Патент на изобретение №2215972
|
||||||||||||||||||||||||||
(54) СИСТЕМА НАВЕДЕНИЯ
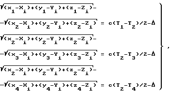
(57) Реферат: Изобретение относится к высокоточному оружию и предназначено для подавления огнестрельного оружия противника. Технический результат – оперативное подавление действующих огневых средств противника, находящихся в укрытиях или в условиях отсутствия непосредственной видимости. Система содержит стартовую аппаратуру поражающего снаряда и сигнальные снаряды – дистанционно устанавливаемые акустические станции, имеющие канал связи с этой стартовой аппаратурой. Сигнальные снаряды имеют определитель их расположения и каналы связи со стартовой аппаратурой поражающего снаряда. В систему введены селекторы передних фронтов акустических сигналов, измерители времени поступления этих фронтов и вычислитель, определяющий координаты выстрелившего огнестрельного оружия. На поражающем снаряде установлены приемопередатчики радиоимпульсов, а на сигнальных снарядах – переизлучатели ответных к ним радиоимпульсов. На поражающем снаряде также установлен вычислитель его траектории по времени поступления этих ответных радиоимпульсов и корректор этой траектории по отклонению ее конечной расчетной точки от цели. 3 ил. Изобретение относится к высокоточному оружию и предназначено для экономии боеприпасов при подавлении огнестрельного оружия противника. Изобретение может быть использовано для сокращения потерь населения при управлении артиллерийским и ракетным огнем в боевых операциях во время локальных конфликтов или для борьбы с террористическими и бандитскими группировками, вооруженными огнестрельным оружием, расположенным вне зоны визирования оптических и радиотехнических средств. Изобретение также может быть использовано при огневой поддержке морских десантных операций. Известна система наведения снарядов, содержащая бортовую аппаратуру наведения, размещенную на платформе, радиопередатчик бортовой аппаратуры и радиоприемник бортовой аппаратуры. Эти средства позволяют оперативно корректировать траекторию полета снаряда к цели (Патент США 5131602, F 47 G 7/28, аналог). Недостатком этой системы является отсутствие возможности точного наведения снаряда на цель, расположенную вне зоны визирования оптических и радиотехнических средств, так как технические средства этой системы не имеют информационного контакта с целью. Известна система наведения, содержащая стартовую аппаратуру поражающего снаряда, сигнальный снаряд, имеющий канал связи со стартовой аппаратурой поражающего снаряда, датчик обнаружения цели в пределах заданного района, расположенный на сигнальном снаряде, канал связи сигнального снаряда со стартовой аппаратурой поражающего снаряда и определитель места расположения сигнального снаряда. (Патент США 4553718, F 47 G 7/28, прототип). Эта система снабжена средствами для информационного контакта с целью, однако этот контакт может быть осуществлен только в момент подлета сигнального снаряда к цели. Это затрудняет оперативное уничтожение замаскированных или находящихся вне зоны непосредственного визирования сигнальным снарядом огневых средств противника. Поэтому известная система не обеспечивает возможности наведения поражающих снарядов на огнестрельное оружие противника, размещенное в районе боевых действий в укрытиях или в условиях отсутствия видимости, непосредственно во время его функционирования (выстрела). Целью настоящего изобретения является оперативное подавление действующих тактических огневых средств противника, находящихся в укрытиях или в условиях отсутствия непосредственной видимости. Поставленная цель достигается тем, что система наведения содержит стартовую аппаратуру поражающего снаряда и, по меньшей мере, четыре сигнальных снаряда, имеющих канал связи со стартовой аппаратурой поражающего снаряда, а также определитель места приземления сигнальных снарядов и датчики обнаружения цели в пределах