|
|
(21), (22) Заявка: 2000111534/14, 28.09.1998
(24) Дата начала отсчета срока действия патента:
28.09.1998
(43) Дата публикации заявки: 20.09.2002
(45) Опубликовано: 27.10.2003
(56) Список документов, цитированных в отчете о поиске:
WO 96/05227 A1, 22.02.1996. CORNUT I. et al. Application to the novo design…, FEBS Letters, 1994, v. 349. p.29-33.
(85) Дата перевода заявки PCT на национальную фазу:
03.05.2000
(86) Заявка PCT:
US 98/20326 (28.09.1998)
(87) Публикация PCT:
WO 99/16458 (08.04.1999)
Адрес для переписки:
129010, Москва, ул. Б.Спасская, 25, стр.3, ООО “Юридическая фирма Городисский и Партнеры”, пат.пов. Н.Г.Лебедевой, рег.№ 0112
|
(71) Заявитель(и):
ДАССЕ Жан-Луи (US), ЗЕКУЛЬ Ренате (DE), БУТТНЕР Клаус (DE), КОРНЮ Изабелль (DE), МЕТЦ Гунтер (DE)
(72) Автор(ы):
ДАССЕ Жан-Луи (US), ЗЕКУЛЬ Ренате (DE), БУТТНЕР Клаус (DE), КОРНЮ Изабелль (DE), МЕТЦ Гунтер (DE)
(73) Патентообладатель(и):
ДАССЕ Жан-Луи (US), ЗЕКУЛЬ Ренате (DE), БУТТНЕР Клаус (DE), КОРНЮ Изабелль (DE), МЕТЦ Гунтер (DE)
(74) Патентный поверенный:
Егорова Галина Борисовна
|
(54) АГОНИСТЫ АПОЛИПОПРОТЕИНА А-1 И ИХ ПРИМЕНЕНИЕ В ЛЕЧЕНИИ ДИСЛИПИДЕМИЧЕСКИХ НАРУШЕНИЙ
(57) Реферат:
Изобретение относится к медицинской молекулярной биологии. Сущность изобретения составляют новые пептидные последовательности и их аналоги, обладающие свойствами агонистов аполипопротеина А-I (Аро-А-I) путем ввведения их эффективного количества пациенту. Такие пептиды и их аналоги используют для лечения разнообразных нарушений, связанных с дислипидемией. Изобретение содержит сведения о соответствующих химических структурах, различных комплексах таких пептидов, в частности, с липидами, фармацевтических композициях и методах лечения дислипидемических нарушений. Технический результат – расширение арсенала средств терапии различных дислипидемических состояний. 14 с. и 47 з.п.ф-лы, 10 табл., 10 ил.
Текст описания в факсимильном виде (см. графическую часть).
Формула изобретения
1. Агонист аполипопротеина A-I (АроА-I), включающий (i) 15 – 29-членный пептид или аналог пептида, который образует амфипатическую -слираль в присутствии липидов и который включает структурную формулу (I) Z1-X1-X2-X3-X4-X5-X6-X7-X8-X9-X10-X11-X12-X13-X14-X15-X16-X17-X18-X19-X20-X21-X22-X23-Z2, (I) или его фармацевтически приемлемую соль, где X1 представляет собой Pro (Р), Ala (A), Gly (G), Gln (Q), Asn (N), Asp (D) или D-Pro (p); Х2 представляет собой алифатический остаток; Х3 представляет собой Leu (L) или Phe (F); Х4 представляет собой Glu (E); Х5 представляет собой алифатический остаток; Х6 представляет собой Leu (L) или Phe (F); Х7 представляет собой Leu (L) или Glu (E); Х8 представляет собой Asn (N) или Gln (Q); Х9 представляет собой Leu (L); Х10 представляет собой Leu (L), Trp (W) или Gly (G); Х11 представляет собой кислый остаток; X12 представляет собой Arg (R); X13 представляет собой Leu (L) или Gly (G); Х14 представляет собой Leu (L), Phe (F) или Gly (G); X15 представляет собой Asp (D); X16 представляет собой Ala (А); X17 представляет собой Leu (L); X18 представляет собой Asn (N) или Gln (Q); X19 представляет собой основный остаток; X20 представляет собой основный остаток; X21 представляет собой Leu (L); X22 представляет собой основный остаток; Х23 отсутствует или представляет собой основный остаток; Z1 представляет собой H2N- или RC(O)NH-; Z2 представляет собой: -C(O)NRR, -С(О)OR, -С(О)ОН, или их соли; каждый R представляет собой