Патент на изобретение №2214400
|
||||||||||||||||||||||||||
(54) ПРОИЗВОДНЫЕ 1-[(1-ЗАМЕЩЕННОГО-4-ПИПЕРИДИНИЛ)МЕТИЛ]-4-ПИПЕРИДИНА, СПОСОБЫ ИХ ПОЛУЧЕНИЯ, ФАРМАЦЕВТИЧЕСКАЯ КОМПОЗИЦИЯ НА ИХ ОСНОВЕ И ПРОМЕЖУТОЧНЫЕ ВЕЩЕСТВА
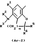
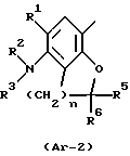
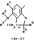
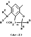
(57) Реферат: Изобретение относится к новым производным 1-[(1-замещенного-4-пиперидинил)метил]-4-пиперидина ф-лы (I), где Ar представляет собой группу формулы (Ar-1) или (Ar-2), где R1 представляет собой галоген, R2 представляет водород или низший алкил, R3 представляет водород, низший алкил или низший алканоил, R4 представляет водород или низший алкил, R5 и R6 являются одинаковыми или различными и представляют водород или низший алкил, n имеет значение 1, 2 или 3, А представляет собой группу формулы (А-1), (А-2) или (А-3): -Z-N(Q1)(Q2) (A-1), где Z представляет собой -СО-, CS или -SO2-, Q1 и Q2 являются одинаковыми или различными и представляют водород, низший алкил, циклоалкил, незамещенный или замещенный фенил или фенил(низший алкил) или Q1 и Q2 вместе с атомом азота образуют пирролидиновое, пиперидиновое, гексагидроазепиновое, морфолиновое, тиоморфолиновое или пиперазиновое кольцо; -CO-R7 (A-2), где R7 представляет водород, низший алкил, низший алкокси, низший алкоксикарбонил, замещенный низший алкил; -(CH2)p-CH(R8)-COR9 (A-3), где р имеет значения 0, 1, 2, 3, 4 5; R8 представляет водород или низший алкил; R9 представляет низшие алкил или алкокси, или фармацевтически приемлемым солям. Соединения формулы (I) обладают агонистической активностью в отношении серотониновых рецепторов 4 и могут быть использованы для лечения желудочно-кишечных расстройств. 9 с. и 16 з.п. ф-лы, 9 табл. ![]() ![]()
Текст описания в факсимильном виде (см. графическую часть)а
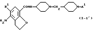
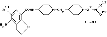
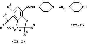
Формула изобретения 1. Соединение формулы (I): ![]() где Аr представляет собой группу формулы (Аr-1) или (Аr-2): ![]() ![]() где R1 представляет собой атом галогена; R2 представляет собой атом водорода или низшую алкильную группу; R3 представляет собой атом водорода, низшую алкильную группу или низшую алканоильную группу; R4 представляет собой атом водорода или низшую алкильную группу; R5 и R6 являются одинаковыми или различными и каждый представляет собой атом водорода или низшую алкильную группу; n = 1, 2 или 3; А представляет собой группу формулы (А-1), (А-2) или (А-3): -Z-N(Q1)(Q2) (A-1), где Z представляет собой -СО-, -CS- или -SO2-; Q1 и Q2 являются одинаковыми или различными и каждый представляет собой атом водорода, низшую алкильную группу, циклоалкильную группу, замещенную или незамещенную фенильную группу или замещенную или незамещенную фенил(низшую алкильную) группу или Q1 и Q2 могут объединяться вместе с атомом азота, с которым они связаны, с образованием пирролидинового кольца, пиперидинового кольца, гексагидроазепинового кольца, морфолинового кольца, тиоморфолинового кольца или пиперазинового кольца, необязательно содержащего низший алкильный или бензильный заместитель на другом атоме азота; -CO-R7 (A-2), где R7 представляет собой атом водорода, низшую алкильную группу, низшую алкоксигруппу, низшую алкоксикарбонильную группу, низшую алкильную группу, замещенную гидрокси, низшей алкокси или низшей алкоксикарбонильной группой