заданного района. Эти датчики расположены, по меньшей мере, на трех сигнальных снарядах, территориально разносимых по месту падения в пределах заданного района, и выполнены виде приемников акустических сигналов, возникающих при выстреле огнестрельного оружия. На стартовой аппаратуре размещены селекторы передних фронтов акустических сигналов, измерители времени поступления этих фронтов и вычислитель, определяющий координаты хо, уо zo выстрелившего огнестрельного оружия, по системе уравнений (в прямоугольной системе координат) ![]() где x1, у1, x2,у2, х3,у3 и x4,у4 – координаты четырех сигнальных снарядов, t1-t2 – промежуток времени между приходом фронта акустического сигнала на первый и второй сигнальный снаряд; t2-t3 – промежуток времени между приходом фронта акустического сигнала на второй и третий сигнальный снаряд; t3-t4 – промежуток времени между приходом фронта акустического сигнала на второй и третий сигнальный снаряд; v – скорость звука. На поражающем снаряде установлены передатчики радиоимпульсов, а на сигнальных снарядах установлены излучатели ответных к ним радиоимпульсов. На поражающем снаряде также установлены вычислитель его траектории по точкам Хi, Yi, Zi, координаты которых определяются по системе уравнений ![]() где T1-T2 – промежуток времени между приходом фронта ответного импульса от первого и второго сигнальных снарядов; Т2-Т3 – промежуток времени между приходом фронта ответного импульса от второго и третьего сигнальных снарядов, Т2-Т4 – промежуток времени между приходом фронта ответного импульса от второго и четвертого сигнальных снарядов, – время задержки на переизлучение ответного импульса в сигнальном снаряде,и корректор траектории по отклонению ее конечной расчетной точки от цели, полученной экстраполяцией текущих значений Хi, Yi, Zi. На фиг. 1 показана схема огня при осуществлении наземной операции, на фиг. 2 изображен сигнальный снаряд с автоответчиком и на фиг.3 – поражающий управляемый снаряд. Система наведения для поражающего снаряда 1 содержит стартовую аппаратуру 2 поражающего снаряда 1 и вычислителя 3 и 4, установленные, соответственно, в этой стартовой аппаратуре 2 и на поражающем снаряде 1. Система содержит также средства для организации каналов связи 5 между стартовой аппаратурой 2 и тремя датчиками 6 обнаружения цели 7, выполненными в виде приемников акустических сигналов, возникающих при выстреле огнестрельного оружия, которые размещены на сигнальных снарядах 8 для их доставки в пределах заданного района и разнесения по месту падения. Средства для организации каналов связи 5 выполнены из антенн 9 и приемопередатчиков 10, размещенных на сигнальных снарядах, и приемопередатчиков 11, размещенных на стартовой аппаратуре. Система наведения содержит также определитель 12 мест расположения сигнальных снарядов 8. Определитель 12 на стартовой аппаратуре 2 может выть выполнен на базе радиолокатора и взаимодействующих с ним радиолокационных автоответчиков 13, установленных на этих сигнальных снарядах 8. (Возможно также применение на этих сигнальных снарядах 8 приемников спутниковой навигации с передатчиками информации на стартовую аппаратуру 2 или пассивных уголковыхотражателей, разворачиваемых после приземления сигнального снаряда 8 или других подобных технических средств). Стартовая аппаратура 2 снабжена селектором 14 передних фронтов акустических сигналов, выделенных из несущих сигналов каналов связи 5, а вычислитель 3 стартовой аппаратуры 2 выполнен с возможностью определения координат o, yo, zo в прямоугольной системе координат выстрелившего огнестрельного оружия из системы уравнений ![]() ![]() ![]() где х1, у1, z1, x2, y2, z2, x3, y3, z3, x4, y4, z4 – координаты сигнальных снарядов, t1-t2 – промежуток времени между приходом фронта акустического сигнала на первый и второй сигнальный снаряд, t2-t3 – промежуток времени между приходом фронта акустического сигнала на второй и третий