Патент на изобретение №2214434
|
||||||||||||||||||||||||||
(54) ОТВЕРЖДАЕМЫЕ КОМПОЗИЦИИ НА ОСНОВЕ СМОЛ
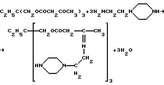
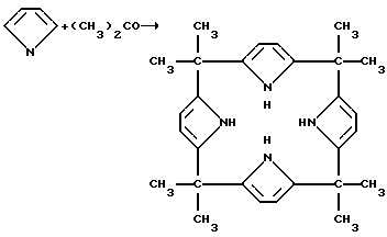
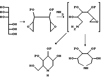
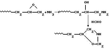
(57) Реферат: Композиция для покрытий, герметиков или клеев, которая может отверждаться при температуре окружающей среды 40oС или ниже, содержит эпоксидную смолу и отвердитель, содержащий в среднем более двух гетероциклических вторичных аминогрупп на молекулу, причем композиция содержит от 0,5 до 2,0 гетероциклических вторичных аминогрупп на эпоксидную группу. 16 з.п. ф-лы, 4 табл. Это изобретение касается отверждаемых при температуре окружающей среды композиций, содержащих эпоксидкую смолу и отвердитель с функциональными аминогруппами, применяемых в качестве покрытий, клеев или герметиков, и способа отверждения этих композиций. Уровень техники Применение гетероциклических вторичных аминов, таких как пиперидин, пирролидин, аминоэтилпиперазин или анабазин, в качестве отвердителей рассматривается в руководстве Lee and Nevill, “Handbook of Epoxy Resins”, published by McGraw-Hill, 1967. Они обычно используются в малых количествах для ускорения главным образом самоконденсации эпоксидных групп. Например, пиперидин обычно используют в количестве 5-7% от веса эпоксидной смолы, такой как диглицидиловый эфир бисфенола А (ДГЭБА). В статье Форостян и др. Пластические массы, 1965(1), 16-17, описано, что 2,3-бипиперидин обеспечивает отверждение ДГЭБА за 2 часа при 80oС. В патенте США 4581454 описаны аддукты аминогидрокарбилпиперазинов и мочевины, которые используются в качестве отвердителей для эпоксидных смол, особенно при реакционном литье под давлением. Сущность изобретения Согласно одному аспекту настоящего изобретения способ формирования слоя отвержденной эпоксидной смолы на подложке включает в себя покрытие подложки композицией, содержащей эпоксидную смолу и отвердитель с функциональными аминогруппами, и отверждение нанесенного таким образом покрытия при температуре окружающей среды, и он отличается тем, что отвердитель представляет собой вещество, содержащее по крайней мере две гетероциклические вторичные аминогруппы. Гетероциклической вторичной аминогруппой заявители называют вторичную аминогруппу, в которой атом аминного азота образует часть гетероциклического кольца. Это изобретение также предусматривает применение соединения, содержащего по крайней мере две гетероциклические вторичные аминогруппы, в качестве отвердителя для эпоксидной смолы, отличается тем, что эпоксидная смола и соединение, содержащее по крайней мере две гетероциклические вторичные аминогруппы, наносят вместе в качестве покрытия на подложку и оставляют для отверждения на подложке при температуре окружающей среды. Температура окружающей среды, при которой отверждается покрытие, обычно ниже 40oС и часто ниже 25oС, и она может быть ниже 10oС или даже ниже 0oС, например вплоть до -20oС. При этих низких температурах композиции эпоксидной смолы этого изобретения отверждаются быстрее, чем известные композиции эпоксидных смол, такие как композиции, в которых в качестве отвердителя используются первичные диамины. Заявители считают, что вначале отверждение эпоксидной смолы в основном происходит посредством реакции эпоксида с амином, а не посредством самоконденсации эпоксидных групп. Эпоксидная смола в композиции в общем может быть любой из эпоксидных смол, описанных в упомянутом выше руководстве Lee and Nevill, предпочтительно может быть эпоксидной смолой глицидилового типа, содержащей группы простых или сложных глицидиловых эфиров. Эпоксидная смола может быть, например, простым глицидиловым эфиром бисфенола, таким как ДГЭБА, или может быть конденсированным или удлиненным глицидиловым эфиром бисфенола. Такие глицидиловые эфиры, являющиеся производными бисфенола, обычно имеют функциональность по эпоксидным группам 2 или немного меньше, например от 1,5 до 2. Альтернативно, эпоксидная смола может быть глицидиловым эфиром многоатомного фенола, например эпоксидной новолачной смолой, или алифатическим или циклоалифатическим ди- или полиглицидиловым эфиром. Примерами эпоксидных смол, содержащих сложноэфирные глицидиловые группы, являются гомополимеры или сополимеры глицидилового эфира этиленненасыщенной карбоновой кислоты, такого как глицидилметакрилат или глицидилакрилат, или диглицидиловый эфир димеризованной жирной кислоты. В большинстве случаев отвердитель предпочтительно содержит более двух, например по крайней мере три гетероциклические вторичные аминогруппы, хотя можно использовать смеси отвердителя, содержащего по крайней мере три такие группы, и отвердителя, содержащего по крайней мере две, но менее трех таких групп. Весьма предпочтительно, чтобы либо эпоксидная смола содержала в среднем более двух эпоксидных групп на молекулу, либо отвердитель содержал в среднем более двух гетероциклических вторичных аминогрупп на молекулу, например по крайней мере от 2,5 до 3 гетероциклических вторичных аминогрупп на молекулу. Гетероциклические вторичные аминогруппы могут быть, например, частью гетероцикла, содержащего от 3 до 12 атомов в кольце, например насыщенного гетероцикла, такого как пиперидин, пиперазин, пирролидин, азетидин, азиридин, имидазолидин, оксазолидин, тиазолидин или гомопиперазин (1,4-диазациклогептан), ненасыщенного гетероцикла, такого как имидазолиновое кольцо, или даже ароматического кольца, имеющего вторичную аминогруппу, такого как пиррол или имидазол. Для колец, содержащих два гетероатома азота, таких как пиперазин или имидазолидин, обычно предпочтительно, чтобы в одном кольце присутствовал только