или замещенную или незамещенную фенильную группу; -(CH2)p-CH(R8)-COR9 (A-3), где р = 0, 1, 2, 3, 4 или 5; R8 представляет собой атом водорода или низшую алкильную группу; R9 представляет собой низшую алкильную группу или низшую алкокси группу, или его фармацевтически приемлемая кислотно-аддитивная соль. 2. Соединение по п.1, где Аr имеет значения, опеределенные в п.1, а А представляет собой группу формулы (А-1) -Z-N(Q1)(Q2) (A-1), где Z представляет собой -СО-, -CS- или -SO2-; Q1 и Q2 являются одинаковыми или различными и каждый представляет собой атом водорода, низшую алкильную группу, циклоалкильную группу, замещенную или незамещенную фенильную группу или замещенную или незамещенную фенил(низшую алкильную) группу или Q1 и Q2 могут объединяться вместе с атомом азота, с которым они связаны, с образованием пирролидинового кольца, пиперидинового кольца, гексагидроазепинового кольца, морфолинового кольца или пиперазинового кольца, необязательно содержащего низший алкильный или бензильный заместитель на другом атоме азота, или его фармацевтически приемлемая кислотно-аддитивная соль. 3. Соединение по п.1, где Аr имеет значения, опеределенные в п.1, а А представляет собой группу формулы (А-2) или (А-3): -CO-R7 (A-2), где R7 представляет собой атом водорода, низшую алкильную группу, низшую алкоксигруппу, низшую алкоксикарбонильную группу, низшую алкильную группу, замещенную низшей алкокси или низшей алкоксикарбонильной группой или замещенную или незамещенную фенильную группу; -(CH2)p-CH(R8)-COR9 (A-3), где р = 0, 1, 2, 3, 4 или 5; R8 представляет собой атом водорода или низшую алкильную группу; R9 представляет собой низшую алкильную группу или низшую алкокси группу, или его фармацевтически приемлемая кислотно-аддитивная соль. 4. Соединение по любому из пп.1-3, где в формуле (Ar-1) R2 и R3 оба представляют собой атомы водорода и R4 представляет собой метильную группу, этильную группу, пропильную группу или изопропильную группу, или в формуле (Аr-2), R2 и R3 оба являются атомами водорода; R5 и R6 оба являются атомами водорода или один из них представляет собой метальную группу, а другой представляет собой атом водорода, n = 1, или его фармацевтически приемлемая кислотно-аддитивная соль. 5. Соединение по любому из пп.1-3, которое представляет собой соединение формулы (I-1) ![]() где R1 представляет собой атом галогена; R41 представляет собой метильную группу, этильную группу, пропильную группу или изопропильную группу; А1представляет собой группу формулы (А1-1), (А1-2) или (А1-3): -Z-N(Q11)(Q21) (A-1), где Z представляет собой -СО-, -CS- или -SO2-; Q11 и Q21 являются одинаковыми или различными и каждый из них представляет собой метильную группу, этильную группу, пропильную группу или изопропильную группу, или Q11 представляет собой атом водорода и Q21 представляет собой циклопентильную группу, циклогексильную группу, циклогептильную группу или замещенную или незамещенную фенильную группу, где указанные заместители могут быть атомом галогена, С1-C4 алкильной группой или C1-C4 алкоксигруппой, или Q11 и Q21 могут объединяться вместе с атомом азота, с которым они связаны, с образованием пирролидинового кольца или морфолинового кольца; -CO-R71 (A1-2), где R71 представляет собой атом водорода, метильную группу, этильную группу, пропильную группу, метоксигруппу, этоксигруппу, C1-C4 алкильную группу, замещенную метокси, этокси, метоксикарбонильной или этоксикарбонильной группой или замещенную