Патент на изобретение №2214397
|
||||||||||||||||||||||||||
(54) ОРТОЗАМЕЩЕННЫЕ БЕНЗОИЛГУАНИДИНЫ И ЛЕКАРСТВЕННОЕ СРЕДСТВО НА ИХ ОСНОВЕ
(57) Реферат: Изобретение относится к новым ортозамещенным бензоилгуанидина формулы (1), где R(1) – Н, алкил с 1-8 С-атомами, Ха-(СН2)b-(CF2)c-CF3, где а, b, с = 0; один из двух заместителей R(2) и R(3) означает -O-CO-R(27) и соответственно другой из заместителей R(2) и R(3) является R(1), где R(27) – алкил с 1-8 С-атомами; R(4) – водород, алкокси с 1-4 С-атомами, F, Cl, Br, I; R(5) – водород, и их фармацевтически приемлемым солям. Лекарственное средство, обладающее ингибирующей активностью в отношении Na+/H+-обмена, содержит соединение формулы 1 и целевые дополнительные добавки. Соединения формулы 1 используются для получения медикамента для лечения или профилактики вызванных ишемическими состояниями заболеваний, инфаркта, стенокардии и т.д. Технический результат – получение новых соединений, обладающих ингибирующей активностью в отношении Na+/H+ обмена. 2 с. и 15 з.п. ф-лы.
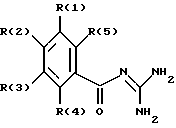
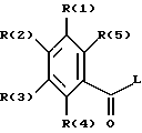
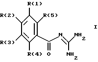
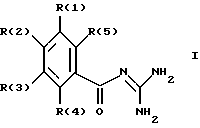
Изобретение относится к бензоилгуанидинам формулы I![]() где обозначают: R(1) – Н, алкил с 1, 2, 3, 4, 5, 6, 7 или 8 С-атомами или Хa-(СН2)b-(СF2)c-СF3, где а, b, с=0, один из двух заместителей R(2) и R(3) означает -O-CO-R(27); R(27) алкил с 1, 2, 3, 4, 5, 6, 7 или 8 С-атомами, и соответственно другой из заместителей R(2) или R(3) определен как R(1); R(4) означает водород, алкокси с 1, 2, 3 или 4 С-атомами, F, Cl, Вr, I; R(5) означает водород, а также к их фармацевтически переносимым солям. Предпочтительны ортозамещенные бензоилгуанидины формулы I, где обозначают: R(1) – Н, алкил с 1, 2, 3, 4, 5, 6, 7 или 8 С-атомами или Хa-(СF2)c-СF3, где а, с=0, один из двух заместителей R(2) и R(3) означает -O-CO-R(27); R(27) алкил с 1, 2, 3 или 4 С-атомами, и соответственно другой из заместителей R(2) или R(3) определен как R(1); R(4) означает водород, алкокси с 1 или 2 С-атомами, F, Cl и R(5) означает водород, а также их фармацевтически переносимые соли. Особенно предпочтительными являются соединения формулы I, где обозначают: R(1) – Н, алкил с 1, 2, 3 или 4 С-атомами или Хa-СF3, где а=0, один из двух заместителей R(2) и R(3) означает -O-CO-R(27); R(27) алкил с 1, 2, 3 или 4 С-атомами, и соответственно другой из заместителей R(2) или R(3) определен как R(1); R(4) означает метокси, F, Cl и R(5) означает водород, а также их фармацевтически переносимые соли. Особенно предпочтительны ортозамещенные бензоилгуанидины формулы I, где обозначают: R(1) – Н, алкил с 1, 2, 3 или 4 С-атомами или СF3, один из двух заместителей R(2) и R(3) означает -O-СО-СН3; и соответственно другой из заместителей R(2) или R(3) определен как R(1); R(4) означает метокси, F, Cl; R(5) означает водород, а также их фармацевтически переносимые соли. Указанные алкильные остатки могут иметь прямую или разветвленную цепь. Соединения формулы I согласно изобретению могут быть получены способом, заключающимся в том, что соединение формулы II ![]() где R(1)-R(5) имеют указанные выше значения, и L обозначает легко нуклеофильно замещаемую удаляемую группу, подвергают взаимодействию с гуанидином. Активированные производные кислоты формулы II, где L обозначает алкокси-, предпочтительно метоксигруппу, феноксигруппу, фенилтио-, метилтио-, 2-пиридилтиогруппу, азотистый гетероцикл, предпочтительно 1-имидазолил, предпочтительно получают известным способом из хлорангидридов карбоновой кислоты (формула II, L-Cl), которые, в свою очередь, можно получать также известным способом из соответствующих карбоновых кислот (формула II, L=ОН), например с хлористым тионилом. Наряду с хлорангидридами карбоновой кислоты формулы II (L=Cl) можно получать также другие активированные производные кислоты формулы II известным способом прямо из лежащих в основе производных бензойной кислоты (формула II, L= ОН), как сложный метиловый эфир формулы II с L=ОСН3 обработкой газообразной НСl в метаноле, имидазолиды формулы II обработкой карбонилдиимидазолом [L= 1-имидазолил, Staab, Angew. Chem. английское издание 1, 351-367 (1962)], смешанные ангидриды II с Cl-COOC2H5 или хлористым тозилом