Патент на изобретение №2216330
|
||||||||||||||||||||||||||
(54) ФАРМАЦЕВТИЧЕСКАЯ КОМПОЗИЦИЯ, СОДЕРЖАЩАЯ НУКЛЕОТИДНЫЙ АНАЛОГ, И СПОСОБ ЕЕ ПРИГОТОВЛЕНИЯ
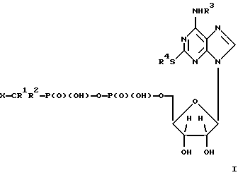
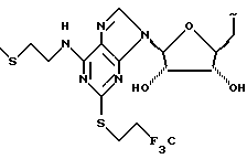
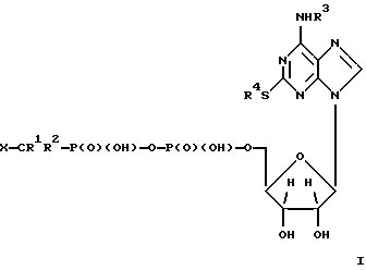
(57) Реферат: Описана фармацевтическая композиция, содержащая нуклеотидный аналог и одну или несколько стеклообразующих добавок, выбранных из сорбита, сахарозы, лактозы или трегалозы, обладающая повышенной стабильностью. 2 с. и 2 з.п. ф-лы, 2 табл. Данное изобретение обеспечивает фармацевтическую композицию, пригодную для лиофилизации, и способ приготовления этой композиции. Предпосылки изобретения Лиофилизация представляет собой хорошо известный способ, используемый для приготовления стабильных к хранению композиций фармацевтических соединений, которые в противном случае страдают от деградации при хранении в присутствии воды, например, вследствие диспропорционирования и/или гидролиза. Примеры таких фармацевтических соединений включают в себя нуклеотиды. Проблема заключается в том, что лиофилизация не удаляет всю воду из композиции, содержащей такое фармацевтическое соединение. Вода, которая остается после лиофилизации, может дестабилизировать эту композицию во время хранения. Таким образом, существует потребность в композициях фармацевтических соединений, таких как нуклеотиды, которые после лиофилизации являются стабильными при долгосрочном хранении. Сущность изобретения В соответствии с данным изобретением обеспечена фармацевтическая композиция, содержащая нуклеотидные аналоги и одну или несколько стеклообразующих добавок. Нуклеотид представляет собой соединение, содержащее пуриновое или пиримидиновое основание, присоединенное к пентосахару, причем одна или несколько гидроксигрупп этого пентосахара являются фосфорилированными моно- или полифосфатом. Нуклеотидный аналог для применения в данном изобретении является в общем соединением, в котором одна или более из трех составляющих, из которых состоит нуклеотид, являются модифицированными, например, присоединением одного или более заместителей и/или заменой одного или нескольких структурообразующих атомов. Нуклеотид, используемый в этом изобретении, представляет собой предпочтительно соединение, описанное в WO 94/18216, которое является соединением формулы I: ![]() где R1 и R2 независимо обозначают водород или галоген, R3 и R4 независимо обозначают фенил или C1-6-алкил, необязательно замещенный одним или несколькими заместителями, выбранными из OR5, C1-6-алкилтио, NR6R6, фенила, COOR8 и галогена, R5, R6, R7 и R8 независимо обозначают водород или C1-6-алкил и Х обозначает кислотную часть молекулы, или его фармацевтически приемлемую соль. Соединения формулы I могут существовать в таутомерной, энантиомерной и диастереомерной формах, все из которых включены в объем этого изобретения. Фармацевтически приемлемые соли соединений формулы I включают в себя соли щелочных металлов, например, соли натрия и калия; соли щелочноземельных металлов, например, соли кальция и магния; соли элементов группы III, например, соли алюминия; и соли аммония; соли с подходящими органическими основаниями, например соли с гидроксиламином; низшими алкиламинами, например метиламином или этиламином; с замещенными низшими алкиламинами, например, гидроксизамещенными алкиламинами; или с моноциклическими азотсодержащими гетероциклическими соединениями, например пиперидином или глорфолином; и соли с аминокислотами, например с аргинином, лизином и т.