один атом N в качестве вторичной аминогруппы; кольцо может быть связано с остальной частью молекулы отвердителя через другой атом N, например через другой атом N пиперазинового кольца. Таким образом, согласно другому аспекту этого изобретения композиция для покрытия, герметика или клея, отверждающаяся при температуре окружающей среды 40oС или ниже, содержит эпоксидную смолу и отвердитель с функциональными аминогруппами и отличается тем, что отвердитель представляет собой вещество, содержащее по крайней мере три гетероциклических вторичных аминогруппы. Отвердитель может быть, например, продуктом реакции гетероциклического вторичного амина, замещенного первичным амином, с соединением, содержащим две или более, предпочтительно по крайней мере три группы, которые могут реагировать с первичными аминогруппами, но практически не реагируют с гетероциклическими вторичными аминогруппами. Гетероциклический вторичный амин, замещенный первичным амином, может быть, например, N-(2-аминоэтил)пиперазином, 2-(2-аминоэтил)имидазолином, N-(3-аминопропил)пиперазином, 4 -(аминометил)пиперидином, 2-(аминометил)пиперидином, 3-(аминометил)пиперидином или 3-аминопирролидином, или замещенным производным любого из перечисленных выше соединений, содержащим, например, один или более алкильных или алкоксильных заместителей. Группы, которые могут реагировать с первичными аминогруппами, но не с гетероциклическими вторичными аминогруппами, могут, например, представлять собой бета-дикарбонильные группы, такие как ацетоацетатные группы, и аналогичные им бета-кетосложноэфирные группы или бета-дикетонные группы, другие альдегидные или кетонные группы, например альдегидные группы глутарового альдегида, концевые мочевинные группы -NHCONH2 или имидообразующие группы, такие как циклические ангидриды или полуэфиры дикарбоновых кислот с карбоксильными группами у соседних углеродных атомов, способные образовывать циклические имиды. Кислотные группы, особенно группы карбоновых кислот и их низших алкиловых эфиров также будут реагировать предпочтительно с первичными аминогруппами, а не с гетероциклическими вторичными аминогруппами. Отвердитель альтернативно может быть образован путем реакции полифункционального реагента с пиридином, замещенным реакционной функциональной группой, и последующего гидрирования пиридинового кольца до образования вторичных аминогрупп. Ди- и полиацетоуксусный эфир, например, может реагировать с N-аминоэтилпиперазином или другим гетероциклическим вторичным амином, замещенным первичной аминогруппой, с образованием связи гетероциклического вторичного амина с ацетоуксусным сложным эфиром через иминнный или енаминный мостик. Эта реакция показана ниже для случая триметилолпропан-трис(ацетоацетата) ![]() триметилолпропан-трис(2-пиперазиноэтил) аминокротонат (может существовать в форме кетимина или енамина). Триметилолпропан-трис(ацетоацетат) можно получить из триметилолпропана и низшего алкилацетоацетата, такого как трет-бутидацетоацетат, путем трансэтерификации при нагревании с удалением летучего спирта, такого как трет-бутанол, путем дистилляции. Полиацетоацетатные сложные эфиры аналогично могут быть получены из других полиолов, таких как пентаэритрит, 1,6-гександиол, триметилолэтан или сорбит, или из полимеров с гидроксильными функциональными группами, таких как акриловые полимеры, имеющие боковые гидроксильные группы, например гомо- и сополимеры 2-гидроксиэтилакрилата или метакрилата, и сложные полиэфиры, включая гиперразветвленные или дендритные полимеры, имеющие поверхностные гидроксильные группы, и 2,4,6-трис(гидроксиметил)фенол и другие соединения и олигомеры, образованные путем конденсации фенола, необязательно замещенного, с формальдегидом, с образованием новолачных смол. Глутаровый альдегид может реагировать с первичным амином с образованием одной иминной связи и с последующей альдольной конденсацией другой альдегидной группы с образованием гидроксизамещенной полимерной цепи, при условии, что реакцию проводят без значительного молярного избытка глутарового альдегида по отношению к амину на любой стадии. Гидроксизамещенная полимерная цепь может подвергаться дальнейшей дегидратации с образованием ненасыщенной полимерной цепи. Если глутаровый альдегид реагирует с аминоэтилпиперазином, то образуется полимер, имеющий боковые иминогруппы, формулы ![]() Ди- и полимочевина могут реагировать с N-аминоэтилпиперазином или другим гетероциклическим вторичным амином, замещенным первичной аминогруппой, с заменой концевой -NH2-группы мочевины и с выделением аммиака. Эта реакция показана ниже для гексаметилендимочевины. ![]() Ди- и полимочевины, такие как гексаметилендимочевина, можно получить путем нагревания ди- или полиамина, такого как гексаметилендиамин, с избытком мочевины. Аминогруппы ди- или полиамина предпочтительно являются первичными аминогруппами, хотя вторичные аминогруппы также могут реагировать. Ди- или полиамин, например, может представлять собой этилендиамин, диэтилентриамин или трис(2-аминоэтил)амин. Примерами соединений и полимеров, содержащих карбоксильные кислотные группы или сложноэфирные группы с низшими алкилами, которые могут реагировать предпочтительно с первичными аминогруппами, являются сложные полиэфиры, имеющие концевые кислотные или сложноэфирные группы, полимеры акриловой кислоты или полимеры метил- или этилакрилата, аддукты (типа аддуктов, получаемых по реакции Михаэля) эфира ненасыщенной карбоновой кислоты, такого как диметилмалеат, с донором в реакции Михаэля, таким как тиол или малонат или ацетоуксусный эфир, продукты реакции эпоксидной смолы с диметилмалонатом типа эфирзамещенных лактонов, или димерные жирные кислоты, или