в присутствии триэтиламина в инертном растворителе, как и активирования бензойных кислот с дициклогексилкарбодиимидом (ДCС) или с O-[(циано(этоксикарбонил)метилен)амино] -1,1,3,3-тетраметилурон-тетрафторборатом (“TOTU”) (Proceedings of the 21 European Peptide Symposium, Peptides 1990, Editors E.Giralt and D. Andreu, Escom, Leiden, 1991). Ряд подходящих методов для получения активированных производных карбоновой кислоты формулы II указаны в литературном источнике в J. March, Advanced Organic Chemistry, издание 3 (John Wiley & Sons, 1985), стр.350. Взаимодействие активированных производных карбоновой кислоты формулы II с гуанидином осуществляют известным образом в протонном или апротонном, но инертном органическом растворителе. При этом при взаимодействии сложных метиловых эфиров бензойной кислоты (II, L=ОМе) с гуанидином оказались пригодными метанол, изопропанол или тетрагидрофуран с температурой от 20oС до точки кипения этих растворителей. При большинстве взаимодействий соединений II с обессоленным гуанидином было выгодно работать в апротонных инертных растворителях, как тетрагидрофуран, диметоксиэтан, диоксан. Но при взаимодействии соединения II с гуанидином можно применять также воду при использовании основания, как например, NaOH в качестве растворителя. Если L означает Сl, выгодно работать при добавке ловушки кислоты, например, в форме избыточного гуанидина, для связывания галоидоводородной кислоты. Часть лежащих в основе производных бензойной кислоты формулы II известна и описана в литературе. Неизвестные соединения формулы II можно получать известными из литературы методами. Полученные бензойные кислоты по одному из вышеописанных вариантов способа превращают до соединений согласно изобретению I. Введение некоторых заместителей в 2-, 3-, 4- и 5-положение удается осуществлять известными из литературы методами с помощью палладия реакцией поперечного сочетания арилгалогенидов или арилтрифлатов, например, с органостаннами, органоборными кислотами или органоборанами или медь органическими или цинкорганическими соединениями. Бензоилгуанидины представляют собой, в общем, слабые основания и могут связывать кислоту с образованием солей. В качестве кислых аддитивных солей принимают в расчет соли всех фармакологически переносимых кислот, например, галогениды, особенно гидрохлориды, лактаты, сульфаты, цитраты, тартраты, ацетаты, фосфаты, метилсульфонаты, р-толуолсульфонаты. Соединения I представляют ацилгуанидины. Соединения, подобные соединениям I, известны из европейской заявки на патент 612723 А 1 (НОЕ 93/F 054). Они уже содержат гидроксильные группы в качестве заместителей в фенильном ядре, однако не содержат заместителей в орто-положении. В противоположность известным соединениям, соединения согласно изобретению отличаются исключительно высокой эффективностью в торможении Na+/Н+ – обмена, а также улучшенной водорастворимостью. Они не имеют так же как известные соединения никаких нежелательных и отрицательных салидиуретических свойств, однако имеют хорошие противоаритмические свойства, как например, они имеют важное значение для лечения заболеваний, появляющихся при явлениях недостатка кислорода. Соединения вследствие своих фармакологических свойств пригодны как противоаритмические лекарственные средства с кардиозащитной компонентой для профилактики и для лечения инфаркта и для лечения стенокардии, причем они также предупредительно тормозят или сильно уменьшают патофизиологические процессы при возникновении вызванных ишемией повреждений, особенно при провоцировании вызванных ишемией аритмий сердца. Вследствие их защищающих действий против патологических гипоксических и ишемических ситуаций, соединения по изобретению формулы I, в связи с торможением клеточного Na+/H+ – механизма обмена, можно применять в качестве лекарственных средств для лечения всех острых или хронических, вызванных ишемией повреждений или вызванных в результате этого первичных или вторичных заболеваний. Это относится к их применению в качестве лекарственных средств для оперативных вмешательств, например, при трансплантациях органов, причем соединения можно применять как для защиты органов в доноре перед взятием и во время взятия, для защиты взятых органов, например, при лечении или при их