независимо -Н, (C1-С6) алкильную, (C1-С6) алкенильную, (C1-С6) алкинильную, (C5-С20) арильную, (C6-С26) алкарильную группы, 5-20-членную гетероарильную или 6-26-членную алкгетероарильную группу или 1-7-членный пептид или пептидный аналог; каждый символ “-” между остатками Xn независимо обозначает амидную связь, замещенную амидную связь, изостер амида или амидомиметик; или ii) делегированная форма структурной формулы (I), в которой по крайней мере от одного до восьми остатков из X1, X2, Х3, X4, X5, Х6, Х7, Х8, X9, Х10, Х11, X12, X13, Х14, X15, X16, X17, X18, X19, X20, X21 и X22 удалены, или iii) модифицированная форма структурной формулы (I), в которой по крайней мере один из остатков X1, X2, Х3, X4, X5, Х6, Х7, X8, Х9, Х10, Х11, X12, X13, Х14, X15, X16, X17, X18, X19, X20, X21, X22 или Х23 консервативно замещены другим остатком.
2. Агонист АроА-I по п.1, который проявляет по крайней мере 38% LCAT-активирующей активности по сравнению с человеческим АроА-I.
3. Агонист АроА-I по п.1, который представляет собой модифицированную форму структурной формулы (I).
4. Агонист АроА-I по п.3, в котором гидрофобные остатки фиксированы в соответствии со структурной формулой (I) и, по крайней мере, один нефиксированный остаток консервативно замещен другим остатком.
5. Агонист АроА-I по п.4, у которого X1 представляет собой Pro (P), D-Pro (p), Gly (G), Asn (N) или Ala (A); X2 представляет собой Ala (А), Leu (L) или Val (V); Х3 представляет собой Leu (L) или Phe (F); X5 представляет собой Leu (L); Х6 представляет собой Phe (F); Х9 представляет собой Leu (L); Х10 представляет собой Leu (L), Trp (W) или Gly (G); X13 представляет собой Leu (L), Gly (G); X14 представляет собой Leu (L), Phe (F), Gly (G); X16 представляет собой Ala (А); X17 представляет собой Leu (L); X21 представляет собой Leu (L) и по крайней мере один из Х4, Х7, Х8, Х11, X12, X15, X18, X19, X22 и Х23 консервативно замещены другим остатком.
6. Агонист АроА-I по п.3, в котором гидрофобные остатки фиксированы в соответствии со структурной формулой (I) и, по крайней мере, один нефиксированный остаток консервативно замещен другим остатком.
7. Агонист АроА-I по п.6, в котором Х4 представляет собой Glu (E); Х7 представляет собой Glu (E); Х8 представляет собой Asn (N) или Gln (Q); Х11 представляет собой Asp (D) или Glu (E); X12 представляет собой Arg (R); X15 представляет собой Asp (D); X18 представляет собой Asn (N) или Gln (Q); X19 представляет собой Lys (К); X20 представляет собой Lys (К); Х22 представляет собой Lys (К); Х23 отсутствует или представляет собой Lys (К) и по крайней мере один из X1, Х2, Х3, Х5, X6, X9, Х10, Х13, Х14, X16, X17, X21 консервативно замещен другим остатком.
8. Агонист АроА-I по п.6, у которого Х3 представляет собой Leu (L) или Phe (F), X6 представляет собой Phe (F), X9 представляет собой Leu (L), Х10 представляет собой Leu (L), Trp (W) или Gly (G) и по крайней мере один из X1, X2, X5, X13, Х14, X16, X17 и X21 консервативно замещены другим остатком.
9. Агонист АроА-I по п.5 или 7, у которого замещаемый остаток относится к той же подкатегории, что и замещенный остаток.
10. Агонист АроА-I по п.1, который представляет собой делегированную форму структурной формулы (I).
11. Агонист ApoA-I no п.10, у которого один спиральный виток пептида или пептидного аналога удален.
12. Агонист ApoA-I по п.1, который представляет собой 22-23-членный пептид или пептидный аналог структурной формулы (I).
