, иодидом натрия и карбонатом калия в ацетонитриле после хроматографии сырого продукта на силикагеле (система растворителей: уксусный эфир- метанол-аммиак = 19:1:1) и последующей кристаллизацией с помощью двух эквивалентов фумаровой кислоты из ацетона получают указанное в заголовке соединение (выход 14% от теории) с tпл 171-173oC. 28. Дифумарат 4-{3-[4-(5-хлортиенилметил)-1-пиперазинил]пропилтио}- 6-метил-2-[(4-пиридинилтио)метил]пиридина По описанной в примере 7 методике взаимодействием дигидрохлорида 4-(3-хлорпропилтио)-6-метил-2-[(4-тиопиридинил)метил] пиридина с 1-[(5-хлортиофен-2-ил)метил] пиперазином, иодидом натрия и карбонатом калия в ацетонитриле после хроматографии сырого продукта на силикагеле (система растворителей: уксусный эфир-метанол-аммиак = 19:1:1) и последующей кристаллизацией с помощью двух эквивалентов фумаровой кислоты из ацетона получают указанное в заголовке соединение (выход 38% от теории) с tпл 148-151oC. 29. Дигидрохлорид 4-[[7-(2-метил-5-нитроимидазол-1-ил)-1,5- дитиагепт-1-ил]-3-метил]-2-[(4-пиридинилтио)метил]пиридина По методике, описанной в примере 5, взаимодействием с 1-(2-меркаптоэтил)-2-метил-5-нитроимидазолом при 25oC после хроматографии сырого продукта на силикагеле и перевода в хлористоводородную соль в ацетон-соляной кислоте получают гигроскопичное соединение, указанное в заголовке; tпл 73-78oC (разложение); выход 39% от теории. 30. 5-{5-[3-метил-2-[(4-пиридинилтио)метил]-4-пиридинил]-1,5- дитиапент-1-ил}тетразол-1-уксусная кислота По методике, описанной в примерах 25 и 21, получают указанное в заголовке соединение; tпл 185-187oC; выход 57% от теории. 31. Тригидрохлорид 4-[3-(4-бензил-1-пиперазинил)пропилтио]-3- метил-2-[(2-пиримидинилтио)метил]пиридина Исходя из дигидрохлорида 4-(3-хлорпропилтио)-3-метил-2-[(2- пиримидинилтио)метил] пиридина, по описанной в примере 7 методике взаимодействием с бензилпиперазином получают указанное в заголовке соединение; tпл 208oC (разложение); выход 49% от теории. 32. 3-метил-4-[3-(2-метил-5-нитроимидазол-1-ил)пропилтио]-2-[(2- пиримидинилтио)метил]пиридин По методике, описанной в примере 22, исходя из 4-(3-хлорпропилтио)-3-метил-2-[(2-пиримидинилтио)метил] пиридина, получают указанное в заголовке соединение; tпл 141-143oC; выход 81% от теории. 33. 3-метил-4-{[7-(2-метил-5-нитроимидазол-1-ил)-1,5-дитиагепт- 1-ил]-3-метил}-2-[(2-пиримидинилтио)метил]пиридин По методике, описанной в примере 5, исходя из 4-(3-хлорпропилтио)-3-метил-2-[(2-пиримидинилтио)метил] пиридина, получают указанное в заголовке соединение в виде желтого масла, которое при растирании в диэтиловом эфире кристаллизуется. После фильтрации и сушки над парафином получают указанное в заголовке соединение в виде бледно-желтого твердого вещества; tпл 83-85oC; выход 62% от теории. Исходные соединения А1. Дигидрохлорид 4-(3-хлорпропилтио)-3-метил-2-[(2- пиридинилтио)метил] пиридина 2-меркаптопиридин (10 ммолей) и гидрохлорид 2-хлорметил-4-(3-хлорпропилтио)-3-метилпиридина (10 ммолей) нагревают в изопропаноле (25 мл) в течение 4-6 ч до кипения. После охлаждения отфильтровывают от выпавшего в осадок твердого вещества, промывают изопропанолом и сушат под вакуумом при 40oC. Таким путем получают 3,6 г (91% от теории) указанного в заголовке соединения в виде бесцветного твердого вещества; tпл 112-114oC (разложение). А2. Гидрохлорид 2-хлорметил-4-(3-хлорпропилтио)-3-метилпиридина а) N-оксид 2,3-диметил-4-(3-гидроксипропилтио)пиридина К 50 мл сухого N-метилпирролидона (МП) порциями добавляют 6 г (60-%-ного) NaH, перемешивают в течение 15 мин, в течение 20 мин добавляют 9,5 г (0,11 моля) 3-гидроксипропилмеркаптана и повторно перемешивают в течение 30 мин до завершения выделения газа. Затем в течение 20 мин по каплям добавляют раствор из 14,4 г (0,1 моля) N-оксида 4-хлор-2,3-диметилпиридина в 100 мл МП, реакционную смесь перемешивают в течение 1 ч при КТ, после чего перемешивание продолжают в течение 1 ч при 70oC и еще в течение 1 ч при 100oC. После завершения обменной реакции дают остыть, разбавляют 500 мл воды и четырежды экстрагируют порциями по 300 мл дихлорметана соответственно. Объединенные органические экстракты промывают водой, сушат над сульфатом магния, концентрируют и кристаллизуют из толуола. После перекристаллизации из метанол-толуола получают указанное в заголовке соединение в виде твердого вещества бежевого цвета с tпл 106-107oC (сублимированное); выход 68% от теории. б) 2-гидроксиметил-4-(3-гидроксипропилтио)-3-метилпиридин Полученное в а) желтое масло растворяют в 100 мл ангидрида уксусной кислоты и перемешивают в течение 2 ч при 100oC. После концентрирования под вакуумом коричневый маслянистый остаток отгоняют в трубчатом с шаровыми расширениями дистилляционном аппарате и без очистки используют на последующей реакционной стадии. Маслянистый дистиллят нагревают в 100 мл 2Н едкого натра и 100 мл изопропанола в течение 2 ч при перемешивании до температуры дефлегмации, затем изопропанол отгоняют, остаток трижды экстрагируют порциями по 100 мл дихлорметана соответственно, объединенные органические экстракты промывают водой, сушат над карбонатом калия и концентрируют под вакуумом. Таким путем получают 5,0 г 2-гидроксиметил-4-(3-гидроксипропилтио)-3-метилпиридина, который без очистки используют на последующей реакционной стадии. Из изопропанола с помощью концентрированной соляной кислоты можно получить моногидрохлорид соединения, указанного в заголовке; tпл 188-190oC (разложение). в) Гидрохлорид 2-хлорметил-4-(3-хлорпропилтио)-3-метилпиридина 5 г масла из б) растворяют в дихлорметане (100 мл), после чего по каплям добавляют 4 эквивалента тионилхлорида и перемешивают в течение 20 ч при КТ. Затем полностью концентрируют, получая в результате 4,5 г указанного в заголовке соединения в виде маслянистого, постепенно кристаллизующегося остатка. После кристаллизации из изопропанол-диизопропилового эфира получают указанное в заголовке соединение в виде бесцветного твердого вещества; tпл 142-144oC (разложение). А3. 4-(3-хлорпропилтио)-3-метил-2-[(4-пиридинилтио)метил]пиридин По методике, описанной в примере А1, взаимодействием 4-меркаптопиридина с гидрохлоридом 2-хлорметил-4-(3-хлорпропилтио)-3-метилпиридина в изопропаноле получают гидрохлорид указанного в заголовке соединения в виде бесцветного твердого вещества. После растворения в воде устанавливают pH, равное 10, дважды экстрагируют дихлорметаном, органические экстракты промывают раствором карбоната натрия, сушат над сульфатом магния, растворитель концентрируют с помощью ротационного испарителя и кристаллизуют из дихлорметан-диизопропилового эфира. Таким путем получают указанное в заголовке соединение в виде бесцветного твердого вещества; выход 78% от теории; tпл 88-91oC. Б1. Гидрохлорид 4-(2-хлорэтилтио)-2-хлорметил-3-метилпиридина а) N-оксид 2,3-диметил-4-(2-гидроксиэтилтио)пиридина По методике, описанной в примере А2.