полученные из них низкоплавкие полиамиды с концевыми кислотными группами. Сложноэфирные группы с низшими алкилами представляют собой сложноэфирные группы низкокипящего спирта, такого как спирт, имеющий от 1 до 4 атомов углерода, особенно сложноэфирные группы с метилом и этилом. Кислотные или сложноэфирные группы реагируют с первичными аминогоуппами, образуя амидные связи. Хотя кислотные карбоксильные группы реагируют предпочтительно с первичными аминогруппами, они могут реагировать с гетероциклическими вторичными аминогруппами в более жестких условиях, и можно получить соединение или полимер, содержащие по крайней мере две гетероциклические вторичные аминогруппы посредством реакции соединения или полимера, например сополимера акриловой кислоты с одним или более мономерными акрилатами или метакрилатами, имеющего по крайней мере две карбоксильные кислотные группы, с пиперазином. Пиперазин реагирует с образованием, в основном, моноамида каждой молекулы пиперазина. Отвердитель альтернативно может быть продуктом реакции гидроксизамещенного гетероциклического вторичного амина, такого как N-(2-гидроксиэтил)пиперазин, с соединением или полимером, содержащим по крайней мере две группы, которые могут реагировать с гидроксильными группами в условиях, в которых гетероциклический вторичный амин не реагирует. Например, гидроксиэтилпиперазин может реагировать с полиизоцианатом, образуя уретан, имеющий по крайней мере две пиперазиновые вторичные аминогруппы, если аминогруппу сначала дезактивируют путем образования соли с сильной кислотой. Аминогруппы необходимо вновь активировать путем удаления кислоты перед тем, как использовать продукт реакции в качестве отвердителя для эпоксидных смол. При проведении реакции замещенного первичной аминогруппой гетероциклического вторичного амина, такого как аминоэтилпиперазин, с полифункциональным циклическим ангидридом с образованием имидных связей, следует соблюдать осторожность, чтобы избежать гелеобразования. У полифункционального циклического ангидрида может, например, произойти раскрытие кольца в результате реакции со спиртом с образованием полуэфира, который сам может образовывать имидные связи с аминоэтилпиперазином при нагревании. Примерами полифункциональных циклических ангидридов являются полимеры малеинового ангидрида, например сополимеры со стиролом или с альфа-олефином, таким как 1-октен, или с одним или более мономерными акрилатами или метакрилатами. Полимеры итаконового ангидрида можно получить из итаконовой кислоты, как описано в GB-A-2137637. Отвердитель может быть полимером или олигомером, содержащим гетероциклические кольца с вторичными аминогруппами, которые либо являются боковыми группами в полимерной цепи, либо соединены в полимерную цепь. Примеры гетероциклических колец, являющихся боковыми группами полимерной цепи, описаны выше. Дополнительные примеры можно получить путем гидрирования полимера, содержащего пиридиновые группы, такого как поливинилпиридин. Еще одним примером является полисилоксан, содержащий пиридиновые группы, который может быть получен реакцией винилпиридина с полимером, содержащим группы Si-H, например поли(метилгидридсилоксаном) в присутствии катализатора гидросилилирования, такого как соединение палладия. Соединения и полимеры, содержащие 3 или более пиридиновых групп, можно получить путем реакции винилпиридина с политиолом, таким как тетра(3-меркаптопропионат) пентаэритрита. 4-Аминопиридин может реагировать с ди- или поликислотой с образованием ди- или полиамида, содержащего пиридиновые группы, или с диакрилатом с образованием аддукта типа получаемого по реакции Михаэля, содержащего пиридиновые группы, или с диэпоксидом, с образованием аддукта, содержащего пиридиновые группы. Любое из этих веществ можно гидрировать с образованием полипиперидина, как можно гидрировать терпиридин. Аналогичные полимеры и олигомеры, содержащие 5-членные гетероциклы, являющиеся вторичными аминами, можно получить из 2- или 3-винилпиррола или винилимидазола с последующим гидрированием. Полимеры и олигомеры, содержащие пирролидиновые группы, можно получить путем восстановления литийалюминийгидридом малеимидных или сукцинимидных групп. Сополимер малеимида (независимо от того, получен ли он полимеризацией малеимида или полимеризацией малеинового ангидрида с последующей реакцией с аммиаком) можно восстановить до полимера, содержащего пирролидиновые группы, соединенные в полимерную цепь. Малеинизированный полимер или малеинизированный полиен, например полибутадиен, малеинизированный путем реакции с малеиновым ангидридом, или полимер итаконового ангидрида может реагировать с аммиаком с образованием малеимидных групп, которые могут быть восстановлены до пирролидиновых групп. Полиен может быть, например, циклическим полисном, таким как циклододекатриен. Циклический олигомер, содержащий пирролидиновые группы, альтернативно может быть получен путем гидрирования макроцикла, содержащего пиррольные группы, например продукта реакции ацетона с пирролом ![]() который можно гидрировать до образования тетрапирролидина, применяемого в качестве отвердителя. Полимер, содержащий пиперидиновые и/или пирролидиновые группы в полимерной цепи, можно получить путем инициированной свободными радикалами циклополимеризации диаллиламина ![]() Эпоксидные смолы отверждаются особенно быстро с циклополидиаллиламином – продуктом полимеризации диаллиламина. Это может быть полезным для покрытий или герметиков, которые требуется отверждать при особенно низкой температуре. Циклополидиаллиламин можно частично ввести в реакцию с монофункциональным реагентом, таким как эпоксид или акрилат, перед реакцией отверждения с эпоксидной