13. Агонист ApoA-I по п.12, у которого “-” между остатками означает -C(O)NH-, Z1 представляет собой H2N- и Z2 представляет собой -С(О)ОН или его соль.
14. Агонист ApoA-I по п.13, у которого X1 представляет собой Pro (P), Ala (A), Gly (G), Asn (N), Asp (D), Gln (Q) или D-Pro (p); X2 представляет собой Ala (A), Val (V) или Leu (L); Х3 представляет собой Leu (L) или Phe (F); X4 представляет собой Glu (E); X5 представляет собой Leu (L); Х6 представляет собой Phe (F); X7 представляет собой Leu (L) или Glu (E); Х8 представляет собой Asn (N) или Gln (Q); Х9 представляет собой Leu (L); Х10 представляет собой Leu (L), Trp (W) или Gly (G); Х11 представляет собой Glu (E); X12 представляет собой Arg (R); X13 представляет собой Leu (L) или Gly (G); Х14 представляет собой Leu (L), Phe (F) или Gly (G); X15 представляет собой Asp (D); X16 представляет собой Ala (А); X17 представляет собой Leu (L); X18 представляет собой Asn (N) или Gln (Q); X19 представляет собой Lys (К); X20 представляет собой Lys (К); X21 представляет собой Leu (L); X22 представляет собой Lys (К) и Х23 отсутствует или представляет собой Lys (К).
15. Агонист АроА-I по п.14, где Х23 отсутствует.
16. Агонист АроА-I по п.14, где каждый из Х10, X13 и Х14 отличен от Gly (G).
17. Агонист АроА-I по п. 14, где один из Х10, X13 и Х14 представляет собой Gly (G), а другие остатки отличны от Gly (G).
18. Агонист АроА-I по п.1, который выбран из группы, состоящей из следующих последовательностей (см. графическую часть) и ацилированная по N-концу и/или амидированная или этерифицированная по С-концу его форма.
19. Мультимерный агонист АроА-I, который проявляет по крайней мере 38% LCAT-активирующей активности по сравнению с человеческим АроА-I и который имеет структурную формулу (II): HH-[LLm-HH]n-LLm-HH, (II) или является фармацевтически приемлемой его солью, где каждый m представляет собой независимо целое число от 0 до 1; n представляет собой целое число от 0 до 10; каждый НН представляет собой независимо пептид или пептидный аналог по п.1; каждый LL представляет собой независимо бифункциональный линкер; и каждый “-” независимо означает ковалентную связь.
20. Мультимерный агонист АроА-I, который проявляет по крайней мере 38% LCAT-активирующей активности по сравнению с человеческим АроА-I и который имеет структурную формулу (III): X-Nya-X(ya-1)-(Nyb-X(yb-1))p, (III) или является фармацевтически приемлемой его солью, где каждый Х представляет собой независимо HH-[LLm-HH]n-LLm-HH; каждый НН представляет собой независимо коровый пептид структуры (I) или аналог или мутантную, усеченную, с внутренними делециями или расширенную форму его, как описано здесь; каждый LL представляет собой независимо бифункциональный линкер; каждый m представляет собой независимо целое число от 0 до 1; n представляет собой целое число от 0 до 8; Nya и Nyb представляют собой независимо мультифункциональный связывающий радикал, где уа и уb представляют число функциональных групп на Nya и Nyb соответственно; каждый уа и уb представляют собой независимо целое число от 3 до 8; р представляет собой независимо целое число от 0 до 7; каждый “-” независимо означает ковалентную связь.
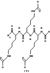
21. Мультимерный агонист АроА-I, который проявляет по крайней мере 38% LCAT-активирующей активности по сравнению с человеческим АроА-I и который имеет структурные формулы (IV) или (V)
 или является фармацевтически приемлемой его солью, где каждый Х представляет собой независимо НН-[LLm-HH]n-LLm-НН; каждый НН представляет собой независимо пептид или пептидный аналог по п.1; каждый LL представляет собой независимо бифункциональный линкер; каждый n представляет собой независимо целое число от 0 до 1; m представляет собой целое число от 0 до 8; R1 представляет собой -OR или -NRR; каждый R представляет собой независимо -Н, (C1-C6) алкильную, (C1-C6) алкенильную, (C1-C6) алкинильную, (C5-C20) арильную, (С6-С26) алкарильную группы, 5-20-членную гетероарильную или 6-26-членную алкгетероарильную группу.
