Патент на изобретение №2215736
|
||||||||||||||||||||||||||
(54) ПРОИЗВОДНЫЕ БЕНЗАМИДА, СПОСОБ ИХ ПОЛУЧЕНИЯ И ФАРМАКОМПОЗИЦИЯ НА ИХ ОСНОВЕ
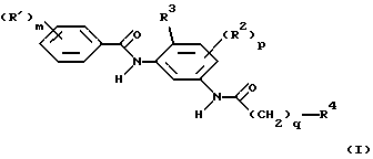
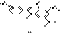
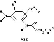
(57) Реферат: Изобретение относится к производным бензамида формулы (I) ![]() где R3 обозначает (1-6С) алкил или галоген; R1 выбран из заместителей, определенных ниже в параграфах (А) и (В): (А) гидрокси, галоген, трифторметил, циано, нитро, амино, карбокси, карбамоил, (1-6С)алкил, (2-6С)алкенил, (2-6С)алкинил, (1-6С)алкокси, (1-6С)алкиламино, и т.д., (В) галоген-(1-6С)алкил, (1-6С)алкокси-(1-6С)алкил, карбокси-(1-6С)алкил, (1-6С) алкоксикарбонил-(1-6С)алкил, и т.д., m = 1, 2 или 3; R2 обозначает гидрокси, галоген, (1-6С)алкил, (2-6С)алкенил, (2-6С)алкинил или (1-6С)алкокси; р = 0 или 1; q = 0, 1, 2, 3 или 4; R4 обозначает арил или циклоалкил, где R4 замещен 1, 2 или 3 заместителями, выбранными из параграфов (С) и (D) ниже: (С) – водород, гидрокси, галоген, трифторметил, циано, меркапто, нитро, амино, карбокси, карбамоил, (1-6С)алкил, (2-6C)алкенил, (2-6С)алкинил, (1-6С)алкокси, (1-6С)алкиламино, и т. д. , (D) – галоген-(1-6С)алкил, (1-6С)алкокси-(1-6С)алкил, карбокси(1-6C)алкил, (1-6С)алкоксикарбонил-(1-6С)алкил и т.д. Предложены способы получения производного бензамида. Также предложена фармацевтическая композиция, обладающая ингибирующей цитокины активностью, которая содержит активный компонент и фармацевтически приемлемый разбавитель или носитель. В качестве активного компонента композиция содержит эффективное количество проводного бензамида формулы (I). Технический результат – производные бензамида, используемые в качестве ингибиторов цитокин опосредованного заболевания. 4 c. и 6 з.п. ф-лы, 4 табл. Текст описания в факсимильном виде (см. графическую часть). Формула изобретения 1. Производное бензамида формулы I ![]() где R3 обозначает (1-6С)алкил или галоген; R1 выбран из заместителей, определенных ниже в параграфах (А) и (В): (A) гидрокси, галоген, трифторметил, циано, нитро, амино, карбокси, карбамоил, (1-6С)алкил, (2-6С)алкенил, (2-6С)алкинил, (1-6С)алкокси, (1-6С)алкиламино, ди[(1-6С)алкил] амино, (1-6С)алкоксикарбонил, N-(1-6С)алкилкарбамоил, N, N-ди[(1-6С)алкил] карбамоил, (1-6С)алканоил, гидрокси-(1-6С)алкил, амино-(1-6С)алкил, (1-6С)алкоксикарбониламино, арил, арил-(1-6С)алкил, арил-(1-6С)алкокси, гетероарил, гетероарил-(1-6С)алкил, гетероциклил и гетроциклил-(1-6С)алкил; (B) галоген-(1-6С)алкил, (1-6С)алкокси-(1-6С)алкил, карбокси-(1-6С)алкил, (1-6С)алкоксикарбонил-(1-6С)алкил, (1-6С)алкиламино-(1-6С)алкил, ди[(1-6С)алкил] амино-(1-6С)алкил, гидрокси-(2-6С)алкокси-(1-6С)алкил, (1-6С)алкокси-(2-6С)алкокси-(1-6С)алкил, гидрокси-(2-6С)алкиламино-(1-6С)алкил, (1-6С)алкокси-(2-6С)алкиламино-(1-6С)алкил, амино-(2-6С)алкиламино-(1-6С)алкил, (1-6С)алкиламино-(2-6С)алкиламино-(1-6С)алкил, ди-[(1-6С)алкил] амино-(2-6С)алкиламино-(1-6С)алкил, гидрокси-N-(1-6С)алкил-(2-6С)алкиламино-(1-6С)алкил, (1-6С)алкокси-N-(1-6С)алкил-(2-6С)алкиламино-(1-6С)алкил, амино-N-(1-6С)алкил-(2-6С)алкиламино-(1-6С)алкил, (1-6С)алкиламино-N-(1-6С)алкил-(2-6С)алкиламино-(1-6С)алкил, ди-[(1-6С)алкил] амино-N-(1-6С)алкил-(2-6С)алкиламино-(1-6С)алкил, трифторметокси, галоген-(2-6С)алкокси, гидрокси-(2-6С)алкокси, (1-6С)алкокси-(2-6С)алкокси, карбокси-(1-6С)алкокси, (1-6С)алкоксикарбонил-(1-6С)алкокси, амино-(2-6С)алкокси, (1-6С)алкиламино-(2-6С)алкокси, ди[(1-6С)алкил] амино-(2-6С)алкокси, галоген-(2-6С)алкиламино, гидрокси-(2-6С)алкиламино, (1-6С)алкокси-(2-6С)алкиламино, карбокси-(1-6С)алкиламино, (1-6С)алкоксикарбонил-(1-6С)алкиламино, амино-(2-6С)алкиламино, (1-6С)алкиламино-(2-6С)алкиламино, ди-[(1-6С)алкил] амино-(2-6С)алкиламино, N-(1-6С)алкилгалоген-(1-6С)алкиламино, N-(1-6С)алкилгидрокси-(2-6С)алкиламино, N-(1-6С)алкил-(1-6С)алкокси-(2-6С)алкиламино, N-(1-6С)алкилциано-(1-6С)алкиламино, N-(1-6С)алкилкарбокси-(1-6С)алкиламино, N-(1-6С)алкил-(1-6С)алкоксикарбонил-(1-6С)алкиламино, N-(1-6С)алкиламино-(2-6С)алкиламино, N-(1-6С)алкил-(1-6С)алкиламино-(2-6С)алкиламино, N-(1-6С)алкил-ди[(1-6С)алкил] амино-(2-6С)алкиламино, (1-6С)алкансульфониламино, N-(1-6С)алкил-(1-6С)алкансульфониламино, галоген-(2-6С)алканоиламино, гидрокси-(2-6С)алканоиламино, (1-6С)алкокси-(2-6С)алканоиламино, карбокси-(2-6С)алканоиламино, (1-6С)алкоксикарбонил-(2-6С)алканоиламино, амино-(2-6С)алканоиламино, (1-6С)алкиламино-(2-6С)алканоиламино, ди-[(1-6С)алкил] амино-(2-6С)алканоиламино, гетероарилокси, гетероарил-(1-6С)алкокси, гетероариламино, гетероарил-(1-6С)алкиламино, N-(1-6С)алкилгетероарил-(1-6С)алкиламино, гетероарилкарбониламино, гетероарил-(2-6С)алканоиламино, гетероарил-(1-6С)алкокси-(1-6С)алкил, гетероарил-(1-6С)алкиламино-(1-6С)алкил, N-(1-6С)алкилгетероарил-(1-6С)алкиламино-(1-6С)алкил, гетероциклилокси, гетероциклил-(1-6С)алкокси, гетероциклиламино, гетероциклил-(1-6С)алкиламино, N-(1-6С)алкилгетероциклил-(1-6С)алкиламино, гетероциклилкарбониламино, гетероциклил-(2-6С)алканоиламино, гетероциклил-(1-6С)алкокси-(1-6С)алкил, гетероциклил-(1-6С)алкиламино-(1-6С)алкил и N-(1-6С)алкилгетероциклил-(1-6С)алкиламино-(1-6С)алкил; и где любая арильная, гетероарильная или гетероциклильная группа в заместителе R1 может необязательно нести 1 или 2 заместителя, выбранных из галогена, (1-6С)алкила и (1-6С)алкокси; и где любой из заместителей, определенных выше в параграфе (В), которые содержат группу СН2, которая присоединена к 2 атомам углерода, или группу СН3, которая присоединена к атому углерода, может необязательно нести на каждой указанной группе СН2 или СН3 заместитель, выбранный из гидрокси, амино, (1-6С)алкокси, (1-6С)алкиламино и ди-[(1-6С)алкил] амино; m= 1, 2 или 3; R2 обозначает гидрокси, галоген, (1-6С)алкил, (2-6С)алкенил, (2-6С)алкинил или (1-6С)алкокси; р= 0 или 1; q= 0, 1, 2, 3 или 4; R4 обозначает арил или циклоалкил, где R4 замещен 1, 2 или 3 заместителями, выбранными из параграфов (С) и (D) ниже: (С) водород, гидрокси, галоген, трифторметил, циано, меркапто, нитро, амино, карбокси, карбамоил, (1-6С)алкил, (2-6С)алкенил, (2-6С)алкинил, (1-6С)алкокси, (1-6C)алкиламино, ди[(1-6С)алкил] амино, (1-6C)алкоксикарбонил, N-(1-6С)алкилкарбамоил, N, N-ди[(1-6С)алкил] карбамоил, (1-6С)алканоил, гидрокси-(1-6С)алкил, амино-(1-6С)алкил, (1-6С)алканоилокси, (1-6С)алкоксикарбониламино, арил, арил-(1-6С)алкил, арил-(1-6С)алкокси, гетероарил, гетероарил-(1-6С)алкил, гетероциклил и гетроциклил-(1-6С)алкил; и (D) галоген-(1-6С)алкил, (1-6С)алкокси-(1-6С)алкил, карбокси-(1-6С)алкил, (1-6С)алкоксикарбонил-(1-6С)алкил, (1-6С)алкиламино-(1-6С)алкил, ди[(1-6С)алкил] амино-(1-6С)алкил, гидрокси-(2-6С)алкокси-(1-6С)алкил, (1-6С)алкокси-(2-6С)алкокси-(1-6С)алкил, гидрокси-(2-6С)алкиламино-(1-6С)алкил, (1-6С)алкокси-(2-6С)алкиламино-(1-6С)алкил, амино-(2-6С)алкиламино-(1-6С)алкил, (1-6С)алкиламино-(2-6С)алкиламино-(1-6С)алкил, ди-[(1-6С)алкил] амино-(2-6С)алкиламино-(1-6С)алкил, гидрокси-N-(1-6C)алкил-(2-6С)алкиламино-(1-6С)алкил, (1-6С)алкокси-N-(1-6С)алкил-(2-6С)алкиламино-(1-6С)алкил, амино-N-(1-6С)алкил-(2-6С)алкиламино-(1-6С)алкил, (1-6С)алкиламино-N-(1-6С)алкил-(2-6С)алкиламино-(1-6С)алкил, ди-[(1-6С)алкил] амино-N-(1-6С)алкил-(2-6С)алкиламино-(1-6С)алкил, трифторметокси, галоген-(2-6С)алкокси, гидрокси-(2-6С)алкокси, (1-6С)алкокси-(2-6С)алкокси, карбокси-(1-6С)алкокси, (1-6С)алкоксикарбонил-(1-6С)алкокси, амино-(2-6С)алкокси, (1-6С)алкиламино-(2-6С)алкокси, ди[(1-6С)алкил] амино-(2-6С)алкокси, галоген-(2-6С)алкиламино, гидрокси-(2-6С)алкиламино, (1-6С)алкокси-(2