смолой, чтобы уменьшить его реакционноспособность. Гетероциклические амины альтернативно могут быть получены реакцией аммиака с 1,2,5,6-диэпоксидами. Диэпоксиды могут быть получены, например, из многоатомного спирта, такого как D-маннит, являющегося производным сахара, как описано в статье L.Poitout et al., Tet. Lett., 35, 3293 (1994). Гетероциклические вторичные амины образуются, как показано ниже ![]() где Р – защитная группа. Реакция диэпоксида с аммиаком приводит к раскрытию одного из эпоксидных колец с последующим спонтанным внутримолекулярным замыканием кольца с образованием пиперидина и/или азепина. Центральные гидроксильные группы можно использовать, например, путем предварительной реакции с изоцианатными группами, чтобы соединить пиперидин и/или азепин с соответствующим центральным звеном, чтобы получить полифункциональность. Диэпоксид альтернативно можно получить из полидиена, например из 1,2- или 1,4-полибутадиена. Отвердитель, содержащий оксазолидиновые группы, можно получить из полиэпоксида путем реакции с аммиаком и последующей реакции с формальдегидом, как показано ниже для одной из эпоксидных групп ![]() Отвердитель может представлять собой соединение, содержащее два простых гетероцикла с вторичными аминогруппами, такое как 1,3-бис(4-пиперидино)пропан или аддукт с молярным соотношением 1:2 мочевины и N-(2-аминоэтил)пиперазина ![]() В общем, эти отвердители имеют тот недостаток, что они являются только дифункциональными и часто являются твердыми веществами, которые трудно смешивать с другими компонентами в отверждаемых композициях. Они предпочтительно не используются в качестве единственного аминного отвердителя для эпоксидных смол, имеющих функциональность по эпоксигруппам 2 или менее. Их можно успешно использовать в виде смеси с другими отвердителями типа гетероциклических вторичных аминов, имеющих функциональность больше 2, в особенности жидких олигомеров и полимеров. Отвердители типа соединений, содержащих два гетероцикла с вторичными аминогруппами, также можно использовать в качестве отвердителей для эпоксидных смол с более высокой функциональностью, таких как полимеры глицидилакрилата или глицидилметакрилата, или эпоксидированные новолачные смолы. Соединения, содержащие два гетероцикла с вторичными аминогруппами, альтернативно могут реагировать с полимером с образованием полимерного отвердителя, имеющего на конце гетероциклические вторичные аминогруппы, например 1,3-бис(4-пиперидино)пропан может реагировать с полиэпоксидом при соотношении по крайней мере две пиперидиновые группы на одну эпоксигруппу, образуя отвердитель. Когда отвердитель и эпоксидную смолу смешивают для получения композиции для покрытия, герметика или клея, отвердитель и эпоксидная смола обычно используются в таких количествах, чтобы композиция содержала по крайней мере 0,5 гетероциклических вторичных аминогрупп на одну эпоксигруппу, хотя можно использовать меньшие количества амина, если эпоксидная смола содержит много эпоксигрупп, как например в полимере глицидилакрилата или метакрилата. Композиция предпочтительно содержит по крайней мере от 0,6 до 1,5 или 2,0 гетероциклических вторичных аминогрупп на эпоксидную группу, хотя можно использовать большие количества отвердителя, если он содержит много гетероциклических вторичных аминогрупп. Отвердитель согласно этому изобретению может содержать смесь различных гетероциклических вторичных аминов. Обычно в целом присутствующий в композиции отвердитель имеет в среднем по крайней мере две гетероциклические вторичные аминогруппы на молекулу. Когда эпоксидная смола имеет высокую функциональность, например в случае полимера глицидилакрилата или метакрилата, отвердитель может использоваться вместе с гетероциклическим вторичным амином, имеющим только одну вторичную аминогруппу, и в этом случае отвердитель в целом может иметь в среднем менее двух гетероциклических вторичных аминогрупп на молекулу. Отвердитель, содержащий гетероциклические вторичные аминогруппы, может использоваться вместе с другим отвердителем для эпоксидной смолы, таким как первичный амин. Примерами таких первичных аминов являются 1,3-бис(аминометил)циклогексан, м-ксилилендиамин, изофорондиамин, бис-(4-аминофенил)метан и бис-(4-аминоциклогексил)метан, или даже простой первичный моноамин, такой как н-гексиламин, н-октиламин или бензиламин. Предпочтительно другой отвердитель составляет не более 50% от общего содержания аминного азота в отвердителе. Композиции этого изобретения применяются в качестве покрытий, клеев или герметиков (включая заливочные компаунды, применяемые для изоляции электрических и электронных компонентов), и они особенно пригодны для отверждения при температуре окружающей среды, например, ниже 40oС и особенно ниже 25oС, в том числе в холодном климате, где температура окружающей среды ниже 10oС или даже ниже 0oС, вплоть до -10oС или -20oС. Композиции этого изобретения отверждаются и затвердевают (cure and harden) быстрее, чем композиции эпоксидных смол на основе обычных отвердителей типа первичных аминов, например, они отверждаются в 2-10 раз быстрее при 10-20oС, чем аналогичные композиции на основе бис(аминометил)циклогексана в качестве отвердителя. Композиции этого изобретения можно приготовить с вязкостью, пригодной для распыления, при высоком содержании сухого вещества (250 г/л или меньше летучих органических веществ). Несмотря на тенденцию к более медленному отверждению покрытий с высоким содержанием сухого вещества, покрытия согласно этому изобретению могут отверждаться быстрее, чем обычные эпоксидные покрытия, отверждаемые аминами, с более высоким содержанием растворителя. Скорость реакции композиций