22. Мультимерный агонист АроА-I по пп.19, 20 или 21, в котором бифункциональный линкер может быть расщеплен.
23. Мультимерный агонист АроА-I по пп.19, 20 или 21, в котором n является 0.
24. Мультимерный агонист АроА-I по п.23, в котором m является 0.
25. Мультимерный агонист АроА-I по пп.19, 20 или 21, в котором каждый НН представляет собой независимо пептид по п.13.
26. Мультимерный агонист АроА-I по пп.19, 20 или 21, в котором каждый НН представляет собой независимо пептид по п.14.
27. Мультимерный агонист АроА-I по пп.19, 20 или 21, в котором каждый НН представляет собой независимо пептид по п.18.
28. Комплекс агониста АроА-I с липидом, включающий агонист АроА-I и липид, где агонист АроА-I представляет собой пептид или пептидным аналогом по п.1.
29. Комплекс агониста АроА-I с липидом по п.28, в котором агонист АроА-I представляет собой пептид по п.12.
30. Комплекс агониста АроА-I с липидом по п.28, в котором агонист АроА-I представляет собой пептид по п.13.
31. Комплекс агониста АроА-I с липидом по п.28, в котором агонист АроА-I представляет собой пептид по п.14.
32. Комплекс агониста АроА-I с липидом по п.28, в котором агонист АроА-I представляет собой пептид по п.18.
33. Комплекс агониста АроА-I с липидом, включающий агонист АроА-I и липид, где агонист АроА-I представляет собой мультимерный агонист АроА-I по п.19.
34. Комплекс агониста АроА-I с липидом, включающий агонист АроА-I и липид, где агонист АроА-I представляет собой мультимерный агонист АроА-I по п.20.
35. Комплекс агониста АроА-I с липидом, включающий агонист АроА-I и липид, где агонист АроА-I представляет собой мультимерный агонист АроА-I по п.21.
36. Комплекс агониста АроА-I с липидом по любому из пп.28-35, в котором липид представляет собой сфингомиелин.
37. Комплекс агониста АроА-I с липидом по любому из пп.28-35, который находится в форме лиофилизированного порошка.
38. Комплекс агониста АроА-I с липидом по любому из пп.28-35, который находится в форме раствора.
39. Фармацевтическая композиция, включающая агонист АроА-I и фармацевтически приемлемый носитель, наполнитель или растворитель, причем агонист АроА-I представляет собой пептид или пептидный аналог по п.1.
40. Фармацевтическая композиция по п.39, в которой агонист АроА-I представляет собой пептид по п.12.
41. Фармацевтическая композиция по п.39, в которой агонист АроА-I представляет собой пептид по п.13.
42. Фармацевтическая композиция по п.39, в которой агонист АроА-I представляет собой пептид по п.14.
43. Фармацевтическая композиция по п.39, в которой агонист АроА-I представляет собой пептид по п.18.
44. Фармацевтическая композиция, включающая агонист АроА-I и фармацевтически приемлемый носитель, наполнитель или растворитель, причем агонист АроА-I представляет собой мультимерный агонист АроА-I по п.19.
45. Фармацевтическая композиция, включающая агонист АроА-I и фармацевтически приемлемый носитель, наполнитель или растворитель, причем агонист АроА-I представляет собой мультимерный агонист АроА-I по п.20.
46. Фармацевтическая композиция, включающая агонист АроА-I и фармацевтически приемлемый носитель, наполнитель или растворитель, причем агонист АроА-I представляет собой мультимерный агонист АроА-I по п.21.
47. Фармацевтическая композиция по любому из пп.39-46, в которой агонист АроА-I находится в форме комплекса с липидом, причем упомянутый комплекс состоит из агониста АроА-I и липида.
48. Фармацевтическая композиция по п.47, в которой комплекс агониста АроА-I с липидом находится в форме лиофилизированного порошка.
49. Способ лечения субъекта, страдающего нарушениями, связанными с дислипидемией, причем указанный способ включает стадию введения субъекту эффективного количества агониста АроА-I по п.1.