д. или их N-алкилпроизводным; или с аминосахаром, например N-метил-D-глюкамином или глюкозамином. Предпочтительными являются нетоксичные физиологически приемлемые соли, хотя применимы также другие соли, например, при выделении или очистке этого продукта. Алкильные группы в производных соединениях формулы I включают в себя прямые, разветвленные или циклические, насыщенные или ненасыщенные алкильные группы. Галогены, которые могут представлять собой R1 и R2, включают в себя F, С1, Вr и I. Предпочтительно, R1 и R2 являются одинаковыми и более предпочтительно обозначают хлор. Предпочтительно R3 и R4 обозначает C1-6-алкил, необязательно замещенный одним или несколькими заместителями, выбранными из OR5, C1-6-алкилтио, NR6R7, фенила, COOR8 и галогена. Галогены, которыми могут быть замещены R3 и R4, включают в себя F, C1, Вr и I и, в частности, фтор. Особенно предпочтительными является соединения, в которых R3 обозначает С1-6-алкил, необязательно замещенный C1-6-алкилтио. Конкретные алкильные группы, которые может представлять собой R3, включают в себя этил, пропил и бутил, и особенно этил. Конкретные замещенные алкильные группы, которые может представлять собой R3, включают в себя 2-(метилтио)этил. Предпочтительно R4 представляет собой С1-6-алкил, необязательно замещенный одним или несколькими, например тремя, атомами галогена. Конкретные группы, которые может представлять собой R4, включают в себя пропил и 3,3,3-трифторпропил. Кислотные части, которые может представлять собой X, включают в себя кислоты Бренстеда-Лоури, т.е. части молекулы, которые действуют в качестве доноров протона. Кислотная составляющая может быть моно- или поликислотной. Характерные кислотные составляющие, которые могут быть упомянуты, включают в себя -Р(О) (ОН)2, -SО3,Н и -СО2Н. Предпочтительно, Х обозначает -Р(О)(ОН)2. В особенно предпочтительном варианте этого изобретения нуклеотидный аналог представляет собой соединение формулы (Iа): ![]() (которое является N-[2-(метилтио)этил]-2-[(3,3,3-трифторпропил)тио]-5-адениловой кислотой, моноангидридом с дихлорметиленбисфосфоновой кислотой) или его фармацевтически приемлемую соль, в частности тетранатриевую соль. Соединения формулы I могут быть получены с использованием способов, описанных в WO 94/18216. Соединения формулы I являются ценными, так как они проявляют фармакологическую активность для млекопитающих и действуют как антагонисты Р2Т-рецептора. Таким образом, композиции этого изобретения применимы в терапии, особенно в дополнительной лечебной терапии, в частности они показаны для применения в качестве ингибиторов активации, агрегации и дегрануляции тромбоцитов, промоторов дезагрегации тромбоцитов, антитромботических агентов или в лечении или профилактике нестабильной стенокардии, при коронарной ангиопластике (РТСА), инфаркте миокарда, перитромболизе, первичных артериальных тромботических осложнениях атеросклероза, таких как тромботический или эмболический удар, преходящие нарушения мозгового кровообращения, болезнь периферических сосудов, инфаркт миокарда с тромболизом или без него, артериальные осложнения, обусловленные вмешательством в атеросклеротическое заболевание, таким как ангиопластика, эндартерэктомия, помещение стента, хирургия с использованием трансплантации коронарных и других сосудов, тромботические осложнения хирургического или механического повреждения, такого как спасение тканей после случайной или хирургической травмы, восстановительная хирургия, включающая в себя трансплантацию кожи и мышц, состояния с рассеянным тромботическим/истощающим тромбоциты компонентом, такие как диссеминированная внутрисосудистая коагуляция, тромбоцитопенический акроангилтромбоз (тромботическая пурпура), гемолитико-уремический синдром, тромботические осложнения септицемии, респираторный дистресс-синдром взрослых, антифосфо-липидный синдром, гепарин-индуцированная тромбоцитопения и предэклампсия/эклампсия, или венозный тромбоз, такой как тромбоз глубоких вен, веноокклюзивное заболевание, гематологические состояния, такие как миелопролиферативное заболевание, в том числе тромбоцитоз, серповидноклеточная анемия; или в предупреждении механически индуцированной активации тромбоцитов in vivo, например, при экстракорпоральном кровообращении и экстракорпоральной мембранной оксигенации (предупреждении микротромбоэмболии), механически индуцированной активации тромбоцитов in vitro, например при применении в консервировании продуктов крови, таких как концентратов тромбоцитов, или при закупорке шунтов, например, при диализе и плазмаферезе почек, при тромбозе, вторичном относительно повреждения/воспаления сосуда, таком как васкулит, артериит, гломерулонефрит, воспалительная болезнь