или незамещенную фенильную группу, где заместители могут быть от 1 до 3 групп, выбранных из атомов галогена, C1-C4 алкильной группы, C1-C4 алкокси группы и аминогруппы; -(CH2)p’-CH(R81)-COR91 (A1-3), где р’ = 0, 1 или 2; R81 представляет собой атом водорода, метильную группу или этильную группу; R91 представляет собой метильную группу, этильную группу, метоксигруппу или этоксигруппу, или его фармацевтически приемлемая кислотно-аддитивная соль. 6. Соединение по п.5, где R1 и R41 имеют значения, опеределенные в п.5, и А1 представляет собой группу формулы (А1-2) или (А1-3): -CO-R71 (A1-2), где R71 представляет собой атом водорода, метильную группу, этильную группу, пропильную группу, метоксигруппу, этоксигруппу, C1-C4 алкильную группу, замещенную метокси, этокси, метоксикарбонильной или этоксикарбонильной группой или замещенную или незамещенную фенильную группу, где заместители могут быть от 1 до 3 групп, выбранных из атомов галогена, C1-C4 алкильной группы, C1-C4 алкоксигруппы и аминогруппы; -(CH2)p’-CH(R81)-COR91 (A1-3), где р’ = 0, 1 или 2; R81 представляет собой атом водорода, метильную группу или этильную группу; R91 представляет собой метильную группу, этильную группу, метоксигруппу или этоксигруппу, или его фармацевтически приемлемая кислотно-аддитивная соль. 7. Соединение по любому из пп.1-3, которое представляет собой соединение формулы (I-1′) ![]() где R1 представляет собой атом галогена; А1 представляет собой группу формулы (А1-1), (А1-2) или (А1-3): -Z-N(Q11)(Q21). (A1-1), где Z представляет собой -СО-, -CS- или -SO2-, Q11 и Q21 являются одинаковыми или различными и каждый представляет собой метильную группу, этильную группу, пропильную группу или изопропильную группу, или Q11 представляет собой атом водорода и Q21 представляет собой циклопентильную группу, циклогексильную группу, циклогептильную группу или замещенную или незамещенную фенильную группу, где указанные заместители могут быть атомом галогена, С1-C4 алкильной группой или С1-C4 алкокси группой, или Q11 и Q21 могут объединяться вместе с атомом азота, с которым они связаны, с образованием пирролидинового кольца или морфолинового кольца; -CO-R71 (A1-2), где R71 представляет собой атом водорода, метильную группу, этильную группу, пропильную группу, метоксигруппу, этоксигруппу, C1-C4 алкильную группу, замещенную метокси, этокси, метоксикарбонильной или этоксикарбонильной группой, или замещенную или незамещенную фенильную группу, указанные заместители могут быть от 1 до 3 групп, выбранных из атома галогена, C1-C4 алкильной группы, C1-C4 алкоксигруппы и аминогруппы; -(CH2)p’-CH(R81)-COR91 (A1-3), где р’ – 0, 1 или 2; R81 представляет собой атом водорода, метильную группу или этильную группу; R91 представляет собой метильную группу, этильную группу, метоксигруппу или этоксигруппу, или его фармацевтически приемлемая кислотно-аддитивная соль. 8. Соединение по п. 6, которое представляет собой соединение формулы (I-2): ![]() где R11 представляет собой атом хлора или атом брома; R41 представляет собой метильную группу, этильную группу, пропильную группу или изопропильную группу; R82 представляет собой атом водорода, метильную группу или этильную группу; R92 представляет собой метильную группу, этильную группу или этокси группу; р = 0, 1 или 2, или его фармацевтически приемлемая кислотно-аддитивная соль. 9. Соединение по п. 2, которое представляет собой соединение формулы (I-3) ![]() где R11 представляет собой атом хлора