согласно этому изобретению примерно в 8 раз выше, чем скорость реакции эпоксидных смол, отверждаемых гидрированным алкильным первичным диамином, измеренная согласно стандарту ASTM Е 698-79. Композиции этого изобретения могут, например, использоваться в качестве связующего в композициях антикоррозионных грунтовочных покрытий, наносимых на сталь, используемую в кораблестроении, или конструкционную сталь, используемую при сооружении зданий, мостов или буровых вышек для добычи нефти. Такие композиции обычно должны отверждаться при температуре окружающей среды. Эпоксидная смола и отвердитель обычно хранятся отдельно и смешиваются друг с другом непосредственно перед нанесением в качестве покрытия на подложку, например, за время от 10 минут до 2 часов перед нанесением, или их можно смешивать во время нанесения в распылителе с двойной подачей и наносить вместе. Покрытия обычно становятся твердыми достаточно быстро при 10oС (часто при 0oС) так, чтобы на пленку покрытия толщиной 200 мкм можно было надавливать через 24 часа после нанесения без образования вмятин на пленке. Композиции могут, необязательно, содержать соединения, которые известны как ускорители реакции эпоксидов с аминами, если желательно еще более быстрое отверждение. Многие добавки, испытанные в качестве ускорителей отверждения, например кислоты Льюиса, описаны в списке, составленном Inoue в “Proceedings of the 21st Japan Congress on Materials Research, page 251 (1979). Вещества, образующие водородные связи, такие как спирты, фенолы и кислоты, ускоряют отверждение. Обычным примером является 2,4,6-трис-(диметиламинометил)фенол. Альтернативно можно использовать катализаторы типа солей металлов, такие как нитрат кальция. Покрытия могут содержать антикоррозионный пигмент, такой как металлический цинк, фосфат цинка, волластонит или хромат, молибдат или фосфонат, защитный пигмент, такой как гематит (micaceous iron oxide), стеклянные чешуйки, силикат алюминия или слюда и/или пигмент-наполнитель, такой как оксид железа, бариты, тальк, карбонат кальция или диоксид титана. Покрытия также могут содержать другие добавки для покрытий, такие как увлажнитель, тиксотропная добавка, активный разбавитель, например моноэпоксид, добавка для улучшения текучести, растворитель или разбавитель. Композиции для герметиков обычно содержат наполнитель и/или пигмент, такой как пигменты, перечисленные выше, и композиции для герметиков или клеев могут содержать добавки, такие же, как добавки, перечисленные для композиций для покрытий. Пигменты и другие добавки могут быть смешаны и храниться вместе с эпоксидной смолой или с отвердителем, или с ними обоими. Это изобретение иллюстрируется следующими примерами, в которых проценты является весовыми, если это не указано особо. ПРИМЕР 1 1 (а) Получение отвердителя 77,4 г (0,6 моль) N-аминоэтилпиперазина добавляли к 77,2 г (0,2 моль) триметилолпропан-трис(ацетоацетата) в колбе Буши (Buchi flask) и вращали при 80oС в течение 1 часа, после чего проводили отгонку под вакуумом. После удаления 5,4 г воды осталось 150 г триметилолпропан-трис (2-пиперазиноэтил)аминокротоната в виде очень вязкого желтого масла. 1 (b) Получение покрытия 100 вес. частей триметилолпропан-трис(2- пиперазиноэтил)аминокротоната и 80 вес. частей эпоксидной смолы типа ДГЭБА с эквивалентным весом 185 растворяли в смеси 75 частей ксилола и 25 частей бутанола (по весу) и получили композицию для покрытия с отношением пиперазиноэтильных и эпоксидных групп 0,97: 1. Это покрытие, когда оно наносится при толщине мокрой пленки 200 мкм (толщина сухой пленки 130 мкм) при температуре окружающей среды 23oC на стеклянную пластинку, отверждается в течение ночи, образуя покрытие, стойкое к царапанию. Эту композицию для покрытий можно пигментировать антикоррозионным пигментом при объемной концентрации пигмента 35%, и в результате образуется грунтовка для стали, отверждаемая при температуре окружающей среды. ПРИМЕР 2 Основу для краски из эпоксидной смолы получали из следующих ингредиентов, г: Жидкая эпоксидная смола типа ДГЭБА – 45,25 Растворители (ксилол, бензиловый спирт, метоксипропанол) – 12,19 Пластификатор из углеводородной смолы – 3,80 Пигменты и наполнители (тальк, бариты, желтый оксид железа) – 37,72 Тиксотропная добавка из модифицированного гидрированного касторового масла – 1,04 57,38 г триметилолпропан-трис(2-пиперазиноэтил)аминокротоната растворяли в смеси 30 г ксилола и 10 г бутанола и смешивали с 4,28 г пластификатора из углеводородной смолы и затем с упомянутой выше основой для краски. Полученную краску наносили на стальные панели при толщине сухой пленки 400 мкм и оставляли для высыхания при 0oС. Краска была сухой до исчезновения отлипа через 5,5 часов, полностью высохшей во внутреннем слое через 26,5 часов и достаточно сухой, чтобы можно было ходить (walk on) по ней без образования выемок в пленке краски, через 53 часа. В сравнении с этим, когда краска с аналогичной температурой стеклования и отношением аминного водорода к эпоксиду была приготовлена из той же самой основы для краски с 18,75 г ксилола, 6,25 г бутанола и 12,23 г отвердителя – первичного амина формулы H2N(CH2)3O(СН2)4O(СН2)3NН2 пленка краски толщиной 400 мкм не высыхала до исчезновения отлипа через 6,5 часов (она становилась сухой до исчезновения отлипа в течение ночи) и не была полностью высохшей во внутреннем слое через 53 часа. ПРИМЕР 3 Диаллиламин (110 г), воду (200 г) и концентрированную соляную кислоту (140 г) осторожно смешивали и барботировали азотом в течение 2 часов. Добавляли бис-азоамидинопропилгидрохлорид (2 г) и барботирование продолжали в течение 30 минут. В колбе создали частичный вакуум и ее поместили в сушильный