пищеварительного тракта и отторжение трансплантированного органа, при таких состояниях, как мигрень, болезнь Рейно, в состояниях, в которых тромбоциты могут способствовать лежащему в основе этих состояний воспалительному процессу в стенке сосуда, таких как образование/прогрессирование атероматозных бляшек, стеноз/рестеноз, и в других воспалительных состояниях, таких как астма, в которых тромбоциты и факторы, связанные с тромбоцитами, участвуют в иммунологическом процессе заболевания. Далее, в соответствии с данным изобретением, обеспечено применение композиции этого изобретения для лечения вышеупомянутых нарушений. В частности, композиции данного изобретения применимы для лечения острых коронарных синдромов, инфаркта миокарда, тромботического удара, преходящих нарушений мозгового кровообращения, болезни периферических сосудов и стенокардии, в частности, нестабильной стенокардии. Это изобретение обеспечивает также способ лечения вышеупомянутых расстройств, предусматривающий введение пациенту, страдающему от такого расстройства, терапевтически эффективного количества композиции в соответствии с данным изобретением. Стеклообразующий модифицирующий агент, пригодный для использования в данном изобретении, является обычно агентом, который имеет температуру стеклования выше комнатной температуры, более конкретно более приблизительно 50oС, в высушенном состоянии. Это определяется тем, что при хранении в окружающих условиях высушенная композиция находится в этом случае в стекловидной форме. Примеры подходящих модифицирующих агентов включают в себя сахара (например, сахарозу, трегалозу, лактозу или сорбит) или полимеры (такие как декстран или поливинилпирролидон (PVP)). Особенно предпочтительные примеры подходящих модифицирующих агентов включают в себя сахарозу. Количество модифицирующего агента, присутствующего в композиции в соответствии с данным изобретением, должно быть достаточным для стабилизации этой композиции. Далее, это изобретение обеспечивает фармацевтическую композицию в высушенной лиофилизацией, распылительной сушкой или высушенной в вакууме форме и в восстановленной форме. Далее, в соответствии с данным изобретением, обеспечен способ приготовления композиции данного изобретения, предусматривающий смешивание ингредиентов этой композиции и либо замораживание их и высушивание замороженной смеси, либо распыление их (например, в теплом воздухе). Преимущество композиции этого изобретения заключается в том, что она является более стабильной в отношении долгосрочного хранения, как показано примером. Содержание воды этой высушенной композиции предпочтительно менее 5% по весу, более предпочтительно менее 3% по весу. Фармацевтическая композиция в соответствии с данным изобретением необязательно дополнительно содержит фармацевтически приемлемый наполнитель, например хелатообразующий агент или связывающий (например, комплексообразующий) агент (пассиватор), антиоксидант, корректирующий тоничность агент, модифицирующий рН агент и/или буферирующий агент, например один или более из агентов, описанных в “Review of Excipients and pH’s for Parenteral Products used in the United States” Yu-Chang John Wang and R.R. Kowal, J. Parenteral Drug Association, 34, 452-462 (1980). Способ приготовления фармацевтической композиции в соответствии с данным изобретением может проводиться с использованием любого способа лиофилизации, вакуумной сушки или распылительной сушки, обычно используемых в области фармацевтики. Предпочтительным способом согласно этому изобретению является способ лиофилизации во флаконах. Такой способ предусматривает заполнение стерильных флаконов стерильным профильтрованным раствором композиции данного изобретения. Стерильную пробку для лиофилизации частично вставляют во флакон, который замораживают, например, при температуре от -30 до -50oС и после этого сушат в вакууме в замороженном состоянии. После высушивания пробку вставляют полностью перед удалением флакона из установки для лиофилизации. При использовании, но перед введением фармацевтические композиции данного изобретения обычно восстанавливают в фармацевтически приемлемом разбавителе. Примеры фармацевтически приемлемых разбавителей для инъекции или инфузии включают в себя воду, солевой раствор (например, 0,9 мас./об.