-6С)алкиламино, циано-(1-6С)алкиламино, карбокси-(1-6С)алкиламино, (1-6С)алкоксикарбонил-(1-6С)алкиламино, карбамоил-(1-6С)алкиламино, N-(1-6С)алкилкарбамоил-(1-6С) алкиламино, N, N-ди-[(1-6С)алкил] карбамоил-(1-6С)алкиламино, амино-(2-6С)алкиламино, (1-6С)алкиламино-(2-6С)алкиламино, ди-[(1-6С)алкил] амино-(2-6С)алкиламино, N-(1-6С)алкилгалоген-(1-6С)алкиламино, N-(1-6С)алкилгидрокси-(2-6С)алкиламино, N-(1-6С)алкил-(1-6С)алкокси-(2-6С)алкиламино, N-(1-6С)алкилкарбокси-(1-6С)алкиламино, N-(1-6С)алкил-(1-6С)алкоксикарбонил-(1-6С)алкиламино, N-(1-6С)алкиламино-(1-6С)алкиламино, N-(1-6С)алкил-(1-6С)алкиламино-(2-6С)алкиламино, N-(1-6С)алкил-ди-[(1-6С)алкил] амино-(2-6С)алкиламино, (1-6С)алкансульфониламино, N-(1-6С)алкил-(1-6С)алкансульфониламино, галоген-(2-6С)алканоиламино, гидрокси-(2-6С)алканоиламино, (1-6С)алкокси-(2-6С)алканоиламино, карбокси-(2-6С)алканоиламино, (1-6С)алкоксикарбонил-(2-6С)алканоиламино, амино-(2-6С)алканоиламино, (1-6С)алкиламино-(2-6С)алканоиламино, ди-[(1-6С)алкил] амино-(2-6С)алканоиламино, арилокси, гетероарилокси, гетероарил-(1-6С)алкокси, гетероариламино, гетероарил-(1-6С)алкиламино, N-(1-6С)алкилгетероарил-(1-6С)алкиламино, гетероарилкарбониламино, гетероарил-(2-6С)алканоиламино, гетероарил-(1-6С)алкокси-(1-6С)алкил, гетероарил-(1-6С)алкиламино-(1-6С)алкил, N-(1-6С)алкилгетероарил-(1-6С)алкиламино-(1-6С)алкил, гетероциклилокси, гетероциклил-(1-6С)алкокси, гетероциклиламино, гетероциклил-(1-6С)алкиламино, N-(1-6С)алкилгетероциклил-(1-6С)алкиламино, гетероциклилкарбониламино, гетероциклил-(2-6С)алканоиламино, гетероциклил-(1-6С)алкокси-(1-6С)алкил, гетероциклил-(1-6С)алкиламино-(1-6С)алкил и N-(1-6С)алкилгетероциклил-(1-6С)алкиламино-(1-6С)алкил; где R1 или заместитель при R4, когда он представляет гетероарил, является ароматическим 5- или 6-членным моноциклическим кольцом с 1-2 гетероатомами, выбранными из кислорода, азота и серы или заместитель при R4, когда он представляет гетероциклил, является неароматическим 3-10-членным моноциклическим кольцом с 1-2 гетероатомами, выбранными из кислорода, азота и серы; где любая арильная, гетероарильная или гетероциклильная группа в заместителе на R4 может необязательно нести 1 или 2 заместителя, выбранных из галогена, (1-6С)алкила и (1-6С)алкокси; где любой из заместителей, определенных выше в параграфе (D), которые содержат группу CH2, которая присоединена к 2 атомам углерода, или группу СН3, которая присоединена к атому углерода, может необязательно нести на каждой указанной группе CH2 или СН3 заместитель, выбранный из гидрокси, амино, (1-6С)алкокси, (1-6С)алкиламино и ди-[(1-6С)алкил] амино; или его фармацевтически приемлемая соль или in vivo расщепляемый сложный эфир; при условии, что заместитель на R4 выбран из параграфа (С) выше только в том случае, если по меньшей мере одна группа R1 выбрана из параграфа (В) выше; при условии, что исключаются соединения N-[5-(3-циклогексилпропионамидо)-2-метилфенил] -3,4-метилендиоксибензамид и N-{ 5-[2-(2,3-эпоксипропокси)бензамидо] -2-метилфенил} -2-(2,3-эпоксипропокси)бензамид. 2. Производное бензамида формулы 1 по п. 1, где R3 представляет собой метил, этил, хлор или бром; R1 выбран из заместителей, определенных ниже в параграфах (А) и (В): (A) гидрокси, фтор, хлор, трифторметил, циано, метил, этил, метокси и этокси; (B) хлорметил, метоксиметил, метиламинометил, этиламинометил, диметиламинометил, диэтиламинометил, 2-гидроксиэтиламинометил, 2-метоксиэтиламинометил, 2-хлорэтокси, 3-хлорпропокси, 2-гидроксиэтокси, 3-гидроксипропокси, 2-метоксиэтокси, 2-этоксиэтокси, 3-метоксипропокси, 3-этоксипропокси, карбоксиметокси, 2-карбоксиэтокси, метоксикарбонилметокси, этоксикарбонилметокси, трет-бутоксикарбонилметокси, 2-метоксикарбонилэтокси, 2-этоксикарбонилэтокси, 2-трет-бутоксикарбонилэтокси, 