шкаф с контролируемой температурой 60oС и выдерживали в течение трех суток. Гидроксид калия (84 г) добавляли отдельными порциями при охлаждении. Воду выпаривали и получили жесткий продукт, который обрабатывали при нагревании бутанолом (100 г), фильтровали и выпаривали; получили кожистое желтое вещество (60 г). Его использовали в виде 45%-ного раствора в бутаноле. Никакой остаточной ненасыщенности не определялось методом ЯМР-спектроскопии. Спектры соответствовали преимущественно 5-членной кольцевой структуре: ![]() Температура стеклования полимера была равна -53oС (определено методом ДСК). Гель-хроматография производного полимера, полученного путем реакции циклополимера с избытком бутилакрилата, дала относительные молекулярные веса Мn=6000, Мw=20500 при использовании полистирольных стандартов. Смеси циклополидиаллиламина – продукта полимеризации диаллиламина с эпоксидными смолами образуют гель чрезвычайно быстро. Смесь раствора циклополимера (2,16 г, 0,01 моль), жидкой эпоксидной смолы типа ДГЭБА “Epikote 828” (0,57 г, 0,003 моль) и монофункционального эпоксида “Cardura E10” (1,75 г, 0,007 моль) образует гель в течение 15 минут. Пленка на стекле, полученная после отверждения в течение 56 часов при комнатной температуре, абсолютно не изменялась при протирке ацетоном после 200 двойных проходов. ПРИМЕР 4 Аминоэтилпиперазин (АЭП) (12,9 г, 0,1 моль) растворяли в воде (40 г) и добавляли по каплям 25%-ный водный раствор глутарового альдегида (40 г, 0,1 моль). Смесь оставалась гомогенной вплоть до окончания процесса, когда амин был израсходован, и выделилось небольшое количество геля. Гель отфильтровывали, воду удаляли путем выпаривания в ротационном испарителе и осадок растворяли в бутаноле; получили раствор с содержанием нелетучего вещества (NVC) 46,5%. По данным ГПХ относительный молекулярный вес продукта Мn равен 1500. Смешивали Epikote 828 (3,74 г, 0,02 моль), полученный раствор продукта реакции (3,3 г, 0,02 моль), ксилол (1,0 г) и бутанол (1,0 г). Раствор становился прозрачным примерно через 15 минут, и в нем начиналось гелеобразование через 20 минут. Пленка, отлитая на стекле, после отверждения при комнатной температуре в течение 72 часов была твердой и блестящей, и на ней не оставалось абсолютно никаких следов после 200 двойных проходов при протирке ацетоном. ПРИМЕР 5 Диметилмалеат (14,4 г, 0,1 моль), этандитиол (4,7 г, 0,05 моль), ксилол (45 г) и катализатор “DMP 30” (2,4,6-трис(диметиламинометил)фенол) нагревали в течение 2 часов до исчезновения полосы С=С в инфракрасном спектре. Добавляли АЭП (25,8 г, 0,2 моля) и смесь кипятили с частичной дистилляцией 4 часа. Было выделено 5,9 г из ожидаемых 6,4 г метанола. После выпаривания в роторном испарителе получили 42 г смолы янтарного цвета, которую растворили в бутаноле и получили раствор с содержанием нелетучего вещества 55,9%. В ИК-спектре наблюдался сильный сигнал амидных групп при 1651 см-1 и следы сложноэфирной группы при 1725 см-1. Спектр ЯМР показал, что АЭП присоединился в основном через свою боковую первичную аминогруппу. ПРИМЕР 6 Диметилмалеат (7,2 г, 0,05 моль), диметилмалонат (6,6 г, 0,05 моль) и одномолярный раствор метоксида натрия в метаноле (0,5 г, 0,0005 моль) выдерживали при 100oС в течение 2 часов. Добавляли АЭП (25,8 г, 0,2 моль) и ксилол (40 г) и смесь кипятили с обратным холодильником в течение 8 часов. После отгонки в вакууме получили 39 г масла янтарного цвета, которое можно было использовать без разбавления, хотя оно затвердевало до воскообразного состояния через несколько недель. ИК-спектр показал присутствие сложноэфирных групп и отсутствие ненасыщенности на первой стадии. На второй стадии данные ИК-спектра свидетельствовали о присутствии амида (1655 см-1) и некоторого количества имида (1696, 1772 см-1). ПРИМЕР 7 Продукт реакции эпоксида с малоновым эфиром Металлический натрий (3,45 г, 0,15 моль) растворяли в этаноле (100 г). Диметилмалонат (21,78 г, 0,615 моль) добавляли по каплям в течение 15 минут. Смолу Epikote 828 (28,05 г, 0,15 эквивалента), растворенную в толуоле (30 г), добавляли по каплям в течение 30 минут. После завершения добавления температура повышалась от 20oС до 30oС. Через 2 часа выделилась вязкая масса. Добавляли дополнительное количество толуола (45 г) и смесь нагревали, чтобы диспергировать эту массу. Добавляли ледяную уксусную кислоту (13,5 г, 0,225 моль) и продукт реакции распределяли между водой (200 г) и дополнительной порцией толуола (100 г). Органическую фракцию отделяли и промывали водой (50 г). После отгонки в вакууме получили 46,3 г прозрачного, почти бесцветного вязкого масла. В ИК-спектре наблюдались две резкие полосы одинакового размера при 1736 и 1780 см-1, что позволяет предположить существенную конверсию эпоксидных групп в лактонные группы формулы ![]() Данные ЯМР соответствуют образованию около 80% лактона от теоретически возможного количества. Стадия 2. Получение гетероциклического вторичного амина. Продукт, полученный на стадии 1 (14,35 г), аминоэтилпиперазин (12,9 г) и ксилол (25 г) смешивали и выдерживали при температуре кипения в течение 3 часов. Сигналы лактона в ИК-спектре быстро исчезали, и вслед за ними исчезали сигналы сложного эфира. Появлялся новый сигнал амида при 1664 см-1, указывая на то, что лактонные и сложноэфирные группы превратились в амид. После отгонки в вакууме получили густую жидкость янтарного цвета (28,4 г), которую растворили в бутаноле и получили раствор с содержанием нелетучих веществ 48,7%. ПРИМЕР 8 Продукт, полученный на стадии 1 примера 7 (14,35 г, 0,05 моль), смешивали с диметилмалеатом (7,2 г, 0,05 моль) и добавляли одномолярный раствор метоксида натрия в метаноле (0,5 г, 0,0005 