50. Способ по п.49, в котором агонист АроА-I находится в форме фармацевтической композиции, причем указанная композиция включает агонист АроА-I и фармацевтически приемлемый носитель, наполнитель или растворитель.
51. Способ по п.49, в котором агонист АроА-I находится в форме комплекса агониста АроА-I с липидом, причем указанный комплекс включает агонист АроА-I и липид.
52. Способ по п.49, в котором нарушение, связанное с дислипидемией, представляет собой гиперхолестеринемию.
53. Способ по п.49, в котором нарушение, связанное с дислипидемией, представляет собой сердечно-сосудистое заболевание.
54. Способ по п. 49, в котором нарушение, связанное с дислипидемией, представляет собой атеросклероз.
55. Способ по п. 49, в котором нарушение, связанное с дислипидемией, представляет собой рестеноз.
56. Способ по п. 49, в котором нарушение, связанное с дислипидемией, представляет собой недостаточность ЛПВП или ApoA-I.
57. Способ по п. 49, в котором нарушение, связанное с дислипидемией, представляет собой гипертриглицеридемию.
58. Способ по п. 49, в котором нарушение, связанное с дислипидемией, представляет собой метаболический синдром.
59. Способ лечения субъекта, страдающего от септического шока, причем указанный способ включает стадию введения субъекту эффективного количества агониста ApoA-I по п.1.
60. Способ по п.49 или 59, в котором указанный субъект является человеком.
61. Способ по п.49 или 59, в котором приблизительно от примерно 0,5 – 100 мг/кг агониста ApoA-I вводят указанному субъекту.
РИСУНКИ
Рисунок 1, Рисунок 2, Рисунок 3, Рисунок 4, Рисунок 5, Рисунок 6, Рисунок 7, Рисунок 8, Рисунок 9, Рисунок 10, Рисунок 11, Рисунок 12, Рисунок 13, Рисунок 14, Рисунок 15, Рисунок 16, Рисунок 17, Рисунок 18, Рисунок 19, Рисунок 20, Рисунок 21, Рисунок 22, Рисунок 23, Рисунок 24, Рисунок 25, Рисунок 26, Рисунок 27, Рисунок 28, Рисунок 29, Рисунок 30, Рисунок 31, Рисунок 32, Рисунок 33, Рисунок 34, Рисунок 35, Рисунок 36, Рисунок 37, Рисунок 38, Рисунок 39, Рисунок 40, Рисунок 41, Рисунок 42, Рисунок 43, Рисунок 44, Рисунок 45, Рисунок 46, Рисунок 47, Рисунок 48, Рисунок 49, Рисунок 50, Рисунок 51, Рисунок 52, Рисунок 53, Рисунок 54, Рисунок 55, Рисунок 56, Рисунок 57, Рисунок 58, Рисунок 59, Рисунок 60, Рисунок 61, Рисунок 62, Рисунок 63, Рисунок 64, Рисунок 65, Рисунок 66, Рисунок 67, Рисунок 68, Рисунок 69, Рисунок 70, Рисунок 71, Рисунок 72, Рисунок 73, Рисунок 74, Рисунок 75, Рисунок 76, Рисунок 77, Рисунок 78, Рисунок 79, Рисунок 80, Рисунок 81, Рисунок 82, Рисунок 83, Рисунок 84, Рисунок 85, Рисунок 86, Рисунок 87, Рисунок 88, Рисунок 89, Рисунок 90, Рисунок 91, Рисунок 92, Рисунок 93, Рисунок 94, Рисунок 95, Рисунок 96, Рисунок 97, Рисунок 98, Рисунок 99, Рисунок 100, Рисунок 101, Рисунок 102, Рисунок 103, Рисунок 104, Рисунок 105, Рисунок 106, Рисунок 107, Рисунок 108, Рисунок 109, Рисунок 110, Рисунок 111, Рисунок 112, Рисунок 113, Рисунок 114, Рисунок 115, Рисунок 116, Рисунок 117, Рисунок 118, Рисунок 119, Рисунок 120, Рисунок 121, Рисунок 122, Рисунок 123, Рисунок 124, Рисунок 125, Рисунок 