или атом брома; Z2 представляет собой -СО- или -CS-; Q12 представляет собой атом водорода, метильную группу или этильную группу, Q22 представляет собой метильную группу, этильную группу, или фенильную группу или Q12 и Q22 могут объединяться с атомом азота, с которым они связаны, с образованием пирролидинового кольца, или его фармацевтически приемлемая кислотно-аддитивная соль. 10. Соединение по п. 2, которое представляет собой соединение формулы (I-4) ![]() где R11 представляет собой атом хлора или атом брома; R42 представляет собой метильную группу, этильную группу или изопропильную группу; Z2 представляет собой -СО- или -CS-; Q12 представляет собой атом водорода, метильную группу или этильную группу; Q22 представляет собой метильную группу, этильную группу или фенильную группу или Q12 и Q22 могут объединиться вместе с атомом азота, с которым они связаны, с образованием пирролидинового кольца, или его фармацевтически приемлемая кислотно-аддитивная соль. 11. Соединение по п.2 или 9, которое выбрано из следующих веществ: 4-амино-5-хлор-N-[1-(1-диметилкарбамоил-4-пиперидинилметил)-4-пиперидинил]-2,3-дигидробензо[b]фуран-7-карбоксамид; 4-амино-5-хлор-N-[1-(1-диэтилкарбамоил-4-пиперидинилметил)-4-пиперидинил]-2,3-дигидробензо[b]фуран-7-карбоксамид; 4-амино-5-хлор-N-[1-(1-диметилтиокарбамоил-4-пиперидинилметил)-4-пиперидинил]-2,3-дигидробензо[b]фуран-7-карбоксамид; 4-амино-5-хлор-N-[1-[1-(1-пирролидинкарбонил)-4-пиперидинилметил)-4-пиперидинил]-2,3-дигидробензо[b]фуран-7-карбоксамид; и 4-амино-5-хлор-N-[1-(1-фенилкарбамоил-4-пиперидинилметил)-4-пиперидинил] -2,3-дигидробензо[b]фуран-7-карбоксамид, или его фармацевтически приемлемая кислотно-аддитивная соль. 12. Соединение по п.2, которое выбрано из следующих веществ: 4-амино-5-хлор-N-[1-(1-диметилкарбамоил-4-пиперидинилметил)-4-пиперидинил]-2-метоксибензамид; 4-амино-5-хлор-N-[1-(1-(N-этил-N-метилкарбамоил)-4-пиперидинилметил] -4-пиперидинил]-2-метоксибензамид; 4-амино-5-хлор-2-метокси-N-[1-[1-(N-метил-N-фенилкарбамоил)-4-пиперидинилметил]-4-пиперидинил]бензамид; 4-амино-5-хлор-N-[1-(1-диметилтиокарбамоил-4-пиперидинилметил)-4-пиперидинил]-2-метоксибензамид; 4-амино-5-хлор-2-метокси-N-[1-[1-(1-пирролидинкарбонил)-4-пиперидинилметил]-4-пиперидинил]бензамид; 4-амино-5-хлор-N-[1-(1-диметилкарбамоил-4-пиперидинилметил)-4-пиперидинил]-2-этоксибензамид; 4-амино-5-бром-N-[1-(1-диметилкарбамоил-4-пиперидинилметил)-4-пиперидинил]-2-метоксибензамид; 4-амино-5-хлор-N-[1-(1-диэтилкарбамоил-4-пиперидинилметил)-4-пиперидинил]-2-этоксибензамид; 4-амино-5-хлор-N-[1-(1-диметилкарбамоил-4-пиперидинилметил)-4-пиперидинил]-2-изопропоксибензамид; 4-амино-5-бром-2-метокси-N-[1-[1-(1-пирролидинкарбонил)-4-пиперидинилметил]-4-пиперидинил]бензамид; 4-амино-5-хлор-2-метокси-N-[1-(1-фенилкарбамоил-4-пиперидинилметил)-4-пиперидинил]бензамид, или его фармацевтически приемлемая кислотно-аддитивная соль. 13. Соединение по п.3, которое представляет собой N-[1-(ацетил-4-пиперидинилметил)-4-пиперидинил] -4-амино-5-хлор-2-метоксибензамид или его фармацевтически приемлемая кислотно-аддитивная соль. 14. Соединение по любому из пп.1, 4, 5 или 7, обладающее агонистической активностью в отношении серотониновых рецепторов 4. 15. Соединение по любому из пп.3, 6, 8 или 13, обладающее агонистической активностью в отношении серотониновых рецепторов 4. 