моль). Смесь выдерживали при 60-68oС 3 часа, и она становилась очень вязкой. Добавляли ксилол (20 г) и АЭП (25,8 г, 0,2 моль) и начинали нагревание. В течение 1 часа становились заметными интенсивные пики амида (1656 см-1) и имида (1700, 1776 см-1), а сигналы лактона и сложного эфира почти полностью исчезали. Обработку продолжали еще в течение 2 часов, и при этом не наблюдалось почти никаких изменений. Образование имида в таких мягких условиях было неожиданным и, возможно, было обусловлено наличием геминально замещенного предшественника. Вплоть до образования имида, до 25% АЭП не вступило в реакцию и осталось в свободном виде в продукте реакции. ПРИМЕРЫ 5-8 Композиции для покрытий Растворы полифункциональных гетероциклических вторичных аминов, полученные в примерах 5-8, смешивали со смолой Epikote 828 в стехиометрическом соотношении, исходя из номинальной функциональности по амину, и получали прозрачные композиции для покрытий. Композиции отливали на стекле и оставляли отверждаться при температуре окружающей среды. Отмечали время гелеобразования и измеряли стойкость к действию растворителей (при помощи определения устойчивости к протирке ацетоном по отсутствию следов в результате протирки двойными проходами, после определенного времени отверждения при температуре окружающей среды). Результаты показаны в таблице 1. ПРИМЕР 9 Малеиновый ангидрид (44,3 г, 0,45 моль), бутилацетат (100 г) и “Luperox 575” (трет-амилперокси-2-этилгексаноат, 2,0 г) смешивали и добавляли к кипящему окт-1-ену (60 г, 0,54 моль) в течение 2 часов. Через 3 часа, при кипячении, добавляли дополнительную порцию (0,2 г) “Luperox”. После кипячения в течение еще одного часа смесь подвергали отгонке в вакууме, полученный вязкий продукт растворяли в ксилоле и получили раствор с содержанием нелетучих веществ 42,2%. Молекулярный вес полученного полиангидрида, измеренный методом ГПХ относительно полистирольного стандарта, был равен Мn=2600 и Мw=5780. Упомянутый выше раствор (49,8 г, 0,1 эквивалент), изопропанол (50 г) и триэтиламин (0,15 г) кипятили вместе 10 часов, и за это время интенсивность сигналов ангидридных групп в ИК-спектре уменьшилась до пренебрежимо малой величины. К смеси добавили АЭП (12,9 г, 0,1 моль) и начали перегонку, постепенно добавляя ксилол до тех пор, пока температура кипения не достигла 140oС. После 12 часов кипячения с обратным холодильником сигналы имидных групп (1699, 1775 см-1) стали интенсивными, а сигналы амидных групп (1638 см-1) – слабыми. Получили текучий раствор с содержанием нелетучих веществ 35,0%. ПРИМЕР 10 Сополимер стирола и малеинового ангидрида с эквивалентным весом на одну ангидридную группу 224 (22,4 г, 0,1 эквивалент) растворяли в смеси ксилола (50 г), изопропанола (18 г) и триэтиламина (2,0 г). После 3,5 часов кипячения с обратным холодильником пик ангидрида стал пренебрежимо малым. К смеси добавили аминоэтилпиперазин (12,9 г 0,1 моль) и после этого еще 20 г ксилола, чтобы сохранить текучесть смеси. После дистилляции в течение 10,5 часов и удаления летучих растворителей твердый продукт выделяли путем фильтрования и растворяли в бутаноле; получили раствор с содержанием нелетучих веществ 27,5%, у которого наблюдались сильные сигналы имидных групп (1697, 1768 см-1). ПРИМЕР 11 Смесь винилнеодеканоата (“Veova 10”, фирма “Shell”, 66,9 г, 0,338 эквивалента), ксилола (30 г) и трет-бутилпероксида (2,0 г) вливали в кипящую смесь ксилола (70 г) и малеинового ангидрида (33,1 г, 0,338 моль) в течение 2 часов. Через 3 часа добавляли трет-бутилпероксид (0,2 г) и кипячение с обратным холодильником продолжали еще 1 час. После отгонки в вакууме получили 108 г золотистого стекловидного твердого вещества, показывающего в ИК-спектре сигналы ангидридной (1786, 1863 см-1) и сложноэфирной (1729 см-1) групп, и имеющего Мn=750 и Мw=790. Смешали этот полиангидрид (16,0 г, 0,05 эквивалента), изопропанол (12 г, 0,2 моль), ксилол (20 г) и триэтиламин (0,15 г) и начали кипячение с обратным холодильником. Реакционная смесь приобрела интенсивную пурпурную окраску. После 6 часов кипячения сигналы ангидридных групп в ИК-спектре были незначительными, и полосы сложноэфирных и кислотных групп при 1750, 1704 см-1 соответственно стали преобладающими. Добавили аминоэтилпиперазин (6,45 г, 0,05 моль) и начали проводить дистилляцию. После 13 часов при 140oС в ИК-спектре наблюдался сильный сигнал при 1700 см-1. После отгонки в вакууме получили черную жидкость, которую растворили в бутаноле и получили раствор с содержанием нелетучих веществ 45,8%. ПРИМЕР 12 Смесь винилнеодеканоата (63,9 г, 0,323 эквивалента), ксилола (30,0 г) и трет-бутилпероксида (2,0 г) вливали в смесь кипящего ксилола (70,0 г) и итаконовой кислоты (41,9 г, 0,322 моль) в течение 2 часов. Через 3 часа добавляли еще 0,2 г трет-бутилпероксида и затем еще две порции с часовыми интервалами. Кипячение продолжали еще в течение 15 часов, когда в результате образовался жидкий гомогенный продукт. После отгонки в вакууме получили 103 г прозрачной золотистой вязкой жидкости. В ее ИК-спектре наблюдались сильные сигналы сложноэфирной (1724 см-1) и ангидридной (1784, 1861 см-1) групп. Молекулярный вес, измеренный методом ГПХ относительно полистирольного стандарта, составлял Mw=1630. Эту жидкость снова растворили в ксилоле и получили раствор с содержанием нелетучих веществ 58,0%. Раствор полиангидрида (53,45 г, 0,1 эквивалента) кипятили с обратным холодильником с бутанолом (29,6 г, 0,4 моль) и триэтиламином (0,15 г). Через 2 часа ИК-спектр показал полное исчезновение полос ангидрида. Добавили аминоэтилпиперазин (12,9 г, 0,1 моль) и продолжали кипячение. За 30 минут появилась сильная полоса имида при 1702 см-1, а интенсивность полосы сложного эфира уменьшилась. Кипячение в бутаноле продолжали 2 часа и получили раствор бледно-янтарного цвета с содержанием нелетучих веществ 55,9%. ПРИМЕРЫ 9-12. Композиции для покрытий Композиции для покрытий приготовляли из растворов полифункциональных гетероциклических вторичных аминов из примеров 9-12, отливали на стекле и испытывали на стойкость к действию растворителей, как описано в примерах 5-8. Результаты показаны в таблице 2. ПРИМЕРЫ 13-18. Краски Основу для краски из эпоксидной смолы приготовляли из следующих ингредиентов, вес.