сигнальный снаряд, t3-t4 – промежуток времени между приходом фронта акустического сигнала на третий и четвертый сигнальный снаряд, v – скорость звука. При боевых действиях на равнинной территории, на дистанции, допускающей пренебрежение кривизной Земли, достаточно использовать любые два из вышеприведенных уравнений (соответственно данные, полученные от трех сигнальных снарядов 8). При этом принимается, что координаты z1 = z2 = z3 = z4 = z0 = 0. Система наведения снабжена четырьмя переизлучателями 15 радиоимпульсов приемопередатчиков 16 поражающего снаряда 1, размещенными на сигнальных снарядах 8. Вычислитель 4, установленный на поражающем снаряде 1, выполнен с возможностью вычисления траектории на поражающего снаряда по точкам Xi, Yi, Zi в прямоугольной системе координат, координаты которых определяются по системе уравнений ![]() ![]() ![]() где С – скорость света; Т1-Т2 – промежуток времени между приходом фронта ответного импульса от первого и второго сигнальных снарядов; Т2-Т3 – промежуток времени между приходом фронта ответного импульса от второго и третьего сигнальных снарядов; Т2-Т4 – промежуток времени между приходом фронта ответного импульса от второго и четвертого сигнальных снарядов, – время задержки на переизлучение ответного импульса в сигнальном снаряде.
Вычислитель 4, установленный на поражающем снаряде 1, выполнен также с возможностью вычисления коррекции траектории по отклонению ее конечной расчетной точки от цели 6, полученной экстраполяцией текущих значений Xi, Yi, Zi.
Стартовая аппаратура 2 может быть снабжена базой данных спектров и форм акустических сигналов и селектором, отделяющим по этим параметрам разрывы снарядов и ракет от акустических сигналов имитаций выстрелов (не показано, так как эта база реализуется программно).
Система функционирует при подавлении огнестрельного оружия противника – цели 7. На разнесенные участки территории в области предполагаемого расположения артиллерийского вооружения противника запускают сигнальные снаряды 8. Для этого могут использоваться пусковые установки ракетных систем минирования, легкие беспилотные летательные аппараты и т.п. средства. После приземления снарядов 8 радиолокатором 10 определяют их координаты.
После определения координат сигнальных снарядов 8 стартовая аппаратура 2 переходит в ждущий режим. При очередном орудийном или минометном выстреле орудия противника (цели) 6 на территории в зоне акустического контакта датчики 6 обнаружения цели 7 (приемники акустических сигналов) по каналам связи 5 передают на стартовую аппаратуру 2 радиосигналы, модулированные звуком выстрелов. Из этих сигналов селектором 12 выделяют их передние фронты (что позволяет исключить влияния их отражений и от рельефа местности, сооружений и т. п. неоднородностей) и фиксируют время поступления этих фронтов от каждого из сигнальных снарядов 8.
Решая приведенную выше систему уравнений, определяют координаты огнестрельного оружия (цели 7) x0, y0, которым произведен выстрел, и наводят на него поражающий снаряд 1.
Селекцию акустических сигналов от выстрелов огнестрельного оружия противника на фоне разрывов снарядов, а также имитаций выстрелов, можно осуществлять сравнением их формы и спектральных характеристик с данными, заложенными в памяти стартовой аппаратуры 2.
Селекцию акустических сигналов можно осуществлять также и расчетно, сопоставляя сигналы выстрелов огнестрельного оружия противника с сигналами разрывов снарядов на своей территории, которые фиксируются воспомогательными акустическими приемниками. В этом случае учитывается промежуток времени, соответствующий длительности полета снаряда противника, а также промежуток времени прохождения звуковой волны разрыва, по которому можно ориентировочно определить его место. Сопоставляя эти характеристики с реальными параметрами оружия противника, судят о достоверности полученной информации о расположении огневых средств противника.