2-аминоэтокси, 3-аминопропокси, 2-метиламиноэтокси, 2-этиламиноэтокси, 3-метиламинопропокси, 3-этиламинопропокси, 2-диметиламиноэтокси, 2-диэтиламиноэтокси, 3-диметиламинопропокси, 3-диэтиламинопропокси, 2-пиридилметокси, 2-(имидазол-1-ил)этокси, 3-(имидазол-1-ил)пропокси, пиперидин-4-илокси, 1-метилпиперидин-4-илокси, 2-пирролидин-1-илэтокси, 3-пирролидин-1-илпропокси, 2-пиперидиноэтокси, 3-пиперидинопропокси, 2-морфолиноэтокси, 3-морфолинопропокси, 2-пиперазин-1-илэтокси, 3-пиперазин-1-илпропокси, 2-(4-метилпиперазин-1-ил)этокси и 3-(4-метилпиперазин-1-ил)пропокси; m= 1 или 2; р= 0; q= 0 и 4 представляет собой фенил, причем R4 замещен 1 или 2 заместителями, выбранными из параграфов (С) и (D) ниже: (С) гидрокси, фтор, хлор, трифторметил, циано, метил, этил, метокси, этокси, метиламино, этиламино, диметиламино, диэтиламино, фенил, бензил, бензилокси, пирролидин-1-ил, пиперидино, морфолино, пиперазин-1-ил и 4-метилпиперазин-1-ил; (D) хлорметил, метоксиметил, 2-метоксиэтил, метиламинометил, этиламинометил, диметиламинометил, диэтиламинометил, 2-гидроксиэтиламинометил, 2-метоксиэтиламинометил, 2-хлорэтокси, 3-хлорпропокси, 2-гидроксиэтокси, 3-гидроксипропокси, 2-метоксиэтокси, 2-этоксиэтокси, 3-метоксипропокси, 3-этоксипропокси, цианометокси, карбоксиметокси, 2-карбоксиэтокси, метоксикарбонилметокси, этоксикарбонилметокси, трет-бутоксикарбонилметокси, 2-метоксикарбонилэтокси, 2-этоксикарбонилэтокси, 2-трет-бутоксикарбонилэтокси, 2-аминоэтокси, 3-аминопропокси, 2-метиламиноэтокси, 2-этиламиноэтокси, 3-метиламинопропокси, 3-этиламинопропокси, 2-диметиламиноэтокси, 2-диэтиламиноэтокси, 3-диметиламинопропокси, 3-диэтиламинопропокси, 2-хлорэтиламино, 2-гидроксиэтиламино, 2-метоксиэтиламино, 2-этоксиэтиламино, 2-аминоэтиламино, 2-метиламиноэтиламино, 2-этиламиноэтиламино, 2-диметиламиноэтиламино, 2-диэтиламиноэтиламино, N-(2-хлорэтил)-N-метиламино, N-(2-гидроксиэтил)-N-метиламино, N-(2-метоксиэтил)-N-метиламино, N-(2-этоксиэтил)-N-метиламино, N-(2-аминоэтил)-N-метиламино, N-(2-метиламиноэтил)-N-метиламино, N-(2-диметиламиноэтил)-N-метиламино, N-(3-аминопропил)-N-метиламино, N-(3-метиламинопропил)-N-метиламино, N-(3-этиламинопропил)-N-метиламино, N-(3-диметиламинопропил)-N-метиламино, N-(3-диэтиламинопропил)-N-метиламино, 2-пиридилметокси, 2-(имидазол-1-ил)этокси, 3-(имидазол-1-ил)пропокси, пиперидин-4-илокси, 1-метилпиперидин-4-илокси, 2-пирролидин-1-илэтокси, 3-пирролидин-1-илпропокси, 2-пиперидиноэтокси, 3-пиперидинопропокси, 2-морфолиноэтокси, 3-морфолинопропокси, 2-пиперазин-1-илэтокси, 3-пиперазин-1-илпропокси, 2-(4-метилпиперазин-1-ил)этокси и 3-(4-метил-пиперазин-1-ил)пропокси; при условии, что заместитель на R4 выбран из параграфа (С), приведенного непосредственно выше, только в том случае, если по меньшей мере одна группа 1 выбрана из определений R1 параграфа (В), приведенного непосредственно выше, или его фармацевтически приемлемая соль. 3. Производное бензамида формулы I по п. 1, где m равно 1, группа R1 выбрана из заместителей, определенных ниже в параграфе (В), и эта группа R1 расположена в положении 3 или 4, или m равно 2, по меньшей мере одна группа R1 выбрана из заместителей, определенных ниже в параграфе (В), и одна группа R1 может быть выбрана из заместителей, определенных ниже в параграфе (А), и группы R1, которые могут быть одинаковыми или различными, расположены в положениях 3 и 4; (А) гидрокси, фтор, хлор, трифторметил, циано, амино, метил, этил, метокси, этокси, метиламино, этиламино, диметиламино, диэтиламино, аминометил, 2-аминоэтил, пирролидин-1-ил, пиперидино, морфолино, пиперазин-1-ил, 4-метилпиперазин-1-ил, пирролидин-1-илметил, пиперидинометил, морфолинометил, пиперазин-1-илметил и 4-метилпиперазин-1-илметил; (В) метиламинометил, этиламинометил, диметиламинометил, диэтиламинометил, 