а), взаимодействием N-оксида 4-хлор-2,3-диметилпиридина с 2-меркаптоэтанолом и гидридом натрия получают указанное в заголовке соединение в виде маслянистого остатка, который без дальнейшей очистки используют на последующей стадии. б) 4-(2-гидроксиэтилтио)-2-гидроксиметил-3-метилпиридин По методике, описанной в примере А2.б), взаимодействием полученного в а) масла с ангидридом уксусной кислоты и последующим омылением с помощью NaOH получают указанное в заголовке соединение в виде маслянистого остатка, который без дальнейшей очистки используют на последующей стадии. в) Гидрохлорид 4-(2-хлорэтилтио)-2-хлорметил-3-метилпиридина По методике, описанной в примере А2.в), взаимодействием полученного в б) масла с тионилхлоридом получают указанное в заголовке соединение в виде маслянистого остатка, который в виде раствора в этаноле непосредственно используют для взаимодействия с 2-меркаптобензимидазолом. В1. Гидрохлорид 2-хлорметил-4-(3-хлорпропилтио)-3-метоксипиридина По методике, описанной в примере А2.а)-в), исходя из 4-хлор-3-метокси-2-метилпиридина, взаимодействием сначала с 3-гидроксипропилмеркаптаном, затем последовательно с ангидридом уксусной кислоты, едким натром и тионилхлоридом получают указанное в заголовке соединение в виде желтого медленно кристаллизующегося масла, которое непосредственно используют для взаимодействия с меркаптопиридинами. Г1. Дигидрохлорид 3-хлор-4-[N-(2-хлорэтил)-N-метиламино]-2-[(2- пиридинилтио)метил]пиридина По методике, описанной в примере А1, взаимодействием гидрохлорида 3-хлор-4-[N-(2-хлорэтил)-N-метиламино]-2-хлорметила с 4-меркаптопиридином (1 эквивалент) в изопропаноле получают указанное в заголовке соединение в виде бесцветного твердого вещества; tпл 208-210oC (разложение); выход 81% от теории. Г2. Гидрохлорид 3-хлор-4-[N-(2-хлорэтил)-N-метиламино-2- хлорметилпиридина а) 3-хлор-4-[N-(2-гидроксиэтил)-N-метиламино]-2-гидроксиметилпиридин Смесь из 3,4-дихлор-2-гидроксиметилпиридина (Journ. Med. Chem. 1989, 32, 1970) (2,5 г) в 2-метиламиноэтаноле (30 мл) нагревают в стальном автоклаве в течение 2,5 ч до 160oC, избыточный амин удаляют под вакуумом и образовавшийся остаток хроматографируют на силикагеле (дихлорметан-метанол 95:5). Выход 2,3 г в виде желтоватого масла. б) Гидрохлорид 3-хлор-4-[N-(2-хлорэтил)-N-метиламино] -2- хлорметилпиридина Раствор 3-хлор-4-[N-(2-гидроксиэтил)-N-метиламино] -2- гидроксиметилпиридина (2,3 г) в дихлорметане (30 мл) смешивают при 0oC по каплям с раствором тионилхлорида (4 мл) в дихлорметане (20 мл). Затем температуре дают подняться до 20oC (20 мин), после чего температуру в течение 30 мин поддерживают на уровне 40oC. После удаления растворителя под вакуумом образовавшийся остаток хроматографируют на силикагеле (петролейный эфир-этилацетат, смесь 7: 3, содержащая 1 мл концентрированного водного раствора NH3). Выход 2,6 г. Д1. Дигидрохлорид 4-(3-хлорпропилтио)-6-метил-2-[(4- тиопиридинил)метил] пиридина 4-меркаптопиридин (10,9 ммолей) и гидрохлорид 2-хлорметил-4-(3-хлорпропилтио)-6-метилпиридина (10,9 ммолей) нагревают в изопропаноле (25 мл) в течение 6 ч до кипения. После охлаждения до КТ добавляют метанол (25 мл) и силикагель (10 г), концентрируют досуха и затем хроматографируют на силикагеле (система растворителей: уксусный эфир-метанол-аммиак = 19:1:1). Фракции с Rf = 0,3 концентрируют, растворяют в небольшом количестве ацетона и смешивают с 2 эквивалентами концентрированной соляной кислоты. Остаток отсасывают и сушат под вакуумом. Таким путем получают 3,55 г (82% от теории) указанного в заголовке соединения в виде твердого вещества бежевого цвета; tпл 194-197oC. Д2. Гидрохлорид 2-хлорметил-4-(3-хлорпропилтио)-6-метилпиридина а) N-оксид 2,6-диметил-4-(3-гидроксипропилтио)пиридина К 50 мл сухого N-метилпирролидона (МП) порциями добавляют 12 г (60%-ного) NaH. Затем перемешивают в течение 10 мин. Далее в течение 30 мин добавляют 19 г (0,22 моля) 3-гидроксипропилмеркаптана и продолжают перемешивание до завершения выделения газа еще в течение 30 мин. Затем по каплям в течение 30 мин добавляют раствор из 28,8 г (0,2 моля) N-оксида 4-хлор-2,6-диметилпиридина в 150 мл МП, реакционную смесь перемешивают в течение 1 ч при КТ, после чего продолжают перемешивание в течение 1 ч при 70oC и в течение еще 1 ч при 100 С. После завершения обменной реакции дают остыть, разбавляют 700 мл воды и экстрагируют сначала четырежды порциями по 300 мл дихлорметана соответственно и затем еще четырежды порциями по 300 мл дихлорметан-н-бутанола (10:1) соответственно. Объединенные органические экстракты сушат над сульфатом магния, концентрируют и кристаллизуют из толуола. Указанное в заголовке соединение выделяют в виде твердого вещества бежевого цвета с tпл 117-119oC. Выход 59% от теории. б) 2-гидроксиметил-4-(3-гидроксипропилтио)-6-метилпиридин Полученный в а) продукт растворяют в 100 мл ацетангидрида и перемешивают в течение 2 ч при 100oC. После концентрирования под вакуумом коричневый маслянистый остаток отгоняют в трубчатом с шаровыми расширениями дистилляционном аппарате и без дальнейшей очистки используют на последующей стадии. Маслянистый дистиллят в течение 2 часов нагревают со 100 мл 2Н едкого натра и 100 мл изопропанола с обратным холодильником. Затем изопропанол отгоняют и остаток экстрагируют четырежды порциями по 100 мл дихлорметана и четырежды порциями по 100 мл смеси дихлорметан-н-бутанол (10:1). Объединенные органические экстракты промывают водой, сушат над карбонатом калия и концентрируют под вакуумом. Таким путем получают 4,2 г указанного в заголовке соединения в виде масла, которое без дальнейшей очистки используют на последующей стадии. После хроматографии на силикагеле (система растворителей: уксусный эфир-метанол = 10: 1) и последующей кристаллизацией из диизопропилового эфира указанное в заголовке соединение выделяют в кристаллической форме; tпл 94-96oC. в) Гидрохлорид 2-хлорметил-4-(3-хлорпропилтио)-6-метилпиридина 4,0 г масла, полученного в б), растворяют в дихлорметане (80 мл), по каплям добавляют 4 эквивалента тионилхлорида и перемешивают в течение 48 ч при КТ. Затем добавляют 20 мл толуола, полностью концентрируют, сушат под высоким вакуумом и в результате получают 5,3 г указанного в заголовке соединения в виде желтого масла. 1H-ЯМР (ДМСО-D6, част./млн): 7,88 (d, 1H), 7,77 (d, 1H), 5,00 (s, 2H), 3,79 (t, 2H), 3,40 (t, 2H), 2,70 (s, 3H), 2,14 (m, 2H).