хранении в физиологических растворах, так и при переносе в организм реципиента. Соединения представляют также ценные лекарственные средства с защитным действием при проведении ангиопластических оперативных вмешательств, например, на сердце и также на периферических сосудах. В соответствии с их защитным действием против вызванных ишемией повреждений, соединения пригодны так же как лекарственные средства для лечения ишемий нервной системы, особенно центральной нервной системы, причем они пригодны, например, для лечения инсульта или отека головного мозга. Кроме того, соединения по изобретению формулы I пригодны также для лечения различных форм шока, как например, аллергического, кардиогенного, гиповолемического и бактериального шока. С другой стороны, соединения по изобретению формулы I отличаются сильным тормозящим действием на пролиферацию клеток, например, пролиферацию фибробластов, пролиферацию клеток и пролиферацию клеток гладкой мышечной ткани сосудов. Поэтому соединения формулы I применяют как ценные терапевтические средства для лечения заболеваний, при которых пролиферация клеток представляет первичную или вторичную причину, и поэтому их можно применять как антиатеросклеротические средства, как средства против поздних осложнений диабета, средства против заболеваний раком, против фибромных заболеваний, как фиброз легких, фиброз печени или фиброз почек, гипертрофии и гиперплазии органов, особенно при гиперплазии или гипертрофии предстательной железы. Соединения согласно изобретению представляют очень эффективные ингибиторы клеточного натрий-протон-антиносителя (Nа+/Н+ – обменник), который при многочисленных заболеваниях (эссенциальная гипертония, атеросклероз, диабеты и т.п.) повышен также в таких клетках, которые легко доступны для измерений, как например, в эритроцитах, тромбоцитах или лейкоцитах. Поэтому соединения по изобретению применяют как отличные и простые научные инструменты, например, при их применении в качестве диагностических средств для определения и дифференцирования определенных форм гипертонии, а также атеросклероза, диабетов, пролиферативных заболеваний и т.д. Кроме того, соединения формулы I пригодны для предупредительной терапии с целью предотвращения генеза высокого кровяного давления, например, эссенциальная гипертония. Кроме того, было найдено, что соединения формулы I оказывают благоприятное влияние на липопротеины сыворотки крови. Как известно, для возникновения атеросклеротических изменений сосудов, особенно коронарной болезни сердца, слишком высокие жировые показатели крови, так называемые гиперлипопротеинемии, представляют существенный фактор риска. Поэтому для профилактики и регрессии атеросклеротических изменений придают исключительное значение снижению повышенного количества липопротеинов сыворотки. Наряду с уменьшением общего сывороточного холестерина придают особое значение снижению количества специфических атерогенных липидных фракций этого общего холестерина, особенно липопротеинов низкой плотности (LDL) и липопротеинов очень низкой плотности (VLDL), так как эти липидные фракции представляют собой атерогенный фактор риска. Напротив, липопротеинам высокой плотности приписывают защитную функцию против коронарной болезни сердца. В соответствии с этим, гиполипидемия должна быть в состоянии снижать не только общий холестерин, но особенно VLDL и LDL-фракции сывороточного холестерина. Затем было найдено, что соединения формулы I показывают ценные, используемые в терапии свойства относительно влияния на уровень сывороточного липида. Так, они значительно снижают повышенную сывороточную концентрацию LDL и VLDL, как их можно наблюдать, например, в результате повышенного диетического приема богатой холестерином и липидами пищи или при патологических изменениях обмена веществ, например, генетически обусловленные гиперлипидемии. Поэтому их можно применять для профилактики и для регрессии атеросклеротических изменений, причем они исключают причинный фактор риска. К этому причисляют не только первичные гиперлипидемии, но и некоторые вторичные гиперлипидемии, как например, возникающие при диабетах. Кроме того, соединения формулы I приводят к определенному снижению вызванных аномалиями обмена веществ инфарктов и особенно к значительному