2-гидроксиэтиламинометил, 2-метоксиэтиламинометил, 2-аминоэтокси, 3-аминопропокси, 2-метиламиноэтокси, 2-этиламиноэтокси, 3-метиламинопропокси, 3-этиламинопропокси, 2-диметиламиноэтокси, 2-диэтиламиноэтокси, 3-диметиламинопропокси, 3-диэтиламинопропокси, 2-пиридилметокси, 2-(имидазол-1-ил)этокси, 3-(имидазол-1-ил)пропокси, пиперидин-4-илокси, 1-метилпиперидин-4-илокси, 2-пирролидин-1-илэтокси, 3-пирролидин-1-илпропокси, 2-пиперидиноэтокси, 3-пиперидинопропокси, 2-морфолиноэтокси, 3-морфолинопропокси, 2-пиперазин-1-илэтокси, 3-пиперазин-1- илпропокси, 2-(4-метилпиперазин-1-ил)этокси и 3-(4-метилпиперазин-1-ил)пропокси; р= 0; R3 представляет собой метил; q= 0; R4 представляет собой фенил, который замещен 1 заместителем, выбранным из заместителей, определенных ниже в параграфе (D), и расположенным в положении 3 или 4, или R4 представляет собой фенил, который замещен 2 заместителями, по меньшей мере один из которых выбран из заместителей, определенных ниже в параграфе (D), и один необязательно выбран из заместителей, определенных ниже в параграфе (С), и заместителей, которые могут быть одинаковыми или различными и расположены в положениях 3 и 4: (С) гидрокси, фтор, хлор, трифторметил, циано, амино, метил, этил, метокси, этокси, метиламино, этиламино, диметиламино, диэтиламино, аминометил, 2-аминоэтил, пирролидин-1-ил, пиперидино, морфолино, пиперазин-1-ил, 4-метилпиперазин-1-ил, пирролидин-1-илметил, пиперидинометил, морфолинометил, пиперазин-1-илметил и 4-метилпиперазин-1-илметил; (D) метиламинометил, этиламинометил, диметиламинометил, диэтиламинометил, 2-гидроксиэтиламинометил, 2-метоксиэтиламинометил, 2-аминоэтокси, 3-аминопропокси, 2-метиламиноэтокси, 2-этиламиноэтокси, 3-метиламинопропокси, 3-этиламинопропокси, 2-диметиламиноэтокси, 2-диэтиламиноэтокси, 3-диметиламинопропокси, 3-диэтиламинопропокси, 2-пиридилметокси, 2-(имидазол-1-ил)этокси, 3-(имидазол-1-ил)пропокси, пиперидин-4-илокси, 1-метилпиперидин-4-илокси, 2-пирролидин-1-илэтокси, 3-пирролидин-1-илпропокси, 2-пиперидиноэтокси, 3-пиперидинопропрокси, 2-морфолиноэтокси, 3-морфолинопропокси, 2-пиперазин-1-илэтокси, 3-пиперазин-1-илпропокси, 2-(4-метилпиперазин-1-ил)этокси и 3-(4-метилпиперазин-1-ил)пропокси; или его фармацевтически приемлемая соль; при условии, что заместитель на R4 выбран из параграфа (С) выше только в том случае, если по меньшей мере одна из групп R1 выбрана из параграфа (В) выше. 4. Производное бензамида формулы I по п. 1, где m равно 1, группа R1 выбрана из заместителей, определенных ниже в параграфе (В), и группа R1 расположена в положении 3 или 4, или m равно 2 или 3, по меньшей мере одна группа R1 выбрана из заместителей, определенных ниже в параграфе (В), и расположена в положении 3 или 4, а другие группы R1, которые могут быть одинаковыми или различными, выбраны из заместителей, определенных в параграфах (А) или (В) ниже: (A) гидрокси, фтор, хлор, трифторметил, циано, амино, метил, этил, метокси, этокси, метиламино, этиламино, диметиламино, диэтиламино, аминометил, 2-аминоэтил, пирролидин-1-ил, пиперидино, морфолино, пиперазин-1-ил, 4-метилпиперазин-1-ил, пирролидин-1-илметил, пиперидинометил, морфолинометил, пиперазин-1-илметил и 4-метилпиперазин-1-илметил; (B) метиламинометил, этиламинометил, диметиламинометил, диэтиламинометил, 2-гидроксиэтиламинометил, 2-метоксиэтиламинометил, 2-аминоэтокси, 3-аминопропокси, 2-метиламиноэтокси, 2-этиламиноэтокси, 3-метиламинопропокси, 3-этиламинопропокси, 2-диметиламиноэтокси, 2-диэтиламиноэтокси, 2-ди-изо-пропиламиноэтокси, 3-диметиламинопропокси, 3-диэтиламинопропокси, 2-пирролидин-1-илэтокси, 3-пирролидин-1-илпропокси, 2-(N-метилпирролидин-2-ил)этокси, 2-пиперидиноэтокси, 3-пиперидинопропокси, 2-морфолиноэтокси, 3-морфолинопропокси, 