% раствор хлорида натрия для инъекции) и декстрозу (например, 5 мас./об.% раствор декстрозы для инфузии). Предпочтительно в качестве разбавителя используют воду. Раствор фармацевтической композиции в соответствии с данным изобретением, полученный после воссоздания, может быть изотоническим раствором. В предпочтительном варианте рН композиции данного изобретения находится в пределах от 6 до 10, более предпочтительно от 7 до 9. Фармацевтическую композицию в соответствии с данным изобретением после воссоздания вводят предпочтительно инъекцией внутривенно, подкожно или внутримышечно, предпочтительно внутривенно. Композиции данного изобретения могут быть упакованы в подходящем образом приспособленные фармацевтические устройства для введения, например шприцы, флаконы или ампулы, так что добавление воды делает возможным приготовление in situ водного раствора активного ингредиента в форме, пригодной для немедленного введения пациенту. Теперь изобретение будет описано более подробно при помощи следующих примеров. Пример 1 Лиофилизованные композиции, перечисленные в таблице 1, готовили следующим образом. Для каждой партии ингредиенты растворяли в указанном объеме воды и помещали в аппарат для лиофильной сушки Virtis Genesis 25EL. Их замораживали до температуры между -40 и -50oС и затем подвергали в течение 60-80 часов первичному высушиванию при температуре в пределах от -35 до -40oС. Затем температуру стеллажа аппарата медленно увеличивали до 35oС и сушку завершали выдерживанием при этой температуре в течение 12-14 часов. Вакуум поддерживали при 100 мТор во время первичного и вторичного высушивания. Соединение Ia относится к N-[2- метилтио)этил]-2-[(3,3,3-трифторпропил)тио] -5′-адениловой кислоте, моноангидриду с дихлорметиленбисфосфоновой кислотой, где аналог является натриевой солью соединения формулы Ia. Каждую партию хранили затем при 40oС и относительной влажности 75% и была обнаружена деградация, показанная в таблице 2, где количество каждой примеси дается в % по весу и примесь А является соединением формулы Ib, которое представляет собой ![]() и примесь В является соединением формулы Iс ![]() где Q обозначает ![]() Результаты в таблице 2 ясно показывают, что композиции в соответствии с данный изобретением являются более стабильными в отношении долгосрочного хранения, чем композиции, содержащие только аналог. Формула изобретения 1. Фармацевтическая композиция, содержащая нуклеотидный аналог, где нуклеотид является соединением формулы I ![]() где R1 и R2 независимо обозначают водород или галоген; R3 и R4 независимо обозначают фенил или C1-6-алкил, необязательно замещенный одним или несколькими заместителями, выбранными из OR5, С1-6-алкилтио, NR6R7, фенила, COOR8 и галогена, R5, R6, R7 и R8 независимо обозначают водород или C1-6-алкил; X обозначает кислотную часть молекулы; или его фармацевтически приемлемой солью, и одну или несколько стеклообразующих добавок, выбранных из сорбита, сахарозы, лактозы или трегалозы. 2. Фармацевтическая композиция по п. 1, которая находится в лиофилизованной, высушенной распылительной сушкой или высушенной в вакууме форме. 3. Фармацевтическая композиция по п. 1 или 2, которая находится в восстановленной форме. 4. Способ приготовления фармацевтической композиции по п. 2, предусматривающий смешивание ингредиентов этой композиции и либо замораживание их и высушивание смеси, либо высушивание их распылительной сушкой. РИСУНКИ
RH4A – Выдача дубликата патента Российской Федерации на изобретение
Дата выдачи дубликата: 20.06.2007
Наименование лица, которому выдан дубликат:
Извещение опубликовано: 20.08.2007 БИ: 23/2007
PC4A – Регистрация договора об уступке патента Российской Федерации на изобретение
(73) Патентообладатель(и):
(73) Патентообладатель:
Дата и номер государственной регистрации перехода исключительного права: 23.07.2007 № РД0024470
Извещение опубликовано: 10.09.2007 БИ: 25/2007
|
||||||||||||||||||||||||||