Наведение реактивных поражающих снарядов 1 на конечном участке их траектории осуществляют, используя сигнальные снаряды 8 в качестве радиомаяков – по радиоимпульсам, проходящим по пути приемопередатчик 14 поражающего снаряда 1 – переизлучатели 13 сигнальных снарядов 8 и обратно за промежутки времени T1, T2, Т3, Т4. Определяя относительные расстояния до сигнальных снарядов (по соотношению времен прихода радиоимпульсов), рассчитывают положение текущих точек и экстраполяцией текущих значений Хi, Yi, Zi и определяют конечную точку траектории поражающего снаряда 1. По отклонению этой точки от координат цели 7 корректируют траекторию полета поражающего снаряда 1, приводя ее в точку, где соотношение моментов времени прихода радиоимпульсов соответствует соотношению моментов времени прихода акустических сигналов на приемники сигнальных снарядов (с учетом отношения скорости света к скорости звука).
Собственные артиллерийские средства, в частном случае, могут быть снабжены вспомогательными каналами связи со стартовой аппаратурой 2, передающими информацию о моменте выстрела для блокировки акустических сигналов поражающих снарядов средств огневой поддержки.
Формула изобретения Система наведения для поражающего снаряда, содержащая стартовую аппаратуру поражающего снаряда, вычислители, установленные в стартовой аппаратуре и на поражающем снаряде, средства для организации каналов связи между стартовой аппаратурой и датчиком обнаружения цели, определитель места расположения сигнального снаряда, отличающаяся тем, что она снабжена четырьмя переизлучателями радиоимпульсов и тремя датчиками обнаружения цели, причем все датчики обнаружения цели выполнены в виде приемников акустических сигналов, возникающих при выстреле огнестрельного оружия, стартовая аппаратура поражающего снаряда снабжена селектором передних фронтов акустических сигналов, выделенных из несущих сигналов каналов связи, а вычислитель стартовой аппаратуры выполнен с возможностью определения координат х0, у0, z0 в прямоугольной системе координат выстрелившего огнестрельного оружия из системы уравнений ![]() ![]() ![]() где х1, у1, z1, x2, y2, z2, x3, y3, z3, x4, y4, z4 – координаты сигнальных снарядов в прямоугольной системе координат; t1 – t2 – промежуток времени между приходом фронта акустического сигнала на первый и второй сигнальные снаряды; t2 – t3 – промежуток времени между приходом фронта акустического сигнала на второй и третий сигнальные снаряды; t3 – t4 – промежуток времени между приходом фронта акустического сигнала на третий и четвертый сигнальные снаряды; v – скорость звука, вычислитель, установленный на поражающем снаряде, выполнен также с возможностью вычисления траектории поражающего снаряда по точкам Xi, Yi, Zi в прямоугольной системе координат, координаты которых определяются по системе уравнений ![]() ![]() ![]() где Т1-Т2 – промежуток времени между приходом фронта ответного импульса от первого и второго сигнальных снарядов; Т2-Т3 – промежуток времени между приходом фронта ответного импульса от второго и третьего сигнальных снарядов; Т2-Т4 – промежуток времени между приходом фронта ответного импульса от второго и четвертого сигнальных снарядов; – время задержки на переизлучение ответного импульса в сигнальном снаряде;С – скорость света, вычислитель, установленный на поражающем снаряде, выполнен также с возможностью вычисления коррекции траектории по отклонению ее конечной расчетной точки от цели, полученной экстраполяцией текущих значений Xi, Yi, Zi, причем переизлучатели радиоимпульсов, приемники акустических сигналов, средства для организации каналов связи размещены в сигнальных снарядах для их доставки в пределах заданного района и разнесения по месту падения. РИСУНКИ
MM4A Досрочное прекращение действия патента Российской Федерации на изобретение из-за неуплаты в установленный срок пошлины за поддержание патента в силе
Дата прекращения действия патента: 29.09.2005
Извещение опубликовано: 20.11.2006 БИ: 32/2006
|
||||||||||||||||||||||||||



– время задержки на переизлучение ответного импульса в сигнальном снаряде,