уменьшению вызванной обширности инфаркта и степени его тяжести. Далее, соединения формулы I приводят к эффективной защите против повреждений эндотелия, вызванных аномалиями обмена веществ. С этой защитой сосудов против синдрома дисфункции эндотелия соединения формулы I представляют ценные лекарственные средства для предупреждения и для лечения спазмов коронарных сосудов, атерогенеза и атеросклероза, гипертрофии левого желудочка сердца и расширенной кардиомиопатии, и тромботических заболеваний. Названные соединения находят поэтому выгодное применение для получения медикамента для лечения гиперхолестеринемии; для получения медикамента для профилактики атерогенеза; для получения медикамента для профилактики и лечения атеросклероза, для получения медикамента для профилактики и лечения заболеваний, которые вызваны повышенным уровнем холестерина, для получения медикамента для профилактики и лечения заболеваний, которые вызваны дисфункцией эндотелия, для получения медикамента для профилактики и лечения вызванной атеросклерозом гипертонии, для получения медикамента для профилактики и лечения вызванных атеросклерозом тромбозов, для получения медикамента для профилактики и лечения гиперхолестеринемии и дисфункции эндотелия, вызванных ишемией, и постишемических реперфузионных повреждений, для получения медикамента для профилактики и лечения вызванных гиперхолестеринемией и дисфункцией эндотелия сердечных гипертрофий и кардиомиопатий, для получения медикамента для профилактики и лечения вызванных гиперхолестеринемией и дисфункцией эндотелия спазмов коронарных сосудов и миосердечных инфарктов, для получения медикамента для лечения названных болезней в комбинации с понижающими кровяное давление веществами, предпочтительно с превращением ангиотензин-ферментов, (АСЕ)-ингибиторов и ангиотензин-рецептор-антагонистов, в комбинации NHE-ингибитора формулы I с понижающим жировой уровень крови активным веществом, предпочтительно с ингибитором HMG-CoA-редуктазы (например, ловастатин или правастатин), причем последний вызывает гиполипидемическое действие и в результате этого повышает гиполипидемические свойства NHE-ингибитора формулы I, оказывается благоприятной комбинацией с усиленным действием и с уменьшенным использованием активного вещества. Заявлен прием ингибиторов обмена натрия-протонов формулы I в качестве нового вида лекарственного средства для снижения жирового уровня крови, а также комбинация ингибиторов обмена натрия-протонов совместно со снижающими кровяное давление и/или гиполипидемически действующими лекарственными средствами. При этом лекарственные средства, которые содержат соединение I, можно применять орально, парентерально, внутривенно или через ингаляцию, причем предпочтительное применение зависит от соответствующей клинической картины заболевания. При этом соединения I можно применять одни или вместе с галеновыми препаратами, а именно как в ветеринарии, так и в медицине. Какие вспомогательные вещества пригодны для желательной рецептуры лекарственного средства, специалисту известно на основании его знаний. Наряду с растворителями, гелеобразователями, основами свечек, вспомогательными веществами таблеток и другими носителями активного вещества, можно применять, например, антиокислители, диспергаторы, эмульгаторы, пеногасители, вещества, корригирующие неприятный вкус лекарства, консерванты, агенты растворения или красители. Для оральной формы применения активные соединения перемешивают с подходящими для этого добавками, такими как вещества-носители, стабилизаторы или инертные разбавители, и обычными методами приводят в подходящие формы введения, такие как таблетки, драже, капсулы, водные, спиртовые или масляные растворы. В качестве инертных носителей можно применять, например, гуммиарабик, магнезию, карбонат магния, фосфат калия, молочный сахар, глюкозу или крахмал, особенно кукурузный крахмал. При этом формой изготовления лекарства может быть как сухое гранулирование, так и влажное гранулирование. В качестве маслянистых веществ-носителей или в качестве растворителей принимают во внимание, например, растительные и животные масла, такие как подсолнечное масло или рыбий жир. Для подкожного или внутривенного применения активные соединения, в случае необходимости, с