16. Фармацевтическая композиция, обладающая агонистической активностью в отношении серотониновых рецепторов 4, содержащая в качестве активного ингредиента соединение по любому из пп.1-13 или его фармацевтически приемлемую кислотно-аддитивную соль. 17. Способ получения соединения формулы (I) ![]() где Аr представляет собой группу формулы (Аr-1) или (Аr-2): ![]() ![]() где R1 представляет собой атом галогена; R2 представляет собой атом водорода или низшую алкильную группу; R3 представляет собой атом водорода, низшую алкильную группу или низшую алканоильную группу; R4 представляет собой атом водорода или низшую алкильную группу; R5 и R6 являются одинаковыми или различными и каждый является атомом водорода или низшей алкильной группой; n = 1, 2 или 3; А представляет собой группу формулы (А-1) -Z-N(Q1)(Q2) (A-1), где Z представляет собой -СО-, -CS- или -SO2; Q1 и Q2 являются одинаковыми или различными и каждый представляет собой атом водорода, низшую алкильную группу, циклоалкильную группу, замещенную или незамещенную фенильную группу или замещенную или незамещенную фенил(низшую алкильную) группу или Q1 и Q2 могут объединяться вместе с атомом азота, с которым они связаны, с образованием пирролидинового кольца, пиперидинового кольца, гексагидроазепинового кольца, морфолинового кольца или пиперазинового кольца, необязательно содержащего низший алкильный или бензильный заместитель на другом атоме азота, или его фармацевтически приемлемой кислотно-аддитивной соли путем взаимодействия соединения формулы (II): ![]() где Аr имеет значение, определенное выше, с соединением формулы (III) X-Z-N(Q1)(Q2) (III), где X представляет собой атом галогена; Z, Q1 и Q2 такие, как определено выше, и, при необходимости, последующего превращения продукта в его фармацевтически приемлемую кислотно-аддитивную соль. 18. Способ получения соединения формулы (I) ![]() где Аr представляет собой группу формулы (Аr-1) или (Аr-2): ![]() ![]() где R1 представляет собой атом галогена; R2 представляет собой атом водорода или низшую алкильную группу; R3 представляет собой атом водорода, низшую алкильную группу или низшую алканоильную группу; R4 представляет собой атом водорода или низшую алкильную группу; R5 и R6 являются одинаковыми или различными и каждый является атомом водорода или низшей алкильной группой; n = 1, 2 или 3; А представляет собой группу формулы (А-2) -CO-R7 (A-2), где R7 представляет собой атом водорода, низшую алкильную группу, низшую алкоксигруппу, низшую алкоксикарбонильную группу, низшую алкильную группу, замещенную низшей алкокси или низшей алкоксикарбонильной группой или замещенную или незамещенную фенильную группу, или его фармацевтически приемлемой кислотно-аддитивной соли путем взаимодействия соединения формулы (II) ![]() где Аr имеет значение, определенное выше, с соединением формулы (А-2′) HO-CO-R72 (A-2′), где R72 имеет те же значения, что и R7, или его реакционноспособным производным, при условии, что когда R72 представляет собой низшую алкоксигруппу, тогда используют хлорангидрид соединения (А-2′) и, при необходимости, последующего превращения продукта в его фармацевтически приемлемую кислотно-аддитивную соль. 19. Агонист серотонинового рецептора 4, содержащий в качестве активного ингредиента соединение, как оно определено в любом из пп.1, 3-8 или 13, или его фармацевтически приемлемую кислотно-аддитивную соль. 20. Способ лечения заболеваний, вызванных недостатком стимуляции серотониновых рецепторов 4 у пациентов, включающий введение эффективного количества соединения, как оно определено в любом из пп.1, 3-8 или 13, или его фармацевтически приемлемой кислотно-аддитивной соли, пациенту, страдающему от указанных заболеваний. 