Патент на изобретение №2215765
|
||||||||||||||||||||||||||
(54) СОСТАВ ДЛЯ ОГНЕСТОЙКОГО ТЕПЛОЗАЩИТНОГО ПОКРЫТИЯ
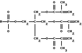
(57) Реферат: Изобретение относится к составам для получения огнестойких теплозащитных покрытий на основе полимерного связующего. Состав содержит, мас.%: в качестве пластификатора – фосфполиол 3-10, порообразователя – ацетон 3-5, наполнителя – перлит 5-10, тальк -8-12, слюду 5-9, фенольно-фурфурольно-формальдегидную смолу 15-30, эпоксидную диановую смолу 10-30, отвердителя – гексаметилентетрамин в алифатическом спирте 0,5-1,0, сополимер винилхлорида с акрилонитрилом 30-40. Технический результат – улучшение физико-механических и технологических свойств огнестойкого теплозащитного покрытия при сохранении высоких теплозащитных свойств при действии высоких температур. 1 табл. Изобретение относится к составам для получения огнестойких теплозащитных покрытий на основе полимерного связующего и может быть использовано для защиты подвижных объектов от высокотемпературного нагрева. Известно огнестойкое теплозащитное покрытие, включающее в качестве полимерного связующего фенолформальдегидную смолу, пластификатор, растворитель, наполнитель и отвердитель (см. а.с. СССР 1682369, МПК 5 С 09 D 5/18, 123/34, 1989 г.). Недостатками известного огнестойкого теплозащитного покрытия являются низкая адгезия -1 балл (5 кгс/см2) и жизнеспособность – 2 ч. Целью изобретения является улучшение физико-механических и технологических свойств полимерного огнестойкого теплозащитного покрытия, в том числе увеличение адгезии и жизнеспособности, при сохранении высоких теплозащитных свойств. Поставленная задача решается путем использования в предложенном полимерном теплозащитном покрытии в качестве пластификатора – фосфполиола, порообразователя – ацетона, наполнителя – перлита, талька, слюды, полимерного связующего -фенольно-фурфурольно-формальдегидной смолы и эпоксидной диановой смолы, отвердителя – гексаметилентетрамина в алифатическом спирте и сополимера винилхлорида с акрилонитрилом, при следующем соотношении компонентов, мас.%: Фенольно-фурфурольно-формальдегидная смола – 15-30 Эпоксидная диановая смола – 10-30 Сополимер винилхлорида с акрилонитрилом – 30-40 Гексаметилентетрамин в алифатическом спирте – 0,5-1,0 Фосфполиол – 3-10 Перлит – 5-10 Тальк – 8-12 Слюда – 5-9 Ацетон – 3-5 В составе для огнестойкого теплозащитного покрытия используют сополимер винилхлорида с содержанием от 40 до 80 мас.% акрилонитрила, например, марки СХН-60 по ТУ 6-02-863-79, при воздействии нагрева выделяет НСl в газовую фазу, при этом акрилонитрил циклезуется, увеличивая прочность кокса. Наличие фосфорсодержащего соединения обеспечивает самогашение горящих углеводородных твердых частиц. В качестве фенольно-фурфурольно-формальдегидных смол используют смолы: марки РСФ-14 по ТУ 6-05-1717-75, представляющая собой обесфеноленный новолак СФ-014, фурфурол, а также смола марки РСФ -250 по ТУ 6-05-03 1-463-79, представляющая собой обесфеноленный новолак СФ-014, сплавленный с трифенилфосфатом, фурфурол. Жизнеспособность этих смол составляет шесть месяцев. Использованный нами гексаметилтетрамин в процессе подготовки составов растворяется в соотношении, как правило, (1:1) в алифатических спиртах, например катализатор марки ФУ по ТУ 6-05-031-395-75, в качестве которых в данном предложении мы использовали этиловый, бутиловый и фуриловый спирты. В составе используют смолы эпоксидные диановые неотвержденные марок ЭД-16, ЭД-20 и ЭД-22 по ГОСТ 10587-84. Фосфполиол выпускается по ТУ6-02-863-79. Фосфполиол представляет собой оксиэтилированный сложный эфир пентаэритрита с алкилфосфиновой и метакриловой кислотами. Его структурная формула выглядит следующим образом: ![]() Состав готовят путем смешивания исходных компонентов, непосредственно перед нанесением в состав вводят отвердитель – гексаметилентетрамин в алифатическом спирте. После смешивания всех компонентов получают однородную массу с жизнеспособностью не менее 24 ч. Нанесение покрытия на защищаемую поверхность осуществляется краскораспылителем при толщине одного слоя 0,8-1,0 мм. При нанесении многослойных покрытий слои наносятся “мокрый по мокрому” с промежуточной сушкой в течение 15-30 мин при комнатной температуре и последующей выдержкой при температуре 85 oС в течение 1-1,5 ч. Окончательная термообработка всей толщины покрытия осуществляется при температуре 85oС в течение 3 ч. Для оценки теплозащитных свойств покрытия образцы с нанесенным теплозащитным покрытием подвергают высокотемпературному нагреву. Проведенные испытания заявленного огнестойкого теплозащитного покрытия позволили сделать вывод, что физико-механические и технологические свойства его выше, чем у известного теплозащитного покрытия при высоких теплозащитных свойствах. Результаты испытаний заявленного огнестойкого теплозащитного покрытия в сравнении с известным покрытием приведены в таблице. Таким образом созданное теплозащитное покрытие обладает по сравнению с известным теплозащитным покрытием более высокой адгезией 30 кгс/см2 против 5 кгс/см2, жизнеспособностью (временем пригодностью к использованию с момента приготовления) – 24 ч против 2 ч у известного покрытия, высокими теплозащитными свойствами – нагрев до 175oС против 200oС у известного покрытия, высоким сопротивлением разрыву -200 кгс/см2 против 180 кгс/см2 у известного теплозащитного покрытия. Формула изобретения Состав для огнестойкого теплозащитного покрытия, включающий полимерное связующее, пластификатор, наполнитель и отвердитель, отличающийся тем, что он содержит в качестве полимерного связующего фенольно – фурфурольно – формальдегидную смолу и эпоксидную диановую смолу, в качестве отвердителя – гексаметилентетрамин в алифатическом спирте, в качестве пластификатора – фосфполиол, в качестве наполнителя – перлит, тальк и дополнительно ацетон и сополимер винилхлорида с акрилонитрилом при следующем соотношении компонентов, мас. %: Фенольно-фурфурольно-формальдегидная смола – 15-30 Эпоксидная диановая смола – 10-30 Сополимер винилхлорида с акрилонитрилом – 30-40 Гексаметилентетрамин в алифатическом спирте – 0,5-1,0 Фосфполиол – 3-10 Перлит – 5-10 Тальк – 8-12 Слюда – 5-9 Ацетон – 3-5 РИСУНКИ
MM4A – Досрочное прекращение действия патента СССР или патента Российской Федерации на изобретение из-за неуплаты в установленный срок пошлины за поддержание патента в силе
Дата прекращения действия патента: 08.09.2008
Извещение опубликовано: 20.08.2010 БИ: 23/2010
|
||||||||||||||||||||||||||