2-пиперазин-1-илэтокси, 3-пиперазин-1-илпропокси, 2-(4-метил-пиперазин-1-ил)этокси, 3-(4-метилпиперазин-1-ил)пропокси, 2-пиридилметокси, 2-метилтиазол-4-илметокси, 2-(имидазол-1-ил)этокси, 3-(имидазол-1-ил)пропокси, пиперидин-4-илокси, N-метилпиперидин-4-илокси, N-метилгомопиперидин-4-илокси, пирролидин-3-илокси и N-метилпирролидин-3-илокси; р= 0; R3 представляет собой метил; q= 0 и R4 представляет собой фенил, который замещен 1, 2 или 3 заместителями, которые могут быть одинаковыми или различными, выбранными из заместителей, определенных ниже в параграфах (C1), (C2) или (D), при условии, что один заместитель выбран из заместителей, определенных ниже в параграфах (C2) или (D), и расположен в положении 3 или 4: (C1) гидрокси, фтор, хлор, трифторметил, циано, метил, этил, метокси и этокси; (C2) амино, метиламино, этиламино, диметиламино, диэтиламино, аминометил, 2-ампноэтил, пирролидин-1-ил, пиперидино, морфолино, пиперазин-1-ил, гомопиперазин-1-ил, 4-метилпиперазин-1-ил, 4-метилгомопиперазин-1-ил, пирролидин-1-илметил, пиперидинометил, морфолинометил, пиперазин-1-илметил и 4-метилпиперазин-1-илметил; (D) метиламинометил, этиламинометил, диметиламинометил, диэтиламинометил, 2-гидроксиэтиламинометил, 2-метоксиэтиламинометил, 2-аминоэтокси, 3-аминопропокси, 2-метиламиноэтокси, 2-этиламиноэтокси, 3-метиламинопропокси, 3-этиламинопропокси, 2-диметиламиноэтокси, 2-диэтиламиноэтокси, 3-диметиламинопропокси, 3-диэтиламинопропокси, 2-пиридилметокси, 2-(имидазол-1-ил)этокси, 3-(имидазол-1-ил)пропокси, пиперидин-4-илокси, 1-метилпиперидин-4-илокси, 2-пирролидин-1-илэтокси, 3-пирролидин-1-илпропокси, 2-пиперидиноэтокси, 3-пиперидинопропокси, 2-морфолиноэтокси, 3-морфолинопропокси, 2-пиперазин-1-илэтокси, 3-пиперазил-ил-1-пропокси, 2-(4-метилпиперазин-1-ил)этокси, 3-(4-метилпиперазин-1-ил)пропокси, или его фармацевтически приемлемая соль. 5. Производное бензамида формулы I по п. 1, где m равно 1, группа R1 выбрана из заместителей, определенных ниже в параграфе (В), и группа R1 расположена в положении 3 или 4, или m равно 2, по меньшей мере одна группа R1 выбрана из заместителей, определенных ниже в параграфе (В), и расположена в положении 3 или 4, а другая группа R1 выбрана из заместителей, определенных ниже в параграфах (А) или (Б): (A) гидрокси, метил, этил, метокси, этокси, диметиламино, диэтиламино, пирролидин-1-ил, пиперидино, морфолино, пиперазин-1-ил, 4-метилпиперазин-1-ил, пирролидин-1-илметил, пиперидинометил, морфолинометил, пиперазин-1-илметил и 4-метилпиперазин-1-илметил; (B) диметиламинометил, диэтиламинометил, 2-диметиламиноэтокси, 2-диэтиламиноэтокси, 2-диизопропиламиноэтокси, 3-диметиламинопропокси, 3-диэтиламинопропокси, 2-(пирролидин-1-ил)этокси, 3-(пирролидин-1-ил)пропокси, 2-(N-метилпирролидин-2-ил)этокси, 2-пиперидиноэтокси, 3-пиперидинопропокси, 2-морфолиноэтокси, 3-морфолинопропокси, 2-пиперазин-1-илэтокси, 3-пиперазин-1-илпропокси, 2-(4-метилпиперазин-1-ил)этокси, 3-(4-метилпиперазин-1-ил)пропокси, 2-пиридилметокси, 2-метилтиазол-4-илметокси, пиперидин-4-илокси, N-метилпиперидин-4-илокси, N-метилгомопиперидин-4-илокси, пирролидин-3-илокси и N-метилпирролидин-3-илокси; р= 0; R3 представляет собой метил; q= 0 и R4 представляет собой фенил, который замещен в положении 3 заместителем, выбранным из диметиламино, диэтиламино, пирролидин-1-ила, пиперидино, морфолино, пиперазин-1-ила, гомопиперазин-1-ила, 4-метилпиперазин-1-ила и 4-метилгомопиперазин-1-ила, и необязательно замещен дополнительным заместителем, выбранным из фтора, хлора, циано, метила и трифторметила; или его фармацевтически приемлемая соль. 6. Производное бензамида формулы I по п. 1, где R3 представляет собой метил; р= 0; q= 0; (R1)m представляет собой 4-диэтиламинометил, 3-(2-диэтиламиноэтокси), 3-(2-диизопропиламиноэтокси), 