Патент на изобретение №2215746
|
||||||||||||||||||||||||||
(54) ГЕТЕРОЦИКЛИЧЕСКИЕ ПРОИЗВОДНЫЕ ГЛИЦИЛ-БЕТА-АЛАНИНА В КАЧЕСТВЕ АНТАГОНИСТОВ ВИТРОНЕКТИНА
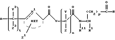
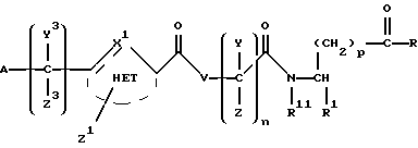
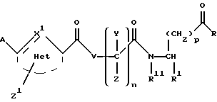
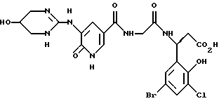
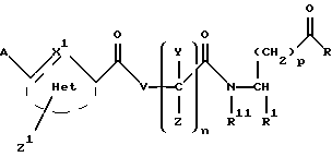
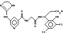
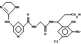
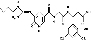
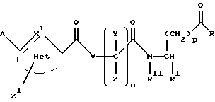
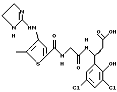
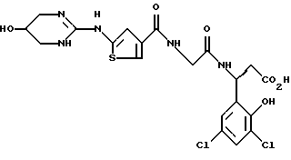
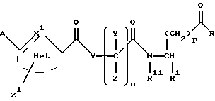
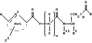
(57) Реферат: Изобретение относится к группе новых соединений – гетероциклических производных глицил-бета-аланина общей формулы I ![]() или фармацевтически приемлемая соль этого соединения, где ![]() является 5-8-членным моноциклическим гетероциклическим, необязательно ненасыщенным кольцом, содержащим от 1 до 4 гетероатомов, выбранных из группы, включающей N и S, причем 1 выбран из группы, включающей СН, СН2, N, NH, О и S, при условии, что ![]() не является пирролидинилом, когда V обозначает NH; А представляет собой группу формулы ![]() где Y1 выбран из группы, включающей N-R2, причем R2 означает водород; R2 означает водород, R7, когда не вместе с R2, и R8 означают водород, алкил, замещенный алкокси группой, или R2 вместе с R7 образуют 4-12-членный, содержащий 2 атома азота гетероцикл, необязательно замещенный одним или несколькими заместителями, выбранными из группы, включающей гидрокси, С1-С10алкил, галоид, спиродиоксалан; А обозначает группу ![]() где R2 вместе с R7 образуют 5-8-членный, содержащий два атома азота гетероцикл, R5 означает водород, R8 означает алкил, необязательно замещенный акоксигруппой; или A обозначает группу ![]() где R2 вместе с R7 образуют 5-8-членный, содержащий 2 атома азота гетероцикл, необязательно замещенный гидроксигруппой; R8 – алкил, замещенный алкоксигруппой; V означает -N-(R6)-; R6 – водород; Y и Z означают водород, t = 0, n и р = 1, 2; R означает Х-R3, где Х -О-; R3 – водород, алкил; R1 выбран из группы, включающей арил, алкил, необязательно замещенный однократно или многократно галоидом, алкилом, ОН; моноциклический гетероцикл; галоидалкил; R11 означает водород, или фармацевтически приемлемая соль этого соединения; фармацевтической композиции, обладающей свойствами антагониста V 3-интегрина, а также к способу лечения заболеваний, опосредованных V 3-интегрином у млекопитающих. 3 с. и 19 з.п. ф-лы, 1 табл.
Текст описания в факсимильном виде (см. графическую часть).