Е1. 4-(3-хлорпропилтио)-3-метил-2-[(2-пиримидинилтио)метил]пиридинПо методике, описанной в примере А3, взаимодействием с 2-меркаптопиримидином получают указанное в заголовке соединение; tпл 83-85oC; бесцветный порошок; выход 73% от теории. Промышленная применимость Исключительно высокая эффективность соединений формулы I и их солей по отношению к бактериям Helicobacter позволяет применять их в медицине в качестве действующих веществ для лечения болезней, возбудителями которых являются бактерии Helicobacter. Другим предметом изобретения в соответствии с этим является способ лечения млекопитающих, прежде всего человека, страдающих заболеваниями, обусловленными бактериями Helicobacter. Способ отличается тем, что заболевшему пациенту вводят терапевтически эффективное и фармакологически приемлемое количество одного или нескольких соединений формулы I и/или их фармакологически приемлемых солей. Предметом изобретения, кроме того, являются соединения формулы I и их фармакологически приемлемые соли для применения при лечении болезней, возбудителями которых являются бактерии Helicobacter. Изобретение включает также применение соединений формулы I и их фармакологически приемлемых солей при изготовлении лекарственных средств, предназначенных для борьбы против таких болезней, которые обусловлены бактериями Helicobacter. Еще одним предметом изобретения являются лекарственные средства для борьбы с бактериями Helicobacter, содержащие одно или несколько соединений общей формулы I и/или их фармакологически приемлемые соли. Из штаммов бактерий Helicobacter, по отношению к которым соединения формулы I отличаются эффективностью, следует назвать прежде всего штамм Helicobacter pylori. Лекарственные средства изготавливают с помощью известных, обычных для специалиста в данной области техники способов. В качестве лекарственных средств фармакологически эффективные соединения формулы I и их соли (также являющиеся действующими веществами) применяют либо индивидуально, либо предпочтительно в комбинации с соответствующими фармацевтическими вспомогательными веществами, например, в виде таблеток, драже, капсул, эмульсий, суспензий, гелей или растворов, причем содержание действующих веществ предпочтительно составляет от 0,1 до 95%. Какие именно вспомогательные вещества для требуемых лекарственных комбинаций следует выбрать, решает сам специалист на основе своих знаний и опыта. Наряду с растворителями, гелеобразователями, вспомогательными веществами для таблеток и другими носителями действующих веществ могут использоваться также, например, антиоксиданты, диспергаторы, эмульгаторы, антивспениватели, корригенты вкуса, консерванты, агенты растворимости, красители или промоторы, улучшающие проницаемость, и комплексообразователи (в частности, циклодекстрины). Действующие вещества могут назначаться, например, для парентерального (в частности, внутривенного) или прежде всего для орального введения. Как правило, в медицине для достижения необходимого эффекта действующие вещества назначают в суточной дозировке порядка 0,2-50, предпочтительно 1-30 мг/кг веса тела, при необходимости разбивая суточную дозу на несколько, предпочтительно 2-6, разовых доз. В этой связи в качестве существенного для настоящего изобретения аспекта следует особо подчеркнуть, что соединения формулы I, в которых n означает число 0, проявляют свою эффективность по отношению к бактериям Helicobacter при введении даже в такой дозировке, которую для достижения требуемого терапевтического эффекта необходимо, как полагают, назначать для подавления