3-(3-диэтиламинопропокси), 3-(2-пирролидин-1-илэтокси), 3-[2-(N-метилпирролидин-2-ил)этокси] , 3-(2-пиперидиноэтокси), 3-(3-пиперидинопропокси), 4-[3-(4-метилпиперазин-1-ил)пропокси] , 4-метокси-3-(2-пирролидин-1-илэтокси), 4-метокси-3-(2-пиперидиноэтокси), 4-метокси-3-(3-пиперидинопропокси), 4-метокси-3-(2-диэтиламиноэтокси), 4-метокси-3-(3-диэтиламинопропокси), 4-метокси-3-[2-(N-метилпирролидин-2-ил)этокси] , 4-(2-пиридилметокси), 4-(2-метилтиазол-4-илметокси), 3-пиперидин-4-илокси, 4-пиперидин-4-илокси, 3-(N-мeтилгомoпипepидин-4-илокси) и 3-пирролидин-3-илокси; и R4 представляет собой 3-пирролидин-1-илфенил, 3-пиперидинофенил, 3-морфолинофенил, 3-фтор-5-морфолинофенил или 3-морфолино-5-трифторметилфенил; или его фармацевтически приемлемая соль. 7. Соединение формулы I по п. 1, выбранное из следующих: N-{ 5-[4-(3-гидроксипропокси)бензамидо] -2-метилфенил} -3,4-диметоксибензамид, N-[5-(3-диметиламинобензамидо)-2-метилфенил] -4-(2-метоксиэтокси)бензамид, N-[5-(4-цианобензамидо)-2-метилфенил] -4-(2-метоксиэтокси)бензамид, N-[2-хлор-5-(4-цианобензамидо)фенил] -4-[2-(имидазол-1-ил)этокси] бензамид, N-[2-метил-5-(3-морфолинобензамидо)фенил] -3-пиперидин-4-илоксибензамид, N-[2-метил-5-(3-морфолинобензамидо)фенил] -3-(2-пирролидин-1-илэтокси)бензамид, N-[2-метил-5-(3-морфолинобензамидо)фенил] -3-(2-диэтиламиноэтокси)бензамид, N-[2-метил-5-(3-морфолинобензамидо)фенил] -4-метокси-3-(2-пирролидин-1-илэтокси)бензамид, N-[2-метил-5-(3-морфолинобензамидо)фенил] -4-диэтиламинометилбензамид, N-[2-метил-5-(3-морфолинобензамидо)фенил] -4-[3-(4-метилпиперазин-1-ил)пропокси] бензамид, N-[2-метил-5-(3-морфолинобензамидо)фенил] -3-[2-(N-метилпирролидин-2-ил)этокси] бензамид, N-[2-метил-5-(3-пирролидин-1-илбензамидо)фенил] -3-пиперидин-4-илоксибензамид, N-[2-метил-5-(3-пиперидинобензамидо)фенил] -3-пиперидин-4-илоксибензамид, N-[2-метил-5-(3-морфолинобензамидо)фенил] -3-(N-метилгомопиперидин-4-илокси)бензамид, N-[5-(3-фтор-5-морфолинобензамидо)-2-метилфенил] -3-пиперидин-4-илоксибензамид, N-[2-метил-5-(3-морфолинобензамидо)фенил] -4-(2-пиридилметокси)бензамид, N-[5-(3-фтор-5-морфолинобензамидо)-2-метилфенил] -4-диэтиламинометилбензамид и N-[5-(3-фтор-5-пирролидин-1-илбензамидо)-2-метилфенил] -4-диэтиламинометилбензамид или их фармацевтически приемлемые соли. 8. Способ получения производного бензамида формулы I или его фармацевтически приемлемых соли или in vivo расщепляемого сложного эфира по п. 1, включающий реакцию соединения формулы II ![]() с кислотой формулы III ![]() или ее активированным производным, в стандартных условиях образования амидной связи, причем группы, способные иметь различные значения, определены в п. 1 и каждая функциональная группа, если необходимо, защищена, и (i) удаление всех защитных групп; (ii) необязательное получение фармацевтически приемлемой соли или in vivo расщепляемого сложного эфира. 9. Способ получения производного бензамида формулы I или его фармацевтически приемлемых соли или in vivo расщепляемого сложного эфира по п. 1, включающий реакцию кислоты формулы V ![]() или ее активированного производного с анилином формулы VII ![]() в стандартных условиях образования амидной связи, причем группы, способные иметь различные значения, определены в п. 1 и каждая функциональная группа, если необходимо, защищена, и (i) удаление всех защитных групп; (ii) необязательное получение фармацевтически приемлемой соли или in vivo расщепляемого сложного эфира, при этом (а) для получения соединения формулы I по п. 1, в котором R1 или заместитель на R4 представляет собой (1-6С)алкокси или замещенный (1-6С)алкокси, (1-6С)алкиламино, ди-[(1-6С)алкил] амино или замещенный (1-6С)алкиламино или гетероциклилокси, осуществляют алкилирование, предпочтительно в присутствии подходящего основания, производного