126, Рисунок 127, Рисунок 128, Рисунок 129, Рисунок 130, Рисунок 131, Рисунок 132, Рисунок 133, Рисунок 134, Рисунок 135, Рисунок 136, Рисунок 137, Рисунок 138, Рисунок 139, Рисунок 140, Рисунок 141, Рисунок 142, Рисунок 143, Рисунок 144, Рисунок 145, Рисунок 146, Рисунок 147, Рисунок 148, Рисунок 149, Рисунок 150, Рисунок 151, Рисунок 152, Рисунок 153, Рисунок 154, Рисунок 155, Рисунок 156, Рисунок 157, Рисунок 158, Рисунок 159, Рисунок 160, Рисунок 161, Рисунок 162, Рисунок 163, Рисунок 164, Рисунок 165, Рисунок 166, Рисунок 167, Рисунок 168, Рисунок 169, Рисунок 170, Рисунок 171, Рисунок 172, Рисунок 173, Рисунок 174, Рисунок 175, Рисунок 176, Рисунок 177, Рисунок 178, Рисунок 179, Рисунок 180, Рисунок 181, Рисунок 182, Рисунок 183, Рисунок 184, Рисунок 185, Рисунок 186, Рисунок 187, Рисунок 188, Рисунок 189, Рисунок 190, Рисунок 191, Рисунок 192, Рисунок 193, Рисунок 194, Рисунок 195, Рисунок 196, Рисунок 197, Рисунок 198, Рисунок 199, Рисунок 200, Рисунок 201, Рисунок 202, Рисунок 203, Рисунок 204, Рисунок 205, Рисунок 206, Рисунок 207, Рисунок 208, Рисунок 209, Рисунок 210, Рисунок 211, Рисунок 212, Рисунок 213, Рисунок 214, Рисунок 215, Рисунок 216, Рисунок 217, Рисунок 218, Рисунок 219, Рисунок 220, Рисунок 221, Рисунок 222, Рисунок 223, Рисунок 224, Рисунок 225, Рисунок 226, Рисунок 227, Рисунок 228, Рисунок 229, Рисунок 230, Рисунок 231, Рисунок 232, Рисунок 233, Рисунок 234, Рисунок 235, Рисунок 236, Рисунок 237, Рисунок 238, Рисунок 239, Рисунок 240, Рисунок 241, Рисунок 242, Рисунок 243, Рисунок 244, Рисунок 245, Рисунок 246, Рисунок 247, Рисунок 248, Рисунок 249, Рисунок 250, Рисунок 251, Рисунок 252, Рисунок 253, Рисунок 254, Рисунок 255, Рисунок 256, Рисунок 257, Рисунок 258, Рисунок 259, Рисунок 260, Рисунок 261, Рисунок 262, Рисунок 263, Рисунок 264, Рисунок 265, Рисунок 266, Рисунок 267, Рисунок 268, Рисунок 269, Рисунок 270, Рисунок 271, Рисунок 272, Рисунок 273, Рисунок 274, Рисунок 275, Рисунок 276, Рисунок 277, Рисунок 278, Рисунок 279, Рисунок 280, Рисунок 281, Рисунок 282, Рисунок 283, Рисунок 284, Рисунок 285, Рисунок 286, Рисунок 287, Рисунок 288, Рисунок 289, Рисунок 290, Рисунок 291, Рисунок 292, Рисунок 293, Рисунок 294, Рисунок 295, Рисунок 296
MM4A Досрочное прекращение действия патента Российской Федерации на изобретение из-за неуплаты в установленный срок пошлины за поддержание патента в силе
Дата прекращения действия патента: 29.09.2003
Извещение опубликовано: 27.11.2004 БИ: 33/2004
NF4A Восстановление действия патента Российской Федерации на изобретение
Извещение опубликовано: 20.12.2004 БИ: 35/2004
RH4A – Выдача дубликата патента Российской Федерации на изобретение
Дата выдачи дубликата: 03.11.2004
Наименование лица, которому выдан дубликат:
ДАССЕ Жан-Луи (US)
Наименование лица, которому выдан дубликат:
ЗЕКУЛЬ Ренате (DE)
Наименование лица, которому выдан дубликат:
БУТТНЕР Клаус (DE)
Наименование лица, которому выдан дубликат:
КОРНЮ Изабелль (DE)
Наименование лица, которому выдан дубликат:
МЕТЦ Гунтер (DE)
Извещение опубликовано: 20.12.2004 БИ: 35/2004
|
|