секреции желудочной кислоты. Соединения формулы I, в которых n означает число 1, наряду с эффективностью по отношению к бактериям Helicobacter обладают также ярко выраженным ингибирующим действием касательно секреции желудочной кислоты. В соответствии с этим указанные соединения могут применяться также для лечения заболеваний, обусловленных повышенной секрецией желудочной кислоты. Предлагаемые согласно изобретению соединения могут назначаться также для введения в строго определенной либо свободной комбинации совместно с субстанцией, нейтрализующей желудочную кислоту и/или подавляющей секрецию желудочной кислоты, и/или с субстанцией, применяемой в традиционных методах борьбы с бактериями Helicobacter pylori. В качестве субстанций, нейтрализующих желудочную кислоту, можно назвать, например, гидрокарбонат натрия или другие антацидные средства, такие как гидроксид алюминия, алюминат магния или магальдрат. В качестве субстанций, ингибирующих секрецию желудочной кислоты, можно назвать, например, H2-блокатор (в частности, циметидин, ранитидин), ингибиторы H+/K+-АТФ-азы (в частности, лансопразол, омепразол или прежде всего пантопразол), а также так называемые периферийные антихолинергические средства (в частности, пирензепин, телензепин). Среди субстанций, применяемых в традиционных методах борьбы с бактериями Helicobacter pylori, следует назвать в первую очередь те из них, которые обладают противомикробным действием, как, например, пенициллин G, гентамицин, эритромицин, нитрофуразон, тинидазол, нитрофурантоин, фуразолидон, метронидазол и прежде всего амоксиллин, или же также соли висмута, как, например, цитрат висмута. Биологические исследования Соединения формулы I исследовали на их эффективность по отношению к бактериям Helicobacter pylori по методике, описанной Tomoyuki Iwahi и др. в Antimicrobial Agents and Chemotherapy, 1991, 490-496, с использованием агара Columbia (оксоид) и периодом роста 4 дня. При этом в ходе исследований указанных соединений были выявлены приблизительные значения МИК-50, приведенные в таблице А (см. в конце описания) (указанные номера соединений соответствуют номерам примеров в описании). ![]() ![]() ![]() ![]() H[Y-CrH2r]t-[Z-CuH2u]v-R4 (V) Формула изобретения
![]() где R – водород или С1 – С4алкил; R1 – водород; R2 – водород; R3 – водород, С1 – С4алкил, С1 – С4алкокси или галоген; R4 представляет собой моно- либо ди-С1 – С4алкилтиокарбамоил, радикал -N(R7)R8 или замещенный радикалами R9 или R10 цикл либо бицикл, выбранный из группы, включающей бензол, фуран, тиофен, тиазол, изотиазол, имидазол, триазол, тетразол, тиадиазол, пиридин, пиримидин, бензимидазол и хинолин; R5 – водород; R6 – водород или С1 – С4алкил; R7 – С1 – С7алкил; R8 – Ar-С1 – С4алкил, где Ar означает фенил, или же R7 и R8 вместе и включая атом азота, по которому они связаны, представляют собой незамещенный либо замещенный 5- или 6-членный гетеро(би)цикл, выбранный из группы, включающей пиперидин, пиперазин и 1,2,3,4-тетрагидроизохинолин, причем замещенный пиперидиновый радикал замещен одним, двумя или тремя идентичными либо различными заместителями, выбранными из группы, включающей С1 – С4алкил, фенил и фенил-С1 – С4алкил, замещенный пиперазиновый радикал в положении 4 замещен одним заместителем, выбранным из группы, включающей С1 – С4алкил, С1 – С4алкоксикарбонил-С1 – С4алкил, -CрН(2р-2) – R14 и -СqH2q – R14, замещенный 1,2,3,4-тетрагидроизохинолиновый радикал замещен одним или двумя идентичными либо различными заместителями, выбранными из группы, включающей С1 – С4алкил и