21. Способ по п. 20 для лечения расстройств желудочно-кишечной перистальтики или желудочно-кишечной дисфункции. 22. Желудочно-кишечный прокинетический агент, содержащий в качестве активного ингредиента соединение, как оно определено в любом из пп.1, 3-8 или 13, или его фармацевтически приемлемую кислотно-аддитивную соль. 23. Соединение формулы (II-2) ![]() где R1 представляет собой атом галогена; R2 представляет собой атом водорода или низшую алкильную группу; R3 представляет собой атом водорода, низшую алкильную группу или низшую алканоильную группу; R5 и R6 являются одинаковыми или различными и каждый представляет собой атом водорода или низшую алкильную группу; n = 1, 2 или 3, или его кислотно-аддитивная соль. 24. Соединение формулы (VIII) ![]() где А представляет собой группу формулы (А-1), (А-2) или (А-3): Z-N(Q1)(Q2) (A-1), где Z представляет собой -СО-, -CS- или -SO2-; Q1 и Q2 являются одинаковыми или различными и каждый представляет собой атом водорода, низшую алкильную группу, циклоалкильную группу, замещенную или незамещенную фенильную группу или замещенную или незамещенную фенил(низшую алкильную) группу или Q1 и Q2 могут объединяться вместе с атомом азота, с которым они связаны, с образованием пирролидинового кольца, пиперидинового кольца, гексагидроазепинового кольца, морфолинового кольца, тиоморфолинового кольца или пиперазинового кольца, необязательно содержащего низший алкильный или бензильный заместитель на другом атоме азота; -CO-R7 (A-2), где R7 представляет собой атом водорода, низшую алкильную группу, низшую алкоксигруппу, низшую алкоксикарбонильную группу, низшую алкильную группу, замещенную гидрокси, низшей алкокси или низшей алкоксикарбонильной группой или замещенную или незамещенную фенильную группу; -(CH2)p-CH(R8)-COR9 (A-3), где р = 0, 1, 2, 3, 4 или 5; R8 представляет собой атом водорода или низшую алкильную группу; R9 представляет собой низшую алкильную группу или низшую алкоксигруппу, или его фармацевтически приемлемая кислотно-аддитивная соль. 25. Соединение по п.24, где А представляет собой группу формулы (А-2) или (А-3): -CO-R7 (A-2), где R7 представляет собой атом водорода, низшую алкильную группу, низшую алкоксигруппу, низшую алкоксикарбонильную группу, низшую алкильную группу, замещенную низшей алкокси или низшей алкоксикарбонильной группой или замещенную или незамещенную фенильную группу; -(CH2)p-CH(R8)-COR9 (A-3), где р = 0, 1, 2, 3, 4 или 5; R8 представляет собой атом водорода или низшую алкильную группу; R9 представляет собой низшую алкильную группу или низшую алкоксигруппу, или его фармацевтически приемлемая кислотно-аддитивная соль. Приоритет по признакам: 28.04.1998 устанавливается для соединений формул (I), (I-1), (I-1′) или (VIII), где А (или А1) является группой формулы (А-1) (или (А1-1)); 24.06.1998 устанавливается для соединений формул (I), (I-1), (I-1′) или (VIII), где А (или А1) является группой формулы (А-2), или (А-3) (или (А1-2), или (A1-3)). РИСУНКИ
MM4A – Досрочное прекращение действия патента СССР или патента Российской Федерации на изобретение из-за неуплаты в установленный срок пошлины за поддержание патента в силе
Дата прекращения действия патента: 20.04.2006
Извещение опубликовано: 20.12.2007 БИ: 35/2007
|
||||||||||||||||||||||||||



Текст описания в факсимильном виде (см. графическую часть)а

















