Патент на изобретение №2215738
|
||||||||||||||||||||||||||
(54) НИТРОПРОИЗВОДНЫЕ N-АЛКИЛБЕНЗОАЗАКРАУН-СОЕДИНЕНИЙ И СПОСОБ ИХ ПОЛУЧЕНИЯ
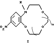
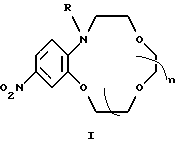
(57) Реферат: Изобретение относится к области органической химии, а именно к новому типу производных бензоазакраун-соединений – нитропроизводным N-алкилбензоазакраун-соединений формулы I, где R – низший алкил, n=1, 2, 3 или 4, которые могут быть использованы в качестве селективных реагентов на катионы аммония, щелочных или щелочноземельных металлов, а также в органическом синтезе в химической промышленности. Описан также способ получения соединений с использованием доступных нитропроизводных бензокраунэфиров. 2 с.п. ф-лы, 2 табл.
Текст описания в факсимильном виде (см. графическую часть).
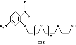
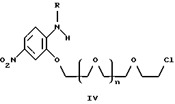
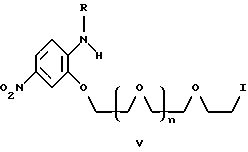
Формула изобретения 1. Нитропроизводные N-алкилбензоазакраун-соединений общей формулы ![]() в которой R – низший алкил; n= 1, 2, 3 или 4. 2. Способ получения соединений формулы I по п. 1, отличающийся тем, что он включает а) взаимодействие 4′-нитропроизводных бензокраун-эфиров общей формулы II ![]() в которых n является таким, как определено в п. 1, при нагревании с алкиламинами формулы RNH2 в которых R является таким, как определено в п. 1, с образованием подвидов общей формулы III ![]() в которых R и n являются такими, как определено в п. 1, б) взаимодействие указанных подандов общей формулы III с хлористым тионилом с образованием соединений общей формулы IV ![]() в которых R и n являются такими, как определено в п. 1, в) взаимодействие указанных соединений общей формулы IV с йодидами щелочных металлов с образованием соединений общей формулы V ![]() в которых R и n являются такими, как определено в п. 1, г) циклизация указанных соединений общей формулы V в присутствии оснований, например, гидрида натрия с образованием нитропроизводных N-алкилбензоазакраун-соединений общей формулы I, в которых R и n являются такими, как определено в п. 1. РИСУНКИ
|
||||||||||||||||||||||||||

Текст описания в факсимильном виде (см. графическую часть).