обычными для этого веществами, такими как агенты растворения, эмульгаторы или другие вспомогательные вещества, приводят в форму раствора, суспензии или эмульсии. В качестве растворителей принимают, например, во внимание: воду, физиологический раствор хлористого натрия или спирты, например, этанол, пропанол, глицерин, наряду с ними также растворы сахара, такие как растворы глюкозы или маннита, или также смесь из различных названных растворителей. В качестве фармацевтического состава для назначения в форме аэрозолей или разбрызгивателей пригодны, например, растворы, суспензии или эмульсии активного вещества формулы I в фармацевтически не вызывающем опасений растворителе, особенно в этаноле или воде, или в смеси таких растворителей. Состав по мере надобности может содержать также еще другие фармацевтические вспомогательные вещества, такие как поверхностно-активные вещества, эмульгаторы и стабилизаторы, а также рабочий газ. Такая лекарственная форма содержит активное вещество обычно в концентрации приблизительно от 0,1 до 10, особенно приблизительно от 0,3 до 3 вес.%. Дозировка назначаемого активного вещества формулы I и частота назначения зависят от эффективности и продолжительности действия примененных соединений; кроме того, также от вида и тяжести заболевания, которое лечат, от пола, возраста, веса и индивидуальной предрасположенности млекопитающего, которое лечат. В среднем, ежедневная доза соединения формулы I составляет у пациента весом около 75 кг минимально 0,001 мг/кг, предпочтительно 0,01 мг/кг, максимально до 10 мг/кг, предпочтительно 1 мг/кг веса тела. При острых вспышках заболевания, приблизительно непосредственно после перенесения инфаркта миокарда, могут оказаться необходимыми также еще более высокие и прежде всего более частые дозировки, например, до 4 разовых доз в день. В частности, при внутривенном применении, как например у пациента с инфарктом в отделении интенсивной терапии, могут потребоваться дозы до 200 мг в день. Список сокращений: МеОН – метанол, DMF – N,N-диметилформамид, RT – комнатная температура, ЕЕ – этилацетат (EtOAc), Smp – точка плавления, THF – тетрагидрофуран, eq. – эквивалент. Экспериментальная часть Общая инструкция для получения бензоилгуанидинов (I) Вариант А: из бензойных кислот (II, L=ОН) 1,0 эквивалент производного бензойной кислоты формулы II растворяют или суспендируют в безводном THF (5 мл/ммол) и затем перемешивают с 1,1 эквивалентом карбонилдиимидазола. После перемешивания в течение более 2 ч при RT в реакционный раствор вводят 5,0 эквивалентов гуанидина. После перемешивания более ночи отгоняют THF при пониженном давлении (ротационный выпарной аппарат), смешивают с водой, устанавливают рН 6-7 при помощи 2 н. НСl и отфильтровывают соответствующий бензоилгуанидин (формула I). Полученные таким способом бензоилгуанидины могут быть переведены обработкой водным, метаноловым или эфирным раствором соляной кислоты или других фармакологически переносимых кислот в соответствующие соли. Общая инструкция для получения бензоил-гуанидинов (I). Вариант В: из сложных алкиловых эфиров бензойной кислоты (II, L=O-алкил). 1,0 эквивалент сложного алкилового эфира бензойной кислоты формулы II и 5,0 эквивалентов гуанидина (свободное основание) растворяют в изопропаноле или суспендируют в THF и до полного превращения (контроль тонкослойной хроматографией) нагревают до кипения (типичное время реакции 2-5 ч). Растворитель отгоняют при пониженном давлении (ротационный выпарной аппарат), поглощают в ЕЕ и промывают 3 раза раствором NаНСО3. Сушат над Na2SO4, отгоняют растворитель в вакууме и хроматографируют на силикагеле с подходящим растворителем, например, ЕЕ/МеОН 5:1. (Образование соли ср. вариант А). Пример 1: 4-ацетилокси-2-хлор-5- трифторметил-бензоилгуанидин- гидрохлорид: бесцветные кристаллы М++Н=324 из 2-хлор-4-гидрокси- 5-трифторметил-бензоилгуанидина путем ацетилирования при помощи ацетилхлорида в присутствии карбоната цезия в NMP и последующим образованием гидрохлорида по варианту А. Пример 2: 4-ацетилокси-2-метокси- 5-трифторметил- бензоилгуанидин-гидрохлорид: бесцветные кристаллы М++Н=320 из 4-гидрокси-2-метокси-5-трифторметил-бензоилгуанидина ацетилированием при помощи ацетилхлорида в присутствии карбоната цезия в NMP и последующим образованием гидрохлорида по варианту А. Пример 3: 3-ацетилокси-2-метокси-5-трет. -бутил-бензоилгуанидин-гидрохлорид: бесцветные кристаллы М++Н=308 из 3-гидрокси-2-метокси-5-трет.