карбокси, R9 – водород, С1 – С4алкил, галоген, нитро, карбокси, С1 – С4алкоксикарбонил или замещенный радикалом R15 С1 – С4алкил; R10 – водород или С1 – С4алкил; R14 представляет собой замещенный радикалами R9 и R10 цикл либо бицикл, выбранный из группы, включающей бензол, фуран, тиофен, тиазол, изотиазол, имидазол, триазол, тетразол, тиадиазол, пиридин, пиримидин, бензимидазол и хинолин; R15 – карбокси, С1 – С4алкоксикарбонил или -N(R16)R17, где R16 – С1 – С4алкил и R17 означает С1 – С4алкил, или же R16 и R17 вместе и включая атом азота, по которому они оба связаны, представляют собой пиперидиновый или морфолиновый радикал; W – СН или N; X – S; Z – S; m означает число в интервале от 1 до 5; n означает число 0; t означает число 0; u означает число в интервале от 0 до 2; v означает число 0 или 1; р означает число в интервале от 2 до 4; q означает число в интервале от 0 до 2, и их соли, причем v не означает число 1, если m означает число 1, и причем R4 не представляет собой -N(R7)R8 или связанный через N (атом азота) цикл либо бицикл, если Z означает S, v означает число 1 и u означает число 0. 2. Соединения формулы I по п.1, где R – водород; R1 – водород; R2 – водород; R3 – водород, С1 – С4алкил или С1 – С4алкокси; R4 представляет собой ди-С1 – С4алкилтиокарбамоил, радикал -N(R7)R8 или замещенный радикалами R9 и R10 цикл либо бицикл, выбранный из группы, включающей бензол, фуран, тиофен, тиазол, имидазол, тетразол, пиридин и бензимидазол; R5 – водород, R6 – водород или С1 – С4алкил; R7 и R8 вместе и включая атом азота, по которому они оба связаны, представляют собой незамещенный или замещенный пиперазиновый или 1,2,3,4-тетрагидроизохинолиновый радикал, причем замещенный пиперазиновый радикал в положении 4 замещен одним заместителем, выбранным из группы, включающей -СрН(2р-2) – R14 и -СqH2q – R14; R9 – водород, С1 – С4алкил, галоген, нитро, карбокси, С1 – С4алкоксикарбонил или замещенный радикалом R15 С1 – С4алкил; R10 – водород или С1 – С4алкил; R14 представляет собой замещенный радикалами R9 и R10 цикл, выбранный из группы, включающей бензол и тиофен; R15 – карбокси; W – СН или N; X – S; Z – S; m означает число в интервале от 1 до 3; n означает число 0; t означает число 0; u означает число 0, 1 или 2; v означает число 0 или 1; р означает число 3 и q означает число 0 или 1, и их соли, причем v не означает число 1, если m означает число 1, и причем R4 не представляет собой -N(R7)R8 или связанный через N (атом азота) цикл либо бицикл, если Z означает S, v означает число 1 и u означает число 0. 3. Соединения формулы I по п.1, где t означает число 0 и v означает число 0, и их соли. 4. Соединения формулы I по п.1, где t означает число 0, v означает число 1 и u означает число 0, и их соли. 5. Соединения формулы I по п.1, где t означает число 0, v означает число 1 и u означает число 1 или 2, и их соли. 6. Соединения формулы I по п.1, где пиридиновое, соответственно пиримидиновое кольцо присоединено в положении 2. 7. Соединения формулы I по п.1, где пиридиновое, соответственно пиримидиновое кольцо присоединено в положении 4. РИСУНКИ
MM4A Досрочное прекращение действия патента Российской Федерации на изобретение из-за неуплаты в установленный срок пошлины за поддержание патента в силе
Дата прекращения действия патента: 20.07.2002
Извещение опубликовано: 10.11.2004 БИ: 31/2004
|
||||||||||||||||||||||||||





част./млн): 7,88 (d, 1H), 7,77 (d, 1H), 5,00 (s, 2H), 3,79 (t, 2H), 3,40 (t, 2H), 2,70 (s, 3H), 2,14 (m, 2H).
Е1. 4-(3-хлорпропилтио)-3-метил-2-[(2-пиримидинилтио)метил]пиридин