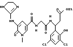
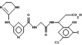
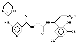
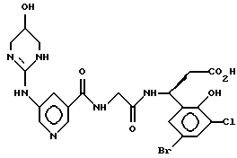
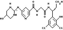
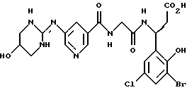
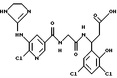
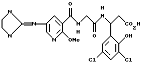
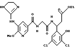
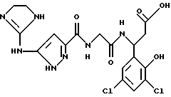
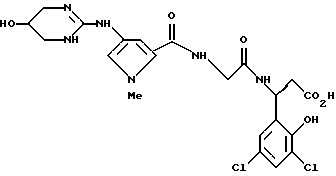
Формула изобретения 1. Соединение формулы I ![]() где ![]() является 5-8-членным моноциклическим гетероциклическим, необязательно ненасыщенным кольцом, содержащим от 1 до 4 гетероатомов, выбранных из групп, включающих N и S, причем 1 выбран из группы, включающей СН, СН2, N, NH и S, при условии, что ![]() не является пирролидинилом, когда V обозначает NH; А представляет собой группу формулы ![]() где Y1 означает N-R2, причем R2 означает водород; R2 означает водород, R7, когда не вместе с R2, и R8 означает водород, алкил, замещенный алкоксигруппой или R2 вместе с R7 образуют 4-12 гетероцикл, содержащий 2 атома азота, необязательно замещенный одним или несколькими заместителями, выбранными из группы, включающей гидрокси, С1-С10алкил, галоид, спиродиоксалан; или А представляют собой группу формулы ![]() где R2 вместе с R7 образуют 5-8-членный, содержащий два атома азота гетероцикл; R5 означает водород; R8 означает алкил, необязательно замещенный алкоксигруппой; или А представляет собой группу формулы ![]() где R2 вместе с R7образуют 5-8-членный, содержащий 2 атома азота гетероцикл, необязательно замещенный гидроксигруппой; R8 означает алкил, замещенный алкоксигруппой; V означает -N-(R6)-; R6 означает водород; Y и Z означают водород; t = 0, n = 1, 2; р = 1, 2; R означает Х-R3, где Х означает -О-; R3 означает водород, алкил; R1 выбран из группы, включающей арил, алкил, необязательно замещенный однократно или многократно галоидом, алкилом, ОН; моноциклический гетероцикл; галоидалкил; R11 означает водород, или фармацевтически приемлемая соль этого соединения. 2. Соединение по п. 1 формулы ![]() где ![]() обозначает ![]() ![]() где R32 обозначает Н, алкил, алкоксиалкил, аминоалкил, диалкиламиноалкил, причем алкильная группа необязательно замещена одним или несколькими заместителями, выбранными из группы, включающей гидрокси, алкокси, амино, алкиламино, диалкиламино, арилили алкилсульфонил, карбокси и карбоксипроизводные. 3. Соединение по п. 2, выбранное из группы, содержащей соединения ![]() ![]() ![]() ![]() ![]() ![]() ![]() ![]() ![]() ![]()
V 3-интегрином у млекопитающих, нуждающихся в таком лечении, включающий введение терапевтически эффективного количества соединения по пп. 1-10 или 11.
14. Способ по п. 13, отличающийся тем, что он применяется для лечения опухолевого метастаза.
15. Способ по п. 13, отличающийся тем, что он применяется для лечения роста твердой опухоли.
16. Способ по п. 13, отличающийся тем, что он применяется для лечения ангиогенеза.
17. Способ по п. 13, отличающийся тем, что он применяется для лечения остеопороза.
18. Способ по п. 13, отличающийся тем, что он применяется для лечения злокачественной гуморальной геперкальцемии.
19. Способ по п. 13, отличающийся тем, что он применяется для лечения миграции клеток гладкой мышцы.
20. Способ по п. 13, отличающийся тем, что он применяется для подавления рестеноза.
21. Способ по п. 13, отличающийся тем, что он применяется для лечения ревматоидного артрита.
22. Способ по п. 13, отличающийся тем, что он применяется для лечения дегенерации желтого пятна.
РИСУНКИ
MM4A Досрочное прекращение действия патента Российской Федерации на изобретение из-за неуплаты в установленный срок пошлины за поддержание патента в силе
Дата прекращения действия патента: 10.04.2005
Извещение опубликовано: 20.10.2006 БИ: 29/2006
|
||||||||||||||||||||||||||







V
3-интегрина, а также к способу лечения заболеваний, опосредованных 




































