-бутил-бензоилгуанидина ацетилированием при помощи ацетилхлорида в присутствии карбоната цезия в NMP и последующим образованием гидрохлорида по варианту А. Формула изобретения 1. Ортозамещенные бензоилгуанидины формулы I ![]() где R(1) – Н, алкил с 1-8 С-атомами или Хa-(СН2)b-(СF2)c-СF3, где а, b, с=0; один из двух заместителей R(2) и R(3) означает -O-CO-R(27), где R(27) – алкил с 1-8 С-атомами, и соответственно другой из заместителей R(2) или R(3) определен как R(1); R(4) – водород, алкокси с 1-4 С-атомами, F, Cl, Вr, I; R(5) – водород, а также их фармацевтически переносимые соли. 2. Ортозамещенные бензоилгуанидины формулы I по п.1, где R(1) – H, алкил с 1-8 С-атомами или Xa-(CF2)c-CF3, где а, с=0, один из двух заместителей R(2) и R(3) означает -O-CO-R(27), где R(27) – алкил с 1-4 С-атомами, и соответственно другой из заместителей R(2) или R(3) определен как R(1); R(4) – водород, алкокси с 1 или 2 С-атомами, F, Cl; R(5) – водород. 3. Ортозамещенные бензоилгуанидины по п.1 или 2 формулы I, где R(1) – Н, алкил с 1-4 С-атомами или Хa-СF3, где а=0, один из двух заместителей R(2) и R(3) означает -O-CO-R(27), где R(27) – алкил с 1-4 С-атомами, и соответственно другой из заместителей R(2) или R(3) определен как R(1); R(4) – метокси, F, Cl; R(5) – водород. 4. Ортозамещенные бензоилгуанидины по пп.1-3 формулы I, где R(1) – Н, алкил с 1-4 С-атомами или СF3, один из двух заместителей R(2) и R(3) означает -O-СО-СН3, и соответственно другой из заместителей R(2) или R(3) определен как R(1); R(4) – метокси, F, Cl; R(5) – водород. 5. Ортозамещенные бензоилгуанидины формулы 1 по одному из пп.1-4, ингибирующие Na+/H+-oбмeн. 6. Ортозамещенные бензоилгуанидины формулы 1 по одному из пп.1-4 для получения медикамента для лечения и профилактики вызванных ишемическими состояниями заболеваний. 7. Ортозамещенные бензоилгуанидины формулы 1 по одному из пп.1-4 для получения медикамента для лечения и профилактики инфаркта сердца и аритмий. 8. Ортозамещенные бензоилгуанидины по пп.1-4 для получения медикамента для лечения и профилактики стенокардии. 9. Ортозамещенные бензоилгуанидины по пп.1-4 для получения медикамента для лечения и профилактики ишемических состояний сердца. 10. Ортозамещенные бензоилгуанидины по пп.1-4 для получения медикамента для лечения и профилактики ишемических состояний периферической и центральной нервной системы и инсульта. 11. Ортозамещенные бензоилгуанидины по пп.1-4 для получения медикамента для лечения и профилактики ишемических состояний периферических органов и конечностей. 12. Ортозамещенные бензоилгуанидины по пп.1-4 для получения медикамента для лечения состояний шока. 13. Ортозамещенные бензоилгуанидины по пп.1-4 для получения медикамента для применения при хирургических операциях и при трансплантациях органов. 14. Ортозамещенные бензоилгуанидины по пп.1-4 для получения медикамента для консервации и хранения трансплантантов для хирургических целей. 15. Ортозамещенные бензоилгуанидины по пп.1-4 для получения медикамента для лечения заболеваний, при которых пролиферация клеток представляет первичную или вторичную причину, такого, как противоатеросклеротическое средство, средство против поздних диабетических осложнений, заболеваний раком, фибромных заболеваний, как фиброз легких, фиброз печени или фиброз почек, гиперплазия предстательной железы. 16. Ортозамещенные бензоилгуанидины по пп.1-4 для получения медикамента для лечения и профилактики нарушений жирового обмена веществ. 17. Лекарственное средство, обладающее ингибирующей активностью в отношении Na+/H+-oбмeнa, включающее активно действующее вещество и целевые дополнительные добавки, отличающееся тем, что в качестве активно действующего вещества оно содержит ортозамещенные бензоилгуанидины по пп.1-4. MM4A Досрочное прекращение действия патента Российской Федерации на изобретение из-за неуплаты в установленный срок пошлины за поддержание патента в силе
Дата прекращения действия патента: 04.06.2004
Извещение опубликовано: 20.04.2006 БИ: 11/2006
|
||||||||||||||||||||||||||

Изобретение относится к бензоилгуанидинам формулы I