амида формулы I, в котором R1 или заместитель на R4 представляет собой гидрокси или амино, соответственно; (b) для получения соединения формулы I по п. 1, в котором R1 или заместитель на R4 представляет собой (1-6С)алкансульфониламино, проводят реакцию соединения формулы I, в котором R1 или заместитель на R4 представляет собой аминогруппу, с (1-6С)алкансульфоновой кислотой или ее активированным производным; (c) для получения соединения формулы I по п. 1, в котором R1 или заместитель на R4 представляет собой карбокси, карбокси-(1-6С)алкил, карбокси-(1-6С)алкокси, карбокси-(1-6С)алкиламино, N-(1-6С)алкилкарбокси-(1-6С)алкиламино или карбокси-(2-6С)алканоиламино, расщепляют соединение формулы I, в котором R1 или заместитель на R4 представляет собой (1-6С)алкоксикарбонил, (1-6С)алкоксикарбонил-(1-6С)алкил, (1-6С)алкоксикарбонил-(1-6С)алкокси, (1-6С)алкоксикарбонил-(1-6С)алкиламино, N-(1-6С)алкил-(1-6С)алкоксикарбонил-(1-6С)алкиламино или (1-6С)алкоксикарбонил-(2-6C)алканоиламино соответственно; (d) для получения соединения формулы I по п. 1, в котором R1 или заместитель на R4 представляет собой амино-(1-6С)алкил, гетероциклил-(1-6С)алкил, (1-6С)алкиламино-(1-6С)алкил, ди-[(1-6С)алкил] амино-(1-6С)алкил, замещенный (2-6С)алкиламино-(1-6С)алкил или замещенный N-(1-6С)алкил-(2-6С)алкиламино-(1-6С)алкил, проводят реакцию соединения формулы I, в котором R1 или заместитель на R4 является группой формулы -(1-6С)алкилен-Z, где Z обозначает заменяемую группу, с подходящим амино- или гетероциклилсоединением; (e) для получения соединения формулы I по п. 1, в котором R1 или заместитель на R4 представляет собой амино, гетероциклил, (1-6С)алкиламино, ди-[(1-6С)алкил] амино, замещенный (1-6С)алкиламино, замещенный N-(1-6С)алкил-(1-6С)алкиламино, замещенный (2-6С)алкиламино или замещенный N-(1-6С)алкил-(2-6С)алкиламино, проводят реакцию соединения формулы I, в котором R1 или заместитель на R4 является заменяемой группой Z, с подходящим амином или гетероциклилсоединением; (f) для получения соединения формулы I по п. 1, в котором R1 или заместитель на R4 представляет собой N-(1-6С)алкил-(1-6С)алкансульфониламино, проводят алкилирование, обычно в присутствии подходящего основания, производного амида формулы I, в котором R1 или заместитель на R4 представляет собой (1-6С)алкансульфониламино; (g) для получения соединения формулы I по п. 1, в котором R1 или заместитель на R4 представляет собой гидроксигетероциклил-(1-6С)алкоксигруппу, гидрокси-(1-6С)алкиламино-(2-6С)алкоксигруппу или гидрокси-ди-[(1-6С)алкил] амино-(2-6С)алкоксигруппу, проводят реакцию соединения формулы I, в котором R1 или заместитель на R4 представляет собой эпоксизамещенную (1-6С)алкоксигруппу, с гетероциклилсоединением или соответствующим амином, или (h) для получения соединения формулы I по п. 1, в котором R1, R2 или заместитель на R4 представляет собой аминогруппу, восстанавливают соединение формулы I, в котором R1, R2 или заместитель на R4 являются нитрогруппой. 10. Фармацевтическая композиция, обладающая ингибирующей цитокины активностью, которая содержит активный компонент и фармацевтически приемлемый разбавитель или носитель, отличающаяся тем, что в качестве активного комопнента она содержит эффективное количество производного бензамида формулы 1 или его фармацевтически приемлемую соль или in vivo расщепляемый сложный эфир по любому одному из пп. 1-7. Приоритет по пунктам: l5.05.1998 – по п. 2; l6.10.1998 – по пп. 1, 3, 8, 9. РИСУНКИ
MM4A – Досрочное прекращение действия патента СССР или патента Российской Федерации на изобретение из-за неуплаты в установленный срок пошлины за поддержание патента в силе
Дата прекращения действия патента: 12.05.2009
Извещение опубликовано: 20.07.2010 БИ: 20/2010
|
||||||||||||||||||||||||||