%: Жидкая эпоксидная смола на основе диглицидилового эфира бисфенола А – 29,84 Растворитель (бутанол:ксилол 3:1) – 9,08 Пигменты и наполнитель (тальк, бариты, желтый оксид железа) – 60,40 Тиксотропная добавка – 0,68 Следующие растворы полифункциональных гетероциклических вторичных аминов смешивали затем с упомянутой выше основой для краски в стехиометрическом соотношении 1:1, чтобы получить краску (см. табл. А). Некоторое количество каждой краски наносили методом налива с получением регулируемого слоя на обезжиренные стальные панели при помощи планки для нанесения краски с зазором для нанесения краски с толщиной мокрой пленки 300 мкм и 600 мкм, и помещали панели в холодильную камеру при 5oС. Оценивали допустимое время начала хождения для каждого покрытия, определяемое как время, в течение которого по покрытию можно ходить без появления выбоин на покрытии. Измеряли также среднюю толщину сухой пленки (ТСП) отвержденного покрытия. Результаты показаны в таблице 3. Стандартная основа для краски, содержащая и жидкие, и твердые эпоксидные смолы на основе глицидилового эфира бисфенола А, при смешении со стандартным отвердителем, содержащим функциональные группы первичных и вторичных аминов, давала следующее допустимое время начала хождения после отверждения при 5oС: При толщине сухой пленки 120 мкм – 8 часов. При толщине сухой пленки 260 мкм – 16 часов. Формула изобретения 1. Отверждаемая при температуре окружающей среды композиция для покрытий, содержащая эпоксидную смолу и отвердитель, содержащий в среднем более двух гетероциклических вторичных аминогрупп на молекулу, причем композиция содержит от 0,5 до 2,0 гетероциклических вторичных аминогрупп на эпоксидную группу. 2. Композиция для покрытий по п.1, отличающаяся тем, что гетероциклические вторичные аминогруппы содержат пиперидиновые группы. 3. Композиция для покрытий по п.1, отличающаяся тем, что гетероциклические вторичные аминогруппы представляют собой пиперазиновые группы, прикрепленные к остальной части молекулы отвердителя через один из атомов азота пиперазинового кольца. 4. Композиция для покрытий по п.1, отличающаяся тем, что гетероциклические аминогруппы содержат пирролидиновые группы. 5. Композиция для покрытий по любому из предыдущих пунктов, отличающаяся тем, что отвердитель представляет собой продукт реакции гетероциклического вторичного амина, замещенного первичной аминогруппой, с соединением, содержащим более двух групп, которые реагируют с первичными аминогруппами, но в основном не реагируют с гетероциклическими вторичными аминогруппами. 6. Композиция для покрытий по п.5, отличающаяся тем, что указанное соединение, реагирующее с первичными аминогруппами, является соединением, содержащим более двух бета-дикарбонильных групп. 7. Композиция для покрытий по п.5, отличающаяся тем, что указанное соединение, реагирующее с первичными аминогруппами, является соединением, содержащим более двух групп карбоновой кислоты или сложноэфирных групп низшего алкила. 8. Композиция для покрытий по п.5, отличающаяся тем, что указанное соединение, реагирующее с первичными аминогруппами, является соединением, содержащим более двух циклических ангидридных групп или групп сложных полуэфиров дикарбоновых кислот с карбоксильными группами у соседних атомов углерода, способных к образованию циклических имидов. 9. Композиция для покрытий по любому из пп.5-8, отличающаяся тем, что гетероциклический вторичный амин, замещенный первичной аминогруппой, представляет собой N-(2-аминоэтил)пиперазин. 10. Композиция для покрытий по любому из предыдущих пунктов, отличающаяся тем, что отвердитель представляет собой полимер или олигомер, который содержит содержащие вторичные аминогруппы гетероциклические кольца, являющиеся боковыми группами в полимерной цепи. 11. Композиция для покрытий по п.10, отличающаяся тем, что полимер или олигомер является продуктом конденсации глутарового альдегида и гетероциклического амина, замещенного первичной аминогруппой. 12. Композиция для покрытий по любому из пп.1-9, отличающаяся тем, что отвердитель представляет собой полимер или олигомер, который содержит содержащие вторичные аминогруппы гетероциклические кольца, соединенные в полимерную цепь. 13. Композиция для покрытий по п.12, отличающаяся тем, что полимер или олигомер представляет собой продукт свободнорадикальной полимеризации диаллиламина. 14. Композиция для покрытий по любому из предыдущих пунктов, отличающаяся тем, что композиция, кроме того, содержит отвердитель, имеющий менее трех гетероциклических вторичных аминогрупп. 15. Композиция для покрытий по любому из предыдущих пунктов, отличающаяся тем, что композиция также содержит отвердитель с функциональными первичными аминогруппами. 16. Композиция для покрытий по любому из предыдущих пунктов, отличающаяся тем, что композиция дополнительно содержит в качестве катализатора кислоту Льюиса или донор водородных связей. 17. Композиция для покрытий по любому из предыдущих пунктов, применяемая для нанесения на подложку и отверждения на подложке при температуре окружающей среды. РИСУНКИ
|
||||||||||||||||||||||||||










